Abstract
In this study, we analyzed the nutritional components and antioxidant capacity of 17 leaf mustard cultivars, including 13 cultivars from Leshan, 2 from Ya’an, and 2 from Yibin. Significant variations were observed among the cultivars in terms of their nutritional composition and antioxidant properties. Our findings revealed that cultivar LS12 exhibited the highest levels of total chlorophyll, total anthocyanidin, flavonoids, total phenolics, and ferric-reducing antioxidant power (FRAP). Cultivar YB2 showed higher contents of soluble sugar, soluble protein, ABTS antioxidant capacity, and total glucosinolates. On a regional basis, the cultivars from Leshan had higher total phenolics compared to those from Ya’an and Yibin, while cultivars from Yibin exhibited the highest total glucosinolate content. Additionally, purple-leaf mustard demonstrated superior flavonoid and total phenolic contents, as well as higher FRAP values, compared to the cultivars of green-leaf mustard. However, green-leaf mustard contained higher levels of total glucosinolates than their purple counterpart. Based on a comprehensive evaluation using a membership function analysis, LS12 was identified as the cultivar with the best nutritional quality and antioxidant capacity. This study provides valuable insights into the nutritional attributes and antioxidant capacity of different leaf mustard cultivars and offers guidance for selecting varieties to promote a healthy diet.
1. Introduction
Mustard (Brassica juncea), one of the most widely consumed vegetables in the Brassica family, has a cultivation and consumption history in China spanning six- to seven-thousand years and is characterized by its widespread distribution throughout the country [1,2]. Renowned for its rich nutrient profile, mustard is not only valued for its nutritional content but also appreciated for its crisp texture and delicious taste, particularly after fermentation, which enhances its popularity among consumers in Asia. Leaf mustard is rich in nutrients, including carbohydrates, various trace vitamins, dietary fiber, and essential minerals such as calcium, iron, zinc, etc. [3]. In addition, it is abundant in bioactive compounds, such as polyphenols, and glucosinolates, along with their degradation products [3]. Moreover, mustard leaves have been traditionally utilized in folk medicine for their diuretic, stimulant, expectorant, and spice properties [4].
Mustard leaves exhibit significant antioxidant properties and other potential health benefits due to their carotenoids content. Among the carotenoids present in mustard leaves, β-carotene is particularly noteworthy for its health-promoting effects, including provitamin A activity and anti-carcinogenic properties [5]. Vitamin A, an essential nutrient composed of retinoids, plays a vital role in supporting reproduction, immunity, and cell development [6]. Likewise, anthocyanins, the water-soluble red–purple pigments present in purple-leaf mustard, function as effective antioxidants [7]. These pigments, alongside other antioxidants such as phenolic compounds, contribute to the health benefits of mustard leaves by mitigating the risk of chronic disease development [8]. Phenolic compounds are recognized for their significant contribution to the antioxidant capacity of vegetables. This role underscores the importance of employing diverse antioxidant assays to accurately evaluate the antioxidant ability of vegetables and other food sources.
The anti-cancer properties of leaf mustard are primarily linked to its bioactive compounds, including glucosinolates and their degradation products, such as isothiocyanates, thiocyanates, nitriles, and oxazolidines. Notably, numerous studies have reported the anti-cancer capabilities of glucosinolates such as sinigrin and its degradation product allyl iso-thiocyanate [9,10]. Moreover, studies have shown that indole-3-methanol and sulforaphane exhibit significant inhibitory effects on colon cancer cells [11].
Although some studies have investigated leaf mustard, research on its nutritional value and antioxidant capacity remains limited in scope, often focusing on individual indices and lacking comparative and comprehensive analyses [12,13,14]. This study aims to address these gaps by evaluating various nutritional and bioactive components, including chlorophyll, carotenoids, anthocyanins, flavonoids, total phenolics, glucosinolates, and antioxidant capacity. By assessing the nutritional quality and antioxidant capacity of diverse leaf mustard cultivars, this research seeks to provide a theoretical basis for promoting healthy diets and the rational utilization of leaf mustard. Additionally, the findings can serve as a foundation for breeding and promoting superior cultivars of leaf mustard in the future.
2. Materials and Methods
2.1. Plant Materials
Seventeen leaf mustard cultivars were selected for this study. The seeds were collected from three regions: thirteen from Leshan, two from Ya’an, and two from Yibin. The plants were grown in Leshan City, Sichuan Province, and sown on 23 September 2023. Plants were harvested during the four-leaf and one-heart stage, at a height of approximately 25–30 cm. The plants of similar size, free from disease and damage, were selected and transported to the Vegetable Genetics and Breeding Laboratory of Sichuan Agricultural University immediately. Forty plants from each cultivar were divided into four replicates, with ten plants per replicate. The plant surfaces were cleaned with tap water, followed by deionized water, and excess water was removed by air-drying. Then, the samples were lyophilized in an EYELA FDU-2110 freeze-dryer (Tokyo Rikakikai Co., Ltd., Tokyo, Japan), ground into a fine powder and mixed well, and then stored at −20 °C for further analyses.
2.2. Total Chlorophyll and Carotenoids Contents
Fifty milligrams (mg) of leaf powder was extracted with 10 mL of acetone after homogenization. The extracts were sonicated for 20 min and centrifuged at 4000 g for 5 min at room temperature (RT). The supernatant was then filtered through 0.22 μm nylon syringe filters. Chlorophyll and carotenoids contents were analyzed using an Agilent 1260 system equipped with a variable wavelength detector (VWD) (Agilent Technologies, Inc., Palo Alto, CA, USA). A 10 μL aliquot of the sample was injected and separated at 30 °C on a Waters C18 column (150 × 3.9 mm I.D., 4 μm particle size) with isopropanol and 80% acetonitrile–water as the mobile phase at a flow rate of 0.5 mL min⁻1 [15].
2.3. Anthocyanidin Content
Fifty milligrams of sample powder was extracted using 3 mL of a methanol/water/acetic acid solution (85:15:0.5, v/v/v). The mixture was vortexed for 30 s, followed by 10 min of sonication on ice, during which the tube was shaken twice to ensure proper resuspension of the sample. The extract was then leached overnight in the dark, and subsequently analyzed by HPLC. Separation was performed at a flow rate of 0.8 mL min⁻1 [16].
2.4. Total Soluble Sugar Content
Fifty milligrams of lyophilized powder was extracted with 10 mL of distilled water at 90 °C for 20 min and centrifuged at 4000× g for 5 min. Subsequently, 1 mL of the extract was combined with 0.5 mL of anthrone-ethyl acetate reagent and 5 mL of concentrated sulfuric acid, followed by boiling for 5 min. The absorbance of the final reaction mixture was then recorded at 630 nm [15].
2.5. Total Soluble Protein Content
Fifty milligrams of freeze-dried powder was soaked in 10 mL of distilled water and allowed to settle for 30 min. The mixture was then vortexed for 30 s and centrifuged at 4000 g for 5 min. A 1 mL aliquot of the supernatant was transferred to a polypropylene tube, followed by the addition of 2.5 mL of Coomassie Brilliant Blue G-250 reagent. The absorbance of the reaction mixture was measured at 595 nm within 20 min of the reaction initiation [17].
2.6. Flavonoid Content
Forty milligrams of sample powder was extracted with 5 mL of 50% ethanol and incubated in the dark at room temperature for 24 h. After centrifugation at 4000× g for 5 min, a 1.2 mL aliquot of the supernatant was combined with 60 μL of 2% aluminum chloride, 60 μL of 1 mol L−1 potassium acetate, and 1.68 mL of distilled water. The absorbance was measured at 415 nm after 40 min [15].
