Optimizing Nursery Production of Apple Trees: Assessing the Dose Response to Water and Fertilizer in Two Cultivars
Abstract
1. Introduction
1.1. Importance of the Nursery Phase
1.2. Determinants of Nursery Success
1.2.1. Irrigation
1.2.2. Fertilization
1.2.3. Cultivar Selection
1.3. Challenges in Integrated Management
1.4. Current Limitations in Nursery Water and Nutrient Management
1.5. Research Rationale and Objectives
2. Materials and Methods
2.1. Climate and Soil Conditions of the Research Location
2.2. Research Methods and Biological Material Used
2.3. Calculations
2.4. Water Consumption for Different Irrigation Conditions
3. Results
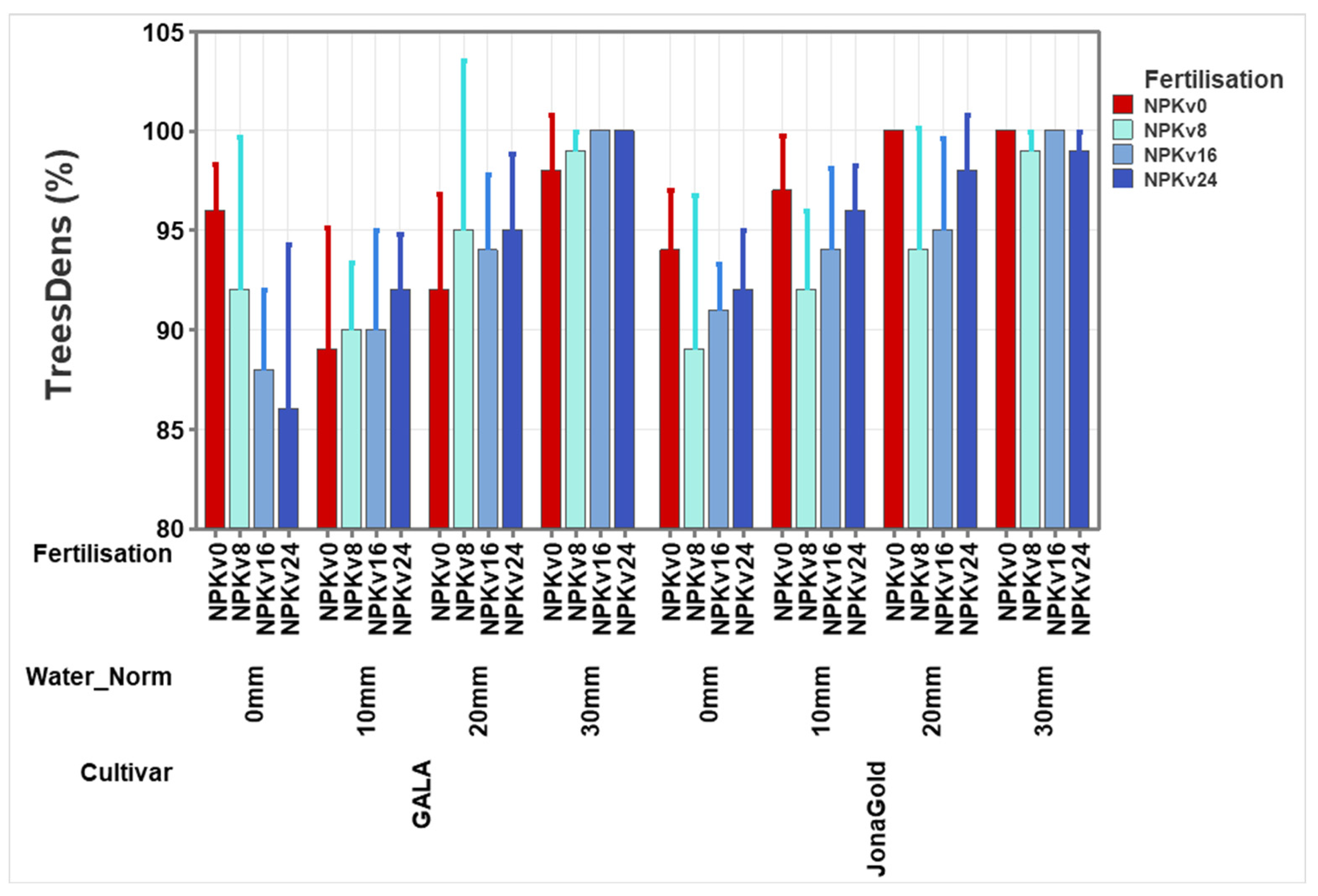
3.1. Effect of Fertilisation, Irrigation Level and Cultivar on Apple Tree Density
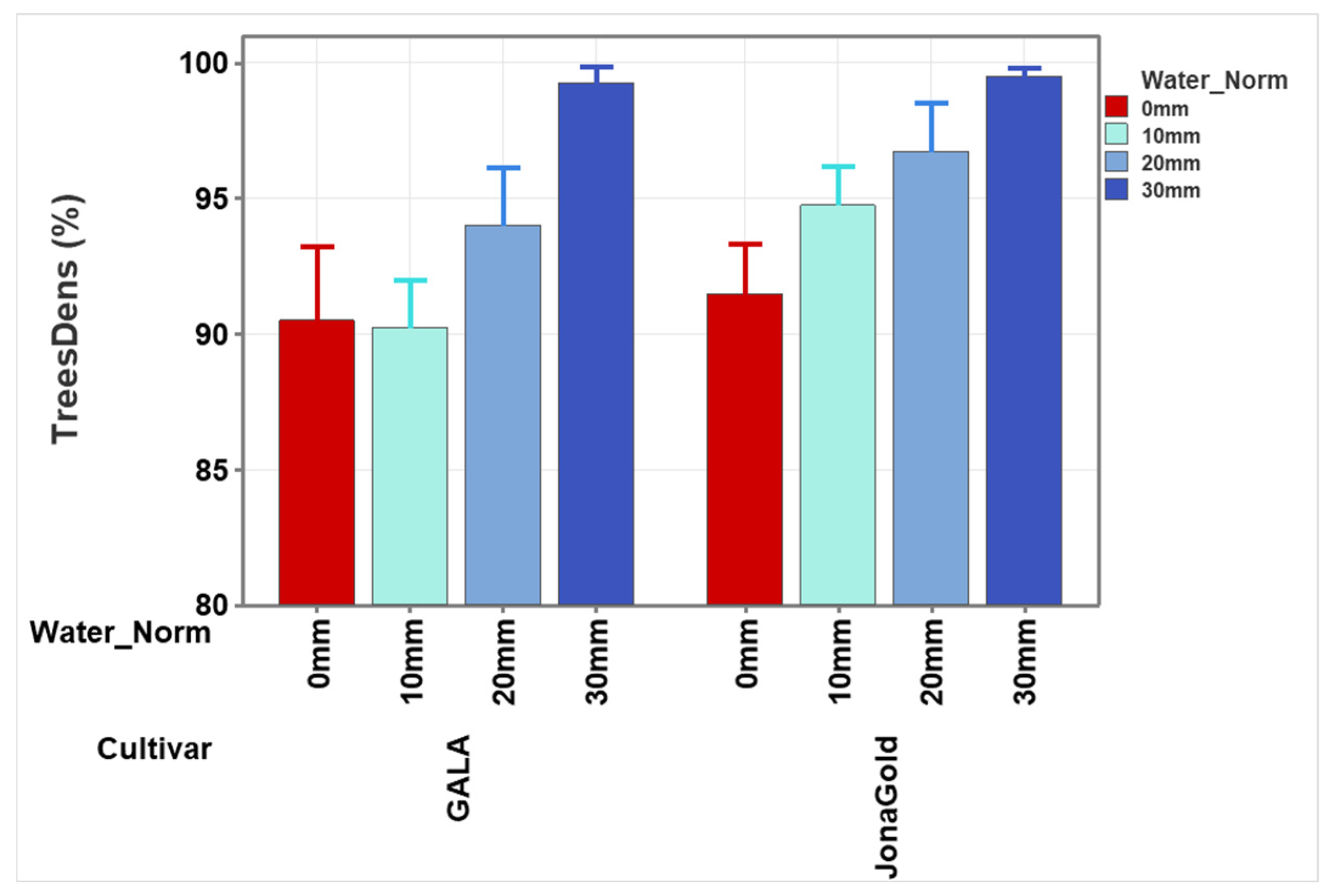
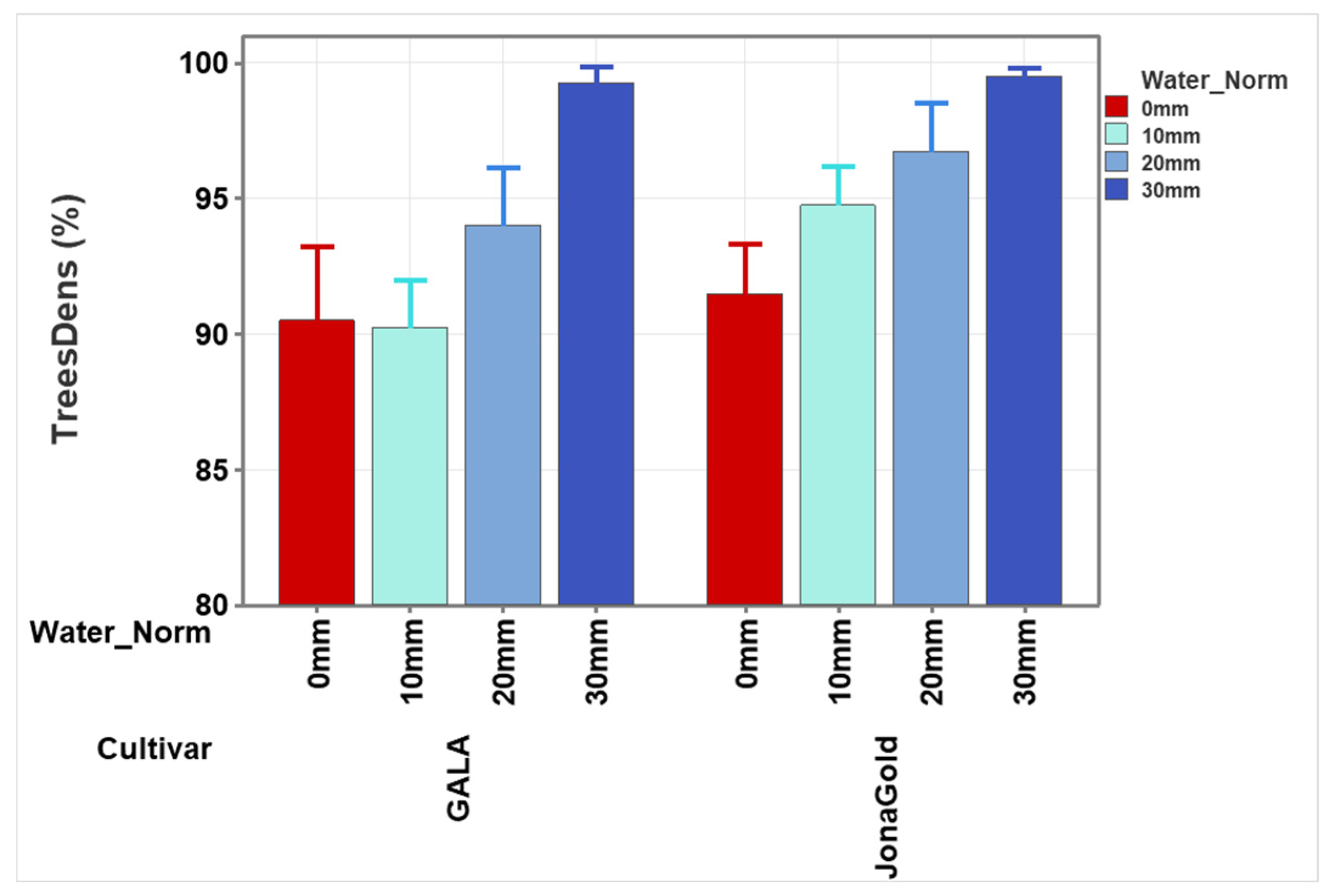
3.2. Effect of Water Norm and Cultivar on Apple Tree Density
3.3. Effect of Fertilisation and Cultivar on Apple Tree Density
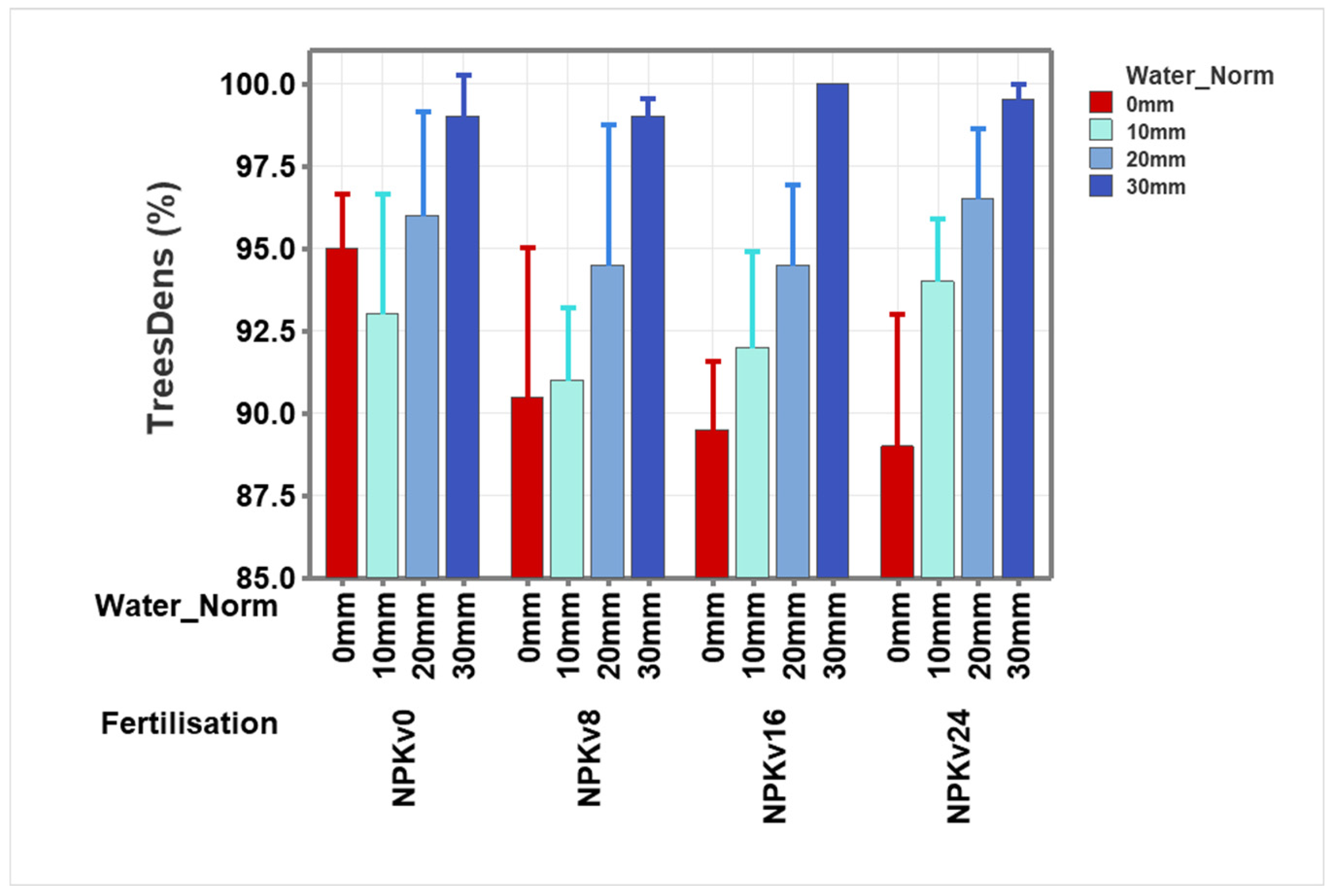
3.4. Effect of Irrigation Level and Fertilisation on Apple Tree Density
3.5. Classification of Apple Cultivars Based on Water and Fertilisation Treatments
4. Discussion
5. Conclusions
Supplementary Materials
Author Contributions
Funding
Data Availability Statement
Conflicts of Interest
References
- Spinelli, G.; Bonarrigo, A.C.; Cui, W.; Grobowsky, K.; Jordan, S.H.; Ondris, K.; Dahlke, H.E. Evaluating the Distribution Uniformity of Ten Overhead Sprinkler Models Used in Container Nurseries. Agric. Water Manag. 2024, 303, 109042. [Google Scholar] [CrossRef]
- Tardivo, C.; Patel, S.; Bowman, K.D.; Albrecht, U. Nursery Characteristics and Field Performance of Nine Novel Citrus Rootstocks under HLB-Endemic Conditions. HortScience 2025, 60, 931–939. [Google Scholar] [CrossRef]
- Wei, H.; Xu, W.; Kang, B.; Eisner, R.; Muleke, A.; Rodriguez, D.; Harrison, M.T. Irrigation with Artificial Intelligence: Problems, Premises, Promises. Hum.-Cent. Intell. Syst. 2024, 4, 187–205. [Google Scholar] [CrossRef]
- Thakur, S.; Sharma, N.C.; Kumar, P.; Verma, P.; Singh, U.; Verma, P. Optimisation of Budding Timing and Methods for Production of Quality Apricot Nursery Plants. J. Hortic. Sci. Biotechnol. 2025, 1–18. [Google Scholar] [CrossRef]
