Silicon Improves Soil Environment and Promotes Crop Growth under Compound Irrigation via Brackish Water and Reclaimed Water
Abstract
1. Introduction
2. Materials and Methods
2.1. Tested Materials and Experimental Design
2.2. Measurements
2.3. Data Analysis
3. Results
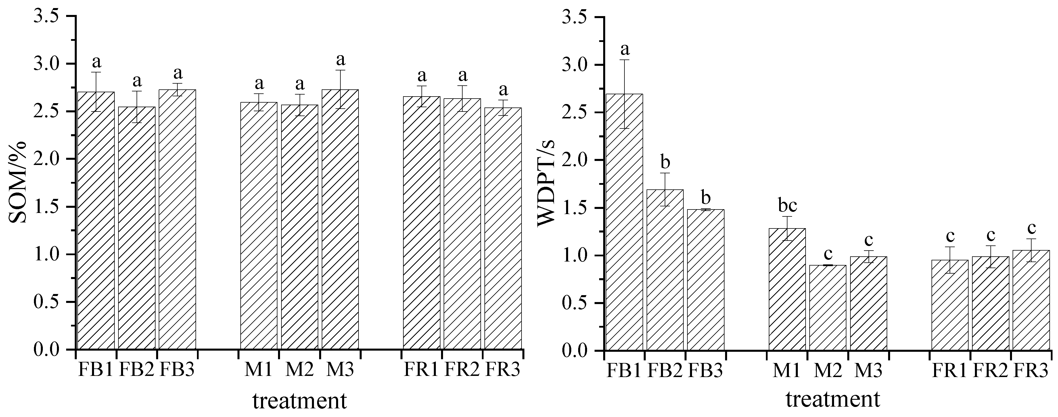
3.1. Effect of Exogenous Silicon on the Soil Environment under Compound Irrigation
3.1.1. Soil Physical and Chemical Properties
3.1.2. Risk of Secondary Soil Salinization
3.2. Regulation of Crops by Exogenous Silicon under Irrigation
3.2.1. Crop Growth Characteristics
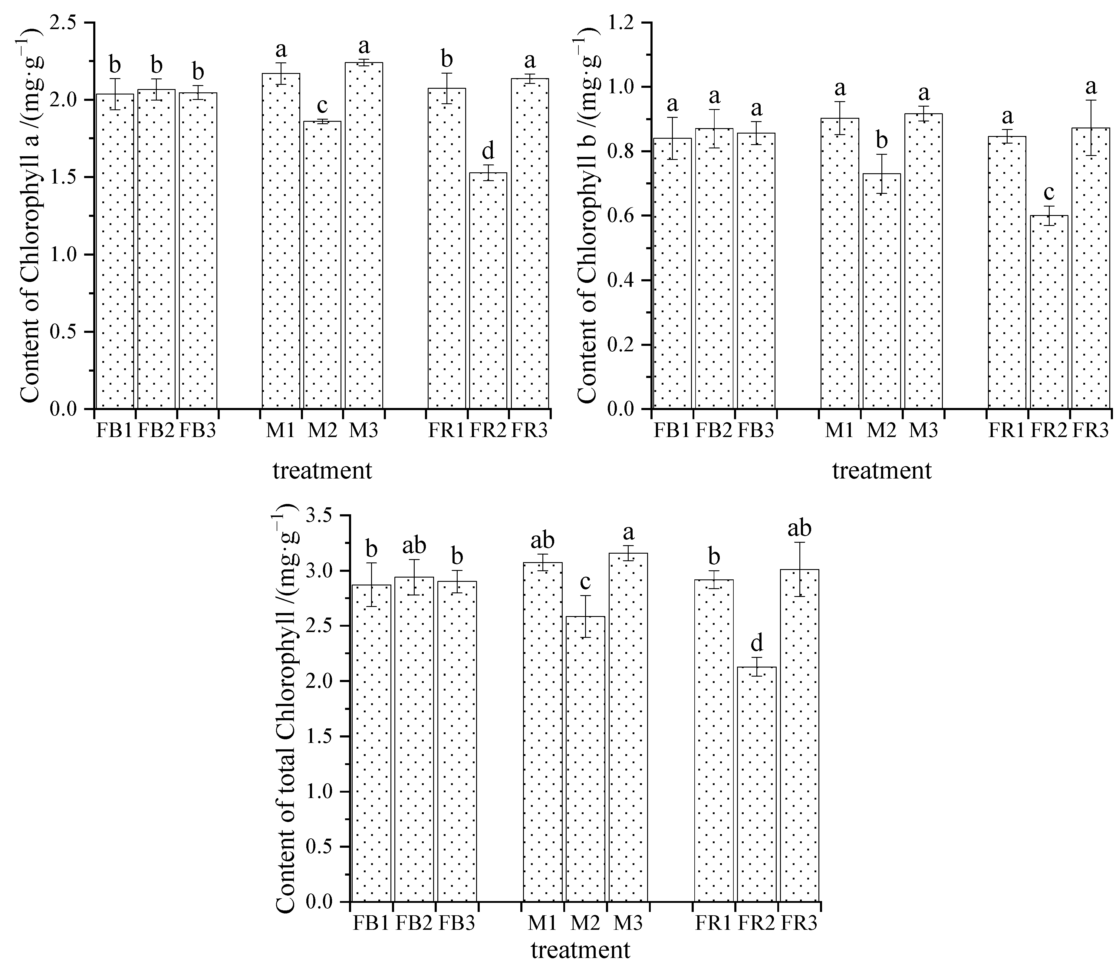
3.2.2. Physiological and Biochemical Characteristics of Crops
3.3. Distribution of Silicon in Crop–Soil Systems under Irrigation with Si Fertilizer
4. Discussion
4.1. Effect of Silicon Fertilizer on Secondary Soil Salinization under BW-RW Compound Irrigation
4.2. Effect of Silicon on Crop Growth Indices and the Antioxidant System of Leaves under BW-RW Compound Irrigation
5. Conclusions
Author Contributions
Funding
Data Availability Statement
Conflicts of Interest
References
- Zhou, S.; Gao, Y.; Zhang, J.; Pang, J.; Hamani, A.K.M.; Xu, C.; Dang, H.; Cao, C.; Wang, G.; Sun, J. Impacts of Saline Water Irrigation on Soil Respiration from Cotton Fields in the North China Plain. Agronomy 2023, 13, 1197. [Google Scholar] [CrossRef]
- Tahtouh, J.; Mohtar, R.; Assi, A.; Schwab, P.; Jantrania, A.; Deng, Y.; Munster, C. Impact of brackish groundwater and treated wastewater on soil chemical and mineralogical properties. Sci. Total Environ. 2019, 647, 99–109. [Google Scholar] [CrossRef]
- Feng, D.; Zhang, J.P.; Sun, C.T.; Liu, X.F.; Dang, H.K.; Cao, C.Y.; Zheng, C.L.; Sun, J.S.; Li, K.J.; Ma, J.Y. Effects of Long-term Irrigation with Saline Water on Soil Physical-chemical Properties and Activities of Soil Enzyme. J. Soil Water Conserv. 2014, 28, 171–176. [Google Scholar] [CrossRef]