2.7. Total Phenolic Content
Forty milligrams of sample powder was extracted using 10 mL of 50% ethanol in the dark at room temperature for 24 h. After centrifugation at 4000× g for 5 min, 300 μL of the supernatant was combined with 1.5 mL of 0.2 mol L⁻1 Folin–Ciocalteu reagent for 3 min. Subsequently, 1.2 mL of saturated sodium carbonate solution was added. The mixture was left to stand at room temperature for 1 h, and the absorbance was measured at 760 nm using a spectrophotometer. Gallic acid served as the standard for calibration [15].
2.8. Ferric-Reducing Antioxidant Power (FRAP)
Forty milligrams of the sample powder was extracted with 10 mL of 50% ethanol. The extract was then centrifuged at 4000 g for 5 min. The extracted samples (300 μL) were mixed with the FRAP working solution (2.7 mL) and incubated at 37 °C. After incubation for 10 min at 37 °C, the absorbance was measured at 593 nm using a UV-1800 spectrophotometer (Mapada Instruments Co., Ltd., Shanghai, China), and the corresponding value was calculated [15].
2.9. 2,2-Azinobis (3-Ethyl-Benzothiazoline-6-Sulfonic Acid) (ABTS) Assay
Forty milligrams of the sample powder was extracted with 10 mL of 50% ethanol, then centrifuged at 4000 g for 5 min. Three milliliters of ABTS+ solution was combined with an aliquot of 300 μL from each extracted sample. After precisely 2 h, the absorbance was measured spectrophotometrically at 734 nm, followed by a calculation of the value [15].
2.10. Glucosinolate Content
A total of 100 mg of the powdered sample was boiled in water, and the resulting supernatant was collected and loaded onto a DEAE-Sephadex A-25 column. The glucosinolates were converted to their desulpho derivatives through enzymatic treatment with aryl sulfatase, followed by elution of the desulphoglucosinolates. HPLC analysis was conducted using an Agilent 1260 system equipped with a variable wavelength detector (VWD). The separation was performed on a Waters Spherisorb C18 column (250 × 4.6 mm) at 30 °C, with water and acetonitrile as the mobile phase at a flow rate of 1.0 mL min⁻1. The absorbance was measured at 226 nm [15].
2.11. Statistical Analyses
Data were analyzed using two-way analysis of variance. The means were compared through an LSD test at a significance level of 0.05. A heatmap was generated using Origin 2022. Principal component analysis (PCA) was performed using SIMCA 14.1 software [15].
A comprehensive evaluation was conducted using the membership function method in fuzzy mathematics [18]. Indicators that positively correlated with nutritional quality were calculated using Formula (1), and those that negatively correlated with nutritional quality were calculated using Formula (2).
where Fij represents the membership degree of the jth indicator for the ith treatment; Xij represents the measured value of the jth indicator for the ith treatment; and Xmax and Xmin represent the maximum and minimum values of the jth indicator among all test subjects, respectively.
Fij+ = (Xij − Xmin)/(Xmax − Xmin)
Fij− = 1 − (Xij − Xmin)/(Xmax − Xmin)
3. Results
3.1. Chlorophyll and Carotenoids
The total chlorophyll content ranged from 105.44 to 156.34 mg g−1 DW. Among the cultivars, the highest total chlorophyll content was observed in LS12, whereas the lowest occurred in LS5. The differences in total chlorophyll content among cultivars from different regions were not significant. However, the total chlorophyll content of purple cultivars from Leshan was generally higher than that of green cultivars, except for LS1 (Figure 1G). The trends observed for chlorophyll a and chlorophyll b were largely consistent with those of total chlorophyll content (Figure 1A,B,G).
Figure 1.
Chlorophyll and carotenoids contents among 17 leaf mustard cultivars. Different letters in the same column indicate significant differences (p < 0.05) according to the LSD test. (A) Chlorophyll a; (B) chlorophyll b; (C) lutein; (D) neoxanthin; (E) β-carotene; (F) violaxanthin; (G) total chlorophyll; (H) total carotenoids. The same background color in the bar chart represented the seed collected from the same region.
The total carotenoids content ranged from 24.74 to 33.29 mg g−1 DW. Among the seventeen cultivars, the highest total carotenoids content was observed in YA1, whereas the lowest occurred in LS2. Similar to chlorophyll, the differences in total carotenoids content among cultivars from different regions were not significant; however, the total carotenoids content of purple cultivars from Leshan was generally higher than that of green cultivars, except for LS1 and LS7 (Figure 1G–H). Among the cultivars, YB1 exhibited the highest β-carotene content, while LS7 had the lowest (Figure 1E). The trends observed for other types of carotenoids were consistent with those of total carotenoids (Figure 1C,D,F,H).
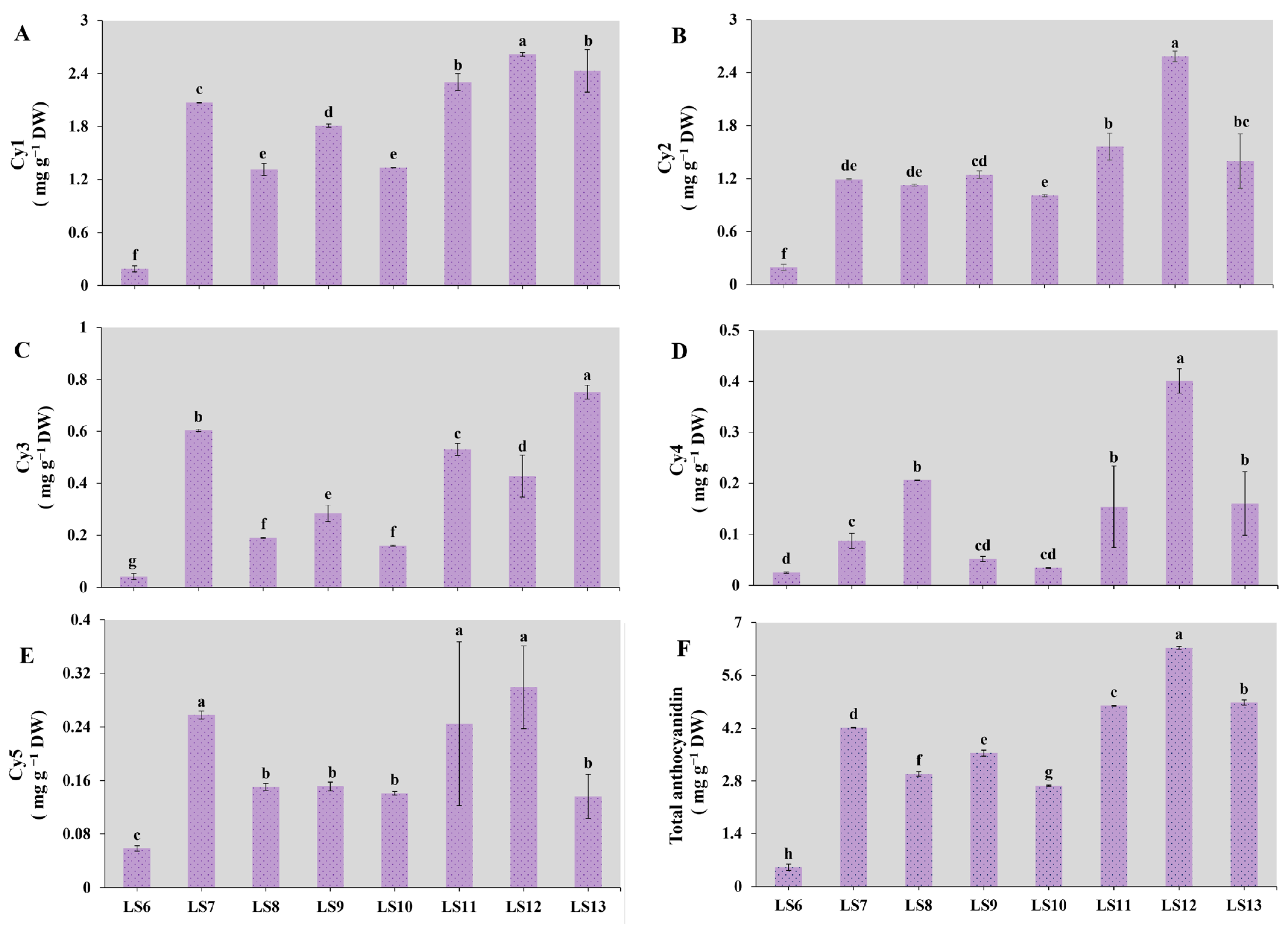
3.2. Anthocyanidin
In this study, we detected that eight cultivars contained five types of anthocyanidin: cyanidin 3-p-coumaroylsinapoylsophoroside-5-malonylglucoside (Cy1), cyanidin 3-sinapoylferuloysophoroside-5-malonylglucoside (Cy2), cyanidin 3-p-coumaroylferuloylsophoroside-5-malonylglucoside (Cy3), cyanidin 3-caffeoylferuloylsophoroside-5-malonylglucoside (Cy4), and cyanidin 3-feruloylmalonylsophoroside-5-glucoside (Cy5) (Figure 2A–E). Among them, Cy1 and Cy2 were present in rich amounts in these cultivars, accounting for above 75% (Figure 2A,B). The total anthocyanidin content ranged from 0.51 to 6.33 mg g−1 DW. The highest total anthocyanidin content was detected in LS12, while the lowest was detected in LS6. Moreover, the content of total anthocyanidin in LS12 was twelve times as much as that in LS6 (Figure 2F). LS12 exhibited the highest levels of all anthocyanidin measured, except for Cy3, which was most abundant in LS13. In contrast, LS6 had the lowest levels across all five types of anthocyanidin (Figure 2A–E).
