Layout of Suspension-Type Small-Sized Dehumidifiers Affects Humidity Variability and Energy Consumption in Greenhouses
Abstract
1. Introduction
2. Materials and Methods
2.1. Structure and Working Principle of the Dehumidification Module
2.2. Temperature and Humidity Sensor and Actuator Interface
2.3. Experimental and Analytical Procedures
2.3.1. Experimental Site Description (Greenhouse), Sensor Locations, and Dehumidifier Layouts
2.3.2. Data Collection and Analytical Procedures
3. Results and Discussions
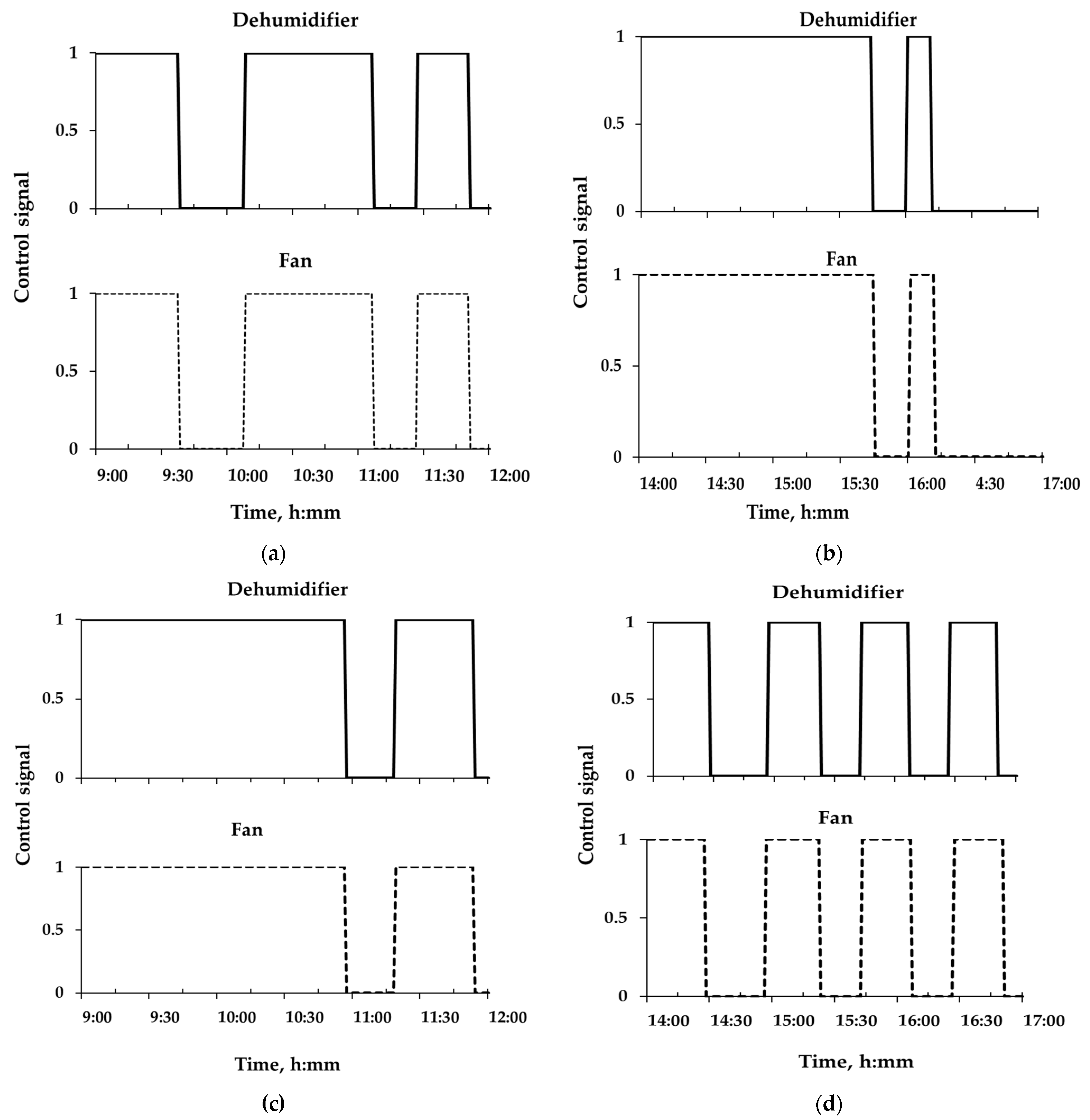
3.1. Dehumidification Response Time by Dehumidifier Layout
3.2. Spatial and Vertical Variability by Dehumidifier Layout
3.3. Energy Consumption by Dehumidifier Layout
4. Discussions
5. Conclusions
Author Contributions
Funding
Data Availability Statement
Conflicts of Interest
References
- Chantoiseau, E.; Migeon, C.; Chasseriaux, G.; Bournet, P.E. Heat-pump dehumidifier as an efficient device to prevent con-densation in horticultural greenhouses. Biosyst. Eng. 2016, 142, 27–41. [Google Scholar] [CrossRef]
- Hong, S.J.; Park, S.B.; Kang, N.R.; Kim, Y.J.; Chung, S.O. Performance evaluation of a 400 W precise window motor for glass houses. Korean J. Agric. Sci. 2017, 44, 595. [Google Scholar] [CrossRef]
- Zhang, G.; Fu, Z.; Yang, M.; Liu, X.; Dong, Y.; Li, X. Nonlinear simulation for coupling modeling of air humidity and vent opening in Chinese solar greenhouse based on CFD. Comput. Electron. Agric. 2019, 162, 337–347. [Google Scholar] [CrossRef]
- Tarr, S.T.; Souza, S.V.d.; Lopez, R.G. Influence of day and night temperature and radiation intensity on growth, quality, and economics of indoor green butterhead and red oakleaf lettuce production. Sustainability 2023, 15, 829. [Google Scholar] [CrossRef]
- Lee, S.; Song, M.J.; Oh, M.M. Effects of air anions on growth and economic feasibility of lettuce: A plant factory experiment approach. Sustainability 2022, 14, 15468. [Google Scholar] [CrossRef]
- Ghani, S.; Bakochristou, F.; ElBialy, E.M.A.A.; Gamaledin, S.M.A.; Rashwan, M.M.; Abdelhalim, A.M.; Ismail, S.M. Design challenges of agricultural greenhouses in hot and arid environments—A Review. Eng. Agric. Environ. Food 2019, 12, 48–70. [Google Scholar] [CrossRef]