- Guo, L.; Zheng, C.L.; Cao, C.Y.; Dang, H.K.; Li, K.J.; Ma, J.Y. Effect of Long-term Saline Water Irrigation on Photosynthetic Characteristics of Winter Wheat and Soil Salt Content. Trans. Chin. Soc. Agric. Mach. 2017, 48, 183–190. [Google Scholar]
- Chandel, S.; Datta, A.; Yadav, R.K.; Dheri, G.S. Does Saline Water Irrigation Influence Soil Carbon Pools and Nutrient Distribution in Soil under Seed Spices? J. Soil Sci. Plant Nutr. 2021, 21, 946–966. [Google Scholar] [CrossRef]
- Wasaya, A.; Hassan, J.; Yasir, T.A.; Ateeq, M.; Raza, M.A. Foliar Application of Silicon Improved Physiological Indicators, Yield Attributes, and Yield of Pearl Millet (Pennisetum glaucum L.) Under Terminal Drought Stress. J. Soil Sci. Plant Nutr. 2022, 22, 4458–4472. [Google Scholar] [CrossRef]
- Cataldo, E.; Fucile, M.; Mattii, G.B. Biostimulants in Viticulture: A Sustainable Approach against Biotic and Abiotic Stresses. Plants 2022, 11, 162. [Google Scholar] [CrossRef]
- Kumari, P.; Sharma, R.; Panwar, S.; Paul, S.; Banyal, N. Silicon as vital element in flower crop production. J. Plant Nutr. 2023, 46, 2747–2762. [Google Scholar] [CrossRef]
- Ashfaque, F.; Inam, A.; Inam, A.; Iqbal, S.; Sahay, S. Response of silicon on metal accumulation, photosynthetic inhibition and oxidative stress in chromium-induced mustard (Brassica juncea L.). S. Afr. J. Bot. 2017, 111, 153–160. [Google Scholar] [CrossRef]
- Xie, Z.M.; Song, F.B.; Xu, H.W.; Shao, H.B.; Song, R. Effects of Silicon on Photosynthetic Characteristics of Maize (Zea mays L.) on Alluvial Soil. Sci. World J. 2014, 2014, e718716. [Google Scholar] [CrossRef]
- Huang, H.L.; Rizwan, M.; Li, M.; Song, F.R.; Zhou, S.J.; He, X.; Ding, R.; Dai, Z.H.; Yuan, Y.; Cao, M.H.; et al. Comparative efficacy of organic and inorganic silicon fertilizers on antioxidant response, Cd/Pb accumulation and health risk assessment in wheat (Triticum aestivum L.). Environ. Pollut. 2019, 255 Pt 1, 113146. [Google Scholar] [CrossRef]