Figure 2.
Anthocyanidin content among 17 leaf mustard cultivars. Different letters in the same column indicate significant differences (p < 0.05) according to the LSD test. (A) Cy1 (cyanidin 3-p-coumaroylsinapoylsophoroside-5-malonylglucoside); (B) Cy2 (cyanidin 3-sinapoylferuloysophoroside-5-malonylglucoside); (C) Cy3 (cyanidin 3-p-coumaroylferuloylsophoroside-5-malonylglucoside); (D) Cy4 (cyanidin 3-caffeoylferuloylsophoroside-5-malonylglucoside); (E) Cy5 (cyanidin 3-feruloylmalonylsophoroside-5-glucoside); (F) total anthocyanidin.
3.3. Total Soluble Sugar and Protein
The total soluble sugar content ranged from 170.53 to 410.06 mg g−1 DW, with the highest in LS2 and the lowest in LS1 (Figure 3A). The differences in total soluble sugar content among cultivars from Ya’an and Yibin were not significant. However, the total soluble sugar content of green cultivars from Leshan was generally higher than that of purple cultivars, except for LS1 (Figure 3A). The total soluble protein content ranged from 145.01 to 223.62 mg g−1 DW. The highest total soluble protein content was found in YB2, while the lowest was found in LS13. The total soluble protein content of cultivars from Ya’an was higher than that of cultivars from Leshan (Figure 3B).
Figure 3.
Total soluble sugar (A) and protein (B) contents among 17 leaf mustard cultivars. Different letters in the same column indicate significant differences (p < 0.05) according to the LSD test. The same background color in the bar chart represented the seed collected from the same region.
3.4. Flavonoid and Total Phenolic
The flavonoid content ranged from 6.97 to 16.22 mg g−1 DW (Figure 4A). Among the 17 leaf mustard cultivars, the highest flavonoid content was observed in LS12, whereas the lowest occurred in LS3. The differences in flavonoid content among green-leaf mustard from different regions were not significant; however, the flavonoid content of purple cultivars from Leshan was generally higher than that of green-leaf mustard, except for LS1 and LS9 (Figure 4A). The total phenolic content ranged from 10.36 to 15.26 mg g−1 DW. Similar to the flavonoids, the differences in total phenolic content among green-leaf mustard from different regions were not significant; however, the total phenolic content of purple-leaf mustard from Leshan was higher than that of green-leaf (Figure 4B).
Figure 4.
Flavonoid (A) and total phenolic (B) contents among 17 leaf mustard cultivars. Different letters in the same column indicate significant differences (p < 0.05) according to the LSD test. The same background color in the bar chart represented the seed collected from the same region.
3.5. Antioxidant Capacity
The ABTS level of leaf mustard ranged from 94.97 to 97.85%. LS2 showed the highest ABTS level, while LS7 showed the lowest. The differences in ABTS levels among cultivars from different regions were not significant, with the exception of LS7 (Figure 5A). The FRAP level ranged from 105.83 to 336.09 μmol g−1 DW. The highest FRAP level occurred in LS12, whereas the lowest was found in LS3. Additionally, the FRAP level of LS12 was nearly 3-fold higher than that of LS3. The FRAP level of purple cultivars from Leshan was higher than that of green cultivars from Leshan, Ya’an, and Yibin (Figure 5B).
Figure 5.
ABTS (A) and FRAP (B) levels among 17 leaf mustard cultivars. Different letters in the same column indicate significant differences (p < 0.05) according to the LSD test. The same background color in the bar chart represented the seed collected from the same region.
3.6. Glucosinolate
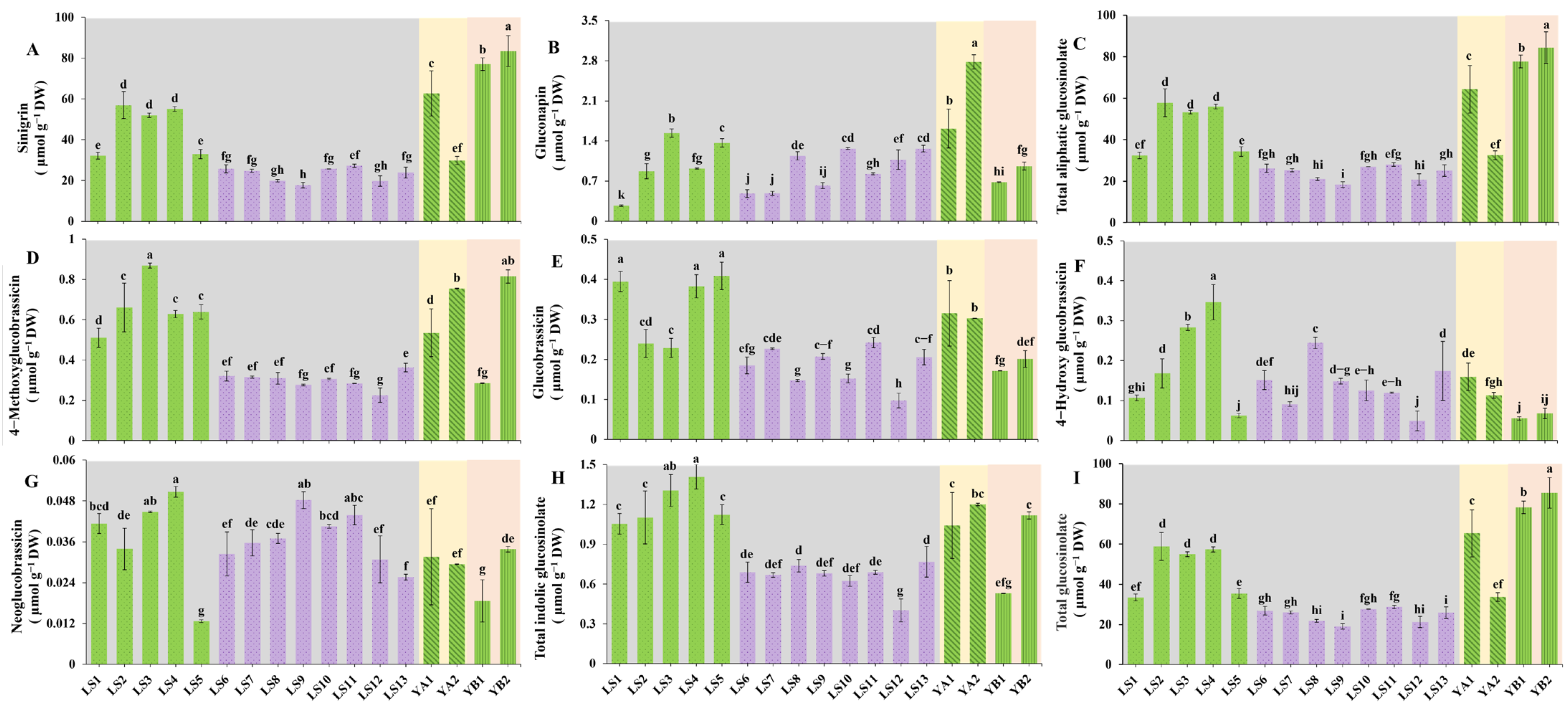
The total glucosinolate content of leaf mustard ranged from 19.05 to 85.54 μmol g−1 DW. The total glucosinolate content was highest in YB2 and lowest in LS9. In addition, the total glucosinolate content of YB2 was 4.5-fold higher than that of LS9. The total glucosinolate content of green cultivars from Yibin was higher than that of green cultivars from Leshan and Ya’an. Additionally, the total glucosinolate content of purple-leaf mustard from Leshan was considerably lower than that of green-leaf mustard from Leshan, Ya’an, and Yibin (Figure 6I). The main component of the glucosinolates was aliphatic glucosinolates (Figure 6C). Two aliphatic glucosinolates (sinigrin and gluconapin) were detected. The trend observed for sinigrin content was largely consistent with that of total glucosinolate content (Figure 6A,I). The gluconapin content ranged from 0.27 to 2.78 μmol g−1 DW. The highest gluconapin content was observed in YA2, and the lowest was in LS1. In addition, the gluconapin content of YA2 was nearly 10-fold higher than that of LS1. The gluconapin content of cultivars from Ya’an was higher than that of cultivars from Leshan and Yibin (Figure 6B). The total indolic glucosinolate content ranged from 0.40 to 1.41 μmol g−1 DW. The total indolic glucosinolate content of LS4 (1.41 μmol g−1 DW) was 10-fold higher than that of LS12 (0.40 μmol g−1 DW). The total indolic glucosinolate content of purple cultivars from Leshan was lower than that of the green cultivars (Figure 6H). The 17 cultivars all contained four indolic glucosinolates: 4-methoxyglucobrassicin, glucobrassicin, 4-hydroxy glucobrassicin, and neoglucobrassicin. 4-Methoxyglucobrassicin was the main compound (Figure 6D–G).
