Next Article in Journal
Experiment on the Uniformity of Internal Lighting in Zigzag Photovoltaic Greenhouses by Grating Plates
Previous Article in Journal
Olive Escudete (Dalmatian Disease) Caused by Botryosphaeria dothidea as a Result of Fly–Midge–Fungus Interaction
 
 
Font Type:
Arial Georgia Verdana
Font Size:
Aa Aa Aa
Line Spacing:
Column Width:
Background:
Article

Enhancing Agrobiodiversity: Designing an In Vitro Screening Protocol for Solanum lycopersicum L. and Solanum pimpinellifolium L. to Explore Responses to Salinity Stress

1
Crop Science Research Center, School of Advanced Studies Sant’Anna, 56010 Pisa, Italy
2
Department of Agricultural, Food and Agro-Environmental Sciences, University of Pisa, 56124 Pisa, Italy
*
Author to whom correspondence should be addressed.
Horticulturae 2024, 10(4), 322; https://doi.org/10.3390/horticulturae10040322
Submission received: 29 February 2024 / Revised: 22 March 2024 / Accepted: 26 March 2024 / Published: 27 March 2024
(This article belongs to the Topic Mediterranean Biodiversity)

Abstract

The foremost cause behind worldwide crop losses is attributed to abiotic stresses. Among them, salinity is a major concern for agriculture and is expected to play an increasingly important role as rising food demands and climate changes will inevitably lead to the greater use of marginal lands and poor-quality irrigation water. Tomato is a moderately salinity-sensitive crop which is widely used in the presence of poor-quality irrigation water without manifesting yield reduction. However, the excessive accumulation of salts can reduce photosynthetic efficiency, unbalance nutrient assimilation, reduce growth, and reduce product quality. This study was undertaken to explore the response of some varieties of Solanum lycopersicum that could be used as model systems to evaluate the performance of wild tomato ecotypes in future studies to identify genetic resources that respond adequately to climate change in the Mediterranean area. Tomato seedlings were raised in vitro on plates with sucrose-free agarized medium containing increasing concentrations of sea salt. The autotrophic conditions enabled a response resembling the plant’s behavior in vivo. The obtained results identified an interesting variety that can be used as a model for modern cultivars and concentrations, from which the behavior of some Solanum spp. can be further investigated.

1. Introduction

Cultivated tomato (Solanum lycopersicum) holds significant importance in terms of agricultural production value and cultivated land area. Moreover, it plays a pivotal role in human diets and the food industry. According to the Food and Agriculture Organization (FAO), tomato production reached 189.13 million tons, involving an estimated global area of 5.17 million hectares in 2021 [1] (accessed on 19 January 2024). To meet the increasing demands for this species, genetic improvement has selected a limited number of tomato cultivars and the breeding of crops for millennia has greatly reduced their biodiversity [2,3].
Biodiversity is critical in defense against abiotic stresses [4] which are considered to be the first cause of crop loss around the world. Among them, salinity stress is a major concern for agriculture, and it is expected to play an increasingly important role, posing a significant challenge to farmers.
Soil salinization represents a significant global threat [5], restricting both crop yield and quality. According to the FAO SOLAW 2021 report, it is estimated to render 0.3–1.5 million hectares of farmland unproductive annually and diminish productivity on an additional 20–46 million hectares [6]. There are extensive reports highlighting how the quantity of available irrigation water in numerous arid and semi-arid regions worldwide is a primary constraint on agricultural expansion and crop productivity [7]. Moreover, in these regions, high-quality water is notably scarce [8]. The pressing need for alternatives to freshwater in crop irrigation arises from the changing climate and the diminishing reservoirs of freshwater. In this context, seawater presents itself as a promising solution due to its abundant availability across the globe. While the exclusive use of seawater for agricultural purposes is impractical, integrating it with freshwater shows potential in addressing concerns associated with soil salinization [9].
The tomato exhibits moderate tolerance to salt stress [10] and the optimal yield is typically achieved when maintaining a total nutrient concentration ranging from 1.5 to 3.5 mS/cm in the nutrient solution [11]. Furthermore, in some cultivation protocols, it is desirable to increase the salinity of nutrient solutions for tomato cultivation up to 5 mS/cm, as this can enhance the quality of the fruits [12]. Cultivated tomato belongs to the Solanaceae family and is strictly related to a group of 13 species classified into the Lycopersicon group [10]. The Lycopersicon group is remarkably interesting as it contains wild relatives and traditional landraces that are reservoirs of valuable traits, including diverse forms of resistance to both biotic and abiotic stresses. Wild tomato species are native to arid habitats located in the region between Andes Cordillera and the Pacific coast from Ecuador to Chile and 2 are native to the Galapagos Islands [13]. Within the Lycopersicon group, Solanum pimpinellifolium is the closest relative to cultivated tomato. These wild relatives have evolved in natural environments and continue to adapt to their surroundings. For this reason, they constitute valuable sources of genetic variation with the potential to enhance the performance of modern crops, especially in today’s changing climate [14].
Considering all the challenges outlined in modern agriculture, a study was conducted to assess the response of wild accessions of S. pimpinellifolium for potential use in enhancing the genetic traits of tomatoes. To achieve this, an in vitro screening protocol was established to provide a quick and effective method that could be implemented in confined spaces, enabling the characterization of various accessions based on morpho-physiological parameters. For the development of the method, two varieties of tomato were used, while two accessions of Solanum pimpinellifolium were used to validate the method for sea salt sensitivity according to a previously described screening protocol [15].

