Hylomecon japonica: A Review About Botanical Aspects, Traditional Applications, Chemical Composition, and Pharmacological Properties
Abstract
1. Introduction
2. Methods
3. Geographical Distribution
4. Botanical Aspects
5. Traditional Uses
6. Chemical Constituents
6.1. Alkaloids
| No. | Name | Formula | Exact Theoretical Molecular Weight | Source | Characterization Method | Refs. |
|---|---|---|---|---|---|---|
| 1. | Norchelerythrine | C20H15NO4 | 333.1001 | Roots, rhizomes | ESI-MS, 1H NMR, 13C NMR | [23] |
| Roots | mp, UV, IR, MS, 1H NMR, 13C NMR | [24] | ||||
| 2. | 6-(N,N-Diethylacetamido)yl-dihydrochelerythrine | C27H30N2O5 | 462.2155 | Roots, rhizomes | , UV, IR, HR-ESI-MS, 1H NMR, 13C NMR, HMBC, 1H-1H COSY, DEPT | [23] |
| 3. | 6S-(N,N-Diethylacetamido)yl-dihydrochelerythrine | C27H30N2O5 | 462.2155 | Roots, rhizomes | , HPLC, ECD | [23] |
| 4. | 6R-(N,N-Diethylacetamido)yl-dihydrochelerythrine | C27H30N2O5 | 462.2155 | Roots, rhizomes | , HPLC, ECD | [23] |
| 5. | 6-Acetonyl-9-hydroxy-dihydrochelerythrine | C24H23NO5 | 405.1576 | Roots, rhizomes | , UV, HPLC, IR, HR-ESI-MS, 1H NMR, 13C NMR, HMBC, 1H-1H COSY, NOESY | [23] |
| 6. | 6R-Acetonyl-9-hydroxy-dihydrochelerythrine | C24H23NO5 | 405.1576 | Roots, rhizomes | , UV, HPLC, IR, HR-ESI-MS, 1H NMR, 13C NMR, HMBC, 1H-1H COSY, NOESY, ECD | [23] |
| 7. | 6S-Acetonyl-9-hydroxy-dihydrochelerythrine | C24H23NO5 | 405.1576 | Roots, rhizomes | , UV, HPLC, IR, HR-ESI-MS, 1H NMR, 13C NMR, HMBC, 1H-1H COSY, NOESY, ECD | [23] |
| 8. | 6-Acroleinyl-dihydrochelerythrine | C24H21NO5 | 404.1496 | Roots, rhizomes | , UV, IR, HR-ESI-MS, 1H NMR, 13C NMR, HSQC, NOESY, HMBC | [23] |
| 9. | 6S-Acroleinyl-dihydrochelerythrine | C24H21NO5 | 403.1420 | Roots, rhizomes | , UV, IR, HPLC, HR-ESI-MS, 1H NMR, 13C NMR, HSQC, NOESY, HMBC, ECD | [23] |
| 10. | 6R-Acroleinyl-dihydrochelerythrine | C24H21NO5 | 403.1420 | Roots, rhizomes | , UV, IR, HPLC, HR-ESI-MS, 1H NMR, 13C NMR, HSQC, NOESY, HMBC, ECD | [23] |
| 11. | 6-Acetate-methyl-dihydrochelerythrine | C24H23NO6 | 422.16150 | Roots, rhizomes | , IR, UV, HR-ESI-MS, 1H NMR, 13C NMR, 1H-1H COSY, HSQC, NOESY, HMBC, ECD | [23] |
| 12. | 6S-Acetatemethyl-dihydrochelerythrine | C24H23NO6 | 421.1525 | Roots, rhizomes | , IR, UV, HPLC, HR-ESI-MS, 1H NMR, 13C NMR, 1H-1H COSY, HSQC, NOESY, ECD | [23] |
| 13. | 6R-Acetatemethyl-dihydrochelerythrine | C24H23NO6 | 421.1525 | Roots, rhizomes | , IR, HPLC, UV, HR-ESI-MS, 1H NMR, 13C NMR, 1H-1H COSY, HSQC, NOESY, ECD | [23] |
| 14. | 6,10-Dimethoxydihydrochelerythrine | C23H23NO6 | 409.1525 | Roots, rhizomes | , UV, IR, HR-ESI-MS, 1H NMR, 13C NMR, NOESY, HMBC | [23] |
| 15. | 6-Ethoxy-ethaniminyl-dihydrochelandine | C25H26N2O5 | 434.1842 | Roots, rhizomes | , UV, IR, HR-ESI-MS, 1H NMR, 13C NMR, 1H-1H COSY, NOESY, HMBC | [23] |
| 16. | 9-Hydroxy-dihydrochelerythrine | C21H19NO5 | 365.1263 | Roots, rhizomes | , UV, IR, HR-ESI-MS, 1H NMR, 13C NMR, NOESY, HMBC | [23] |
| 17. | 9-Methoxy-10-hydroxy-norchelerythrine | C21H17NO5 | 379.1056 | Roots, rhizomes | , UV, IR, HR-ESI-MS, 1H NMR, 13C NMR, 1H-1H COSY, HMBC, NOESY | [23] |
| 18. | Chelidoniumine A | C20H15NO5 | 349.0950 | Roots, rhizomes | , UV, IR, HR-ESI-MS, 1H NMR, 13C NMR, HMBC, DEPT, HSQC, ECD | [23] |
| 19. | Dihydrochelerythrine | C21H19NO4 | 349.1314 | Roots, rhizomes | ESI-MS, 1H NMR, 13C NMR | [23] |
| 20. | 6-Methoxydihydrochelerythrine | C22H21NO5 | 379.1420 | Roots, rhizomes | ESI-MS, 1H NMR, 13C NMR | [23] |
| Roots | mp, 1H NMR, 13C NMR | [26] | ||||
| 21. | Oxychelerythrine | C21H17NO5 | 363.1107 | Roots, rhizomes | ESI-MS, 1H NMR, 13C NMR | [23] |
| 22. | Bocconoline | C22H21NO5 | 379.1420 | Roots, rhizomes | ESI-MS, 1H NMR, 13C NMR | [23] |
| Roots | mp, IR, UV, MS, 1H NMR, 13C NMR | [24] | ||||
| 23. | 6-Acetaldehyde-dihyrochelerythrine | C23H21NO5 | 391.1420 | Roots, rhizomes | ESI-MS, 1H NMR, 13C NMR | [23] |
| 24. | Dihydrosanguinaline | C20H15NO4 | 333.1001 | Roots, rhizomes | ESI-MS, 1H NMR, 13C NMR | [23] |
| 25. | Methyl 2’-(7,8-dihydrosanguinarine-8-yl) acetate | C23H19NO6 | 405.1212 | Roots, rhizomes | ESI-MS, 1H NMR, 13C NMR | [23] |
| 26. | 10-Methoxy boconoline | C23H23NO6 | 409.1525 | Roots, rhizomes | ESI-MS, 1H NMR, 13C NMR | [23] |
| 27. | Norsanguinarine | C19H11NO4 | 317.0688 | Roots, rhizomes | ESI-MS, 1H NMR, 13C NMR | [23] |
| Roots, aerial parts | mp, UV, MS, 1H NMR, 13C NMR | [24] | ||||
| Roots | mp, 1H NMR, 13C NMR | [26] | ||||
| 28. | 10-Methoxy-norchelerythrine | C21H17NO5 | 363.1107 | Roots, rhizomes | ESI-MS, 1H NMR, 13C NMR | [23] |
| 29. | 6-Acetonyldihydrochelerythrine | C24H23NO5 | 405.1576 | Roots, rhizomes | ESI-MS, 1H NMR, 13C NMR | [23] |
| 30. | 6-Methoxydihydrosanguinarine | C21H17NO5 | 363.1107 | Roots, rhizomes | mp, HPLC, ESI-MS, 1H NMR, 13C NMR | [25] |
| Roots | mp, 1H NMR, 13C NMR | [26] | ||||
| Roots | MS, 1H NMR, 13C NMR | [28] | ||||