Figure 6.
Glucosinolate content among 17 leaf mustard cultivars. Different letters in the same column indicate significant differences (p < 0.05) according to the LSD test. (A) Sinigrin; (B) gluconapin; (C) total aliphatic glucosinolates; (D) 4-Methoxyglucobrassicin; (E) glucobrassicin; (F) 4-Hydroxy glucobrassicin; (G) neoglucobrassicin; (H) total indolic glucosinolate; (I) total glucosinolate. The same background color in the bar chart represented the seed collected from the same region.
3.7. Correlation Analysis
Some studies have demonstrated that there is a certain internal relationship between various nutrients and antioxidant capacity [19,20]. Pearson’s correlation analysis can reveal the degree of correlation between two parameters. Upon analyzing the data, we found significant (p < 0.05) or highly significant (p < 0.01) correlations between different nutritional elements and the antioxidant capacity of leaf mustard in multiple groups (Figure 7). Notably, there were strong correlations—either positive or negative—between total phenolic content and FRAP (r = 0.961, p < 0.01), and between soluble sugar and total phenolic contents (r = −0.757, p < 0.01). Additionally, total anthocyanidin was significantly correlated with both total phenolics and FRAP (r = 0.947 and r = 0.978, respectively, p < 0.01). These results indicated intrinsic relationships between the nutrients and antioxidant capacity, resulting in overlapping information. This further suggests that principal component analysis (PCA) could be utilized to explore the underlying relationships among these components.
Figure 7.
Correlation plot of the correlations between nutritional compounds and antioxidant capacity in leaf mustard. GS: total glucosinolates; SIN: sinigrin; GNA: gluconapin; AGS: aliphatic glucosinolates; 4-MGBS: 4-methoxyglucobrassicin; GBS: glucobrassicin; 4-HGBS: 4-hydroxyglucobrassicin; NGBS: neoglucobrassicin; IGS: indolic glucosinolates.
3.8. Principal Component Analysis
The first principal component (PC1) accounted for 51.9% of the variance, while the second principal component (PC2) explained 18.9% (Figure 8A). The score plot revealed a clear separation of two groups along PC1: one group comprised purple cultivars from Leshan, and the other consisted of green cultivars from Leshan, Ya’an, and Yibin.
Figure 8.
PCA among 17 leaf mustard. (A) PCA score plot, the green points represented green leaf mustard cultivars, and purple points represented green leaf mustard cultivars; (B) PLS-DA score plot, the point of same shape represented the seed collected from the same region; (C) loading plot.
The results of the PLS-DA analysis are shown in Figure 8B. The distribution trend differed from that observed in the PCA. PLS-DA1 explained 44.9% of the variance, while PLS-DA2 explained 23.3%. Cultivars from Leshan, Ya’an, and Yibin were clearly separated on the score plot. PLS-DA1 effectively distinguished the Leshan cultivars from those of Ya’an and Yibin.
The loading plot analysis revealed that the primary contributors to the cultivars from Leshan were FRAP, flavonoids, total anthocyanidin, and total phenolics (Figure 8C). In contrast, total soluble sugars and proteins were more prominent in the cultivars from Ya’an and Yibin. Glucosinolates were identified as the major contributor to the cultivars from both Ya’an and Yibin.
3.9. Membership Function Analysis and Comprehensive Score
The comprehensive evaluation of each leaf mustard cultivar ranked LS12 as the highest, with an average membership function value of 1.601, followed by LS13 (1.006), and LS7 (0.963). The average membership function values of purple cultivars from Leshan were higher than those of the green-leaf mustard from Leshan, Ya’an, and Yibin (Table 1).
Table 1.
The value of membership function and comprehensive evaluation of principal component.
4. Discussion
Leaf mustard is commonly cultivated and consumed in Southern China, both in fresh and processed forms. It is rich in essential nutrients and bioactive compounds that are beneficial for health [21]. Prior studies have shown pronounced variations in the nutritional quality among diverse leaf mustard varieties [22,23,24]. Therefore, analyzing these differences is crucial to help consumers select varieties with superior nutritional value. In this study, eight nutritional components from 17 leaf mustard samples were analyzed. Using these components and antioxidant activity data, the quality characteristics of leaf mustard were assessed through the membership function method and principal component analysis.