2. Materials and Methods

2.1. Plant Material

The species used in this experiment included three Solanum lycopersicum (L.) tomato cultivars (“Principe Borghese” ‘A’, “Ciliegino” ‘B’ cherry tomato, and “Pollicino” ‘C’ date tomato) and two S. pimpinellifolium accessions (LYC 2836 ‘WR1’ and LYC 2824 ‘WR2’). S. lycopersicum seeds were obtained from the Gargini Sementi farm (Lucca, Italy). S. pimpinellifolium seeds were obtained from GBIS/I (https://gbis.ipk-gatersleben.de/gbis2i/faces/index.jsf (accessed on 20 December 2022), Genebank Information System of the IPK Gatersleben, Germany) and TGRC (https://tgrc.ucdavis.edu/ (accessed on 24 February 2023), Tomato Genetics Resource Center). The selected Solanum lycopersicum varieties are native to Italy, while the two S. pimpinellifolium accessions studied are native to Peru.

2.2. In Vitro Conditions

Seeds were washed using running water for 30 min, and then they were sterilized by being immersed in ethanol at 70 °C for 30 s and shaken in 15% concentrations of sodium hypochlorite solution with two drops of TWEEN 20 for 15 min. Then, the seeds were washed 3 times using sterile water under laminar flow hood conditions. Seeds were sown in Petri plates on half-strength Murashige and Skoog (MS) [16] culture media with 15 gr/L of sucrose and 3 gr/L of Gelrite™ (pH 5.8). For each varieties/accessions, seven plates were used (10 seeds in a Petri plate−1). Petri plates were placed in the refrigerator at 4 °C for 24/48 h in the dark to synchronize the germination process; subsequently, the Petri plates were placed in the growth chamber at a temperature of 22 °C under an 8:16 h dark–light cycle (100 mmol−1 m−2 s−1).
Seven to ten days after sowing, the germinated seedlings were transplanted in 12 × 12 cm square plastic Petri plates. The transplanted seedlings had primary roots of about 1.5 to 2 cm and no secondary roots; the seedlings had only cotyledons. The MS medium without sucrose, enriched with increasing sea salt concentrations (Instant Ocean®), was used. Since the purpose of the work was to mimic the effects of seawater on the plant’s growth, we used seawater [17] as a reference for the medium preparation (35 gr/L of Instant Ocean®). The treatments chosen for the S. lycopersicum and S. pimpinellifolium are described in Table 1.
Three plates were made for each treatment and were therefore considered replicates (plate_replicate). Five seedlings were transferred to each plate arranged in rows. The plants were grown in the plates placed upright for 12 days in the growth chamber under an 8:16 h dark–light cycle (100 mmol−1 m−2 s−1) at 22 °C, and then morphological and biochemical parameters were collected (Figure 1).
The four in vitro screening protocol steps used for the development and validation of the method are described in Figure 2.

2.3. Data Collection

Morphological data
The root elongation of each seedling was calculated as the difference between the root length at the end of the growth period and the root length at the time of transplanting. The root length of each seedling was measured through photographic analysis using the digital image processing program ImageJ (Rasband, W.S., ImageJ, U. S. National Institutes of Health, Bethesda, MD, USA). Root apical necrosis was visually evaluated in terms of presence/absence. The number of true leaves was collected visually at the end of the experiment.
Fresh and dry weight
At the end of the growth period, the fresh weight of shoots and roots was measured as the sum of the weight of all seedlings in each plate_replicate. The fresh biomass was then placed in an oven at 70 °C for a 7-day period until the constant weight of the biomass was reached.
Mineral content and seedling pigments
Dried samples were mineralized (90 min at 220 °C) using nitric acid and 30% hydrogen peroxide. Sodium (Na), potassium (K), calcium (Ca), magnesium (Mg), copper (Cu), magnesium (Mn), iron (Fe), and zinc (Zn) were determined using an atomic absorption spectrometer (Varian Model Spectra AA240 FS, Agilent Technologies Australia [M] Pty Ltd. Mulgrave, Australia). All determinations were made in triplicate and the accuracy of the measurements was tested using a tomato leaf, Certified Reference Material® 1573a (CRM 1573a), from the National Institute of Standards and Technology (Gaithersburg, MD, USA).
The total chlorophyll and carotenoid levels were determined spectrophotometrically by following Lichtenthaler and Buschmann’s method [18]. For each treatment, 4 samples containing approximately 0.0120 g of fresh matter were taken from the seedlings.

2.4. Statistical Analysis

All data were subjected to statistical analysis using both GraphPad Prism (version 10.2 for Windows, GraphPad Software, La Jolla, San Diego, CA, USA) and R (version 4.3.1 for Windows, RStudio, PBC, Boston, MA, USA). To stabilize variance and normalize percentage data, the arcsine transformation was used. One-way ANOVA was used to analyze the effects among the treatment in the developing phase and among the species in the validating phase. Significant differences among means values were determined using Tukey’s post hoc tests at p < 0.05 using the agricolae R package. Data are reported as means of 3 values (plate_replicate); each value is the mean of 5 seedlings in each plate.