| 31. | Choline | C5H14NO+ | 104.1070 | Roots | 1H NMR, 13C NMR | [24] |
| 32. | Chelerythrine | C21H18NO4+ | 348.1230 | Roots | UV, 1H NMR, 13C NMR | [24] |
| Roots | mp, 1H NMR, 13C NMR | [26] | ||||
| 33. | Sanguinarine | C20H14NO4+ | 332.0917 | Roots | UV, 1H NMR, 13C NMR | [24] |
| 34. | Protopine | C20H19NO5 | 353.1263 | Roots | mp, UV, TLC, MS, 1H NMR, 13C NMR | [24] |
| Roots | Chemical reaction, mp, , IR, HPLC | [27] | ||||
| Roots | mp, 1H NMR, 13C NMR | [26] | ||||
| Roots, rhizomes | 1H NMR, 13C NMR | [29] | ||||
| 35. | 6-Hydroxymethyldihydrosanguinarine | C21H17NO5 | 363.1107 | Roots | IR, UV, MS, 1H NMR, 13C NMR | [24] |
| 36. | 6-Acetonylhydrosanguinarine | C23H19NO5 | 389.1263 | Roots | mp, ESI-MS, 1H NMR, 13C NMR | [25] |
| MS, 1H NMR, 13C NMR | [28] | |||||
| 37. | Dihydrosanguinarine | C20H15NO4 | 333.1001 | Roots | mp, HPLC, ESI-MS, 1H NMR, 13C NMR | [25] |
| mp, 1H NMR, 13C NMR | [26] | |||||
| MS, 1H NMR, 13C NMR | [28] | |||||
| 38. | Oxysanguinarine | C20H13NO5 | 347.0794 | Roots | mp, 1H NMR, 13C NMR | [26] |
| 39. | (1′-Hydroxyethyl)-7,8-dihydrochelerythrine | C22H21NO4 | 363.1471 | Roots | mp, 1H NMR, 13C NMR | [26] |
| 40. | 10-Methoxydihydrosanguinarine | C22H17NO5 | 363.1107 | Roots | mp, 1H NMR, 13C NMR | [26] |
| 41. | 20β-(N-Senecoylamino)-pregn-5-en | C27H43NO | 397.3345 | Roots | mp, 1H NMR, 13C NMR | [26] |
| 42. | Spiropachysine B | C29H50N2O | 442.3923 | Roots | mp, 1H NMR, 13C NMR | [26] |
| 43. | Dehydrocoryaline | C22H24NO4+ | 366.1700 | Roots | mp, 1H NMR, 13C NMR | [26] |
| 44. | Allocryptopine | C21H23NO5 | 369.1576 | Roots | Chemical reaction, mp, , IR, HPLC | [27] |
| Roots, rhizomes | 1H NMR, 13C NMR | [29] | ||||
| 45. | Cryptopine | C21H23NO5 | 369.1576 | Roots | Chemical reaction, mp, , IR, HPLC | [27] |
| Roots, rhizomes | 1H NMR, 13C NMR | [29] | ||||
| 46. | 6-(2-Hydroxyethyl)-dihydrosanguinarine | C22H19NO5 | 377.1263 | Roots, rhizomes | , TLC, UV, IR, HR-ESI-MS, 1H NMR, 13C NMR, 2D NMR | [29] |
| 47. | 6S-(2-Hydroxyethyl) dihydrosanguinarine | C22H19NO5 | 377.1263 | Roots, rhizomes | , HPLC, ECD | [29] |
| 48. | 6R-(2-Hydroxyethyl) dihydrosanguinarine | C22H19NO5 | 377.1263 | Roots, rhizomes | , HPLC, ECD | [29] |
| 49. | 6R-hydroxydihydrochelerythrine | C23H21NO6 | 407.1369 | Roots, rhizomes | , HPLC, ECD | [29] |
| 50. | 6-Carboxymethyl-dihydrochelerythrine | C23H21NO6 | 407.1369 | Roots, rhizomes | , TLC, UV, IR, HR-ESI-MS, 1H NMR, 13C NMR, 2D NMR | [29] |
| 51. | 6S-Hydroxydihydrochelerythrine | C23H21NO6 | 407.1369 | Roots, rhizomes | , HPLC, ECD | [29] |
| 52. | 6-Hydroxyethyl-dihydrochelerythrine | C23H23NO5 | 393.1576 | Roots, rhizomes | , TLC, UV, IR, HR-ESI-MS, 1H NMR, 13C NMR, 2D NMR | [29] |
| 53. | 6S-Hydroxyethyl-dihydrochelerythrine | C23H23NO5 | 393.1576 | Roots, rhizomes | , HPLC, ECD | [29] |
| 54. | 6R-Hydroxyethyl-dihydrochelerythrine | C23H23NO5 | 393.1576 | Roots, rhizomes | , HPLC, ECD | [29] |
| 55. | (1′R,6S)/(1′S,6R)-1-(Dihydrochelerythrine-6-yl) ethanol | C23H23NO5 | 393.1576 | Roots, rhizomes | 1H NMR, 13C NMR | [29] |
| 56. | (1′R,6R)/(1′S,6S)-1-(Dihydrochelerythrine-6-yl) ethanol | C23H23NO5 | 393.1576 | Roots, rhizomes | 1H NMR, 13C NMR | [29] |
| 57. | (1′R,6S)/(1′S,6R)-1-(Dihydrosanguinarine-6-yl) ethanol | C22H19NO5 | 377.1263 | Roots, rhizomes | 1H NMR, 13C NMR | [29] |
| 58. | (1′R,6R)/(1′S,6S)-1-(Dihydrosanguinarine-6-yl) ethanol | C22H19NO5 | 377.1263 | Roots, rhizomes | 1H NMR, 13C NMR | [29] |
| 59. | Arnotianamide | C21H19NO6 | 381.1212 | Roots, rhizomes | 1H NMR, 13C NMR | [29] |
| 60. | Chelirubine | C21H16NO5 | 362.1023 | Unspecified | Unspecified | [30] |
| 61. | Coptisine | C19H14NO4 | 320.0917 | Unspecified | Unspecified | [30] |
| 62. | Tetrahydroberberine | C20H21NO4 | 339.1471 | Unspecified | Unspecified | [30] |
| 63. | Stylopine | C19H17NO4 | 323.1158 | Unspecified | Unspecified | [30] |
| 64. | Chelidonine | C20H19NO5 | 353.1263 | Unspecified | Unspecified | [30] |
6.2. Triterpenoids and Their Saponins
6.3. Phenolic Compounds
6.4. Flavonoids
6.5. Other Compounds
6.6. Trace Elements
7. Pharmacological Effects
7.1. Anticancer Effect
7.2. Antibacterial Action
7.3. Anti-Inflammatory Effect
7.4. Other Pharmacological Effects
8. Discussion
9. Conclusions
Author Contributions
Funding
Data Availability Statement
Acknowledgments
Conflicts of Interest
References
- Cheng, H.Y.; Cheng, J.X.; Wei, H.; Bai, J.Q. Research progress of guaizaoqi, one famous traditional Chinese medicine on Mount Taibai. J. Shaanxi Coll. Tradit. Chin. Med. 2011, 34, 94–95. [Google Scholar] [CrossRef]
- Editorial Committee of A Record of Medicinal Herbs on Mount Hua. A Record of Medicinal Herbs on Mount Hua; Shaanxi Science and Technology Publishing House: Xi’an, China, 1985; p. 277. [Google Scholar]
- Yan, Y.Q.; Yu, C.L. Chinese Materia Medica Encyclopedia; China Medical Science Press: Beijing, China, 1996; Volume 2, p. 1946. [Google Scholar]