- Carr, M.K.V. Irrigation Research: Developing a Holistic Approach. Acta Hortic. 2000, 537, 733–739. [Google Scholar] [CrossRef]
- Rosa, L.; Ragettli, S.; Sinha, R.; Zhovtonog, O.; Yu, W.; Karimi, P. Regional Irrigation Expansion Can Support Climate-Resilient Crop Production in Post-Invasion Ukraine. Nat. Food 2024, 5, 684–692. [Google Scholar] [CrossRef]
- Nicolae, S.; Butac, M.; Chivu, M. Comparative Study in the Nursery of Vegetative Plum Rootstocks, ‘Mirodad 1’ and ‘Saint Julien A’. Sci. Pap. Ser. B Hortic. 2024, LXVIII, 94–98. [Google Scholar]
- Kumawat, K.L.; Raja, W.H.; Nabi, S.U. Quality of Nursery Trees Is Critical for Optimal Growth and Inducing Precocity in Apple. Appl. Fruit Sci. 2024, 66, 2135–2143. [Google Scholar] [CrossRef]
- Kumawat, K.L.; Raja, W.H.; Chand, L.; Rai, K.M.; Lal, S. Influence of Plant Growth Regulators on Growth and Formation of Sylleptic Shoots in One-Year-Old Apple cv. Gala Mast. J. Environ. Biol. 2023, 44, 122–133. [Google Scholar] [CrossRef]
- Ray, S.; Majumder, S. Water Management in Agriculture: Innovations for Efficient Irrigation. In Modern Agronomy; International Books & Periodical Supply Service: New Delhi, India, 2024; pp. 169–185. [Google Scholar]
- Heera, J. Challenges Encountered by Nursery Owners When Producing Seedlings. Indo-Am. J. Agric. Vet. Sci. 2025, 13, 1–10. [Google Scholar]
- Oyedele, O.O.; Adebisi-Adelani, O.; Amao, I.O.; Ibe, R.B.; Arogundade, O.; Amosu, S.A.; Alamu, O.O. Knowledge Uptake of Stakeholders in Fruit Tree Production Training in Ibadan, Oyo State. J. Agric. Ext. 2025, 29, 101–110. [Google Scholar] [CrossRef]
- Lian, H.N.; Sema, A.; Singh, B.; Sarkar, A.; Konjengbam, R. Nursery Performance of Khasi Mandarin on Different Citrus Rootstocks in Northeast India. Appl. Fruit Sci. 2025, 67, 155. [Google Scholar] [CrossRef]
- Kour, R.; Alavekar, M.S.; Singh, R.P.; Singh, D. Nursery Management and Disease Control. Hortic. Crops 2025, 174. [Google Scholar]
- Dominguez, L.I.; Robinson, T.L. Effects of Tree Lateral Branch Number and Angle on Early Growth and Yield of High-Density Apple Trees. HortTechnology 2025, 35, 191–201. [Google Scholar] [CrossRef]