3. Results

3.1. Solanum lycopersicum and Sea Salt Concentration Evaluation

Three S. lycopersicum varieties were studied under the same salt stress conditions to set up the in vitro protocol screening described in Figure 1, allowing the morphological and biochemical parameters that are useful for evaluating the effects of sea salt on tomato species to be identified.
Germination rates of Solanum lycopersicum varieties were 100% (for ‘A’ and ‘B’) and 70% (for ‘C’).
By visually analyzing the development of the three varieties of Solanum lycopersicum seedlings, it was observed that root elongation and secondary root development commenced from the first day after being transplanted in the control treatment. Secondary roots extended into the growth medium in all directions. By the fourth day, true leaves had already started to develop. As the sea salt concentration increased up to T30, a positive effect on seedling development was observed, with seedlings producing more secondary roots and true leaves than those grown in the control condition. Moreover, root elongation during the growth period up to the concentration of T30 was reported; with higher doses of salt, root growth ceased within the first few days. A threshold concentration, T30, was identified; after this, macroscopic effects on cultivars became apparent.
Considering that roots are the first plant organ to be affected by the salinity, the primary focus was on evaluating key parameters such as root elongation (Figure 3) and root necrosis (Figure 4a). To obtain a clear view of root elongation under salt stress conditions, root length was measured at different time intervals, specifically after one, five, eight, and twelve days after being transplanted into the treated plates. Under stress conditions, differences were observed among the three varieties; ‘A’ exhibited a distinct incremental response to sea salt (Figure 3a), while ‘B’ (Figure 3b) and ‘C’ (Figure 3c) showed no discernible differences among the higher treatments. However, root elongation was markedly reduced in ‘B’ and ‘C’ compared to the lower concentrations.
Regarding root necrosis (Figure 4a), none of the three varieties exhibited apex damage up to the concentration of T40. However, seedling apices of variety ‘A’ showed necrosis at all treatments above T40, while varieties ‘B’ and ‘C’ exhibited a lower level of necrosis at T40 compared to the higher concentrations, indicating a higher sensitivity to salt stress in variety ‘A’. As depicted in the photos in Figure 5a, the necrosis at T40 affected not only the apex of the primary root, but also parts of the apexes of the secondary roots. Furthermore, true leaves were present in all the seedlings. At T100, secondary root development was completely inhibited, and all seedling tissues were subject to necrosis, as shown in Figure 5b. The discriminating concentration for assessing root necrosis was identified as T40.
To obtain a broader understanding of the response to salinity, the analysis also considered that a number of true leaf seedlings (as shown in Figure 5b) were able to develop under the various investigated abiotic stress concentrations.
‘A’, ‘B’, and ‘C’ exhibited no significant differences from the control treatment up to T50. Beyond this threshold, salt stress impaired the ability to develop true leaves. At T50, the number of leaves decreased, and at T75 and T100, the leaves were completely absent. At T50, the cotyledons increased in size and thickness, and they were completely yellowed at T75 and T100.
Based on the results, the ‘A’ variety can be included in the screening of S. pimpinellifolium as a model for commercial cultivars. With its 100% germinability in vitro and notable salt sensitivity, it enables the discrimination of effects among the various examined salt concentrations. A more extensive examination of this variety was undertaken, focusing on the treatment that had the greatest impact on the response to sea salt stress. Significant variations were observed in shoot and root fresh and dry weights, chlorophyll levels, and macroelements contents in relation to the treatments employed, thus confirming the variety’s sensitivity to sea salt stress (Supplementary Figures S1–S3).

3.2. Comparison of Solanum lycopersicum and Solanum pimpinellifolium

After evaluating the performance of Solanum lycopersicum, a comparison between ‘A’ and two Solanum pimpinellifolium accessions was made to validate the protocol; T30, T40, and T60 treatments were chosen.
The germination rates of Solanum pimpinellifolium accessions were 93% for WR1 and 92% for WR2. Concerning root elongation (as shown in Figure 6a), no significant differences were observed among the CV, WR1, and WR2 under the control and T30 conditions. However, at T40 and T60, root elongation was significantly higher for both WR1 and WR2 compared to the CV.
Focusing on apical root necrosis (Figure 6b), no significant differences were observed among Solanum spp. up to T40; at T60, WR2 showed a lower level of necrosis in comparison with the CV and WR1. The effect of sea salt on the development of true leaves (Figure 6c) was evidenced by significant differences observed at T40 and T60, and WR1 exhibited significantly higher values for both treatments in comparison to the CV.
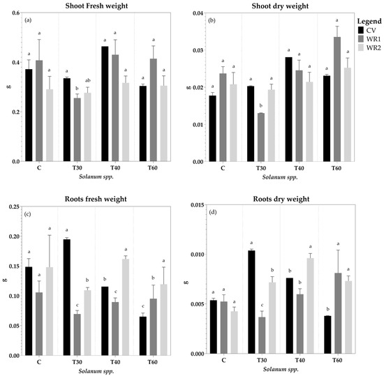
A significant decrease in shoot fresh and dry biomass was observed at T30 for WR1. Regarding root fresh weight, a reduction was observed for WRs at T30. At T40, the two accessions exhibited opposite behaviors: WR1 was negatively affected, while WR2 reported higher values than the CV. By T60, both accessions showed greater root weights. Similar responses were observed in terms of dry weights (Figure 7).
Regarding chlorophylls, it is noteworthy to highlight that at T60, significantly higher chlorophyll content was measured in the two S. pimpinellifolium accessions compared to the tomato cultivar (Figure 8), despite the higher levels observed in the CV under control, T30, and T40 conditions.
Significant differences were obtained from the analyses conducted on both macroelements and microelements in shoots.
Under the control conditions, it was demonstrated that the CV exhibited significantly higher values for all macroelements in shoots, except sodium, compared to WRs. Under salt stress conditions, WR1 showed a higher accumulation of K+ than the CV and WR2 did; similarly, WR2 exhibited higher Na+ accumulation compared to the CV. Regarding calcium, S. lycopersicum displayed significantly higher values than S. pimpinellifolium. WRs accumulated magnesium to a lesser extent overall, while at T40, a lower amount was observed for the CV. No significant differences were observed among Solanum spp. at T60 (as depicted in Figure 9).
An examination of the microelement data revealed that S. pimpinellifolium consistently exhibited higher values than S. lycopersicum, except for Iron at T60, where S. lycopersicum was found to have significantly higher values than S. pimpinellifolium (as shown in Figure S4).