- Editorial Committee of Chinese Materia Medica, State Administration of TCM. Chinese Materia Medica; Shanghai Scientific and Technical Publishers: Shanghai, China, 1999; pp. 2269–2270. [Google Scholar]
- Compiling Group of Zhejiang Materia Medica Flora. Zhejiang Materia Medica Flora; Zhejiang Science and Technology Publishing House: Hangzhou, China, 1980; Volume 1, pp. 413–414. [Google Scholar]
- Yan, Z.K.; Li, W.L. Illustrated Color Atlas of Medicinal Plants from Changbai Mountain, China; People’s Medical Publishing House: Beijing, China, 1997; pp. 94–95. [Google Scholar]
- Bureau of Commerce and Health under the Revolutionary Committee of Shaanxi Province. Herbal Medicines of Shaanxi; Science Press: Beijing, China, 1971; pp. 500–501. [Google Scholar]
- Northwest Institute for Plant Research, Chinese Academy of Sciences. Flora of Qinling Mountains; Science Press: Beijing, China, 1974; Volume 1, pp. 361–362. [Google Scholar]
- Hou, K.Z. Dictionary of Families and Genera of Seed Plants in China; Science Press: Beijing, China, 1984; p. 242. [Google Scholar]
- Flora of China Editorial Committee of Chinese Academy of Sciences. The Flora of China; Science Press: Beijing, China, 1999; Volume 32, p. 72. [Google Scholar]
- Wu, D.X. Studies on the Extraction Process of Total Saponins from the Hylomecon Japonica (Thunb.) Prantl et kündig and Determination of the Content of Monomer Saponins. Master’s Thesis, Jilin University, Changchun, China, 2020. [Google Scholar] [CrossRef]
- Feng, L. Studies on Phenols from Hylomecon japonica (Thunb.) Prantl et Kündig (II). Master’s Thesis, Jilin University, Changchun, China, 2019. [Google Scholar]
- Wang, J. Studies on Saponins from Hylomecon japonica (Thunb.) Prantl et Kündig (I). Master’s Thesis, Jilin University, Changchun, China, 2017. [Google Scholar]
- Geng, Y.M. Study on Phenols from Hylomecon japonica (Thunb.) Prantl et Kündig. Master’s Thesis, Jilin University, Changchun, China, 2017. [Google Scholar]
- Yu, B.H. Antitumor Effect of Total Saponins from Hylomecon japonica (Thunb.) Prantl & Kündig on H22 Liver Cancer Mice. Master’s Thesis, Jilin University, Changchun, China, 2022. [Google Scholar] [CrossRef]
- Ma, C.L. Studies on HPLC Fingerfrint and Purification of Total Saponins in Hylomecon japonica. Master’s Thesis, Jilin University, Changchun, China, 2022. [Google Scholar] [CrossRef]
- Li, F. Studies on Saponins from Hylomecon japonica (Thunb.) Prantl & Kündig (II). Master’s Thesis, Jilin University, Changchun, China, 2021. [Google Scholar] [CrossRef]
- Zheng, J.P.; Yang, J.; Guo, Z.L.; Liu, B.; Wang, L.; Yuan, L.; Liu, S.L.; Fan, C.N. Species and faunal distribution of the early spring ephemeroid plants of temperate forests in Northeastern China. J. Beihua Univ. Nat. Sci. 2014, 15, 516–521. [Google Scholar] [CrossRef]
- Cao, Z.; Zhang, L.; Zhang, X.; Guo, Z. Predicting the potential distribution of Hylomecon japonica in China under current and future climate change based on Maxent model. Sustainability 2021, 13, 11253. [Google Scholar] [CrossRef]
- Compilation Team of National Compilation of Chinese Herbal Medicines. National Compilation of Chinese Herbal Medicines; People’s Medical Publishing House: Beijing, China, 1975. [Google Scholar]
- Health Bureau of Zhejiang Province. Medicinal Plant Flora of Tianmu Mountain in Zhejiang Province; Zhejiang People’s Publishing House: Hangzhou, China, 1965; p. 86. [Google Scholar]
- Zhang, D.H.; Huang, R.S.; Zuo, L.; Geng, Z.H. Progress on the method of extraction of alkaloids. Chin. Wild Plant Resour. 2010, 29, 15–20. [Google Scholar] [CrossRef]
- Cao, Z.; Zhu, S.; Xue, Z.; Zhang, F.; Zhang, L.; Zhang, Y.; Guo, Y.; Zhan, G.; Zhang, X.; Guo, Z. Isoquinoline alkaloids from Hylomecon japonica and their potential anti-breast cancer activities. Phytochemistry 2022, 202, 113321. [Google Scholar] [CrossRef] [PubMed]
- Itokawa, H.; Ikuta, A.; Tsutsui, N.; Ishiguro, I. Alkaloids and a sterol from Chelidonium japonicum. Phytochemistry 1978, 17, 839–840. [Google Scholar] [CrossRef]
- Choi, J.G.; Kang, O.H.; Chae, H.S.; Obiang-Obounou, B.; Lee, Y.S.; Oh, Y.C.; Kim, M.S.; Shin, D.W.; Kim, J.A.; Kim, Y.H.; et al. Antibacterial activity of Hylomecon hylomeconoides against methicillin-resistant Staphylococcus aureus. Appl. Biochem. Biotechnol. 2010, 160, 2467–2474. [Google Scholar] [CrossRef] [PubMed]
- Xue, X.; Zhang, H.; Zhang, X.; Liu, X.; Xi, K.; Han, Y.X.; Guo, Z.J. TLC bioautography-guided isolation and antimicrobial, antifungal effects of 12 alkaloids from Hylomecon japonica roots. Nat. Prod. Commun. 2017, 12, 1439–1442. [Google Scholar] [CrossRef]
- Suo, J.L.; Zhang, X.D. Isolation of protopine from Hylomecon japonica. Chin. J. Spectrosc. Lab. 2013, 30, 3260–3263. [Google Scholar] [CrossRef]