- Khan, W.-u.-D.; Sharif, F.; Naeem, M.A.; Farooq, M.A.; Siddiq, Z.; Imran, M. Chitosan Polymerized Silica Composite as a Potential Silicon Source: Modulation on Antioxidant Enzymes, Ionic Homeostasis, and Grain Quality in Maize Plants Under Na+ Stress. J. Plant Growth Regul. 2023, 42, 2374–2388. [Google Scholar] [CrossRef]
- Xu, F.F.; Liang, Y.G.; Wang, X.B.; Guo, Y.Z.; Tang, K.; Feng, F.Y. Synergic mitigation of saline-alkaline stress in wheat plant by silicon and Enterobacter sp. FN0603. Front. Microbiol. 2023, 13, 1100232. [Google Scholar] [CrossRef]
- Maria, I.M.; Miriam, B.; Bikash, B.; Mario, G. Silicon and Nitrate Differentially Modulate the Symbiotic Performances of Healthy and Virus-Infected Bradyrhizobium-nodulated Cowpea (Vigna unguiculata), Yardlong Bean (V. unguiculata subsp. sesquipedalis) and Mung Bean (V. radiata). Plants 2017, 6, 40. [Google Scholar] [CrossRef]
- Villegas, J.M.; Way, M.O.; Pearson, R.A.; Stout, M.J. Integrating Soil Silicon Amendment into Management Programs for Insect Pests of Drill-Seeded Rice. Plants 2017, 6, 33. [Google Scholar] [CrossRef]
- Struyf, E.; Conley, D.J. Silica: An essential nutrient in wetland biogeochemistry. Front. Ecol. Environ. 2009, 7, 88–94. [Google Scholar] [CrossRef]
- De Jesus, L.R.; Batista, B.L.; da Silva Lobato, A.K. Silicon reduces aluminum accumulation and mitigates toxic effects in cowpea plants. Acta Physiol. Plant. 2017, 39, e138. [Google Scholar] [CrossRef]
- Islam, A.T.M.T.; Ullah, H.; Himanshu, S.K.; Tisarum, R.; Cha-um, S.; Datta, A. The Interactive Effects of Silicon and Arbuscular Mycorrhizal Fungi on Growth, Physio-biochemical Traits, and Cob Yield of Baby Corn Plants under Salt Stress. Silicon 2023, 15, 4457–4471. [Google Scholar] [CrossRef]
