Insecticidal Potential of Essential Oils from Ammi visnaga L. and Trachyspermum ammi L. against Sitophilus oryzae (L.) and In Silico Study of Their Major Constituents
Abstract
1. Introduction
2. Materials and Methods
2.1. Plants and EOs’ Extraction
2.2. Pest: Sitophilus oryzae (L.)
2.3. Gas Chromatography–Mass Spectrometry
2.4. Insecticidal Activity
2.5. Molecular Docking Study
2.5.1. Protein Preparation
2.5.2. Ligand Preparation
2.5.3. Receptor Grid Generation
2.5.4. Performing Molecular Docking
2.6. Statistical Analysis
3. Results
3.1. Essential Oils’ Chemical Composition
3.2. Insecticidal Activity of Ammi visnaga and Trachyspermum ammi EOs against Sitophilus oryzae
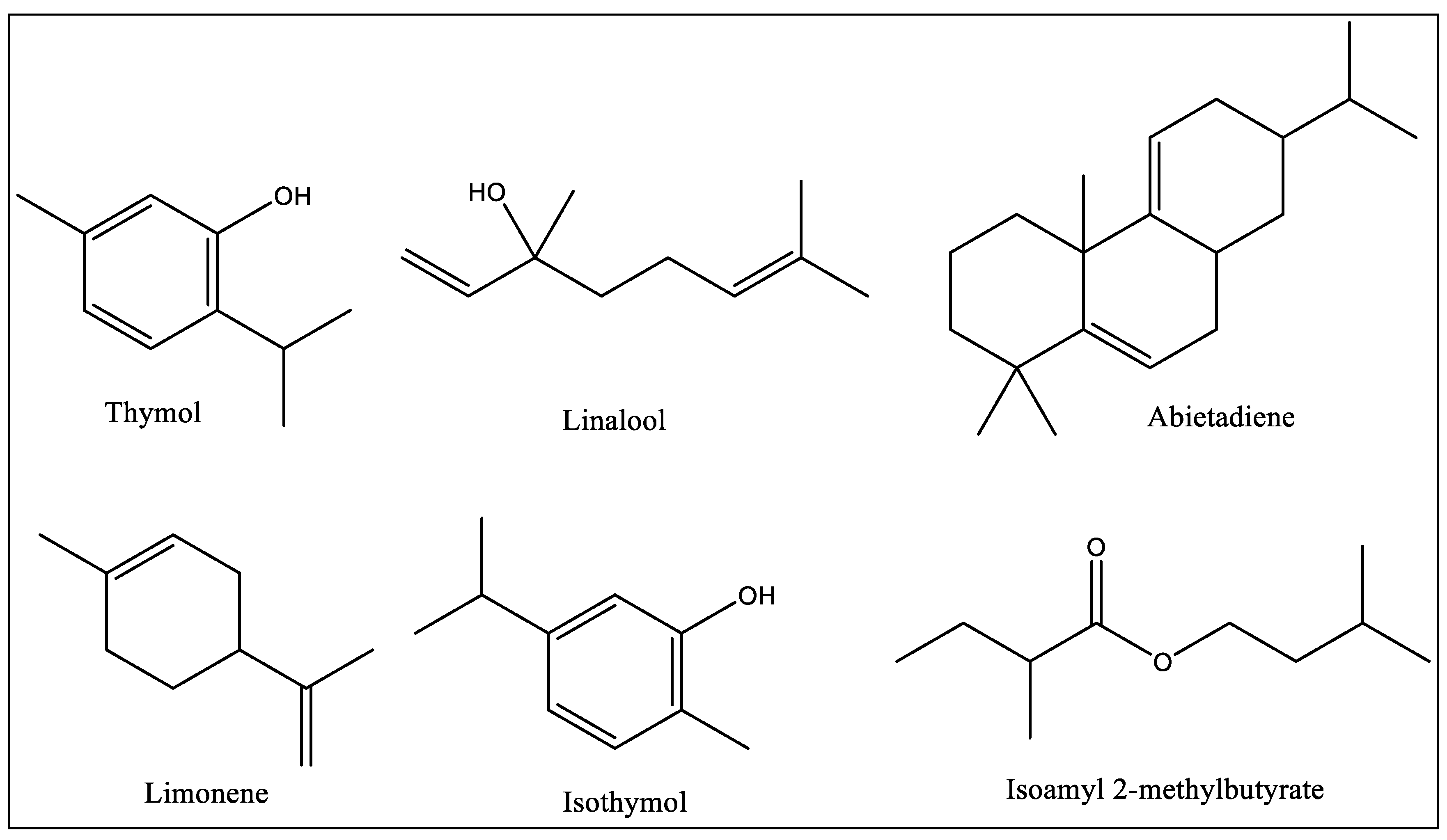
3.3. Molecular Docking Study
4. Discussion
5. Conclusions
Author Contributions
Funding
Data Availability Statement
Conflicts of Interest
References
- Doherty, E.M.; Sun, Q.; Wilson, B.E. Stored rice varietal resistance towards Sitophilus oryzae. Crop. Prot. 2023, 165, 106162. [Google Scholar] [CrossRef]
- Agrafioti, P.; Lampiri, E.; Igoumenidis, P.E.; Karathanos, V.T.; Perdikaris, A.; Athanassiou, C.G. Population Growth Changes in Major Stored Product Insects on Rice Fortified with Spearmint and Basil. Agronomy 2022, 12, 2088. [Google Scholar] [CrossRef]
- Irabagon, T.A. Rice Weevil Damage to Stored Corn1. J. Econ. Èntomol. 1959, 52, 1130–1136. [Google Scholar] [CrossRef]
- Stathers, T.E.; Arnold, S.E.J.; Rumney, C.J.; Hopson, C. Measuring the nutritional cost of insect infestation of stored maize and cowpea. Food Secur. 2020, 12, 285–308. [Google Scholar] [CrossRef]
- Tudi, M.; Ruan, H.D.; Wang, L.; Lyu, J.; Sadler, R.; Connell, D.; Chu, C.; Phung, D.T. Agriculture Development, Pesticide Application and Its Impact on the Environment. Int. J. Environ. Res. Public Health 2021, 18, 1112. [Google Scholar] [CrossRef] [PubMed]
- Mesterházy, Á.; Oláh, J.; Popp, J. Losses in the Grain Supply Chain: Causes and Solutions. Sustainability 2020, 12, 2342. [Google Scholar] [CrossRef]
- Kumar, U.; Mukherjee, A.; Singh, D.K.; Koley, T.K.; Shubha, K.; Ray, R.K.; Sarkar, S. Yield Loss in Major Food Crops of Eastern India: A Review: Yield Loss in Major Food Crops. J. AgriSearch 2022, 9, 123–128. [Google Scholar] [CrossRef]