- Kang, J.S.; Long, P.H.; Lim, H.M.; Kim, Y.H.; Blaschke, G. Achiral and chiral determination of benzophenanthridine alkaloids from methanol extracts of Hylomecon species by high performance liquid chromatography. Arch. Pharm. Res. 2003, 26, 114–119. [Google Scholar] [CrossRef] [PubMed]
- Cao, Z.; Zhu, S.J.; Xue, Z.W.; Yao, L.Y.; Zhang, X.X.; Guo, Z.J. Isoquinoline alkaloids with bioactive constituents from the roots and rhizomes of Hylomecon japonica. Nat. Prod. Res. 2024, 20, 1–9. [Google Scholar] [CrossRef]
- Slavik, L.J. Alkaloids of the poppy plants (Papaveraceae). XXXVII. Alkaloids from Stylomecon heterophylla (Benth.) G. Tayl., Hylomecon vernalis Maxim, and from the leaves of Sanguinaria canadensis L. Collect. Czech. Chem. Commun. 1967, 32, 4431–4438. [Google Scholar] [CrossRef]
- Quan, K.; Liu, Q.; Li, P.; Qi, L.W. Advances of ginsenosides in anticancer activities. J. Med. Postgrad. 2015, 28, 427–431. [Google Scholar] [CrossRef]
- Fan, X.Y.; Hou, Y.J.; Jia, S.Y.; Si, R.H.; Zheng, B.W. Research progress on chemical constituents of Dioscoreae Rhizoma and pharmacological effects of saponins. Inf. Tradit. Chin. Med. 2021, 38, 79–84. [Google Scholar] [CrossRef]
- Li, F.; Wu, S.T.; Qu, M.H.; Wang, Y.X.; Ma, C.L.; Yu, B.H.; Wang, G.S. Triterpenoid saponins from the herb Hylomecon japonica. Phytochemistry 2021, 181, 112542. [Google Scholar] [CrossRef] [PubMed]
- Li, F.; Wu, S.T.; Qu, M.H.; Wang, Y.X.; Ma, C.L.; Yu, B.H.; Wang, G.S. Studies on isolation and structural identification of saponins from the herb Hylomecon japonica and their bioactivities. Carbohydr. Res. 2021, 507, 108391. [Google Scholar] [CrossRef]
- Li, F.; Wu, S.T.; Qu, M.H.; Wang, Y.X.; Ma, C.L.; Yu, B.H.; Wang, G.S. Bioactive oleanane-type saponins from Hylomecon Japonica. Phytochemistry 2021, 190, 112870. [Google Scholar] [CrossRef] [PubMed]
- Qu, Y.F.; Gao, J.Y.; Wang, J.; Geng, Y.M.; Zhou, Y.; Sun, C.X.; Li, F.; Feng, L.; Yu, M.J.; Wang, G.S. New triterpenoid saponins from the herb Hylomecon japonica. Molecules 2017, 22, 1731–1739. [Google Scholar] [CrossRef] [PubMed]
- Hua, X.Y.; Tao, S.; Sun, S.N.; Guo, N.; Yan, X.F.; Lin, J.X. Research progress on phenolic compounds of plant secondary metabolites. Biotechnol. Bull. 2017, 33, 22–29. [Google Scholar] [CrossRef]
- Lee, S.Y.; Kim, K.H.; Lee, I.K.; Lee, K.H.; Choi, S.U.; Lee, K.R. A new flavonol glycoside from Hylomecon vernalis. Arch. Pharm. Res. 2012, 35, 415–421. [Google Scholar] [CrossRef] [PubMed]
- Feng, L.; Li, F.; Yu, M.J.; Wei, N.W.; Wu, S.T.; Qu, S.T.; Wang, Y.X.; Wang, G.S. Isolation and identification of organic components from Hylomecon japonica. Spec. Wild Econ. Anim. Plant Res. 2019, 41, 72–74. [Google Scholar] [CrossRef]
- Simons, A.L.; Renouf, M.; Hendrich, S.; Murphy, P.A. Metabolism of glycitein (7,4′-dihydroxy-6-methoxy-isoflavone) by human gut microflora. J. Agric. Food Chem. 2005, 53, 8519–8525. [Google Scholar] [CrossRef] [PubMed]
- Guan, L.P.; Liu, B.Y. Antidepressant-like effects and mechanisms of flavonoids and related analogues. Eur. J. Med. Chem. 2016, 121, 47–57. [Google Scholar] [CrossRef] [PubMed]
- Hughes, S.D.; Ketheesan, N.; Haleagrahara, N. The therapeutic potential of plant flavonoids on rheumatoid arthritis. Crit. Rev. Food Sci. Nutr. 2017, 57, 3601–3613. [Google Scholar] [CrossRef] [PubMed]
- Jiang, H.; Zhang, C.; He, W. The effects of Dracocephalum heterophyllum benth flavonoid on hypertrophic cardiomyocytes induced by angiotensin II in rats. Med. Sci. Monit. 2018, 24, 6322–6330. [Google Scholar] [CrossRef]
- Singh, B.; Sharma, R.A. Plant terpenes: Defense responses, phylogenetic analysis, regulation and clinical applications. 3 Biotech 2015, 5, 129–151. [Google Scholar] [CrossRef] [PubMed]
- Ukiya, M.; Akihisa, T.; Yasukawa, K.; Tokuda, H.; Toriumi, M.; Koike, K.; Kimura, Y.; Nikaido, T.; Aoi, W.; Nishino, H.; et al. Anti-inflammatory and anti-tumor-promoting effects of cucurbitane glycosides from the roots of Bryonia dioica. J. Nat. Prod. 2002, 65, 179–183. [Google Scholar] [CrossRef]
- Lee, S.Y.; Choi, S.U.; Lee, K.R. Three new megastigmane glycosides from Hylomecon vernalis. Bull. Korean Chem. Soc. 2011, 32, 3813–3816. [Google Scholar] [CrossRef]
- Dai, M.T.; Deng, S.F.; Liu, L.R.; Tian, C.; An, Z.J. Determination and analysis of ten trace elements in Hylomecon japonica (Thunb.) Prantl from different regions. J. Guangdong Pharm. Univ. 2024, 40, 50–55. [Google Scholar] [CrossRef]
- Sun, J.; Zhang, X.; Sun, Y.; Tang, Z.S.; Guo, D.Y. Effects of Hylomecon vernalis ethanol extracts on cell cycle and apoptosis of colon cancer cells. Mol. Med. Rep. 2017, 15, 3485–3492. [Google Scholar] [CrossRef][Green Version]
- Lee, Y.J.; Yin, H.Q.; Kim, Y.H.; Li, G.Y.; Lee, B.H. Apoptosis inducing effects of 6-methoxydihydrosanguinarine in HT29 colon carcinoma cells. Arch. Pharm. Res. 2004, 27, 1253–1257. [Google Scholar] [CrossRef]