- Islam, M.N.; Iqbal, M.Z.; Ali, M.; Jang, B.E.; Chowdhury, M.; Kabir, M.S.N.; Jang, S.H.; Chung, S.O. Performance evaluation of a suspension-type dehumidifier with a heating module for smart greenhouses. J. Biosyst. Eng. 2020, 45, 155–166. [Google Scholar] [CrossRef]
- Iqbal, M.Z.; Islam, M.N.; Kabir, M.S.N.; Gulandaz, M.A.; Reza, M.N.; Jang, S.H.; Chung, S.O. Comparison of heating modules for suspension-type multipoint temperature variability management in smart greenhouses. Smart Agric. Technol. 2023, 5, 100296. [Google Scholar] [CrossRef]
- Went, F.W. Plant growth under controlled conditions. II. Thermoperiodicity in growth and fruiting of the tomato. Am. J. Bot. 1944, 31, 135–150. [Google Scholar] [CrossRef]
- Orfi, J.; Galanis, N.; Laplante, M. Air humidification-dehumidification for a water desalination system using solar energy. Desalination 2007, 203, 471–481. [Google Scholar] [CrossRef]
- Xiong, Z.Q.; Dai, Y.J.; Wang, R.Z. Development of a novel two-stage liquid desiccant dehumidification system assisted by CaCl2 solution using exergy analysis method. Appl. Energy 2010, 87, 1495–1504. [Google Scholar] [CrossRef]
- Duong, X.Q.; Chung, J.D. Numerical analysis of a compressor type of dehumidifier: (I) Fluid Flow. Int. J. Air-Cond Refrig. 2017, 25, 1750011. [Google Scholar] [CrossRef]
- Rafiei, A.; Alsagri, A.S.; Mahadzir, S.; Loni, R.; Najafi, G.; Kasaeian, A. Thermal analysis of a hybrid solar desalination system using various shapes of cavity receiver: Cubical, cylindrical, and hemispherical. Energy Convers. Manag. 2019, 198, 111861. [Google Scholar] [CrossRef]
- Li, G.; Lu, L. Modeling, and performance analysis of a fully solar-powered stand-alone sweeping gas membrane distilla-tion desalination system for island and coastal households. Energy Convers. Manag. 2020, 205, 112375. [Google Scholar] [CrossRef]
- Liang, J.d.; Huang, B.H.; Chiang, Y.C.; Chen, S.L. Experimental investigation of a liquid desiccant dehumidification system integrated with shallow geothermal energy. Energy 2020, 191, 116452. [Google Scholar] [CrossRef]
- Liu, J.; Liu, X.; Zhang, T. Performance of heat pump driven internally cooled liquid desiccant dehumidification system. Energy Convers. Manag. 2020, 205, 112447. [Google Scholar] [CrossRef]