Leaf color is one of the important appearance quality indicators of vegetables, and the relative content of leaf pigments is the main reason for the different leaf colors [25,26,27]. Chlorophyll and carotenoids belong to photosynthetic pigments, which are the most widely distributed pigments in nature [28]. Chlorophyll has strong antioxidant and anti-inflammatory properties [29]. In addition, carotenoids and their derivatives have a variety of biological activities [30,31,32]. Regular consumption of foods rich in these compounds can reduce cardiovascular disease, have anti-cancer effects, and delay aging. However, the human body generally does not synthesize carotenoids, so it is of great significance to select leaf mustard varieties with high carotenoids content [33]. Anthocyanins have a strong antioxidant effect, with anti-inflammatory and anti-tumor properties, regulating blood lipids and other physiological health functions. In addition, anthocyanins can also be used as natural pigments and have broad development prospects in the field of food additives [34]. Studies have shown that oxidation is the main reason for the body to produce free radicals and lead to aging, and free radicals are closely related to the occurrence of diseases such as tumors [30]. Supplementation of antioxidants can effectively reduce the number of free radicals produced by the body or accelerate the scavenging rate of free radicals. Anthocyanins have a strong ability to eliminate free radicals [33]. Most of the purple leafy vegetable varieties with high anthocyanin content have a strong antioxidant reduction ability [34]. This study found that the anthocyanin content of purple-leaf mustard varieties was much higher than that of the green-leaf mustard varieties. High anthocyanin content is one of the main factors causing the difference in leaf color between purple-leaf and green-leaf mustard varieties. The purple-leaf phenotype is closely related to the increase in anthocyanin biosynthesis and accumulation. In addition, the inhibition of photosynthetic pigment biosynthesis is also one of the reasons for the formation of purple leaves in plants. Previous studies reported that the total chlorophyll and carotenoids contents of purple samples were lower than those of green samples in Arabidopsis thaliana [35] and non-heading Chinese cabbage [36]. Interestingly, the photosynthetic pigment synthesis of Leshan’s purple varieties was not inhibited, and the chlorophyll and carotenoids contents (except LS1) were still higher than those of Leshan’s green varieties. This may be because the accumulation of anthocyanins in peripheral tissues may both protect leaves from excess photon damage [37] and reduce damage to PSII [38]. However, under high light intensity, anthocyanins can absorb excess light quanta that would otherwise be intercepted by chlorophyll, thereby protecting chlorophyll from photoinhibitory damage and helping to maintain functional activity [39,40]. As a result, the chlorophyll and carotenoids contents of Leshan’s purple varieties (except LS1) were higher than those of Leshan’s green varieties.
Soluble sugar and protein contents are important indicators to measure the quality of vegetables [41]. Soluble sugars are essential for plant growth, development, and adaptation to the environment [41]. Soluble protein is an important part of enzymes in fruits and vegetables. It is involved in the regulation of various physiological and biochemical metabolic processes of fruits and vegetables, and is closely related to the growth and development, ripening and senescence, disease resistance, and stress resistance of fruits and vegetables [42]. Vegetable-based protein is emerging as a safe and sustainable resource for future dietary needs [42]. In our study, the soluble sugar content of cultivars from Ya’an and Yibin was higher than that of purple cultivars from Leshan. The soluble protein content of cultivars from Ya’an was higher than that of cultivars from Leshan. In Moringa oleifera Lam, there were similar results that cultivars from different fields had obvious differences in soluble sugar and protein contents. Overall, under identical cultivation, management, and environmental conditions, these differences in cultivar composition are likely attributable to genetic factors [43].
Leafy vegetables are recognized for their potential health-promoting properties, primarily due to their rich content of bioactive compounds such as flavonoids and phenolic compounds [44]. Among them, phenolic compounds have been widely studied for their obvious health benefits, including acting as antioxidants [45], preventing chronic inflammatory responses [46], mitigating cardiovascular diseases [47], and reducing diabetic complications [48]. Flavonoids, on the other hand, play a crucial role in plant defense against diseases, pests, and environmental stresses, while also contributing to the color and flavor of fruits and vegetables [49]. This study found that the content of flavonoids and total phenols in purple-leaf varieties was higher than that in green-leaf varieties, which shows that the nutritional and health value of purple-leaf mustard varieties is much higher than that of green-leaf mustard varieties. This was similar in Brassica campestris var. purpuraria [49]. The antioxidant capacity reflects the extent to which an organism is protected against oxidative damage caused by reactive oxygen and nitrogen species [50]. In addition, the correlation analysis showed that the antioxidant capacity was significantly positively correlated with the content of flavonoids and total phenolics, indicating that the antioxidant capacity increased with the increase in flavonoids and total phenolics, which is consistent with findings in celery [51]. Previous studies have shown that anthocyanin content is directly related to antioxidant capacity [52]. This study also found that there was a significant positive correlation between antioxidant levels and anthocyanin content. Therefore, the purple-leaf mustard varieties have higher contents of flavonoids, total phenolics, and anthocyanins, resulting in enhanced antioxidant capacity. This indicates that purple-leaf mustard varieties may be able to provide more health benefits and have a broader application prospect.
Glucosinolates are the main secondary metabolites and important functional components of cruciferous crops [53]. In addition to playing an important role in plant resistance to biotic and abiotic stresses, glucosinolates also have disease resistance and anti-cancer activities [54]. Long-term consumption of cruciferous vegetables can significantly reduce the probability of gastric cancer and breast cancer [55]. Upon culinary processing and mastication, glucose groups are cleaved from glucosinolates, and the remaining structures rapidly convert into biologically active compounds, such as isothiocyanates, nitriles, and indoles, which have health-promoting properties [53,54]. The regulation of glucosinolates is a complex multi-signal interaction process. In addition to genetic factors, the synthesis of glucosinolates is also regulated by some other factors [56,57]. Many environmental factors, including various biotic and abiotic factors such as plant diseases and insect pests, mechanical damage, changes in mineral nutrition, etc., change the composition and content of glucosinolates in different organs and tissues of plants [58,59]. In this study, the total glucosinolate content ranged from 19.05 to 85.54 μmol g−1 DW. There were significant differences in glucosinolate content among different mustard varieties, and the variety from Yibin showed the highest glucosinolate content. Interestingly, the total content of glucosinolates in green varieties was generally higher than that in purple varieties. The differences in the amount and composition of glucosinolates in different mustard varieties may be the result of the combined effects of genetic traits and environmental factors [60].
Due to the complexity of chemical components, evaluating overall quality based on a single indicator can be challenging [61]. For instance, in our study, cultivars from Yibin (YB1 and YB2) exhibited the highest total glucosinolate content but had lower levels of flavonoids and total phenolics. Therefore, it is crucial to assess quality comprehensively using appropriate methods. The membership function is commonly employed in such evaluations [62,63,64]. In our study, the integrated membership function values ranged from −0.390 to 1.601, with LS12 showing the highest score, indicating its superior overall quality. Conversely, the integrated membership function values for the Yibin cultivars (YB1 and YB2) were relatively low and even negative.
5. Conclusions
This study investigates variations in the nutritional composition and antioxidant capacity of different leaf mustard cultivars. Our results emphasize the significant influence of cultivar type on the nutritional profile of leaf mustard. Specifically, LS12 demonstrated superior nutrient content and antioxidant capacity, while YB2 showed lower nutrient levels. The purple cultivars from Leshan generally had higher levels of total chlorophyll, carotenoids, flavonoids, and phenolics compared to the green cultivars from Leshan. Only the purple cultivars from Leshan contained anthocyanidin. Furthermore, the average FRAP (ferric-reducing antioxidant power) level was significantly higher in Leshan purple cultivars than in those green cultivars from Leshan, Ya’an, and Yibin. Additionally, the total glucosinolate content was higher in cultivars from Yibin than in those green cultivars from Leshan and Ya’an, while purple cultivars from Leshan had the lowest glucosinolate content. These findings offer a theoretical basis for consumers seeking leaf mustard with high nutritional quality and provide insights for enhancing the nutritional value of this vegetable.