- Yin, H.Q.; Kim, Y.H.; Moon, C.K.; Lee, B.H. Reactive oxygen species-mediated induction of apoptosis by a plant alkaloid 6-methoxydihydrosanguinarine in HepG2 cells. Biochem. Pharmacol. 2005, 70, 242–248. [Google Scholar] [CrossRef] [PubMed]
- Chae, H.S.; Kang, O.H.; Keum, J.H.; Kim, S.B.; Mun, S.H.; Seo, Y.S.; Kim, M.R.; Choi, J.G.; Shin, D.W.; Oh, Y.C.; et al. Anti-inflammatory effects of Hylomecon hylomeconoides in RAW 264.7 cells. Eur. Rev. Med. Pharmacol. Sci. 2012, 16, 121–125. [Google Scholar] [CrossRef] [PubMed]
- Zhang, L.; Zhang, X.; Che, D.; Zeng, L.; Zhang, Y.; Nan, K.; Zhang, X.; Zhang, H.; Guo, Z. 6-Methoxydihydrosanguinarine induces apoptosis and autophagy in breast cancer MCF-7 cells by accumulating ROS to suppress the PI3K/AKT/mTOR signaling pathway. Phytother. Res. 2023, 37, 124–139. [Google Scholar] [CrossRef] [PubMed]
- Sun, J. The Extraction Method and Application of Traditional Chinese Medicine Extracts for Antitumor Purposes. CN Patent 104,800,294, 29 July 2015. [Google Scholar]
- Xu, R.Z. A Chinese Medicinal Composition for Clearing Heat and Detoxifying in the Treatment of Breast Cancer, Along with Its Preparation Method. CN Patent 104,623,222, 20 May 2015. [Google Scholar]
- Zhao, Y.W. The dangers of misuse of antibiotics and how the scientific use of antibiotics. China Health Stand. Manag. 2014, 5, 140–142. [Google Scholar] [CrossRef]
- Ferrero-Miliani, L.; Nielsen, O.H.; Andersen, P.S.; Girardin, S.E. Chronic inflammation: Importance of NOD2 and NALP3 in interleukin-1β generation. Clin. Exp. Immunol. 2007, 147, 227–235. [Google Scholar] [CrossRef] [PubMed]
- Hun, J.J.; Hwan, K.T.; Gyu, P.M. Active Extracts from Natural Plants Having Anti-Obesity and Anti-Diabetes Effects. KR Patent 20,020,048,814, 19 August 2002. [Google Scholar]
- Jia, Q.; Qiu, Z.H.; Nissanka, A. Method for the Prevention and Treatment of Chronic Venous Insufficiency. US Patent 6,210,680, 3 April 2001. [Google Scholar]
- Lin, L.; Liu, Y.C.; Huang, J.L.; Liu, X.B.; Qing, Z.X.; Zeng, J.G.; Liu, Z.Y. Medicinal plants of the genus Macleaya (Macleaya cordata, Macleaya microcarpa): A review of their phytochemistry, pharmacology, and toxicology. Phytother. Res. 2018, 32, 19–48. [Google Scholar] [CrossRef] [PubMed]
- Li, X.L.; Sun, Y.P.; Wang, M.; Wang, Z.B.; Kuang, H.X. Alkaloids in Chelidonium majus L: A review of its phytochemistry, pharmacology and toxicology. Front. Pharmacol. 2024, 22, 1440979. [Google Scholar] [CrossRef] [PubMed]








| No. | Name | Formula | Exact Theoretical Molecular Weight | Source | Characterization Method | Refs. |
|---|---|---|---|---|---|---|
| 65. | Hylomeconoside A | C64H100O31 | 1364.6249 | Whole plant | , GC, HR-ESI-MS, 1H NMR, 13C NMR, DEPT, HMQC, HMBC, 1H-1H COSY | [36] |
| 66. | Hylomeconoside B | C63H98O31 | 1350.6092 | Whole plant | , GC, HR-ESI-MS, 1H NMR, 13C NMR | [36] |
| 67. | Dubioside C | C63H98O32 | 1366.6041 | Whole plant | , HR-ESI-MS, 1H NMR, 13C NMR | [36] |
| 68. | Hylomeconoside C | C53H82O23 | 1086.5247 | Whole plant | Chemical reaction, , GC, HPLC, TLC, HR-ESI-MS, 1H NMR, 13C NMR, HSQC, HMBC, 1H-1H COSY | [17,33] |
| 69. | Hylomeconoside D | C58H90O27 | 1218.5669 | Whole plant | Chemical reaction, , GC, HPLC, TLC, HR-ESI-MS, 1H NMR, 13C NMR, HSQC, HMBC, 1H-1H COSY | [17,33] |
| 70. | Hylomeconoside E | C69H108O36 | 1512.6620 | Whole plant | Chemical reaction, , GC, HPLC, TLC, HR-ESI-MS, 1H NMR, 13C NMR, HSQC, HMBC, 1H-1H COSY | [17,33] |
| 71. | Hylomeconoside F | C65H102O32 | 1394.6354 | Whole plant | Chemical reaction, , GC, HPLC, TLC, HR-ESI-MS, 1H NMR, 13C NMR, HSQC, HMBC, 1H-1H COSY | [17,33] |
| 72. | Hylomeconoside G | C71H112O37 | 1556.6882 | Whole plant | Chemical reaction, , GC, HPLC, TLC, HR-ESI-MS, 1H NMR, 13C NMR, HSQC, HMBC, 1H-1H COSY | [17,33] |
| 73. | Hylomeconoside H | C70H110O36 | 1526.6777 | Whole plant | Chemical reaction, , GC, HPLC, TLC, HR-ESI-MS, 1H NMR, 13C NMR, HSQC, HMBC, 1H-1H COSY | [17,33] |
| 74. | Hylomeconoside I | C63H98O31 | 1350.6092 | Whole plant | Chemical reaction, , GC, HPLC, TLC, HR-ESI-MS, 1H NMR, 13C NMR, HSQC, HMBC, 1H-1H COSY | [17,34] |
| 75. | Hylomeconoside J | C65H102O33 | 1410.6303 | Whole plant | Chemical reaction, , GC, HPLC, TLC, HR-ESI-MS, 1H NMR, 13C NMR, HSQC, HMBC, 1H-1H COSY | [17,34] |
| 76. | Hylomeconoside K | C59H92O28 | 1248.5775 | Whole plant | Chemical reaction, , GC, HPLC, TLC, HR-ESI-MS, 1H NMR, 13C NMR, HSQC, HMBC, 1H-1H COSY | [17,34] |
| 77. | Hylomeconoside L | C59H92O27 | 1232.5826 | Whole plant | Chemical reaction, , GC, HPLC, TLC, HR-ESI-MS, 1H NMR, 13C NMR, HSQC, HMBC, 1H-1H COSY | [17,35] |
| 78. | Hylomeconoside M | C58H90O26 | 1202.5720 | Whole plant | Chemical reaction, , GC, HPLC, TLC, HR-ESI-MS, 1H NMR, 13C NMR, HSQC, HMBC, 1H-1H COSY | [17,35] |
| 79. | Hylomeconoside N | C58H90O26 | 1202.5720 | Whole plant | Chemical reaction, , GC, HPLC, TLC, HR-ESI-MS, 1H NMR, 13C NMR, HSQC, HMBC, 1H-1H COSY | [17,35] |