- Campen, J.B.; Bot, G.P.A. Design of a low-energy dehumidifying system for greenhouses. J. Agric. Eng. Res. 2001, 78, 65–73. [Google Scholar] [CrossRef]
- Chen, J.; Xu, F.; Tan, D.; Shen, Z.; Zhang, L.; Ai, Q. A control method for agricultural greenhouses heating based on com-putational fluid dynamics and energy prediction model. Appl. Energy 2015, 141, 106–118. [Google Scholar] [CrossRef]
- Zhao, Y.; Teitel, M.; Barak, M. Vertical temperature, and humidity gradients in a naturally ventilated greenhouse. J. Agric. Eng. Res. 2001, 78, 431–436. [Google Scholar] [CrossRef]
- Boulard, T.; Kittas, C.; Papadakis, G.; Mermier, M. Pressure field and airflow at the opening of a naturally ventilated greenhouse. J. Agric. Eng. Res. 1998, 71, 93–102. [Google Scholar] [CrossRef]
- Ould Khaoua, S.A.; Bournet, P.E.; Migeon, C.; Boulard, T.; Chassériaux, G. Analysis of greenhouse ventilation efficiency based on computational fluid dynamics. Biosyst. Eng. 2006, 95, 83–98. [Google Scholar] [CrossRef]
- Bojacá, C.R.; Gil, R.; Cooman, A. Use of geostatistical and crop growth modelling to assess the variability of greenhouse tomato yield caused by spatial temperature variations. Comput. Electron. Agric. 2009, 65, 219–227. [Google Scholar] [CrossRef]
- Mesmoudi, K.; Meguallati, K.H.; Bournet, P.E. Effect of the greenhouse design on the thermal behavior and microclimate distribution in greenhouses installed under semi-arid climate. Heat Transfer-Asian Res. 2017, 46, 1294–1311. [Google Scholar] [CrossRef]
- Kempkes, F.L.K.; van de Braak, N.J. Heating system layout and vertical microclimate distribution in chrysanthemum greenhouse. Agric. For. Meteorol. 2000, 104, 133–142. [Google Scholar] [CrossRef]
- Kempkes, F.L.K.; van de Braak, N.J.; Bakker, J.C. Effect of heating system layout on vertical distribution of crop temperature and transpiration in greenhouse tomatoes. J. Agric. Eng. Res. 2000, 75, 57–64. [Google Scholar] [CrossRef]
- Yang, T.; Mei, C.; Qian, S. Dynamic moisture sorption and humidity response inside the wooden space to cyclical changing external relative humidity. Wood Mater. Sci. Eng. 2023, 18, 1922–1932. [Google Scholar] [CrossRef]