4. Discussion

The scientific literature contains numerous studies conducted to examine the use of in vitro screening for evaluating resistance to different abiotic stresses and the performance of various cultivated species. However, most published protocols suggested the use of callus or shoot explants as the primary experimental materials [19,20]. The production of these cultures needed dedicated laboratory facilities, extended cultivation periods, and significant quantities of resources [21,22], and the time required to complete the selection procedure exceeded one month [23]. Additionally, some of the mechanisms used to help plants adapt to salt stress rely on the plant’s anatomy to regulate ion concentrations, but the tolerance of intact plants to salt stress does not necessarily apply to cultured cells or callus, indicating an insignificant correlation between whole-plant tolerance and derived callus [24]. Moreover, many of the parameters investigated are morphological, with no attention paid to the importance of physiological factors in the role of saline stress response [23]. The in vitro screening protocol developed in this research enabled an assessment of the salt stress responses of Solanum lycopersicum and Solanum pimpinellifolium by condensing the experiment (in terms of both space and time) within the confines of a growth chamber over a period of 12 days. Although the growth time was reduced, seedlings were allowed to grow and develop sufficiently to make it possible to evaluate the response to salt stress both biochemically and morphologically, as previously reported for Antirrhinum majus [15]. Another significant advantage was the ability to assess the response across the entire plant, with the examination of both morphological and physiological factors serving as key elements contributing to the innovative nature of our protocol.
The in vitro culture protocol demonstrated its efficacy for both Solanum species, with the same methodologies for sterilization, sowing, and transplanting being employed. Only three square plates with five seedlings each per treatment were needed; this facilitated the simultaneous evaluation of a substantial number of S. lycopersicum varieties and S. pimpinellifolium accessions without encountering logistical challenges.
The use of a sucrose-free culture medium did not impede seedling development and facilitated autotrophic growth [25] of the studied Solanum spp., resulting in a response closely resembling that observed in vivo. Additionally, the use of sea salt, rather than simple sodium chloride, enabled the recreation of seawater conditions [26].
Salinity affected the development of both root and aerial systems, resulting in benefits for both organs up to a salt concentration of 10.5 g/L in seawater. Beyond this threshold concentration, there was a decrease in growth for S. lycopersicum.
Root development was adversely affected by sea salt stress, resulting in reduced root elongation, chlorophyll levels, and biomass, consistent with findings in the literature for the same species grown in a hydroponic system [8]. The in vitro protocol also enabled the assessment of root apical necrosis and the initial leaf development, facilitating the early detection of varying tolerance levels among the studied species.
Understanding the physiological and biochemical mechanisms of salt stress is imperative for mitigating the adverse effects of salinity and discerning sensitive and tolerant traits in plants [27]. Specifically, salt stress has been demonstrated to have a direct or indirect impact on the photosynthetic activity of Solanum spp. [28,29], with chlorophyll content being regarded as an indicator of photosynthetic efficiency [30,31]. The results on chlorophyll content confirmed that Solanum pimpinellifolium accessions were more tolerant compared to Solanum lycopersicum [32], even under extreme stress conditions; this behavior of S. pimpinellifolium could be linked to its original habitat [33,34], where plants were often exposed to brackish groundwater, salt-laden mist, and other challenging environmental conditions [35,36,37,38].
The wild species exhibited higher accumulations of Na+ ions compared to the cultivated varieties of S. lycopersicum. The accumulation of these ions increased as salinity stress intensified in all species, indicating that the main mechanism contributing to salt tolerance is ion accumulation [39]. The analysis of these data suggests that the wild species accessions were more tolerant to salt, not because they are better at restricting Na+ uptake at high salt concentrations compared to cultivars, but rather due to their superior ability to withstand elevated levels of Na+ in their tissues [40,41].
The screening protocol developed in this work allowed us to underly significant differences between WR1 and WR2 in adaptation to saline stress, suggesting the potential application of this methodology for investigating further accessions to better understand the response to salt stress in the wild types of Solanum lycopersicum.

5. Conclusions

In conclusion, the screening method developed and validated is innovative and efficient for assessing salt resistance in Solanum spp., demonstrating its effectiveness in terms of time, space, and resource utilization. The screening method can be outlined in four phases: the collection of plant materials, in vitro sowing, transplanting on treated square plates, and the collection and analysis of morphological parameters.
The screening protocol allowed for the assessment of both aerial parts and roots by relying on easily measurable morphological, physiological, and biochemical parameters, providing valuable insights into the salt tolerance of Solanum spp. Two innovative aspects stand out: the use of autotrophic cultures and the utilization of marine salt instead of conventional NaCl. Through the method we developed, we investigated the responses of three Solanum spp. to extreme conditions, mimicking seawater concentrations. The optimal concentrations identified for evaluating the performance of S. pimpinellifolium were found to be T30 and T60, equivalent to 10.5 g/L and 21 g/L of sea salt in the growth medium. It was confirmed that S. pimpinellifolium exhibits greater resistance to salinity compared to S. lycopersicum, and the mechanisms employed to survive salt stress may differ between the two species.
This protocol will be employed in upcoming research to delve deeper into the response to abiotic stress factors under consideration and investigate the physiological, metabolic, and molecular processes associated with the wild relatives of Solanum lycopersicum that could play pivotal roles in uncovering novel traits related to salinity resistance, enriching agrobiodiversity.