Author Contributions
Conceptualization, K.L. and X.Y.; investigation, A.L., H.L. (Hongxia Li), F.Z., Z.H. and Y.T.; data curation, W.C., Z.C., Z.G., V.H.E., D.L. and H.L. (Huanxiu Li); writing—original draft preparation, W.C. and A.L.; writing—review and editing, B.S., K.L. and X.Y.; funding acquisition, W.C., Z.C., Z.G., Y.Z., F.Z., Z.H., B.S. and X.Y. All authors have read and agreed to the published version of the manuscript.
Funding
This research was funded by National Natural Science Foundation of China (32372732, 32072586, 32372683, 31500247), Sichuan Science and Technology Program (2023ZYD0090, 24NSFSC0404, 25QNJJ2154), Science and Technology Research Project of Guizhou Provincial Department of Education (QianJiaoJi [2024]016), joint research on mustard breeding in Sichuan Province (2024YZ002), Sichuan Innovation Team of National Modern Agricultural Industry Technology System (SCCXTD-2024-05), Chongqing Science and Technology Program (CSTB2024TIAD-CYKJCXX0025), Tianjin Science and Technology Program (24ZYCGSN00950), and the Expert Workstation Program in Cuiping District, Yibin City (SYZJ202401).
Data Availability Statement
The original contributions presented in this study are included in the article material. Further inquiries can be directed to the corresponding authors.
Conflicts of Interest
Yu’nong Zhou was employed by the Sichuan Yibin Suimiyacai Co., Ltd. The remaining authors declare that the research was conducted in the absence of any commercial or financial relationships that could be construed as a potential conflict of interest.
References
- Yang, J.; Liu, D.; Wang, X.; Ji, C.; Cheng, F.; Liu, B.; Hu, Z.; Chen, S.; Pental, D.; Ju, Y.; et al. The genome sequence of allopolyploid Brassica juncea and analysis of differential homoeolog gene expression influencing selection. Nat. Genet. 2016, 48, 1225–1232. [Google Scholar] [CrossRef]
- Sun, B.; Tian, Y.X.; Chen, Q.; Zhang, Y.; Luo, Y.; Wang, Y.; Li, M.Y.; Gong, R.G.; Wang, X.R.; Zhang, F.; et al. Variations in the glucosinolates of the individual edible parts of three stem mustards Brassica juncea. Roy. Soc. Open Sci. 2019, 6, 182054. [Google Scholar] [CrossRef]
- Kim, Y.T.; Kim, B.K.; Park, K.Y. Antimutagenic and anticancer effects of leaf mustard and leaf mustard kimchi. Korean J. Food Sci. Nutr. 2007, 12, 84–88. [Google Scholar] [CrossRef]
- Lee, S.Y.; Choi, J.H.; Choi, Y.S.; Han, D.J.; Kim, H.Y.; Shim, S.Y.; Chung, H.K.; Kim, C.J. The antioxidative properties of mustard leaf (Brassica juncea) kimchi extracts on refrigerated raw ground pork meat against lipid oxidation. Meat Sci. 2010, 84, 498–504. [Google Scholar] [CrossRef]
- Peto, R.; Doll, J.D.; Buckley, M.B. Can dietary beta-carotene materially reduce human cancer rates? Nature 1981, 290, 201–208. [Google Scholar] [CrossRef]
- Haaker, M.W.; Vaandrager, A.B.; Helms, J.B. Retinoids in health and disease: A role for hepatic stellate cells in affecting retinoid levels. Biochim. Biophys. Acta (BBA)—Mol. Cell Biol. Lipids 2020, 1865, 158674. [Google Scholar] [CrossRef] [PubMed]
- Mushtaq, M.A.; Pan, Q.; Chen, D.; Zhang, Q.; Ge, X.; Li, Z. Comparative leaves transcriptome analysis emphasizing on accumulation of anthocyanins in Brassica: Molecular regulation and potential interaction with photosynthesis. Front. Plant Sci. 2016, 7, 311. [Google Scholar] [CrossRef] [PubMed]
- He, Q.; Zhang, Z.; Zhang, L. Anthocyanin accumulation, antioxidant ability and stability, and a transcriptional analysis of anthocyanin biosynthesis in purple heading Chinese cabbage. J. Agric. Food Chem. 2016, 64, 132–145. [Google Scholar] [CrossRef]
- Jie, M.; Cheung, W.M.; Yu, V.; Zhou, Y.; Tong, P.H.; John, W.S. Anti-proliferative activities of sinigrin on carcinogen induced hepatotoxicity in rats. PLoS ONE 2014, 9, 110–145. [Google Scholar] [CrossRef] [PubMed]
- Jeong, Y.J.; Cho, H.J.; Chung, F.L.; Wang, X.; Hoe, H.S.; Park, K.K.; Kim, C.H.; Chang, H.W.; Lee, S.R.; Chang, Y.C. Isothiocyanates suppress the invasion and metastasis of tumors by targeting FAK/ MMP-9 activity. Oncotarget 2017, 8, 63949–63962. [Google Scholar] [CrossRef]
- Pappaa, G.; Lichtenberg, M.; Iori, R.; Barillari, J.; Bartsch, H.; Gerh¨ausera, C. Comparison of growth inhibition profiles and mechanisms of apoptosis induction in human colon cancer cell lines by isothiocyanates and indoles from Brassicaceae. Mutat. Res. 2006, 599, 76–87. [Google Scholar] [CrossRef]
- Park, W.; Lee, Y.H.; Kim, K.S.; Cha, Y.L.; Moon, Y.H.; Song, Y.S.; Kwon, D.E.; Lee, J.E. The optimal mixing ratio of Brassica napus and Brassica juncea meal improve nematode Meloidogyne hapla effects. Plant Signal Behav. 2019, 14, 1678369. [Google Scholar] [CrossRef] [PubMed]
- Li, H.; Feng, H.; He, Y.; Liu, J.; Zhu, Y. Screening of leaf mustard (Brassica Juncea L.) cultivars for salinity tolerance. Commun. Soil Sci. Plant Anal. 2023, 54, 2657–2674. [Google Scholar] [CrossRef]
- Frazie, M.D.; Kim, M.J.; Ku, K.-M. Health-promoting phytochemicals from 11 mustard cultivars at baby leaf and mature stages. Molecules 2017, 22, 1749. [Google Scholar] [CrossRef] [PubMed]
- Sun, B.; Di, H.M.; Zhang, J.Q.; Xia, P.X.; Huang, W.L.; Jian, Y.; Zhang, C.; Zhang, F. Effect of light on sensory quality, health-promoting phytochemicals and antioxidant capacity in post-harvest baby mustard. Food Chem. 2021, 339, 128057. [Google Scholar] [CrossRef]
- Di, H.M.; Ma, J.; Zhang, Y.; Wei, J.; Yang, J.; Ma, J.; Bian, J.; Xu, J.; Huang, Z.; Tang, Y. Correlations between flavor and glucosinolates and changes in quality-related physiochemical characteristics of Guizhou suancai during the fermentation process. Food Chem. 2023, 405, 134965. [Google Scholar] [CrossRef] [PubMed]
- Sun, B.; Tian, Y.X.; Jiang, M.; Yuan, Q.; Chen, Q.; Zhang, Y.; Luo, Y.; Zhang, F.; Tang, H.R. Variation in the main health-promoting compounds and antioxidant activity of whole and individual edible parts of baby mustard (Brassica juncea var. gemmifera). RSC Adv. 2018, 8, 33845–33854. [Google Scholar] [CrossRef]