- Rachmawati, D.; Ramadhani, A.N.; Fatikhasari, Z. The effect of silicate fertilizer on the root development of rice and its tolerance to salinity stress. IOP Conf. Ser. Earth Environ. Sci. 2021, 724, 012004. [Google Scholar] [CrossRef]
- Kaaria, K.; Gweyi-Onyango, J.; Muui, C. Silicon amendment—Influence on sorghum growth, yield, and nutrient uptake under water stress. J. Plant Nutr. 2023, 46, 4357–4376. [Google Scholar] [CrossRef]
- Karvar, M.; Azari, A.; Rahimi, A.; Maddah-Hosseini, S.; Ahmadi-Lahijani, M.J. Potassium silicate reduces water consumption, improves drought tolerance, and enhances the productivity of sweet corn (Zea mays) under deficit irrigation. Acta Physiol. Plant. 2023, 45, 38. [Google Scholar] [CrossRef]
- Saudy, H.S.; Salem, E.M.M.; Abd El-Momen, W.R. Effect of Potassium Silicate and Irrigation on Grain Nutrient Uptake and Water Use Efficiency of Wheat Under Calcareous Soils. Gesunde Pflanz. 2023, 75, 647–654. [Google Scholar] [CrossRef]
- Parr, J.F.; Sullivan, L.A. Phytolith occluded carbon and silica variability in wheat cultivars. Plant Soil 2011, 342, 165–171. [Google Scholar] [CrossRef]
- Song, Z.L.; Wang, H.L.; Strong, P.J.; Guo, F.S. Phytolith carbon sequestration in China’s croplands. Eur. J. Agron. 2014, 53, 10–15. [Google Scholar] [CrossRef]
- Nasiri, S.; Hajinezhad, A.; Kianmehr, M.H.; Tajik, S. Enhancing municipal solid waste efficiency through Refuse Derived Fuel pellets: Additive analysis, die retention time, and temperature impact. Energy Rep. 2023, 10, 941–957. [Google Scholar] [CrossRef]
- Rizwan, M.; Meunier, J.D.; Davidian, J.C.; Pokrovsky, O.S.; Bovet, N.; Keller, C. Silicon alleviates Cd stress of wheat seedlings (Triticum turgidum L. cv. Claudio) grown in hydroponics. Environ. Sci. Pollut. Res. Int. 2016, 23, 1414–1427. [Google Scholar] [CrossRef]
- GB 5084—2021; Standard for Irrigation Water Quality. Ministry of Ecology and Environment of the People’s Republic of China. State Administration for Market Regulation: Beijing, China, 2021.