Supplementary Materials

The following supporting information can be downloaded at: https://www.mdpi.com/article/10.3390/horticulturae10040322/s1. Figure S1: (a) Shoot fresh weight (g), (b) shoot dry weight (g), (c) root fresh weight (g), and (d) root dry weight (g) for the “Principe Borghese” ‘A’ tomato cultivar treated with five different concentrations of sea salt (T30 (30%) to T100 (100%) in the growth medium); Figure S2: Total chlorophyll content (μg/g) for the “Principe Borghese” ‘A’ tomato cultivar treated with five different concentrations of sea salt (T30 (30%) to T100 (100%) in the growth medium); Figure S3: (a) Shoot macroelement content and (b) root macroelement content (mg/kg) for the “Principe Borghese” ‘A’ tomato cultivar treated with five different concentrations of sea salt (T30 (30%) to T100 (100%) in the growth medium); Figure S4: (a) Shoot macroelement and (b) microelement content for a modern cultivar (CV) and S. lycopersicum’s wild types (WR1 and WR2).

Author Contributions

Conceptualization, S.C., A.T. and A.M.; methodology, S.C. and A.T.; formal analysis and investigation, S.C. and G.C.; data curation, S.C.; writing—original draft preparation, S.C., A.T. and A.M.; writing—review and editing, L.I.; supervision, A.M.; funding acquisition, A.M. All authors have read and agreed to the published version of the manuscript.

Funding

This study was carried out within the Agritech National Research Center and received funding from the European Union’s Next-Generation EU (PNRR) AGRITECH, PNRR M4C2, ID: CN00000022 (CUP J53C22001610007). This manuscript only reflects the authors’ views and opinions; neither the European Union nor the European Commission can be considered responsible for them.

Data Availability Statement

The raw data supporting the conclusions of this article will be made available by the authors on request.

Acknowledgments

We are grateful to Cristina Ghelardi for providing technical assistance and Angelica Esposito for helping with the data recordings. We are thankful to Genebank Information System of the IPK Gatersleben for providing the seeds of the S. pimpinellifolium accessions that were studied in this work.

Conflicts of Interest

The authors declare no conflicts of interest.