- Mehta, V.; Kumar, S.; Jayaram, C.S. Damage Potential, Effect on Germination, and Development of Sitophilus oryzae (Coleoptera: Curculionidae) on Wheat Grains in Northwestern Himalayas. J. Insect Sci. 2021, 21, 8–9. [Google Scholar] [CrossRef] [PubMed]
- Cao, Y.; Hu, Q.; Huang, L.; Athanassiou, C.G.; Maggi, F.; D’Isita, I.; Liu, Y.; Pistillo, O.M.; Miao, M.; Germinara, G.S.; et al. Attraction of Sitophilus Oryzae (L.) (Coleoptera: Curculionidae) to the Semiochemical Volatiles of Stored Rice Materials. J. Pest Sci. 2024, 97, 73–85. [Google Scholar] [CrossRef]
- Mssillou, I.; Saghrouchni, H.; Saber, M.; Zannou, A.J.; Balahbib, A.; Bouyahya, A.; Allali, A.; Lyoussi, B.; Derwich, E. Efficacy and Role of Essential Oils as Bio-Insecticide against the Pulse Beetle Callosobruchus Maculatus (F.) in Post-Harvest Crops. Ind. Crops Prod. 2022, 189, 115786. [Google Scholar] [CrossRef]
- Agour, A.; Mssillou, I.; Allali, A.; Chebaibi, M.; El Abdali, Y.; El Barnossi, A.; Bin Jardan, Y.A.; Wondmie, G.F.; Nafidi, H.-A.; Bourhia, M.; et al. Pharmacological Activities of Chemically Characterized Essential Oils from Haplophyllum Tuberculatum (Forssk.). Front. Chem. 2023, 11, 1251449. [Google Scholar] [CrossRef] [PubMed]
- PThiviya, P.; Gunawardena, N.; Gamage, A.; Madhujith, T.; Merah, O. Apiaceae Family as a Valuable Source of Biocidal Components and their Potential Uses in Agriculture. Horticulturae 2022, 8, 614. [Google Scholar] [CrossRef]
- Mssillou, I.; Agour, A.; Allali, A.; Saghrouchni, H.; Bourhia, M.; El Moussaoui, A.; Salamatullah, A.M.; Alzahrani, A.; Aboul-Soud, M.A.M.; Giesy, J.P.; et al. Antioxidant, Antimicrobial, and Insecticidal Properties of a Chemically Characterized Essential Oil from the Leaves of Dittrichia Viscosa L. Molecules 2022, 27, 2282. [Google Scholar] [CrossRef] [PubMed]
- Chaubey, M.K. Biological Effects of Essential Oils Against Rice Weevil Sitophilus oryzae L. (Coleoptera: Curculionidae). J. Essent. Oil Bear. Plants 2012, 15, 809–815. [Google Scholar] [CrossRef]
- Hyder, M.; Li, Y.; Wang, M.; Mao, J.; Mari, J.M.; Soomro, H.U.; Bukero, A.A.; Zhang, L. Insecticidal activity, Chemical Constituents of Trachyspermum ammi, Withania coagulans and Murraya koenigii ethanloic extracts against Bemisia tabaci. Braz. J. Biol. 2022, 84, e260298. [Google Scholar] [CrossRef] [PubMed]
- Ribeiro, S.O.; Fontaine, V.; Mathieu, V.; Abdesselam, Z.; Dominique, B.; Caroline, S.; Florence, S. Antibacterial Activities of Homemade Matrices Miming Essential Oils Compared to Commercial Ones. Antibiotics 2021, 10, 584. [Google Scholar] [CrossRef] [PubMed]