- Zhang, J.P.; Li, K.J.; Zheng, C.L.; Cao, C.Y.; Sun, C.T.; Dang, H.K.; Feng, D.; Sun, J.S. Cotton Responses to Saline Water Irrigation in the Low Plain around the Bohai Sea in China. J. Irrig. Drain. Eng. 2018, 144, 04018027. [Google Scholar] [CrossRef]
- Liu, C.C.; Wang, J.; Huang, P.F.; Hu, C.; Gao, F.; Liu, Y.; Li, Z.Y.; Cui, B.J. Response of Soil Microenvironment and Crop Growth to Cyclic Irrigation Using Reclaimed Water and Brackish Water. Plants 2023, 12, 2285. [Google Scholar] [CrossRef]
- Liu, C.C.; Cui, B.J.; Hu, C.; Wu, H.Q.; Gao, F. Effects of mixed irrigation using brackish water with different salinities and reclaimed water on a soil-crop system. Water Reuse 2021, 11, 632–648. [Google Scholar] [CrossRef]
- Xu, N.; Zhang, F.Y.; Cao, N.; Wang, C.; Liu, G.J.; Liu, M.; Sun, X.H. The effect of silicon foliar fertilizer on the rhizosphere soil microecology in the wheat–maize system. J. Anhui Agric. Univ. 2018, 45, 363–366. [Google Scholar]
- Shen, Y.H.; Zhou, X.G.; Wu, F.Z. Effects of Different Silicon Fertilization Patterns on Soil Chemical Property and Soil Enzyme activity. China Veg. 2015, 34–39. [Google Scholar]
- Rizwan, A.; Zia-ur-Rehman, M.; Rizwan, M.; Usman, M.; Anayatullah, S.; Areej; Alharby, H.F.; Bamagoos, A.A.; Alharbi, B.M.; Ali, S. Effects of silicon nanoparticles and conventional Si amendments on growth and nutrient accumulation by maize (Zea mays L.) grown in saline-sodic soil. Environ. Res. 2023, 227, 115740. [Google Scholar] [CrossRef]
- Zhao, K.Q.; Yang, Y.; Peng, H.; Zhang, L.H.; Zhou, Y.Y.; Zhang, J.C.; Du, C.Y.; Liu, J.W.; Lin, X.; Wang, N.Y.; et al. Silicon fertilizers, humic acid and their impact on physicochemical properties, availability and distribution of heavy metals in soil and soil aggregates. Sci. Total Environ. 2022, 822, 153483. [Google Scholar] [CrossRef]
- Guo, J.X.; Wu, P.; Li, Q.M.; Wang, X.Y.; Zhang, S.L.; Liu, B.L. Effects of quicklime and silicon fertilizer on growth and development, and Cadmium reduction in cultivated soil and plants of Ligusticum chuanxiong. Guizhou Agric. Sci. 2019, 47, 20–23. [Google Scholar]
- Dhouha, L.; Rajouene, M.; Habib, R.H. 30 years saline water irrigation effects on soil characteristics. Int. J. Eng. Tech. Res. 2014, 2, 5–13. [Google Scholar]
- Mpanga, I.K.; Sserunkuma, H.; Tronstad, R.; Pierce, M.; Brown, J.K. Soil Health Assessment of Three Semi-Arid Soil Textures in an Arizona Vineyard Irrigated with Reclaimed Municipal Water. Water 2022, 14, 2922. [Google Scholar] [CrossRef]
- Paula, L.d.S.; Silva, B.d.C.; Pinho, W.C.S.d.; Barbosa, M.A.M.; Guedes-Lobato, E.M.S.; Segura, F.R.; Batista, B.L.; Barbosa Junior, F.; Lobato, A.K.d.S. Silicon (Si) ameliorates the gas exchange and reduces negative impacts on photosynthetic pigments in maize plants under zinc (Zn) toxicity. Aust. J. Crop Sci. 2015, 9, 901–908. [Google Scholar]
- Venancio, J.B.; Dias, N.d.S.; de Medeiros, J.F.; de Morais, P.L.D.; do Nascimento, C.W.A.; de Sousa Neto, O.N.; Sa, F.V.d.S. Yield and Morphophysiology of Onion Grown under Salinity and Fertilization with Silicon. Sci Hortic. 2022, 301, 111095. [Google Scholar] [CrossRef]