References

  1. Data Production by Food and Agriculture Organization of the United Nations. Available online: https://www.fao.org/faostat/en/#data (accessed on 19 January 2024).
  2. Zsögön, A.; Čermák, T.; Naves, E.R.; Notini, M.M.; Edel, K.H.; Weinl, S.; Peres, L.E.P. De novo domestication of wild tomato using genome editing. Nat. Biotechnol. 2018, 36, 1211–1216. [Google Scholar] [CrossRef]
  3. Schouten, H.J.; Tikunov, Y.; Verkerke, W.; Finkers, R.; Bovy, A.; Bai, Y.; Visser, R.G. Breeding has increased the diversity of cultivated tomato in the Netherlands. Front. Plant Sci. 2019, 10, 1606. [Google Scholar] [CrossRef]
  4. Conti, V.; Parrotta, L.; Romi, M.; Del Duca, S.; Cai, G. Tomato Biodiversity and Drought Tolerance: A Multilevel Review. Int. J. Mol. Sci. 2023, 24, 10044. [Google Scholar] [CrossRef]
  5. ITPS, F.A. Status of the World’s Soil Resources (SWSR)—Main Report; Food and Agriculture Organization of the United Nations and Intergovernmental Technical Panel on Soils: Rome, Italy, 2015; p. 650. [Google Scholar]
  6. FAO. The State of the World’s Land and Water Resources for Food and Agriculture—Systems at Breaking Point 2021. Synthesis Report; FAO: Rome, Italy, 2021. [Google Scholar]
  7. Munns, R. Comparative physiology of salt and water stress. Plant Cell Environ. 2002, 25, 239–250. [Google Scholar] [CrossRef]
  8. Al-Busaidi, A.; Al-Rawahy, S.; Ahmed, M. Response of different tomato cultivars to diluted seawater salinity. Asian J. Crop Sci. 2009, 1, 77–86. [Google Scholar] [CrossRef]
  9. Javeed, H.M.R.; Wang, X.; Ali, M.; Nawaz, F.; Qamar, R.; Rehman, A.U.; Ismail, I.A. Potential utilization of diluted seawater for the cultivation of some summer vegetable crops: Physiological and nutritional implications. Agronomy 2021, 11, 1826. [Google Scholar] [CrossRef]
  10. Peralta, I.E.; Knapp, S.; Spooner, D.M. New species of wild tomatoes (Solanum section Lycopersicon: Solanaceae) from Northern Peru. Syst. Bot. 2005, 30, 424–434. [Google Scholar] [CrossRef]
  11. Agius, C.; von Tucher, S.; Rozhon, W. The Effect of Salinity on Fruit Quality and Yield of Cherry Tomatoes. Horticulturae 2022, 8, 59. [Google Scholar] [CrossRef]
  12. Cuartero, J.; Fernández-Muñoz, R. Tomato and salinity. Sci. Hortic. 1998, 78, 83–125. [Google Scholar] [CrossRef]
  13. Peralta, I.E.; Spooner, D.M. Morphological Characterization and Relationships of Wild Tomatoes (Solanum L. Section Lycopersicon [Mill.] Wettst. Subsection Lycopersicon). 2005. Available online: https://vcru.wisc.edu/spoonerlab/pdf/Peralta%20and%20Spooner%20D%27Arcy%20volume.pdf (accessed on 19 January 2024).
  14. Bohra, A.; Kilian, B.; Sivasankar, S.; Caccamo, M.; Mba, C.; McCouch, S.R.; Varshney, R.K. Reap the crop wild relatives for breeding future crops. Trends Biotechnol. 2022, 40, 412–431. [Google Scholar] [CrossRef]
  15. Trivellini, A.; Lucchesini, M.; Ferrante, A.; Carmassi, G.; Scatena, G.; Vernieri, P.; Mensuali-Sodi, A. Survive or die? A molecular insight into salt-dependant signaling network. Environ. Exp. Bot. 2016, 132, 140–153. [Google Scholar] [CrossRef]
  16. Murashige, T.; Skoog, F. A revised medium for rapid growth and bio assays with tobacco tissue cultures. Physiol. Plant. 1962, 15, 473–497. [Google Scholar] [CrossRef]
  17. Fofonoff, N.P. Physical properties of seawater: A new salinity scale and equation of state for seawater. J. Geophys. Res. Ocean. 1985, 90, 3332–3342. [Google Scholar] [CrossRef]
  18. Lichtenthaler, H.K.; Buschmann, C. Chlorophylls and carotenoids: Measurement and characterization by UV-VIS spectroscopy. Curr. Protoc. Food Anal. Chem. 2001, 1, F4.3.1–F4.3.8. [Google Scholar] [CrossRef]
  19. Wani, S.H.; Sofi, P.A.; Gosal, S.S.; Singh, N.B. In vitro screening of rice (Oryza sativa L.) callus for drought tolerance. Commun. Biometry Crop Sci. 2010, 5, 108–115. [Google Scholar]
  20. Biswas, J.; Chowdhury, B.; Bhattacharya, A.; Mandal, A.B. In vitro screening for increased drought tolerance in rice. Vitr. Cell. Dev. Biol. Plant 2002, 38, 525–530. [Google Scholar] [CrossRef]
  21. Vijayan, K.; Chakraborti, S.P.; Ghosh, P.D. In vitro screening of mulberry (Morus spp.) for salinity tolerance. Plant Cell Rep. 2003, 22, 350–357. [Google Scholar] [CrossRef]
  22. Gopal, J.; Iwama, K. In vitro screening of potato against water-stress mediated through sorbitol and polyethylene glycol. Plant Cell Rep. 2007, 26, 693–700. [Google Scholar] [CrossRef]
  23. Manoj, K.; Uday, D. In vitro screening of tomato genotypes for drought resistance using polyethylene glycol. Afr. J. Biotechnol. 2007, 6, 6. [Google Scholar]
  24. Naik, P.S.; Widholm, J.M. Comparison of tissue culture and whole plant responses to salinity in potato. Plant Cell Tissue Organ Cult. 1993, 33, 273–280. [Google Scholar] [CrossRef]
  25. Xie, Y.; Liu, X.; Amee, M.; Yu, H.; Huang, Y.; Li, X.; Chen, L.; Fu, J.; Sun, X. Evaluation of Salt Tolerance in Italian Ryegrass at Different Developmental Stages. Agronomy 2021, 11, 1487. [Google Scholar] [CrossRef]
  26. Lucchesini, M.; Mensuali-Sodi, A.; Massai, R.; Gucci, R. Development of autotrophy and tolerance to acclimatization of Myrtus communis transplants cultured in vitro under different aeration. Biol. Plant. 2001, 44, 167–174. [Google Scholar] [CrossRef]
  27. Loudari, A.; Benadis, C.; Naciri, R.; Soulaimani, A.; Zeroual, Y.; Gharous, M.E.; Oukarroum, A. Salt stress affects mineral nutrition in shoots and roots and chlorophyll a fluorescence of tomato plants grown in hydroponic culture. J. Plant Interact. 2020, 15, 398–405. [Google Scholar] [CrossRef]
  28. Arif, Y.; Singh, P.; Siddiqui, H.; Bajguz, A.; Hayat, S. Salinity induced physiological and biochemical changes in plants: An omic approach towards salt stress tolerance. Plant Physiol. Biochem. 2020, 156, 64–77. [Google Scholar] [CrossRef]
  29. Ahanger, M.A.; Agarwal, R.M. Salinity stress induced alterations in antioxidant metabolism and nitrogen assimilation in wheat (Triticum aestivum L.) as influenced by potassium supplementation. Plant Physiol. Biochem. 2017, 115, 449–460. [Google Scholar] [CrossRef]
  30. Ahanger, M.A.; Mir, R.A.; Alyemeni, M.N.; Ahmad, P. Combined effects of brassinosteroid and kinetin mitigates salinity stress in tomato through the modulation of antioxidant and osmolyte metabolism. Plant Physiol. Biochem. 2020, 147, 31–42. [Google Scholar] [CrossRef]
  31. Sudhir, P.; Murthy, S.D.S. Effects of salt stress on basic processes of photosynthesis. Photosynthetica 2004, 42, 481–486. [Google Scholar] [CrossRef]
  32. Chaves, M.M.; Flexas, J.; Pinheiro, C. Photosynthesis under drought and salt stress: Regulation mechanisms from whole plant to cell. Ann. Bot. 2009, 103, 551–560. [Google Scholar] [CrossRef]
  33. Razali, R.; Bougouffa, S.; Morton, M.J.; Lightfoot, D.J.; Alam, I.; Essack, M.; Negrão, S. The genome sequence of the wild tomato Solanum pimpinellifolium provides insights into salinity tolerance. Front. Plant Sci. 2018, 9, 1402. [Google Scholar] [CrossRef]
  34. Warnock, S.J. Natural habitats of Lycopersicon species. HortScience 1991, 26, 466–471. [Google Scholar] [CrossRef]
  35. Peralta, I.E.; Spooner, D.M.; Knapp, S. Taxonomy of wild tomatoes and their relatives (Solanum sect. Lycopersicoides, sect. Juglandifolia, sect. Lycopersicon; Solanaceae). Syst. Bot. Monogr. 2008, 84, 186. [Google Scholar]
  36. Rick, C.M.; Fobes, J.F.; Holle, M. Genetic variation in Lycopersicon pimpinellifolium: Evidence of evolutionary change in mating systems. Plant Syst. Evol. 1977, 127, 139–170. [Google Scholar] [CrossRef]
  37. Peralta, I.E.; Spooner, D.M. Classification of wild tomatoes: A review. Kurtziana 2000, 28, 45–54. [Google Scholar]
  38. Zuriaga, E.; Blanca, J.M.; Cordero, L.; Sifres, A.; Blas-Cerdán, W.G.; Morales, R.; Nuez, F. Genetic and bioclimatic variation in Solanum pimpinellifolium. Genet. Resour. Crop Evol. 2009, 56, 39–51. [Google Scholar] [CrossRef]
  39. Blanca, J.; Cañizares, J.; Cordero, L.; Pascual, L.; Diez, M.J.; Nuez, F. Variation revealed by SNP genotyping and zamorphology provides insight into the origin of the tomato. PLoS ONE 2012, 7, e48198. [Google Scholar] [CrossRef]
  40. Bernstein, L. Osmotic adjustment of plants to saline media. II. Dynamic phase. Am. J. Bot. 1963, 50, 360–370. [Google Scholar] [CrossRef]
  41. Singh, H.; Kumar, P.; Kumar, A.; Kyriacou, M.C.; Colla, G.; Rouphael, Y. Grafting tomato as a tool to improve salt tolerance. Agronomy 2020, 10, 263. [Google Scholar] [CrossRef]
Figure 1. Seedlings in plates_replicate placed upright in the growth chamber.
Figure 1. Seedlings in plates_replicate placed upright in the growth chamber.
Horticulturae 10 00322 g001