- Mayer, J. My Little Fruit Tree; Franckh Kosmos Publishing House: Stuttgart, Germany, 2019; p. 113. ISBN 9783440163645. [Google Scholar]
- Zahir, S.A.D.M.; Jamlos, M.F.; Omar, A.F.; Nordin, M.A.H.; Raypah, M.E.A.; Mamat, R.; Muncan, J. Quantifying the Impact of Varied NPK Fertilizer Levels on Oil Palm Plants during the Nursery Stage: A Vis-NIR Spectral Reflectance Analysis. Smart Agric. Technol. 2025, 11, 100864. [Google Scholar] [CrossRef]
- Mir, M.S.; Raja, W.; Kanth, R.H.; Dar, E.A.; Shah, Z.A.; Bhat, M.A.; Salem, A. Optimizing Irrigation and Nitrogen Levels to Achieve Sustainable Rice Productivity and Profitability. Sci. Rep. 2025, 15, 6675. [Google Scholar] [CrossRef]
- Rotowa, O.J.; Małek, S.; Jasik, M.; Staszel-Szlachta, K. Substrate and Fertilisation Used in the Nursery Influence Biomass and Nutrient Allocation in Fagus sylvatica and Quercus robur Seedlings after the First Year of Growth in a Newly Established Forest. Forests 2025, 16, 511. [Google Scholar] [CrossRef]
- Csihon, Á.; Holb, I.J.; Szabó, Z.; Kovács, G.; Varga, A.; Varga, Z.; Varga, M.; Varga, N.; Dorottya, B.; Lakatos, G. Impacts of N–P–K–Mg Fertilizer Combinations on Tree Parameters and Fungal Disease Incidences in Apple Cultivars. Horticulturae 2024, 10, 1217. [Google Scholar]
- Choi, S.-H.; Kim, D.-Y.; Lee, S.Y.; Lee, K.H. Effect of Nutrient Management during the Nursery Period on the Growth, Tissue Nutrient Content, and Flowering Characteristics of Hydroponic Strawberry in 2022. Horticulturae 2024, 10, 1227. [Google Scholar] [CrossRef]
- Chu, L.; Liu, D.; Li, C.; Xu, C.; Huang, H. Dwarfing of Fruit Trees: From Old Cognitions to New Insights. Hortic. Adv. 2025, 3, 7. [Google Scholar] [CrossRef]
- Aglar, E.; Ozturk, B.; Saracoglu, O.; Demirsoy, H.; Demirsoy, L. Rootstock and Training Effects on Growth and Fruit Quality of Young ‘0900 Ziraat’ Sweet Cherry Trees. Appl. Fruit Sci. 2024, 66, 61–70. [Google Scholar] [CrossRef]
- Hasan, M.U.; Malik, A.U.; Saleem, B.A.; Raza, H.; Amin, M. Supplementation of Potassium and Phosphorus Nutrients to Young Trees Reduced Rind Thickness and Improved Sweetness in ‘Kinnow’ Mandarin Fruit. Erwerbs-Obstbau 2023, 65, 1657–1666. [Google Scholar] [CrossRef]