- Abdulkarim, U.; Tijjani, B. Effect of Varying Aerosol Concentrations and Relative Humidity on Visibility and Particle Size Distribution in Urban Atmosphere. J. Atmos. Sci. Res. 2021, 4, 14–28. [Google Scholar] [CrossRef]
- Ahmed, H.A.; Tong, Y.X.; Yang, Q.C.; Al-Faraj, A.A.; Abdel-Ghany, A.M. Spatial distribution of air temperature and relative humidity in the greenhouse as affected by external shading in arid climates. J. Integr. Agric. 2019, 18, 2869–2882. [Google Scholar] [CrossRef]
- Al-Helal, I.; Alsadon, A.; Shady, M.; Ibrahim, A.; Abdel-Ghany, A. Diffusion characteristics of solar beams radiation trans-mitting through greenhouse covers in arid climates. Energies 2020, 13, 472. [Google Scholar] [CrossRef]
- Alhazmy, M.M. Power Estimation for air cooling and dehumidification using exergy analysis. Int. J. Exergy 2006, 3, 391–401. [Google Scholar] [CrossRef]
- Chen, W.D.; Vivekh, P.; Liu, M.Z.; Kumja, M.; Chua, K.J. Energy improvement and performance prediction of desiccant coated dehumidifiers based on dimensional and scaling analysis. Appl. Energy 2021, 303, 117571. [Google Scholar] [CrossRef]
- Milani, D.; Abbas, A.; Vassallo, A.; Chiesa, M.; Bakri, D.A. Evaluation of using thermoelectric coolers in a dehumidifica-tion system to generate freshwater from ambient air. Chem. Eng. Sci. 2011, 66, 2491–2501. [Google Scholar] [CrossRef]
- Kordestani, H.; Zhang, C. Direct use of the savitzky–golay filter to develop an output-only trend line-based damage detection method. Sensors 2020, 20, 1983. [Google Scholar] [CrossRef] [PubMed]
- Pakari, A.; Ghani, S. Airflow assessment in a naturally ventilated greenhouse equipped with wind towers: Numerical simulation and wind tunnel experiments. Energy Build. 2019, 199, 1–11. [Google Scholar] [CrossRef]
- Bustamante, N.; Acuña, J.F.; Valera, D.L. Effect of the height of the greenhouse on the plant-climate relationship as a deve lopment parameter in mint (Mentha spicata) crops in Colombia. Ing. Investig. 2015, 36, 6–12. [Google Scholar] [CrossRef]
- Roberts, E.A.; Sheley, R.L.; Rick, L. Using sampling and inverse distance weighted modelling for mapping invasive plants. West. N. Am. Nat. 2004, 64, 312–323. [Google Scholar]
- Korea Metrological Administration. Available online: https://www.kma.go.kr/eng/index.jsp (accessed on 17 July 2022).