Figure 2. Visual description of the in vitro screening protocol for Solanum spp. (1) Finding plant material, (2) in vitro sowing, (3) seeds germinated after about 10 days, (3) transplanting on treated square plates, (4) data collection of biochemical and morphological parameters. This illustration was created on BioRender.com.
Figure 2. Visual description of the in vitro screening protocol for Solanum spp. (1) Finding plant material, (2) in vitro sowing, (3) seeds germinated after about 10 days, (3) transplanting on treated square plates, (4) data collection of biochemical and morphological parameters. This illustration was created on BioRender.com.
Horticulturae 10 00322 g002
Figure 3. Root length (cm) for (a) “Principe Borghese” ‘A’, (b) “Ciliegino” ‘B’, and (c) “Pollicino” ‘C’ tomato varieties treated with eight different concentrations of sea salt T10 (10%) to T100 (100%) in the growth medium. Root length was measured after one, five, eight, and twelve days after being transplanted into the treated plates. Statistical comparison of mean values between treatments was calculated for each day separately. All data were analyzed using ANOVA and differences between the treatments were analyzed with Tukey’s post hoc test. The results shown are the means ± SEs of three replicates. Different letters denote significant differences at p ≤ 0.05.
Figure 3. Root length (cm) for (a) “Principe Borghese” ‘A’, (b) “Ciliegino” ‘B’, and (c) “Pollicino” ‘C’ tomato varieties treated with eight different concentrations of sea salt T10 (10%) to T100 (100%) in the growth medium. Root length was measured after one, five, eight, and twelve days after being transplanted into the treated plates. Statistical comparison of mean values between treatments was calculated for each day separately. All data were analyzed using ANOVA and differences between the treatments were analyzed with Tukey’s post hoc test. The results shown are the means ± SEs of three replicates. Different letters denote significant differences at p ≤ 0.05.
Horticulturae 10 00322 g003
Figure 4. (a) Root necrosis (%). (b) True leaf numbers for “Principe Borghese” ‘A’, “Ciliegino” ‘B’, and “Pollicino” ‘C’ tomato varieties treated with eight different concentrations of sea salt (T10 (10%) to T100 (100%) in the growth medium). To stabilize variance and normalize percentage data, the arcsine transformation was used. All data were analyzed using ANOVA and differences between the treatments were analyzed with Tukey’s post hoc test for each variety. The results shown are the means ± SEs of three replicates. Different letters denote significant differences at p ≤ 0.05.
Figure 4. (a) Root necrosis (%). (b) True leaf numbers for “Principe Borghese” ‘A’, “Ciliegino” ‘B’, and “Pollicino” ‘C’ tomato varieties treated with eight different concentrations of sea salt (T10 (10%) to T100 (100%) in the growth medium). To stabilize variance and normalize percentage data, the arcsine transformation was used. All data were analyzed using ANOVA and differences between the treatments were analyzed with Tukey’s post hoc test for each variety. The results shown are the means ± SEs of three replicates. Different letters denote significant differences at p ≤ 0.05.
Horticulturae 10 00322 g004
Figure 5. Seedling of “Principe Borghese” after 12 days of growth on (a) T40- and (b) T100- treated plates.
Figure 5. Seedling of “Principe Borghese” after 12 days of growth on (a) T40- and (b) T100- treated plates.
Horticulturae 10 00322 g005
Figure 6. (a) Root elongation (cm), (b) root necrosis (%), and (c) true leaf numbers for a modern cultivar (CV) and two of S. lycopersicum’s wild types (WR1 and WR2). The sections delimited by the dotted lines separate the different treatments. To stabilize variance and normalize percentage data, the arcsine transformation was used. All data were analyzed using ANOVA and differences between the treatments was analyzed with Tukey’s post hoc test. The results shown are the means ± SEs of three replicates. Different letters denote significant differences at p ≤ 0.05.
Figure 6. (a) Root elongation (cm), (b) root necrosis (%), and (c) true leaf numbers for a modern cultivar (CV) and two of S. lycopersicum’s wild types (WR1 and WR2). The sections delimited by the dotted lines separate the different treatments. To stabilize variance and normalize percentage data, the arcsine transformation was used. All data were analyzed using ANOVA and differences between the treatments was analyzed with Tukey’s post hoc test. The results shown are the means ± SEs of three replicates. Different letters denote significant differences at p ≤ 0.05.
Horticulturae 10 00322 g006
Figure 7. (a) Shoot fresh weight (g), (b) shoot dry weight (g), (c) root fresh weight (g), and (d) root dry weight (g) for a modern cultivar (CV) and two of S. lycopersicum’s wild types (WR1 and WR2). The sections delimited by the dotted lines separate the different treatments. All data were analyzed using ANOVA and differences between the treatments for each Solanum spp. were analyzed with Tukey’s post hoc test. The results shown are the means ± SEs of three replicates. Different letters denote significant differences at p ≤ 0.05.
Figure 7. (a) Shoot fresh weight (g), (b) shoot dry weight (g), (c) root fresh weight (g), and (d) root dry weight (g) for a modern cultivar (CV) and two of S. lycopersicum’s wild types (WR1 and WR2). The sections delimited by the dotted lines separate the different treatments. All data were analyzed using ANOVA and differences between the treatments for each Solanum spp. were analyzed with Tukey’s post hoc test. The results shown are the means ± SEs of three replicates. Different letters denote significant differences at p ≤ 0.05.
Horticulturae 10 00322 g007
Figure 8. Chlorophyll content (μg/g) for a modern cultivar (CV) and two of S. lycopersicum’s wild types (WR1 and WR2). The sections delimited by the dotted lines separate the different treatments. All data were analyzed using ANOVA and differences between the treatments were analyzed with Tukey’s post hoc test. The results shown are the means ± SEs of three replicates. Different letters denote significant differences at p ≤ 0.05.
Figure 8. Chlorophyll content (μg/g) for a modern cultivar (CV) and two of S. lycopersicum’s wild types (WR1 and WR2). The sections delimited by the dotted lines separate the different treatments. All data were analyzed using ANOVA and differences between the treatments were analyzed with Tukey’s post hoc test. The results shown are the means ± SEs of three replicates. Different letters denote significant differences at p ≤ 0.05.
Horticulturae 10 00322 g008
Figure 9. Shoot macroelements contents for a modern cultivar (CV) and S. lycopersicum’s wild types (WR1 and WR2). The sections delimited by the dotted lines separate the different treatments. All data were analyzed using ANOVA and differences between the treatments were analyzed with Tukey’s post hoc test. The results shown are the means ± SEs of three replicates. Different letters denote significant differences at p ≤ 0.05.
Figure 9. Shoot macroelements contents for a modern cultivar (CV) and S. lycopersicum’s wild types (WR1 and WR2). The sections delimited by the dotted lines separate the different treatments. All data were analyzed using ANOVA and differences between the treatments were analyzed with Tukey’s post hoc test. The results shown are the means ± SEs of three replicates. Different letters denote significant differences at p ≤ 0.05.
Horticulturae 10 00322 g009
Table 1. Treatment used for the development and validation of the in vitro screening protocol. The concentrations of sea water Instant Ocean® and the percentages of reconstituted water in the medium culture and EC (mS/cm) are described. Different concentrations were used for the two phases.
Table 1. Treatment used for the development and validation of the in vitro screening protocol. The concentrations of sea water Instant Ocean® and the percentages of reconstituted water in the medium culture and EC (mS/cm) are described. Different concentrations were used for the two phases.
TreatmentInstant Ocean® (g/L)Reconstituted Seawater (%)EC (mS/cm)
Control °*005.35
T10 °3.5109.4
T20 °72014.4
T25 °8.752515.5
T30 °*10.53019.2
T40 °*144026.4
T50 °17.55028.6
T60 °*216031.1
T75 °26.257540.9
T100 °3510047
° Treatment used for evaluating S. lycopersicum for the development of the method; * treatment used for evaluating S. pimpinellifolium for the validation of the method.
Disclaimer/Publisher’s Note: The statements, opinions and data contained in all publications are solely those of the individual author(s) and contributor(s) and not of MDPI and/or the editor(s). MDPI and/or the editor(s) disclaim responsibility for any injury to people or property resulting from any ideas, methods, instructions or products referred to in the content.