- Bisrat, D.; Jung, C. Insecticidal Toxicities of Three Main Constituents Derived from Trachyspermum ammi (L.) Sprague ex Turrill Fruits against the Small Hive Beetles, Aethina tumida Murray. Molecules 2020, 25, 1100. [Google Scholar] [CrossRef] [PubMed]
- Mssillou, I.; Agour, A.; Lyoussi, B.; Derwich, E. Original Research Article Chemical Constituents, In Vitro Antibacterial Properties and Antioxidant Activity of Essential Oils from Marrubium Vulgare L. Leaves. Trop. J. Nat. Prod. Res. (TJNPR) 2021, 5, 661–667. [Google Scholar] [CrossRef]
- Lafraxo, S.; El Moussaoui, A.; Bin Jardan, Y.A.; El Barnossi, A.; Chebaibi, M.; Baammi, S.; Akka, A.A.; Chebbac, K.; Akhazzane, M.; Chelouati, T.; et al. GC-MS Profiling, In Vitro Antioxidant, Antimicrobial, and In Silico NADPH Oxidase Inhibition Studies of Essential Oil of Juniperus thurifera Bark. Evidence-Based Complement. Altern. Med. 2022, 2022, 6305672. [Google Scholar] [CrossRef]
- Ouahabi, S.; Loukili, E.H.; Daoudi, N.E.; Chebaibi, M.; Ramdani, M.; Rahhou, I.; Bnouham, M.; Fauconnier, M.-L.; Hammouti, B.; Rhazi, L.; et al. Study of the Phytochemical Composition, Antioxidant Properties, and In Vitro Anti-Diabetic Efficacy of Gracilaria bursa-pastoris Extracts. Mar. Drugs 2023, 21, 372. [Google Scholar] [CrossRef]
- Amrati, F.E.-Z.; Elmadbouh, O.H.M.; Chebaibi, M.; Soufi, B.; Conte, R.; Slighoua, M.; Saleh, A.; Al Kamaly, O.; Drioiche, A.; Zair, T.; et al. Evaluation of the toxicity of Caralluma europaea (C.E) extracts and their effects on apoptosis and chemoresistance in pancreatic cancer cells. J. Biomol. Struct. Dyn. 2023, 41, 8517–8534. [Google Scholar] [CrossRef] [PubMed]
- Harmouzi, A.; Boughdad, A.; El Ammari, Y.; Chaouch, A. Chemical composition and toxicity of Moroccan Tetraclinis articulata and Juniperus phoenicea essential oils against Aphis citricola Goot, 1912 (Homoptera, Aphididae). Res. Chem. Intermed. 2016, 42, 7185–7197. [Google Scholar] [CrossRef]
- Khadhri, A.; El Mokni, R.; Mguis, K.; Ouerfelli, I.; Araújo, M.E.M. Variability of two essential oils of Ammi visnaga (L.) Lam. a traditional Tunisian medicinal plant. J. Med. Plants Res. 2011, pp. 5079–5082. Available online: http://www.academicjournals.org/JMPR (accessed on 3 June 2024).