- Yan, C.; Song, S.; Wang, W.; Wang, C.; Li, H.; Wang, F.; Li, S.; Sun, X. Screening diverse soybean genotypes for drought tolerance by membership function value based on multiple traits and drought-tolerant coefficient of yield. BMC Plant Biol. 2020, 20, 321. [Google Scholar] [CrossRef]
- Zhang, X.; Herrera-Balandrano, D.D.; Huang, W.; Chai, Z.; Beta, T.; Wang, J.; Feng, J.; Li, Y. Comparison of nutritional and nutraceutical properties of burdock roots cultivated in Fengxian and Peixian of China. Foods 2021, 10, 2095. [Google Scholar] [CrossRef] [PubMed]
- Sarker, U.; Hossain, M.M.; Oba, S. Nutritional and antioxidant components and antioxidant capacity in green morph Amaranthus leafy vegetable. Sci. Rep. 2020, 10, 1336. [Google Scholar] [CrossRef] [PubMed]
- Li, J.; Zhu, Z.; Gerendás, J. Effects of nitrogen and sulfur on total phenolics and antioxidant activity in two genotypes of leaf mustard. J. Plant Nutr. 2008, 31, 1642–1655. [Google Scholar] [CrossRef]
- Sharma, P.; Kaur, A.; Kaur, S. Nutritional quality of flours from guar bean (Cyamopsis tetragonoloba) varieties as affected by different processing methods. J. Food Sci. Technol. 2017, 54, 1866–1872. [Google Scholar] [CrossRef] [PubMed]
- Moroșan, E.; Lupu, C.E.; Mititelu, M.; Musuc, A.M.; Rusu, A.I.; Răducan, I.D.; Karampelas, O.; Voinicu, I.B.; Neacșu, S.M.; Licu, M.; et al. Evaluation of the nutritional quality of different soybean and pea varieties: Their use in balanced diets for different pathologies. Appl. Sci. 2023, 13, 8724. [Google Scholar] [CrossRef]
- Mancini, M.; Mazzoni, L.; Leoni, E.; Tonanni, V.; Gagliardi, F.; Qaderi, R.; Capocasa, F.; Toscano, G.; Mezzetti, B. Application of near infrared spectroscopy for the rapid assessment of nutritional quality of different strawberry cultivars. Foods 2023, 12, 3253. [Google Scholar] [CrossRef] [PubMed]
- Tomo, T.; Okubo, T.; Akimoto, S.; Yokono, M.; Miyashita, H.; Tsuchiya, T.; Noguchi, T.; Mimuro, M. Identification of the special pair of photosystem II in a chlorophyll d-dominated cyanobacterium. Proc. Natl. Acad. Sci. USA 2007, 104, 7283–7288. [Google Scholar] [CrossRef] [PubMed]
- Zhang, C.L.; Ling, L.; Zhang, Y.T.; Liang, Q.N.; Luo, S.; Huang, Z.; Li, H.X.; Escalona, V.H.; Chen, Z.F.; Zhang, F.; et al. BoaCRTISO regulates the color and glossiness of Chinese kale through its effects on pigment, abscisic acid, and cuticular wax biosynthesis. Hortic. Plant J. 2024, in press. [Google Scholar] [CrossRef]
- Zhang, C.; Liang, Q.; Wang, Y.; Liang, S.; Huang, Z.; Li, H.; Escalona, V.H.; Yao, X.; Cheng, W.; Chen, Z.; et al. BoaBZR1.1 mediates brassinosteroid-induced carotenoid biosynthesis in Chinese kale. Hortic. Res. 2024, 11, uhae104. [Google Scholar] [CrossRef]
- Islam, M.N.; Ishita, I.J.; Jin, S.E.; Choi, R.J.; Lee, C.M.; Kim, Y.S.; Jung, H.A.; Choi, J.S. Anti-inflammatory activity of edible brown alga Saccharina japonica and its constituents pheophorbide a and pheophytin a in LPS-stimulated RAW 264.7 macrophage cells. Food Chem. Toxicol. 2013, 55, 541–548. [Google Scholar] [CrossRef] [PubMed]
- Nguyen, T.T.D.; Nguyen, Q.D.; Nguyen, T.V.L. Kinetic study on chlorophyll and antioxidant activity from Polyscias fruticose (L.) Harms leaves via microwave-assisted extraction. Molecules 2021, 26, 3761. [Google Scholar] [CrossRef] [PubMed]
- Tiisekwa, A.B.; Chove, B.E.; Mongi, R.; Rybak, C.; Stuetz, W. Carotenoids, tocopherols, minerals and phytate in fresh and carotenoids and tocopherol contents in sun-dried dark green leafy vegetable varieties from the Lindi region, Tanzania. Technol. Hortic. 2024, 4, e014. [Google Scholar] [CrossRef]
- Krinsky, N.I.; Yeum, K.J. Carotenoid-radical interactions. Biochem. Bioph. Res. Co. 2003, 305, 754–760. [Google Scholar] [CrossRef] [PubMed]
- Stahl, W.; Sies, H. Antioxidant activity of carotenoids. Mol. Aspects Med. 2003, 24, 345–351. [Google Scholar] [CrossRef] [PubMed]
- Kim, Y.J.; Kim, Y.A.E.; Yokozawa, T. Protection against oxidative stress, inflammation, and apoptosis of high-glucose-exposed proximal tubular epithelial cells by astaxanthin. J. Agric. Food. Chem. 2009, 57, 8793–8797. [Google Scholar] [CrossRef] [PubMed]
- Teo, J.; Mohan, R.; Zhang, S.; Gui, Y.; Sng, B.J.R.; Jang, I.C.; Yin, Z. Optimization of light and temperature in indoor farming to boost anthocyanin biosynthesis and accumulation in Indigo Rose tomato. Veg. Res. 2022, 2, 18. [Google Scholar] [CrossRef]
- Zheng, X.T.; Yu, Z.C.; Tang, J.W.; Cai, M.L.; Chen, Y.L.; Yang, C.W.; Chow, W.S.; Peng, C.L. The major photoprotective role of anthocyanins in leaves of Arabidopsis thaliana under long-term high light treatment: Antioxidant or light attenuator? Photosynth. Res. 2021, 149, 25–40. [Google Scholar] [CrossRef] [PubMed]
- Zhao, Y.; Qi, X.; Liu, Z.; Zheng, W.; Guan, J.; Liu, Z.; Ren, J.; Feng, H.; Zhang, Y. Transcriptome and metabolome profiling to explore the causes of purple leaves formation in non-heading chinese cabbage (Brassica rapa L. ssp. chinensis Makino var. mutliceps Hort.). Foods 2022, 11, 1787. [Google Scholar] [CrossRef] [PubMed]
- Heng, S.; Wang, L.; Yang, X.; Huang, H.; Chen, G.; Cui, M.; Liu, M.; Lv, Q.; Wan, Z.; Shen, J.; et al. Genetic and comparative transcriptome analysis revealed DEGs involved in the purple leaf formation in Brassica juncea. Front. Genet. 2020, 11, 322. [Google Scholar] [CrossRef] [PubMed]
- Di, H.M.; Zhao, Y.T.; Zhou, A.L.; Chen, Z.F.; Ma, J.; Liu, D.C.; Escalona, V.H.; Qian, G.P.; Yu, X.N.; Huang, H.H.; et al. Integrated metabolome and transcriptome analysis revealed color formation in purple leaf mustard (Brassica juncea). Sci. Hortic. 2024, 337, 113526. [Google Scholar] [CrossRef]
- Krol, M.; Gray, G.R.; Huner, N.P.A.; Hurry, V.M.; Öquist, G.; Malek, L. Low-temperature stress and photoperiod affect an increased tolerance to photoinhibition in Pinus banksiana seedlings. Can. J. Bot. 1995, 73, 1119–1127. [Google Scholar] [CrossRef]
- Ntefidou, M.; Manetas, Y. Optical properties of hairs during the early stages of leaf development in Platanus orientalis. Funct. Plant Biol. 1996, 23, 535–538. [Google Scholar] [CrossRef]
- Zhang, X.; Sun, J.; Liu, X.; Jiang, J. SlSWEET10a negatively regulates sucrose transport in tomato fruit. Veg. Res. 2024, 4, e018. [Google Scholar] [CrossRef]