- Nečas, T.; Wolf, J.; Kiss, T.; Göttingerová, M.; Ondrášek, I.; Venuta, R.; Laňar, L.; Letocha, T. Improving the Quality of Nursery Apple and Pear Trees with the Use of Different Plant Growth Regulators. Eur. J. Hortic. Sci. 2020, 85, 430–438. [Google Scholar] [CrossRef]
- Wolf, J.; Kiss, T.; Ondrašek, I.; Nečas, T. Induction of Lateral Branching of Sweet Cherry and Plum in Fruit Nursery. Not. Bot. Horti Agrobot. Cluj-Napoca 2019, 47, 962–969. [Google Scholar] [CrossRef]
- Sayyad-Amin, P. A Review on Breeding Fruit Trees Against Climate Changes. Erwerbs-Obstbau 2022, 64, 697–701. [Google Scholar] [CrossRef]
- Ferreira, C.S.S.; Soares, P.R.; Guilherme, R.; Vitali, G.; Boulet, A.; Harrison, M.T.; Malamiri, H.; Duarte, A.C.; Kalantari, Z.; Ferreira, A.J.D. Sustainable Water Management in Horticulture: Problems, Premises, and Promises. Horticulturae 2024, 10, 951. [Google Scholar] [CrossRef]
- Neupane, K.; Witcher, A.; Baysal-Gurel, F. An Evaluation of the Effect of Fertilizer Rate on Tree Growth and the Detection of Nutrient Stress in Different Irrigation Systems. Horticulturae 2024, 10, 767. [Google Scholar] [CrossRef]
- Duan, X.; Zhang, H.; Li, Y.; Zhang, J.; Wang, L.; Zhang, X.; Zhang, Y.; Zhang, Z. Optimization of Irrigation and Fertilization of Apples under Magnetoelectric Water Irrigation in Extremely Arid Areas. Front. Plant Sci. 2024, 15, 1356338. [Google Scholar] [CrossRef] [PubMed]
- Mankotia, S.; Sharma, J.C.; Verma, M.L. Impact of Irrigation and Fertigation Schedules on Physical and Biochemical Properties of Apple under High-Density Plantation. Commun. Soil Sci. Plant Anal. 2024, 56, 985–993. [Google Scholar] [CrossRef]
- Mašán, V.; Burg, P.; Vaštík, L.; Vlk, R.; Souček, J.; Krakowiak-Bal, A. The Evaluation of the Impact of Different Drip Irrigation Systems on the Vegetative Growth and Fruitfulness of ‘Gala’ Apple Trees. Agronomy 2025, 15, 2161. [Google Scholar] [CrossRef]
- Ali, N.; Dong, Y.; Lavely, E. Impact of Irrigation Scheduling on Yield and Water Use Efficiency of Apples, Peaches, and Sweet Cherries: A Global Meta-Analysis. Agric. Water Manag. 2024, 306, 109148. [Google Scholar] [CrossRef]
- Tong, X.; Wu, P.; Liu, X.; Zhang, L.; Zhou, W.; Wang, Z. A Global Meta-Analysis of Fruit Tree Yield and Water Use Efficiency under Deficit Irrigation. Agric. Water Manag. 2022, 260, 107321. [Google Scholar] [CrossRef]