| 80. | Hylomeconoside O | C70H110O36 | 1526.6777 | Whole plant | Chemical reaction, , GC, HPLC, TLC, HR-ESI-MS, 1H NMR, 13C NMR, HSQC, HMBC, 1H-1H COSY | [17,35] |
| 81. | Hylomeconoside P | C70H110O37 | 1542.6726 | Whole plant | Chemical reaction, , GC, HPLC, TLC, HR-ESI-MS, 1H NMR, 13C NMR, HSQC, HMBC, 1H-1H COSY | [17,35] |
| 82. | Hylomeconoside Q | C64H100O32 | 1380.6198 | Whole plant | Chemical reaction, , GC, HPLC, TLC, HR-ESI-MS, 1H NMR, 13C NMR, HSQC, HMBC, 1H-1H COSY | [17,35] |
| 83. | Saponin 16 | C70H110O36 | 1526.6777 | Whole plant | Chemical reaction, , GC, HPLC, TLC, HR-ESI-MS, 1H NMR, 13C NMR, HSQC, HMBC, 1H-1H COSY | [17,34] |
| 84. | Saponin 17 | C65H102O32 | 1394.6354 | Whole plant | Chemical reaction, , GC, HPLC, TLC, HR-ESI-MS, 1H NMR, 13C NMR, HSQC, HMBC, 1H-1H COSY | [17] |
| 85. | Saponin 19 | C42H64O16 | 824.4194 | Whole plant | GC, HR-EI-MS, 1H NMR, 13C NMR, HSQC, HMBC, 1H-1H COSY | [17] |
| 86. | Gypsogenin | C30H46O4 | 470.3396 | Whole plant | GC, HR-EI-MS, 1H NMR, 13C NMR, HSQC, HMBC, 1H-1H COSY | [17] |
| 87. | Lucyoside P | C64H100O32 | 1380.6198 | Whole plant | , HR-ESI-MS, 1H NMR, 13C NMR | [36] |
| No. | Name | Formula | Exact Theoretical Molecular Weight | Source | Characterization Method | Refs. |
|---|---|---|---|---|---|---|
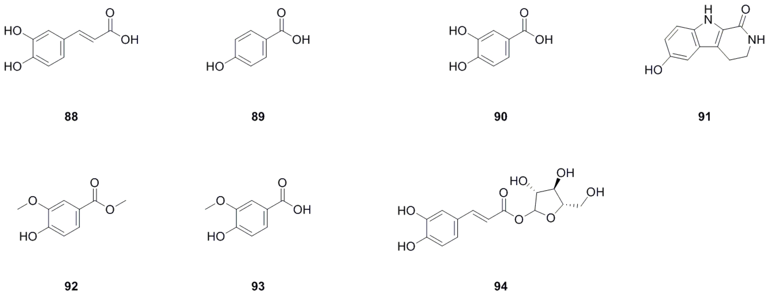
| 88. | Caffeic acid | C9H8O4 | 180.0423 | Aerial part | mp, EI-MS, 1H NMR, 13C NMR | [38] |
| 89. | p-Hydroxybenzoic acid | C7H6O3 | 138.0317 | Aerial part | mp, FAB-MS, 1H NMR, 13C NMR | [38] |
| 90. | Protocatechuic acid | C7H6O4 | 154.0266 | Aerial part | mp, EI-MS, 1H NMR, 13C NMR | [38] |
| 91. | 6-Hydroxy-3,4-dihydro-1-oxo-β-carboline | C11H10N2O2 | 202.0742 | Aerial part | mp, EI-MS, 1H NMR, 13C NMR | [38] |
| 92. | Methyl vanillic acid | C9H10O4 | 182.0579 | Whole plant | Chemical reaction, HPLC, HR-TOF-MS, 1H NMR, 13C NMR | [12,39] |
| 93. | Vanillic acid | C8H8O4 | 168.0423 | Whole plant | Chemical reaction, HPLC, HR-TOF-MS, 1H NMR, 13C NMR | [12,39] |
| 94. | Caffeic acid-1-O-α-L-oxole- arabinoside | C14H16O8 | 312.0845 | Whole plant | Chemical reaction, HPLC, HR-TOF-MS, 1H NMR, 13C NMR | [12,39] |
| No. | Name | Formula | Exact Theoretical Molecular Weight | Source | Characterization Method | Refs. |
|---|---|---|---|---|---|---|
| 95. | Diosmetin-7-O-β-D-glucopyranoside | C22H22O11 | 462.1162 | Aerial part | mp, FAB-MS, 1H NMR, 13C NMR | [38] |
| 96. | Diosmetin-7-O-β-D-xylopyranosyl-(1‴-6″)-β-D-glucopyranoside | C27H30O15 | 594.1585 | Aerial part | FAB-MS, 1H NMR, 13C NMR | [38] |
| Whole plant | Chemical reaction, HPLC, HR-TOF-MS, 1H NMR, 13C NMR | [14] | ||||
| 97. | Kaempferol 3,7-O-α-L-dirhamnopyranoside | C27H30O14 | 578.1636 | Aerial part | mp, FAB-MS, 1H NMR, 13C NMR | [38] |
| 98. | Quercetin 3-O-[2‴-O-acetyl-α-L-arabinopyranosyl]-(1‴-6″)-β-D-galactopyranoside | C28H30O17 | 638.1483 | Aerial part | FAB-MS, 1H NMR, 13C NMR | [38] |
| 99. | Quercetin 3-O-[4‴-O-acetyl-α-L-arabinopyrano syl]-(1‴-6″)-β-D-galactopyranoside | C28H30O17 | 638.1483 | Aerial part | , mp, UV, IR, TLC, HPLC, HR-ESI-MS, 1H NMR, 13C NMR, HMBC | [38] |
| 100. | Quercetin 3-O-α-L-arabinopyranosyl-(1‴-6″)-β-D-galactopyranoside | C26H28O16 | 596.1377 | Aerial part | FAB-MS, 1H NMR, 13C NMR | [38] |
| 101. | Quercetin 3-O-β-D-galactopyranoside | C21H20O12 | 464.0955 | Aerial part | , mp, FAB-MS, 1H NMR, 13C NMR | [38] |
| No. | Name | Formula | Exact Theoretical Molecular Weight | Source | Characterization Method | Refs. |
|---|---|---|---|---|---|---|
| 102. | 2-Phenylethyl-α-L-arabinopyranosyl-(1-6)-β-D-glucopyranoside | C19H28O10 | 416.1682 | Aerial parts | FAB-MS, 1H NMR, 13C NMR | [38] |
| Whole plant | Chemical reaction, HPLC, HR-TOF-MS, 1H NMR, 13C NMR | [14] | ||||
| 103. | Benzyl-α-L-arabinopyranosyl-(1-6)-β-D-glucopyranoside | C18H26O10 | 402.1526 | Aerial parts | FAB-MS, 1H NMR, 13C NMR | [38] |
| Whole plant | Chemical reaction, HPLC, HR-TOF-MS, 1H NMR, 13C NMR | [14] | ||||
| 104. | Benzyl-β-D-xylopyranosyl-(1-6)-β-D-glucopyranoside | C18H26O10 | 402.1526 | Aerial parts | FAB-MS, 1H NMR, 13C NMR | [38] |
| Whole plant | Chemical reaction, HPLC, HR-TOF-MS, 1H NMR, 13C NMR | [14] | ||||
| 105. | 2-Phenylethyl-β-D-apiofuranosyl-(1″-6′)-β-D-glucopyranoside | C19H28O10 | 416.1682 | Aerial parts | FAB-MS, 1H NMR, 13C NMR | [38] |
| 106. | Aryl-β-D-glucopyranoside | C12H16O6 | 256.0947 | Aerial parts | FAB-MS, 1H NMR, 13C NMR | [38] |
| 107. | Benzyl-β-D-apiofuranosyl-(1″-6′)-β-D-glucopyranoside | C18H26O10 | 402.1526 | Aerial parts | , FAB-MS, 1H NMR, 13C NMR | [38] |
| 108. | (Z)-3-Hexenyl-β-D-glucopyranoisde | C12H22O6 | 262.1416 | Aerial parts | mp, FAB-MS, 1H NMR, 13C NMR | [38] |
| 109. | (E)-2-Hexenyl-β-D-glucopyranoisde | C12H22O6 | 262.1416 | Aerial parts | , FAB-MS, 1H NMR, 13C NMR | [38] |