- Bayomie, O.S.; Hedi Romdhana, H.D. Cleaner green protein production from vegetable byproducts: Energy recovery and water reuse strategies. Sustain. Prod. Consum. 2023, 40, 389–397. [Google Scholar] [CrossRef]
- Ndhlala, A.R.; Tshabalala, T. Diversity in the nutritional values of some Moringa oleifera Lam. cultivars. Diversity 2023, 15, 834. [Google Scholar] [CrossRef]
- Soquetta, M.B.; Terra, L.D.; Bastos, C.P. Green technologies for the extraction of bioactive compounds in fruits and vegetables. CyTA–J. Food 2018, 16, 400–412. [Google Scholar] [CrossRef]
- Zeb, A. Concept, mechanism, and applications of phenolic antioxidants in foods. J. Food Biochem. 2020, 44, e13394. [Google Scholar] [CrossRef]
- Ambriz-Pérez, D.L.; Leyva-López, N.; Gutierrez-Grijalva, E.P.; Heredia, J.B.; Yildiz, F. Phenolic compounds: Natural alternative in inflammation treatment. A Review. Cogent Food AGR 2016, 2, 1131412. [Google Scholar] [CrossRef]
- Ali, S.S.; Ahmad, W.A.N.W.; Budin, S.B.; Zainalabidin, S. Implication of dietary phenolic acids on inflammation in cardiovascular disease. Rev. Cardiovasc. Med. 2020, 21, 225–240. [Google Scholar] [CrossRef] [PubMed]
- Wang, Y.; Di, H.; Cheng, W.; Ren, G.; Luo, S.; Ma, J.; Ma, W.; Lian, H.; Li, X.; Huang, Z.; et al. Variation in the main health-promoting compounds and antioxidant activity of different edible parts of purple flowering stalks (Brassica campestris var. purpuraria) and green flowering stalks (Brassica campestris var. campestris). Plants 2022, 11, 1664. [Google Scholar] [CrossRef]
- Zhang, B.; Deng, Z.Y.; Ramdath, D.D.; Tang, Y.; Chen, P.X.; Liu, R.H.; Liu, Q.; Tsao, R. Phenolic profiles of 20 Canadian lentil cultivars and their contribution to antioxidant activity and inhibitory effects on α-glucosidase and pancreatic lipase. Food Chem. 2015, 172, 862–872. [Google Scholar] [CrossRef] [PubMed]
- Tafulo, P.A.R.; Queirós, R.B.; Delerue-Matos, C.M.; Sales, M.G.F. Control and comparison of the antioxidant capacity of beers. Food Res. Int. 2010, 43, 1702–1709. [Google Scholar] [CrossRef]
- Yao, Y.; Sang, W.; Zhou, M.; Ren, G. Phenolic composition and antioxidant activities of 11 celery cultivars. J. Food Sci. 2010, 75, C9–C13. [Google Scholar] [CrossRef] [PubMed]
- Rodríguez, V.M.; Soengas, P.; Landa, A.; Ordás, A.; Revilla, P. Effects of selection for color intensity on antioxidant capacity in maize (Zea mays L.). Euphytica 2013, 193, 339–345. [Google Scholar] [CrossRef][Green Version]
- Bansal, S.; Lakra, N.; Mishra, S.; Ahlawat, Y.K. Unraveling the potential of glucosinolates for nutritional enhancement and stress tolerance in Brassica crops. Veg. Res. 2024, 4, e015. [Google Scholar] [CrossRef]
- Manchali, S.; Murthy, K.N.C.; Patil, B.S. Crucial facts about health benefits of popular cruciferous vegetables. J. Funct. Foods 2012, 4, 94–106. [Google Scholar] [CrossRef]
- Teklehaymanot, T.; Wang, H.; Liang, J.; Wu, J.; Lin, R.; Zhou, Z.; Cai, X.; Wang, X. Variation in plant morphology and sinigrin content in Ethiopian mustard (Brassica carinata L.). Hortic. Plant J. 2019, 5, 205–212. [Google Scholar] [CrossRef]
- Warwick, S.I.; Gugel, R.K.; Mcdonald, T.; Falk, K.C. Genetic variation of Ethiopian mustard (Brassica carinata A. Braun) germplasm in western Canada. Genet. Resour. Crop Evol. 2006, 53, 297–312. [Google Scholar] [CrossRef]
- Kim, H.W.; Ko, H.C.; Baek, H.J.; Cho, S.M.; Jang, H.H.; Lee, Y.M.; Kim, J.B. Identification and quantification of glucosinolates in Korean leaf mustard germplasm (Brassica juncea var. integrifolia) by liquid chromatography–electrospray ionization/tandem mass spectrometry. Eur. Food Res. Technol. 2016, 242, 1479–1484. [Google Scholar] [CrossRef]
- Merah, O. Genetic variability in glucosinolates in seed of Brassica juncea: Interest in mustard condiment. J. Chem. 2015, 1, 606142. [Google Scholar] [CrossRef]
- Zhang, C.; Di, H.; Lin, P.; Wang, Y.; Li, Z.; Lai, Y.; Li, H.; Sun, B.; Zhang, F. Genotypic variation of glucosinolates and their breakdown products in mustard (Brassica juncea) seeds. Sci. Hortic. 2022, 294, 110765. [Google Scholar] [CrossRef]
- Huang, H.; Wang, J.; Mao, S.; Wu, Q.; Tian, Y.; Wang, F.; Wang, P.; Huang, K.; Wu, Q. Variation characteristics of glucosinolate contents in leaf mustard (Brassica juncea). Agronomy 2022, 12, 2287. [Google Scholar] [CrossRef]
- Zou, Z.W.; Guo, B.J.; Guo, Y.; Ma, X.L.; Luo, S.S.; Feng, L.L.; Pan, Z.P.; Deng, L.J.; Pan, S.H.; Wei, J.B.; et al. A comprehensive “quality-quantity-activity” approach based on portable near-infrared spectrometer and membership function analysis to systematically evaluate spice quality: Cinnamomum cassia as an example. Food Chem. 2024, 439, 138142. [Google Scholar] [CrossRef] [PubMed]
- Song, C.; Ye, X.; Liu, G.; Zhang, S.; Li, G.; Zhang, H.; Li, F.; Sun, R.; Wang, C.; Xu, D.; et al. Comprehensive evaluation of nutritional qualities of Chinese Cabbage (Brassica rapa ssp. pekinensis) varieties based on multivariate statistical analysis. Horticulturae 2023, 9, 1264. [Google Scholar] [CrossRef]
- Dai, M.; Tan, X.; Ye, Z.; Ren, J.; Chen, X.; Kong, D. Optimal light intensity for Lettuce growth, quality, and photosynthesis in plant factories. Plants 2024, 13, 2616. [Google Scholar] [CrossRef] [PubMed]
- Tian, W.; Li, Z.; Wang, L.; Sun, S.; Wang, D.; Wang, K.; Wang, G.; Liu, Z.; Lu, X.; Feng, J.; et al. Comprehensive evaluation of apple germplasm genetic diversity on the basis of 26 phenotypic traits. Agronomy 2024, 14, 1264. [Google Scholar] [CrossRef]
Disclaimer/Publisher’s Note: The statements, opinions and data contained in all publications are solely those of the individual author(s) and contributor(s) and not of MDPI and/or the editor(s). MDPI and/or the editor(s) disclaim responsibility for any injury to people or property resulting from any ideas, methods, instructions or products referred to in the content. |
© 2025 by the authors. Licensee MDPI, Basel, Switzerland. This article is an open access article distributed under the terms and conditions of the Creative Commons Attribution (CC BY) license (https://creativecommons.org/licenses/by/4.0/).