- Khalfallah, A.; Labed, A.; Semra, Z.; Kaki, B.; Kabouche, A.; Kabouche, Z. Antibacterial activity and chemical composition of the essential oil of Ammi visnaga L. (Apiaceae) from Constantine, Algeria. Int. J. Med. Aromat. Plants 2011, 1, 302–305. [Google Scholar]
- Satrani, B.; Farah, A.; Talbi, M. Composition chimique et activité antibactérienne et antifongique de l’huile essentielle extraite du bois de Tetraclinis articulata du Maroc. Ann. Falsif. L’expertise Chim. Toxicol. 2004, 97, 75–84. [Google Scholar]
- Günaydin, K.; Beyazit, N. The chemical investigations on the ripe fruits of Ammi visnaga (Lam.) lamarck growing in turkey. Nat. Prod. Res. 2004, 18, 169–175. [Google Scholar] [CrossRef] [PubMed]
- Gitea, M.A.; Gitea, D.; Tit, D.M.; Purza, L.; Samuel, A.D.; Bungău, S.; Badea, G.E.; Aleya, L. Orchard management under the effects of climate change: Implications for apple, plum, and almond growing. Environ. Sci. Pollut. Res. 2019, 26, 9908–9915. [Google Scholar] [CrossRef] [PubMed]
- Soni, R.; Sharma, G.; Jasuja, N.D. Essential Oil Yield Pattern and Antibacterial and Insecticidal Activities of Trachyspermum ammi and Myristica fragrans. Scientifica 2016, 2016, 1428194. [Google Scholar] [CrossRef] [PubMed]
- Singh, A.; Ahmad, A. Antioxidant Activity of Essential Oil Extracted by SC-CO2 from Seeds of Trachyspermum ammi. Medicines 2017, 4, 53. [Google Scholar] [CrossRef] [PubMed]
- Khalil, N.; Bishr, M.; Desouky, S.; Salama, O. Ammi Visnaga L., a Potential Medicinal Plant: A Review. Molecules 2020, 25, 301. [Google Scholar] [CrossRef]
- Sellami, H.K.; Flamini, G.; Cioni, P.L.; Smiti, S. Composition of the Essential Oils in Various Organs at Different Developmental Stages of Ammi visnaga (L.) Lam. from Tunisia. Chem. Biodivers. 2011, 8, 1990–2004. [Google Scholar] [CrossRef]
- Aziz, I.M.; Alshalan, R.M.; Rizwana, H.; Alkhelaiwi, F.; Almuqrin, A.M.; Aljowaie, R.M.; Alkubaisi, N.A. Chemical Composition, Antioxidant, Anticancer, and Antibacterial Activities of Roots and Seeds of Ammi visnaga L. Methanol Extract. Pharmaceuticals 2024, 17, 121. [Google Scholar] [CrossRef]
- Zrira, S.; Elamrani, A.; Pellerin, P.; Bessière, J.M.; Menut, C.; Benjilali, B. Isolation of Moroccan Ammi Visnaga Oil: Comparison between Hydrodistillation, Steam Distillation and Supercritical Fluid Extraction. J. Essent. Oil Bear. Plants 2008, 11, 30–35. [Google Scholar] [CrossRef]
- Lamiri, A.; Lhaloui, S.; Benjilali, B.; Berrada, M. Insecticidal effects of essential oils against Hessian fly, Mayetiola destructor (Say). Field Crop. Res. 2001, 71, 9–15. [Google Scholar] [CrossRef]