- Jam, B.J.; Shekari, F.; Andalibi, B.; Fotovat, R.; Jafarian, V.; Najafi, J.; Uberti, D.; Mastinu, A. Impact of Silicon Foliar Application on the Growth and Physiological Traits of Carthamus tinctorius L. Exposed to Salt Stress. Silicon 2023, 15, 1235–1245. [Google Scholar] [CrossRef]
- Luyckx, M.; Hausman, J.-F.; Lutts, S.; Guerriero, G. Silicon and Plants: Current Knowledge and Technological Perspectives. Front. Plant Sci. 2016, 8, 411. [Google Scholar] [CrossRef]
- Dresler, S.; Wojcik, M.; Bednarek, W.; Hanaka, A.; Tukiendorf, A. The effect of silicon on maize growth under cadmium stress. Russ. J. Plant Physiol. 2015, 62, 86–92. [Google Scholar] [CrossRef]
- Balakhnina, T.I.; Bulak, P.; Matichenkov, V.V.; Kosobryukhov, A.A.; Wlodarczyk, T.M. The influence of Si-rich mineral zeolite on the growth processes and adaptive potential of barley plants under cadmium stress. Plant Growth Regul. 2015, 75, 557–565. [Google Scholar] [CrossRef]
- Choi, S.S.; Lee, J.H.; Kong, H.; Park, E.J. Biofilm removal effect of diatom complex on 3D printed denture base resin. Sci. Rep. 2024, 14, 4034. [Google Scholar] [CrossRef]
- Ahmad, P.; Ahanger, M.A.; Alam, P.; Alyemeni, M.N.; Wijaya, L.; Ali, S.; Ashraf, M. Silicon (Si) Supplementation Alleviates NaCl Toxicity in Mung Bean [Vigna radiata (L.) Wilczek] Through the Modifications of Physio-biochemical Attributes and Key Antioxidant Enzymes. J. Plant Growth Regul. 2019, 38, 70–82. [Google Scholar] [CrossRef]
- Shahzad, S.; Ali, S.; Ahmad, R.; Ercisli, S.; Anjum, M.A. Foliar Application of Silicon Enhances Growth, Flower Yield, Quality and Postharvest Life of Tuberose (Polianthes tuberosa L.) under Saline Conditions by Improving Antioxidant Defense Mechanism. Silicon 2021, 14, 1511–1518. [Google Scholar] [CrossRef]
- Zhang, Y.; Liang, Y.; Zhao, X.; Jin, X.; Hou, L.P.; Shi, Y.; Ahammed, G.J. Silicon Compensates Phosphorus Deficit-Induced Growth Inhibition by Improving Photosynthetic Capacity, Antioxidant Potential, and Nutrient Homeostasis in Tomato. Agronomy 2019, 9, 733. [Google Scholar] [CrossRef]







| Soil Bulk Density (g·cm−3) | Field Water Capacity (%) | Total Nitrogen (g·kg−1) | Total Phosphorus (g·kg−1) | Soil Water Specific Conductivity (μS·cm−1) | pH | Soil Organic Matter (%) |
|---|---|---|---|---|---|---|
| 1.40 | 17.27 | 0.668 | 0.385 | 264 | 8.01 | 2.31 |
| Irrigating Water Sources | Spraying Period of Silicon Fertilizer/d | Treatments |
|---|---|---|
| Brackish water (BW) | 0 | FB1 |
| 2 | FB2 | |
| 4 | FB3 | |
| Reclaimed water (RW) | 0 | FR1 |
| 2 | FR2 | |
| 4 | FR3 | |
| One-to-one mixed solution of BW-RW | 0 | M1 |
| 2 | M2 | |
| 4 | M3 |
| Water Sources | EC μS·m−1; | pH | SAR (mmol·L−1)0.5 | Contents (mg·L−1) | ||||||||||||
|---|---|---|---|---|---|---|---|---|---|---|---|---|---|---|---|---|
| Na+ | K+ | HCO3− | Cl− | Ca2+ | Mg2+ | SO42− | TN | TP | Pb | Cu | Zn | Cd | ||||
| Recycled water (RW) | 2120 | 8.17 | 5.81 | 13.5 | 0.36 | 4.56 | 8.85 | 2.28 | 3.10 | 5.28 | 0.52 | 0.05 | - | - | - | - |