- Cheng, M.; Gai, Z.; Ding, S.; Zhou, Q. A Global Meta-Analysis of Yield and Water Use Efficiency of Major Crops under Deficit and Alternative Irrigation Regimes. Agric. Water Manag. 2021, 248, 106812. [Google Scholar] [CrossRef]
- Chira, L.; Pașca, I. Apple Trees Growing; MAST Publishing House: Bucharest, Romania, 2004; p. 37. ISBN 9738497981. [Google Scholar]
- Zhou, H.; Ma, L.; Zhang, S.; Zhao, L.; Niu, X.; Qin, L.; Xiang, Y.; Guo, J.; Wu, Q. Effect of Water–Fertilizer Coupling on the Growth and Physiological Characteristics of Young Apple Trees. Agronomy 2023, 13, 2506. [Google Scholar] [CrossRef]
- Li, X.; Zhang, H.; Li, Y.; Zhang, J.; Wang, L.; Zhang, X.; Zhang, Y.; Zhang, Z. Effects of Water and Nitrogen Regulation on Apple Tree Growth and Physiological Characteristics. Plants 2024, 13, 2404. [Google Scholar] [CrossRef] [PubMed]
- Zhong, T.; Wang, L.; Li, C.; Chen, Y.; Liu, X.; Zhang, H. Comprehensive Evaluation of Water–Fertilizer Coupling Technology in Horticultural Crops. Front. Plant Sci. 2024, 15, 1386109. [Google Scholar]
- Harb, B.; Kannan, S.; McGregor, A. Approximating the Best-Fit Tree under Lp Norms. In Approximation, Randomization and Combinatorial Optimization: Algorithms and Techniques. In Proceedings of the APPROX-RANDOM 2005, Berkeley, CA, USA, 22–24 August 2005; Springer: Berlin/Heidelberg, Germany, 2005; pp. 123–133. [Google Scholar]
- Enache, L. Agrometeorology; Sitech Publishing House: Bucharest, Romania, 2012. [Google Scholar]
- Xing, Y.; Chen, R.; Sun, Q.; Liu, Z.; Wang, P.; Zhao, Y. Precise Application of Water and Fertilizer to Crops: Review of Technologies and Agronomic Outcomes. Front. Plant Sci. 2024, 15, 1444560. [Google Scholar] [CrossRef]
- Dominguez, L.I.; Robinson, T.L. Benefits of Irrigation or Fertigation on Early Growth and Yield of a High-Density Apple Planting in a Humid Climate. HortTechnology 2024, 34, 747–760. [Google Scholar] [CrossRef]
- Serrano, A.; Sun, Q.; Bauerle, T.L. Root System Architecture of Apple Genotypes under Contrasting Soil Conditions. Plants 2023, 12, 2644. [Google Scholar] [CrossRef]