- Soro, K.N.; Sabri, L.; Amalich, S.; Khabbal, Y.; Zaïr, T. Composition chimique d’Ammi visnaga L. (Lam.) marocaine et activité antibactérienne de son huile essentielle vis-à-vis de bactéries productrices et non productrices de beta-lactamases à spectre élargi. Phytotherapie 2015, 13, 168–175. [Google Scholar] [CrossRef]
- Talaat, I.M.; Khattab, H.I.; Ahmed, A.M. Changes in growth, hormones levels and essential oil content of Ammi visnaga L. plants treated with some bioregulators. Saudi J. Biol. Sci. 2014, 21, 355–365. [Google Scholar] [CrossRef]
- Jain, N.; Sharma, M.; Joshi, S.C.; Kaushik, U. Chemical Composition, Toxicity and Antidermatophytic Activity of Essential Oil of Trachyspermum ammi. Indian J. Pharm. Sci. 2018, 80, 135–142. [Google Scholar] [CrossRef]
- Moein, M.R.; Zomorodian, K.; Pakshir, K.; Yavari, F.; Motamedi, M.; Zarshenas, M.M. Trachyspermum ammi (L.) Sprague. J. Evid.-Based Complement. Altern. Med. 2015, 20, 50–56. [Google Scholar] [CrossRef]
- Gandomi, H.; Abbaszadeh, S.; JebelliJavan, A.; Sharifzadeh, A. Chemical Constituents, Antimicrobial and Antioxidative Effects of Trachyspermum ammi Essential Oil. J. Food Process. Preserv. 2014, 38, 1690–1695. [Google Scholar] [CrossRef]
- Pavela, R.; Maggi, F.; Cianfaglione, K.; Bruno, M.; Benelli, G. Larvicidal Activity of Essential Oils of Five Apiaceae Taxa and Some of Their Main Constituents Against Culex quinquefasciatus. Chem. Biodivers. 2018, 15, e1700382. [Google Scholar] [CrossRef]
- Hayta, Ş.; Manyas, A.; Er, A. Determination of essential oil components of Ammi L. genus in Türkiye and their effects on some storage pests. Int. J. Second. Metab. 2024, 11, 341–354. [Google Scholar] [CrossRef]
- Safronov, A.M.; Lutsuk, S.N. Insectoacaricide Activity of Thymol Against Menoponidae and Gamasid Mites Dermanyssus Gallinae. In International Scientific and Practical Conference” Agro-SMART-Smart Solutions for Agriculture”(Agro-SMART 2018); Atlantis Press: Amsterdam, The Netherland, 2018; pp. 615–620. [Google Scholar] [CrossRef]
- Moretti, A.N.; Seccacini, E.A.; Zerba, E.N.; Canale, D.; Alzogaray, R.A. The Botanical Monoterpenes Linalool and Eugenol Flush-Out Nymphs of Triatoma infestans (Hemiptera: Reduviidae). J. Med. Èntomol. 2017, 54, 1293–1298. [Google Scholar] [CrossRef] [PubMed]
- Pirttimaa, M.; Nasereddin, A.; Kopelyanskiy, D.; Kaiser, M.; Yli-Kauhaluoma, J.; Oksman-Caldentey, K.-M.; Brun, R.; Jaffe, C.L.; Moreira, V.M.; Alakurtti, S. Abietane-Type Diterpenoid Amides with Highly Potent and Selective Activity against Leishmania donovani and Trypanosoma cruzi. J. Nat. Prod. 2016, 79, 362–368. [Google Scholar] [CrossRef] [PubMed]
- Zhang, X.; Zhu, K.Y. Biochemical characterization of chitin synthase activity and inhibition in the African malaria mosquito, Anopheles gambiae. Insect Sci. 2012, 20, 158–166. [Google Scholar] [CrossRef] [PubMed]