| 110. | (Z)-3-Hexenyl-α-L-arabinopyranosyl-(1″-6′)-β-D-glucopyranoisde | C17H30O10 | 394.1839 | Aerial parts | , FAB-MS, 1H NMR, 13C NMR | [38] |
| 111. | Oct-1-en-3-yl-α-L-arabinopyranosyl-(1″-6′)-β-D-glucopyranoisde | C19H34O10 | 422.2152 | Aerial parts | , FAB-MS, 1H NMR, 13C NMR | [38] |
| 112. | 3,7-Dimenthyl-n-octan-1-yl benzoate | C17H26O2 | 262.1933 | Whole plant | Chemical reaction, HR-TOF-MS, 1H NMR, 13C NMR, HPLC | [12,39] |
| 113. | Butyl benzoate | C11H14O2 | 178.0994 | Whole plant | Chemical reaction, HPLC, HR-TOF-MS, 1H NMR, 13C NMR | [12,39] |
| 114. | Ethyl benzoate | C9H10O2 | 150.0681 | Whole plant | Chemical reaction, HPLC, HR-TOF-MS, 1H NMR, 13C NMR | [12,39] |
| 115. | Maltol 6′-O-β-D-apiofuranosyl-β-D-glucopyranoside | C17H24O12 | 420.1268 | Whole plant | Chemical reaction, HPLC, HR-TOF-MS, EI-MS, 1H NMR, 13C NMR, DEPT, NOESY, 1H-1H COSY, HMBC, HSQC | [12,39] |
| 116. | (6R,9R)-9-Hydroxymegastigman-4-en-3-one 9-O-α-L-rhamnopyranosyl-(1″-2′)-β-D-glucopyranoside | C25H42O11 | 518.2727 | Aerial parts | ESI-MS, 1H NMR, 13C NMR | [46] |
| 117. | 3-Hydroxy-5,6-epoxy-β-ionol-9-O-β-D-glucopyranoside | C19H32O8 | 388.2097 | Aerial parts | ESI-MS, 1H NMR, 13C NMR | [46] |
| 118. | Megastigmane-7-en-3,6-epoxy-5,9-diol 9R-O-α-L-arabinopyranosyl-(1″-6′)-β-D-glucopyranoside | C24H40O12 | 520.2520 | Aerial parts | Chemical reaction, , IR, HR-ESI-MS, GC-MS, 1H NMR, 13C NMR, HMBC | [46] |
| 119. | Megastigmane-7-en-3,6-epoxy-5,9-diol 9R-O-β-D-glucopyranoside | C19H32O8 | 388.2097 | Aerial parts | Chemical reaction, , IR, TLC, HPLC, HR-ESI-MS, 1H NMR, 13C NMR, HMQC, HMBC, 1H-1H COSY | [46] |
| 120. | Megastigmane-7-en-3,6-epoxy-5,9-diol 9R-O-β-D-xylopyranosyl-(1″-6′)-β-D-glucopyranoside | C24H40O12 | 520.2520 | Aerial parts | Chemical reaction, , IR, HR-ESI-MS, GC-MS, 1H NMR, 13C NMR, HMBC | [46] |
| 121. | Megastigmane-7-ene-3,5,6,9-tetraol-9-O-β-D-glucopyranoside | C19H34O9 | 406.2203 | Aerial parts | ESI-MS, 1H NMR, 13C NMR | [46] |
| 122. | (6R,9R)-3-Oxo-α-ionyl-9-O-α-L-rhamnopyranosyl-(1″-2′)-β-D-glucopyranoside | C25H40O11 | 516.2571 | Aerial parts | ESI-MS, 1H NMR, 13C NMR | [46] |
| 123. | 3-Oxyl-6-hydroxyl-ionone | C13H18O3 | 222.1256 | Whole plant | Chemical reaction, HPLC, HR-TOF-MS, 1H NMR, 13C NMR | [14] |
| 124. | α-Spinasterol | C29H48O | 412.3705 | Roots | GC-MS | [24] |
| 125. | 22,23-Dihydrospinasterol | C29H50O | 414.3862 | Roots | GC-MS | [24] |
| No. | Name | Formula | Exact Theoretical Molecular Weight | Source | Characterization Method | Refs. |
|---|---|---|---|---|---|---|
| 126. | Calcium | Ca | 39.9626 | Roots, rhizomes | ICP-MS | [47] |
| 127. | Kalium | K | 38.9637 | Roots, rhizomes | ICP-MS | [47] |
| 128. | Magnesium | Mg | 23.9850 | Roots, rhizomes | ICP-MS | [47] |
| 129. | Sodium | Na | 22.9898 | Roots, rhizomes | ICP-MS | [47] |
| 130. | Aluminum | Al | 26.9815 | Roots, rhizomes | ICP-MS | [47] |
| 131. | Ferrum | Fe | 55.9349 | Roots, rhizomes | ICP-MS | [47] |
| 132. | Manganese | Mn | 54.9380 | Roots, rhizomes | ICP-MS | [47] |
| 133. | Zinc | Zn | 63.9291 | Roots, rhizomes | ICP-MS | [47] |
| 134. | Boron | B | 11.0093 | Roots, rhizomes | ICP-MS | [47] |
| 135. | Selenium | Se | 79.9165 | Roots, rhizomes | ICP-MS | [47] |
| No. | Name | Experimental Method | Research Model | Pharmacological Effect | Refs. |
|---|---|---|---|---|---|
| 1. | Hylomeconoside A | MTT | In vitro | Inhibition of A549, AGS, Huh7, HT-29, and K562 cells | [17] |
| ELISA | In vitro | Inhibition of H22 liver cancer cells | [15] | ||
| XTT | In vitro | Inhibition of MGC-803 and HL-60 cells | [36] | ||
| 2. | Hylomeconoside B | MTT | In vitro | Inhibition of A549, HT-29 and K562 cells | [17] |
| ELISA | In vitro | Inhibition of H22 liver cancer cells | [15] | ||
| 3. | Hylomeconoside C | ELISA | In vitro | Inhibition of H22 liver cancer cells | [15] |
| 4. | Hylomeconoside D | ELISA | In vitro | Inhibition of H22 liver cancer cells | [15] |
| 5. | Hylomeconoside E | MTT | In vitro | Inhibition of A549, AGS, and HT-29 cells | [17,33] |
| ELISA | In vitro | Inhibition of H22 liver cancer cells | [15] | ||
| 6. | Hylomeconoside H | MTT | In vitro | Inhibition of K562, AGS, and HT-29 cells | [17,33] |
| 7. | Hylomeconoside I | MTT | In vitro | Inhibition of HT-29 cells | [34] |
| 8. | Hylomeconoside J | MTT | In vitro | Inhibition of AGS cells | [17,34] |
| 9. | Hylomeconoside K | MTT | In vitro | Inhibition of AGS, Huh7, and HT-29 cells | [17,34] |
| ELISA | In vitro | Inhibition of H22 liver cancer cells | [15] | ||
| 10. | Hylomeconoside L | MTT | In vitro | Inhibition of AGS and K562 cells | [17,35] |
| 11. | Hylomeconoside O | MTT | In vitro | Inhibition of Huh7 cells | [17,35] |
| 12. | Hylomeconoside P | MTT | In vitro | Inhibition of Huh7 cells | [35] |
| 13. | Lucyoside P | MTT | In vitro | Inhibition of AGS and HT-29 cells | [17] |
| 14. | Dubioside C | MTT | In vitro | Inhibition of A549, AGS, Huh7, Hela, and K562 cells | [17] |