- Tworkoski, T.; Fazio, G. Physiological and Anatomical Basis of Drought Tolerance in Apple Rootstocks. Sci. Hortic. 2016, 204, 70–78. [Google Scholar] [CrossRef]
- Hsiao, T.C.; Xu, L.K. Sensitivity of Growth of Roots versus Leaves to Water Stress: Biophysical Analysis and Relation to Plant Drought Tolerance. Agric. Water Manag. 2000, 45, 271–293. [Google Scholar]
- Sharma, M.; Singh, S.; Kumar, P. Effects of Irrigation and Fertigation on Leaf Nutrient Status, Growth, and Yield of Apple (Malus domestica). Heliyon 2024, 10, e25987. [Google Scholar]
- Lo Bianco, R. Water-Related Variables for Predicting Yield of Apple under Deficit Irrigation. Horticulturae 2019, 5, 8. [Google Scholar] [CrossRef]
- Naor, A.; Wulfsohn, D.; Cohen, S.; Pawelzik, E. Water Stress during Apple Orchard Establishment Affects Long-Term Productivity and Canopy Development. J. Am. Soc. Hortic. Sci. 2008, 133, 701–707. [Google Scholar]
- Rana, A.; Singh, V.; Kumar, D.; Rawat, S. Integrated Nutrient Management in Apple-Based Horti-Olericulture System Enhances Yield and Soil Health in the Himalayan Region. Agriculture 2021, 11, 1023. [Google Scholar]
- Tóth, F.A.; Nyéki, J.; Soltész, M.; Racskó, J. Improving the Nutrient Management of an Apple Orchard Using Organic-Based Composites Derived from Agricultural Waste. Horticulturae 2024, 10, 172. [Google Scholar] [CrossRef]
- Mohammadi, K.; Sohrabi, Y. Bacterial Biofertilizers for Sustainable Crop Production: A Review. J. Agric. Biol. Sci. 2012, 7, 307–316. [Google Scholar]
- Schupp, J.R.; Fallahi, E. Irrigation and Fertilization Affect Apple Leaf Nutrient Concentrations and Fruit Quality. HortScience 2004, 39, 56–60. [Google Scholar]
- Girona, J.; Marsal, J. Establishment-Phase Water Stress Reduces Long-Term Yield and Vegetative Growth of Apple Orchards. Agric. Water Manag. 2010, 97, 1522–1531. [Google Scholar]
- Fereres, E.; Soriano, M.A. Deficit Irrigation for Reducing Agricultural Water Use. J. Exp. Bot. 2007, 58, 147–159. [Google Scholar] [CrossRef] [PubMed]











| Month | Jan. | Feb. | Mar. | Apr. | May | Jun. | Jul. | Aug. | Sep. | Oct. | Nov. | Dec. | Average |
|---|---|---|---|---|---|---|---|---|---|---|---|---|---|
| Average monthly temperatures (°C) | −2.5 | −1.9 | 4 | 12.5 | 16 | 19.5 | 24 | 20 | 18.3 | 13.5 | 7.5 | −2.4 | 10.7 |