- Mitsui, T. Mode of Inhibition of Chitin Synthesis by Diflubenzuron. In Chitin in Nature and Technology; Springer: Berlin/Heidelberg, Germany, 1986; pp. 193–196. [Google Scholar] [CrossRef]
- Matsumura, F. Studies on the action mechanism of benzoylurea insecticides to inhibit the process of chitin synthesis in insects: A review on the status of research activities in the past, the present and the future prospects. Pestic. Biochem. Physiol. 2010, 97, 133–139. [Google Scholar] [CrossRef]
- Chen, D.-D.; Wang, Z.-B.; Wang, L.-X.; Zhao, P.; Yun, C.-H.; Bai, L. Structure, catalysis, chitin transport, and selective inhibition of chitin synthase. Nat. Commun. 2023, 14, 4776. [Google Scholar] [CrossRef]





| No. | Constituent | RT | Area | |
|---|---|---|---|---|
| A. visnaga | T. ammi | |||
| 1 | α-Hujene | 4.64 | 0.12 | 0.08 |
| 2 | α-Pinene | 4.95 | 0.09 | 1.54 |
| 3 | Sabinene | 5.55 | 0.95 | 0.67 |
| 4 | β-Pinene | 5.57 | 0.04 | 0.87 |
| 5 | Myrcene | 5.64 | - | 1.08 |
| 6 | Isobutyl isobutyrate | 5.71 | 1.31 | 0.02 |
| 7 | α-Phellandrene | 5.73 | - | 0.01 |
| 8 | Propyl-2-methylbutanoate | 6.08 | 0.78 | - |
| 9 | p-Cymene | 6.12 | 0.23 | 1.12 |
| 10 | Limonene | 6.17 | 19.04 | 13.56 |
| 11 | δ-3-Carene | 6.25 | - | 0.03 |
| 12 | Pulegone | 6.41 | 0.52 | 0.76 |
| 13 | ɣ-Terpinene | 6.42 | - | 2.07 |
| 14 | Cis-linalool oxide | 6.47 | 0.03 | 0.05 |
| 15 | Terpindene | 6.55 | 1.06 | - |
| 16 | Linalool | 6.7 | 25.54 | 0.9 |
| 17 | Isoamyl 2-Methylbutyrate | 6.72 | 4.78 | 0.02 |
| 18 | Isopentyl isovalerate | 6.76 | 0.12 | - |
| 19 | Terpinen-4-o1 | 6.85 | 1.34 | 1.08 |
| 20 | α-Terpineol | 7.01 | 0.78 | 1.45 |
| 21 | β-Terpinol | 7.03 | 0.06 | - |
| 22 | Abietadiene | 7.63 | 41.23 | - |
| 23 | Methyl thymol | 8.38 | 0.08 | 1.98 |
| 24 | Abietal | 8.48 | 0.05 | - |
| 25 | Abietol | 9.88 | 0.14 | - |
| 26 | Methyl carvacrol | 10.37 | 0.01 | 0.05 |
| 27 | Isothymol | 11.91 | - | 51.88 |
| 28 | Thymol | 12.94 | - | 10.9 |
| 29 | Carvacrol | 13.59 | - | 1.06 |
| 30 | Trans-bergamoptene | 14.17 | 0.04 | - |
| 31 | Linalyl valerate | 15.79 | 0.03 | - |
| 32 | β-Sesquiphellandrene | 16.43 | 0.01 | 0.03 |
| 33 | Spathulenol | 17.59 | - | 0.7 |
| Oxygenated monoterpenes | 52.21 | 81.74 | ||
| Hydrocarbon monoterpenes | 1.31 | 7.48 | ||
| Oxygenated sesquiterpenes | 0.78 | 0.70 | ||
| Hydrocarbon sesquiterpenes | 42.42 | 0.11 | ||
| Others | 1.62 | 0.02 | ||
| Total | 98.34 | 90.05 | ||
| Yield | 0.81 ± 0.12 | 1.75 ± 0.23 | ||
| EOs | Concentration (µL L−1 Air) | LT50 (Days) | Correlation Coefficient | LT99 (Days) | Correlation Coefficient |
|---|---|---|---|---|---|
| A. visnaga | 0.25 | 5.72 | −0.9 | 10.64 | 0.75 |
| 0.5 | 4.64 | 9.46 | |||
| 1 | 4.46 | 9.29 | |||
| 2 | 3.36 | 8.75 | |||
| 5 | 1.94 | 7.82 | |||
| 10 | 0.46 | 7.25 | |||