Share and Cite

MDPI and ACS Style

Cialli, S.; Trivellini, A.; Carmassi, G.; Incrocci, L.; Mensuali, A. Enhancing Agrobiodiversity: Designing an In Vitro Screening Protocol for Solanum lycopersicum L. and Solanum pimpinellifolium L. to Explore Responses to Salinity Stress. Horticulturae 2024, 10, 322. https://doi.org/10.3390/horticulturae10040322

AMA Style

Cialli S, Trivellini A, Carmassi G, Incrocci L, Mensuali A. Enhancing Agrobiodiversity: Designing an In Vitro Screening Protocol for Solanum lycopersicum L. and Solanum pimpinellifolium L. to Explore Responses to Salinity Stress. Horticulturae. 2024; 10(4):322. https://doi.org/10.3390/horticulturae10040322

Chicago/Turabian Style

Cialli, Susanna, Alice Trivellini, Giulia Carmassi, Luca Incrocci, and Anna Mensuali. 2024. "Enhancing Agrobiodiversity: Designing an In Vitro Screening Protocol for Solanum lycopersicum L. and Solanum pimpinellifolium L. to Explore Responses to Salinity Stress" Horticulturae 10, no. 4: 322. https://doi.org/10.3390/horticulturae10040322

APA Style

Cialli, S., Trivellini, A., Carmassi, G., Incrocci, L., & Mensuali, A. (2024). Enhancing Agrobiodiversity: Designing an In Vitro Screening Protocol for Solanum lycopersicum L. and Solanum pimpinellifolium L. to Explore Responses to Salinity Stress. Horticulturae, 10(4), 322. https://doi.org/10.3390/horticulturae10040322

Note that from the first issue of 2016, this journal uses article numbers instead of page numbers. See further details here.

Article Metrics

Back to TopTop