| Brackish water of 5 g·L−1 (BW) | 9432 | 8.44 | 66.86 | 87.0 | 0.07 | 2.28 | 90.90 | 0.92 | 0.77 | 1.14 | 1.18 | 0.02 | - | - | - | - |
| One-to-one mixed solution of RW-BW | 6587 | 8.11 | 29.38 | 58.7 | 0.11 | 5.78 | 51.10 | 1.76 | 2.23 | 3.94 | 0.88 | 0.04 | - | - | - | - |
| Treatments | Soil Moisture (%) | EC/(μS·cm−1) |
|---|---|---|
| FB1 | 22.84 ± 1.93 a | 889.33 ± 2.31 a |
| FB2 | 22.34 ± 1.77 a | 856.67 ± 2.08 b |
| FB3 | 22.16 ± 2.08 a | 856.33 ± 6.03 b |
| M1 | 17.8 ± 0.2 b | 767 ± 3.61 c |
| M2 | 16.73 ± 0.31 b | 762.33 ± 4.04 c |
| M3 | 17.82 ± 1.06 b | 741.33 ± 5.69 d |
| FR1 | 12.44 ± 0.66 c | 567 ± 2.65 f |
| FR2 | 12.89 ± 0.25 c | 590 ± 2.65 e |
| FR3 | 12.9 ± 0.67 c | 551.67 ± 3.21 g |
| Treatment | SOD/(U·g−1) | POD/(U·min−1·g−1) | CAT/(U·min−1·g−1) |
|---|---|---|---|
| FB1 | 141.61 ± 28.26 bc | 4.53 ± 0.23 c | 1.07 ± 0.05 a |
| FB2 | 203.6 ± 64.96 b | 5.06 ± 0.93 c | 0.99 ± 0.05 b |
| FB3 | 274.38 ± 59.06 a | 6.66 ± 1.01 c | 0.91 ± 0.05 c |
| M1 | 31.86 ± 15.67 d | 5.2 ± 1.38 c | 0.93 ± 0.05 bc |
| M2 | 130.47 ± 11.99 c | 6.92 ± 0.61 c | 1.01 ± 0.05 ab |
| M3 | 75.74 ± 16.41 cd | 5.73 ± 1.00 c | 0.99 ± 0.05 b |
| FR1 | 36.02 ± 12.43 d | 9.45 ± 0.62 b | 0.88 ± 0 c |
| FR2 | 79.49 ± 62.80 cd | 14.94 ± 0.83 a | 1.01 ± 0.05 ab |
| FR3 | 133.79 ± 53.78 c | 11.2 ± 1.06 b | 0.96 ± 0 bc |
Disclaimer/Publisher’s Note: The statements, opinions and data contained in all publications are solely those of the individual author(s) and contributor(s) and not of MDPI and/or the editor(s). MDPI and/or the editor(s) disclaim responsibility for any injury to people or property resulting from any ideas, methods, instructions or products referred to in the content. |
© 2024 by the authors. Licensee MDPI, Basel, Switzerland. This article is an open access article distributed under the terms and conditions of the Creative Commons Attribution (CC BY) license (https://creativecommons.org/licenses/by/4.0/).
Share and Cite
Liu, C.; Cui, B.; Huang, P.; Hu, C.; Zhao, J.; Li, Z.; Wang, J. Silicon Improves Soil Environment and Promotes Crop Growth under Compound Irrigation via Brackish Water and Reclaimed Water. Horticulturae 2024, 10, 317. https://doi.org/10.3390/horticulturae10040317
Liu C, Cui B, Huang P, Hu C, Zhao J, Li Z, Wang J. Silicon Improves Soil Environment and Promotes Crop Growth under Compound Irrigation via Brackish Water and Reclaimed Water. Horticulturae. 2024; 10(4):317. https://doi.org/10.3390/horticulturae10040317
Chicago/Turabian StyleLiu, Chuncheng, Bingjian Cui, Pengfei Huang, Chao Hu, Jieru Zhao, Zhongyang Li, and Juan Wang. 2024. "Silicon Improves Soil Environment and Promotes Crop Growth under Compound Irrigation via Brackish Water and Reclaimed Water" Horticulturae 10, no. 4: 317. https://doi.org/10.3390/horticulturae10040317
APA StyleLiu, C., Cui, B., Huang, P., Hu, C., Zhao, J., Li, Z., & Wang, J. (2024). Silicon Improves Soil Environment and Promotes Crop Growth under Compound Irrigation via Brackish Water and Reclaimed Water. Horticulturae, 10(4), 317. https://doi.org/10.3390/horticulturae10040317