| Average monthly precipitations (mm) | 12.5 | 15.7 | 18 | 2 | 103.8 | 55.6 | 86.4 | 30.8 | 57 | 63 | 20.4 | 54.3 | 43.29 |
| Micronutrient | Measured Value (mg/kg) | Sufficiency Range (mg/kg) | Interpretation |
|---|---|---|---|
| Magnesium (Mg) | 82 | 50–120 | Sufficient |
| Calcium (Ca) | 1120 | 500–1500 | Sufficient |
| Iron (Fe) | 12.4 | 4–20 | Sufficient |
| Zinc (Zn) | 2.8 | 1–5 | Sufficient |
| pH | 6.7 | 6.0–7.5 | Suitable |
| Organic matter (%) | 2.4% | 1.5–3.5 | Suitable |
| Year | Irrigation Rate | Total Water Consumption (m3/ha) | Source of Water Consumption Coverage (m3 /ha) | ||
|---|---|---|---|---|---|
| Soil | Rainfall | Irrigation | |||
| 2024 | 0 mm | 3.872 | 0.071 | 3.162 | - |
| 10 mm | 4.020 | 0.0558 | 3.162 | 0.3 | |
| 20 mm | 4.217 | 0.0455 | 3.162 | 0.6 | |
| 30 mm | 4.251 | 0.0189 | 3.162 | 0.9 | |
| Cultivar | Frequency | Tree_Density (%) |
| Gala | 80 | 93.50 b ± 6.195 |
| Jonagold | 80 | 95.63 a ± 4.790 |
| Water_Norm | Frequency | Tree_Density (%) |
| 0 mm | 40 | 91.00 c ± 5.987 |
| 10 mm | 40 | 92.50 c ± 4.701 |
| 20 mm | 40 | 95.38 b ± 5.236 |
| 30 mm | 40 | 99.38 a ± 1.295 |
| Fertilisation | Frequency | Tree_Density (%) |
| NPKv0 | 40 | 95.75 a ± 4.882 |
| NPKv8 | 40 | 93.75 a ± 6.484 |
| NPKv16 | 40 | 94.00 a ± 5.330 |
| NPKv24 | 40 | 94.75 a ± 5.665 |
| Cultivar*Water_Norm | Frequency | Tree_Density (%) |
|---|---|---|
| Gala_0 mm | 20 | 90.50 d ± 7.090 |
| Gala_10 mm | 20 | 90.25 d ± 4.494 |
| Gala_20 mm | 20 | 94.00 bc ± 5.544 |
| Gala_30 mm | 20 | 99.25 a ± 1.650 |
| Jonagold_0 mm | 20 | 91.50 cd ± 4.774 |
| Jonagold_10 mm | 20 | 94.75 b ± 3.810 |
| Jonagold_20 mm | 20 | 96.75 ab ± 4.644 |
| Jonagold_30 mm | 20 | 99.50 a ± 0.827 |
| Cultivar*Fertilisation | Frequency | Tree_Density (%) |
|---|---|---|
| Gala_NPKv0 | 20 | 93.75 bc ± 5.486 |
| Gala_NPKv8 | 20 | 94.00 c ± 6.751 |
| Gala_NPKv16 | 20 | 93.00 bc ± 5.912 |
| Gala_NPKv24 | 20 | 93.25 bc ± 6.950 |
| Jonagold_NPKv0 | 20 | 97.75 a ± 3.226 |
| Jonagold_NPKv8 | 20 | 93.50 abc ± 6.370 |
| Jonagold_NPKv16 | 20 | 95.00 ab ± 4.611 |
| Jonagold_NPKv24 | 20 | 96.25 bc ± 3.582 |
| Fertilisation*Water_Norm | Frequency | Tree_Density (%) |
|---|---|---|
| NPKv0_0 mm | 10 | 95.00 bcd ± 2.867 |