| T. ammi | 0.25 | 4.85 | −0.87 | 9.85 | 0.75 |
| 0.5 | 3.86 | 8.85 | |||
| 1 | 3.15 | 7.66 | |||
| 2 | 1.96 | 5.98 | |||
| 5 | 1.52 | 4.98 | |||
| 10 | 1.13 | 3.33 |
| 6ARY | 7STM—Minimized | |||||
|---|---|---|---|---|---|---|
| Glide G-Score | Glide Emodel | Glide Energy | Glide G-Score | Glide Emodel | Glide Energy | |
| Abietadiene | −6.656 | −31.186 | −22.774 | −5.564 | −30.728 | −23.602 |
| Isoamyl 2-methylbutyrate | −4.629 | −31.752 | −27.192 | −3.505 | −28.241 | −24.543 |
| Isothymol | −6.747 | −35.464 | −25.354 | −5.442 | −36.678 | −25.386 |
| Limonene | −5.002 | −21.261 | −16.375 | −2.96 | −18.591 | −15.629 |
| Linalool | −3.991 | −27.208 | −23.225 | −3.568 | −36.123 | −28.3 |
Disclaimer/Publisher’s Note: The statements, opinions and data contained in all publications are solely those of the individual author(s) and contributor(s) and not of MDPI and/or the editor(s). MDPI and/or the editor(s) disclaim responsibility for any injury to people or property resulting from any ideas, methods, instructions or products referred to in the content. |
© 2024 by the authors. Licensee MDPI, Basel, Switzerland. This article is an open access article distributed under the terms and conditions of the Creative Commons Attribution (CC BY) license (https://creativecommons.org/licenses/by/4.0/).
Share and Cite
Harmouzi, A.; EL Ammari, Y.; Mssillou, I.; Chlouchi, A.; Lim, A.; Abdelaziz Shahat, A.; Chebaibi, M. Insecticidal Potential of Essential Oils from Ammi visnaga L. and Trachyspermum ammi L. against Sitophilus oryzae (L.) and In Silico Study of Their Major Constituents. Horticulturae 2024, 10, 722. https://doi.org/10.3390/horticulturae10070722
Harmouzi A, EL Ammari Y, Mssillou I, Chlouchi A, Lim A, Abdelaziz Shahat A, Chebaibi M. Insecticidal Potential of Essential Oils from Ammi visnaga L. and Trachyspermum ammi L. against Sitophilus oryzae (L.) and In Silico Study of Their Major Constituents. Horticulturae. 2024; 10(7):722. https://doi.org/10.3390/horticulturae10070722
Chicago/Turabian StyleHarmouzi, Anjoud, Yassine EL Ammari, Ibrahim Mssillou, Amina Chlouchi, Adrian Lim, Abdelaaty Abdelaziz Shahat, and Mohamed Chebaibi. 2024. "Insecticidal Potential of Essential Oils from Ammi visnaga L. and Trachyspermum ammi L. against Sitophilus oryzae (L.) and In Silico Study of Their Major Constituents" Horticulturae 10, no. 7: 722. https://doi.org/10.3390/horticulturae10070722
APA StyleHarmouzi, A., EL Ammari, Y., Mssillou, I., Chlouchi, A., Lim, A., Abdelaziz Shahat, A., & Chebaibi, M. (2024). Insecticidal Potential of Essential Oils from Ammi visnaga L. and Trachyspermum ammi L. against Sitophilus oryzae (L.) and In Silico Study of Their Major Constituents. Horticulturae, 10(7), 722. https://doi.org/10.3390/horticulturae10070722