| 15. | Saponins 16 | MTT | In vitro | Inhibition of AGS, A549, and HT-29 cells | [34] |
| 16. | 6S-Acroleinyl-dihydrochelerythrine | MTT | In vitro | Inhibition of MCF-7 cells | [23] |
| 17. | 6R-Acroleinyl-dihydrochelerythrine | MTT | In vitro | Inhibition of MCF-7 cells | [23] |
| 18. | 6,10-Dimethoxydihydrochelerythrine | MTT | In vitro | Inhibition of MCF-7 cells | [23] |
| 19. | 6-Ethoxy-ethaniminyl-dihydrochelandine | MTT | In vitro | Inhibition of MCF-7 cells | [23] |
| 20. | 9-Methoxy-10-hydroxy-norchelerythrine | MTT | In vitro | Inhibition of MCF-7 cells | [23] |
| 21. | 6-Acetaldehyde-dihyrochelerythrine | MTT | In vitro | Inhibition of MCF-7 cells | [23] |
| 22. | 10-Methoxy boconoline | MTT | In vitro | Inhibition of MCF-7 cells | [23] |
| 23. | 6R-(2-Hydroxyethyl)dihydrosanguinarine | MTT | In vitro | Inhibition of MCF-7 cells | [29] |
| 24. | 6S-hydroxydihydrochelerythrine | MTT | In vitro | Inhibition of MCF-7 cells | [29] |
| 25. | 6R-Hydroxyethyldihydrochelerythrine | MTT | In vitro | Inhibition of MCF-7 cells | [29] |
| 26. | (1′R,6S)/(1′S,6R)-1-(Dihydrosanguinarine-6-yl) ethanol | MTT | In vitro | Inhibition of MCF-7 cells | [29] |
| 27. | (1′R,6R)/(1′S,6S)-1-(Dihydrosanguinarine-6-yl) ethanol | MTT | In vitro | Inhibition of MCF-7 cells | [29] |
| 28. | 6-Methoxydihydrosanguinarine | MTT, Western blot analysis | In vitro | Inhibition of HT29 cells | [49] |
| MTT, Western blot analysis, DCFH-DA assay | In vitro | Inhibition of MCF-7 cells | [52] | ||
| MTT, Western blot analysis, DCFH-DA assay | In vitro | Inhibition of HepG2 cells | [50] | ||
| MTT | In vitro | Inhibition of MCF-7 cells | [23] | ||
| Disk diffusion method | In vitro | Inhibition against MRSA strains | [25] | ||
| TLC bioautography analysis | In vitro | Inhibition against Enterococcus faecom and Staphylococcus aureus | [26] | ||
| MTT, ELISA, Western blot analysis | In vitro | Inhibition of NO production in RAW264.7 cells | [51] | ||
| 29. | 6-Methoxydihydrochelerythrine | TLC bioautography analysis | In vitro | Inhibition against Enterococcus faecom and Staphylococcus aureus | [26] |
| 30. | Norsanguinarine | TLC bioautography analysis | In vitro | Inhibition against Enterococcus faecom and Staphylococcus aureus | [26] |
| 31. | Chelerythrine | TLC bioautography analysis | In vitro | Inhibition against Enterococcus faecom and Staphylococcus aureus | [26] |
| 32. | Dihydrosanguinarine | TLC bioautography analysis | In vitro | Inhibition against Enterococcus faecom and Staphylococcus aureus | [26] |
| MTT | In vitro | Inhibition of MCF-7 cells | [23] | ||
| MTT, ELISA, Western blot analysis | In vitro | Inhibition of NO production in RAW264.7 cells | [51] | ||
| 33. | Oxysanguinarine | TLC bioautography analysis | In vitro | Inhibition against Enterococcus faecom and Staphylococcus aureus | [26] |
| 34. | 8-(1′-Hydroxyethyl)-7,8-dihydrochelerythrine | TLC bioautography analysis | In vitro | Inhibition against Enterococcus faecom and Staphylococcus aureus | [26] |
| 35. | 10-Methoxydihydrosanguinarine | TLC bioautography analysis | In vitro | Inhibition against Enterococcus faecom and Staphylococcus aureus | [26] |
Disclaimer/Publisher’s Note: The statements, opinions and data contained in all publications are solely those of the individual author(s) and contributor(s) and not of MDPI and/or the editor(s). MDPI and/or the editor(s) disclaim responsibility for any injury to people or property resulting from any ideas, methods, instructions or products referred to in the content. |
© 2025 by the authors. Licensee MDPI, Basel, Switzerland. This article is an open access article distributed under the terms and conditions of the Creative Commons Attribution (CC BY) license (https://creativecommons.org/licenses/by/4.0/).
Share and Cite
Tian, Y.; Xia, G.; Zhu, J.; Li, L.; Zang, H. Hylomecon japonica: A Review About Botanical Aspects, Traditional Applications, Chemical Composition, and Pharmacological Properties. Horticulturae 2025, 11, 60. https://doi.org/10.3390/horticulturae11010060
Tian Y, Xia G, Zhu J, Li L, Zang H. Hylomecon japonica: A Review About Botanical Aspects, Traditional Applications, Chemical Composition, and Pharmacological Properties. Horticulturae. 2025; 11(1):60. https://doi.org/10.3390/horticulturae11010060
Chicago/Turabian StyleTian, Yue, Guangqing Xia, Junyi Zhu, Li Li, and Hao Zang. 2025. "Hylomecon japonica: A Review About Botanical Aspects, Traditional Applications, Chemical Composition, and Pharmacological Properties" Horticulturae 11, no. 1: 60. https://doi.org/10.3390/horticulturae11010060
APA StyleTian, Y., Xia, G., Zhu, J., Li, L., & Zang, H. (2025). Hylomecon japonica: A Review About Botanical Aspects, Traditional Applications, Chemical Composition, and Pharmacological Properties. Horticulturae, 11(1), 60. https://doi.org/10.3390/horticulturae11010060