- Ali, M.; Goovaerts, P.; Nazia, N. Application of Poisson kriging to the mapping of cholera and dysentery incidence in an endemic area of Bangladesh. Int. J. Health Geogr. 2006, 5, 45. [Google Scholar] [CrossRef] [PubMed][Green Version]
- Roe, D.R.; Brooks, B.R. Improving the speed of volumetric density map generation via cubic spline interpolation. J. Mol. Graph. Model. 2021, 104, 107832. [Google Scholar] [CrossRef] [PubMed]
- Bynum, J.D.; Claridge, D.E. Energy performance analysis of a membrane dehumidification system. Int. J. Refrig. 2021, 127, 230–238. [Google Scholar] [CrossRef]















| Item | Specification |
|---|---|
| Product name | Agricultural suspension type dehumidifier |
| Product model | SGD-20S |
| Company | Shinan Green-tech Co. Ltd., Suncheon-si Jeollanam-do, Republic of Korea |
| Usage | Horticultural greenhouse |
| Texture | Shed SUS304 (casing) |
| Fan specifications | 220 V/ 50–60 Hz/4P/105 W/IP54 |
| Compressor specifications | 220 V/60 Hz/560 W |
| Methods | Water Removed (L) | Required Time (min) | Test | Alpha | ||
|---|---|---|---|---|---|---|
| p-Value (t Test) | Significant | p-Value (t Test) | Significant | |||
| L1 vs L2 | 0.005 | Yes | 0.0106 | Yes | ANOVA | 0.05 |
| L1 vs L3 | 0.14 | No | 0.0721 | No | ||
| L1 vs L4 | 0.762 | No | 0.0927 | No | Post-hoc test | 0.01 |
| L2 vs L3 | 0.003 | Yes | 0.0093 | Yes | (Bonferroni corrected) | |
| L2 vs L4 | 0.011 | Yes | 0.0483 | No | ||
| L3 vs L4 | 0.045 | No | 0.0373 | No | ||
| Statistical Summary | Layout 1 | Layout 2 | Layout 3 | Layout 4 | ||||
|---|---|---|---|---|---|---|---|---|
| Initial | Final | Initial | Final | Initial | Final | Initial | Final | |
| Mean | 78.06 | 69.17 | 77.94 | 61.54 | 78.58 | 69.85 | 77.76 | 68.58 |
| Median | 78.40 | 68.75 | 78.10 | 62.10 | 78.70 | 69.50 | 77.50 | 67.90 |
| Standard deviation | 3.71 | 3.82 | 3.28 | 2.54 | 3.74 | 3.00 | 4.25 | 4.25 |
| Minimum | 70.90 | 57.50 | 70.20 | 51.10 | 71.90 | 60.30 | 69.90 | 56.20 |
| Maximum humidity | 85.90 | 80.70 | 85.90 | 69.30 | 87.30 | 79.80 | 89.30 | 79.30 |
Disclaimer/Publisher’s Note: The statements, opinions and data contained in all publications are solely those of the individual author(s) and contributor(s) and not of MDPI and/or the editor(s). MDPI and/or the editor(s) disclaim responsibility for any injury to people or property resulting from any ideas, methods, instructions or products referred to in the content. |
© 2024 by the authors. Licensee MDPI, Basel, Switzerland. This article is an open access article distributed under the terms and conditions of the Creative Commons Attribution (CC BY) license (https://creativecommons.org/licenses/by/4.0/).
Share and Cite
Gulandaz, M.A.; Kabir, M.S.; Kabir, M.S.N.; Ali, M.; Reza, M.N.; Haque, M.A.; Jang, G.-H.; Chung, S.-O. Layout of Suspension-Type Small-Sized Dehumidifiers Affects Humidity Variability and Energy Consumption in Greenhouses. Horticulturae 2024, 10, 63. https://doi.org/10.3390/horticulturae10010063
Gulandaz MA, Kabir MS, Kabir MSN, Ali M, Reza MN, Haque MA, Jang G-H, Chung S-O. Layout of Suspension-Type Small-Sized Dehumidifiers Affects Humidity Variability and Energy Consumption in Greenhouses. Horticulturae. 2024; 10(1):63. https://doi.org/10.3390/horticulturae10010063
Chicago/Turabian StyleGulandaz, Md Ashrafuzzaman, Md Sazzadul Kabir, Md Shaha Nur Kabir, Mohammod Ali, Md Nasim Reza, Md Asrakul Haque, Geun-Hyeok Jang, and Sun-Ok Chung. 2024. "Layout of Suspension-Type Small-Sized Dehumidifiers Affects Humidity Variability and Energy Consumption in Greenhouses" Horticulturae 10, no. 1: 63. https://doi.org/10.3390/horticulturae10010063
APA StyleGulandaz, M. A., Kabir, M. S., Kabir, M. S. N., Ali, M., Reza, M. N., Haque, M. A., Jang, G.-H., & Chung, S.-O. (2024). Layout of Suspension-Type Small-Sized Dehumidifiers Affects Humidity Variability and Energy Consumption in Greenhouses. Horticulturae, 10(1), 63. https://doi.org/10.3390/horticulturae10010063