| NPKv0_10 mm | 10 | 93.00 de ± 6.325 |
| NPKv0_20 mm | 10 | 96.00 e ± 5.416 |
| NPKv0_30 mm | 10 | 99.00 e ± 2.211 |
| NPKv8_0 mm | 10 | 90.50 cde ± 7.807 |
| NPKv8_10 mm | 10 | 91.00 de ± 3.801 |
| NPKv8_20 mm | 10 | 94.50 cde ± 7.382 |
| NPKv8_30 mm | 10 | 99.00 cd ± 0.943 |
| NPKv16_0 mm | 10 | 89.50 abc ± 3.598 |
| NPKv16_10 mm | 10 | 92.00 cd ± 5.011 |
| NPKv16_20 mm | 10 | 94.50 cd ± 4.223 |
| NPKv16_30 mm | 10 | 100.00 abc ± 0.000 |
| NPKv24_0 mm | 10 | 89.00 ab ± 6.944 |
| NPKv24_10 mm | 10 | 94.00 ab ± 3.266 |
| NPKv24_20 mm | 10 | 96.50 a ± 3.689 |
| NPKv24_30 mm | 10 | 99.50 a ± 0.850 |
Disclaimer/Publisher’s Note: The statements, opinions and data contained in all publications are solely those of the individual author(s) and contributor(s) and not of MDPI and/or the editor(s). MDPI and/or the editor(s) disclaim responsibility for any injury to people or property resulting from any ideas, methods, instructions or products referred to in the content. |
© 2025 by the authors. Licensee MDPI, Basel, Switzerland. This article is an open access article distributed under the terms and conditions of the Creative Commons Attribution (CC BY) license (https://creativecommons.org/licenses/by/4.0/).
Share and Cite
Venig, A.; Teușdea, A.C.; Peticilă, A. Optimizing Nursery Production of Apple Trees: Assessing the Dose Response to Water and Fertilizer in Two Cultivars. Horticulturae 2025, 11, 1425. https://doi.org/10.3390/horticulturae11121425
Venig A, Teușdea AC, Peticilă A. Optimizing Nursery Production of Apple Trees: Assessing the Dose Response to Water and Fertilizer in Two Cultivars. Horticulturae. 2025; 11(12):1425. https://doi.org/10.3390/horticulturae11121425
Chicago/Turabian StyleVenig, Adelina, Alin Cristian Teușdea, and Adrian Peticilă. 2025. "Optimizing Nursery Production of Apple Trees: Assessing the Dose Response to Water and Fertilizer in Two Cultivars" Horticulturae 11, no. 12: 1425. https://doi.org/10.3390/horticulturae11121425
APA StyleVenig, A., Teușdea, A. C., & Peticilă, A. (2025). Optimizing Nursery Production of Apple Trees: Assessing the Dose Response to Water and Fertilizer in Two Cultivars. Horticulturae, 11(12), 1425. https://doi.org/10.3390/horticulturae11121425
