Exploitation of Post-Ripening Treatment for Improving Cold Tolerance and Storage Period of Jin Huang Mango
Abstract
1. Introduction
2. Materials and Methods
2.1. Materials
2.2. Grouping and Pre-Processing
| Group | Treatment method |
| Control (CK) | Without any treatment |
| T1 | Ripened with 500 ppm ethylene at 20 °C for 1 day |
| T2 | Ripened with 500 ppm ethylene at 20 °C for 1 day and ripened at 20 °C for 1 day |
| T3 | Ripened with 500 ppm ethylene at 20 °C for 1 day and ripened at 20 °C for 2 days |
2.3. Chilling Injury (CI) Index
2.4. Anthracnose Incidence
2.5. Ripening Index
2.6. Respiration Rate and Ethylene Production
2.7. Color Analysis
2.8. Firmness
2.9. Total Soluble Solid (TSS)
2.10. Titratable Acid (TA)
2.11. Ascorbic Acid
2.12. Statistical Analysis
3. Results
3.1. Changes in Different Treatments on the Appearance of Mango Fruits
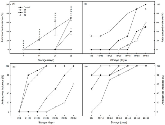
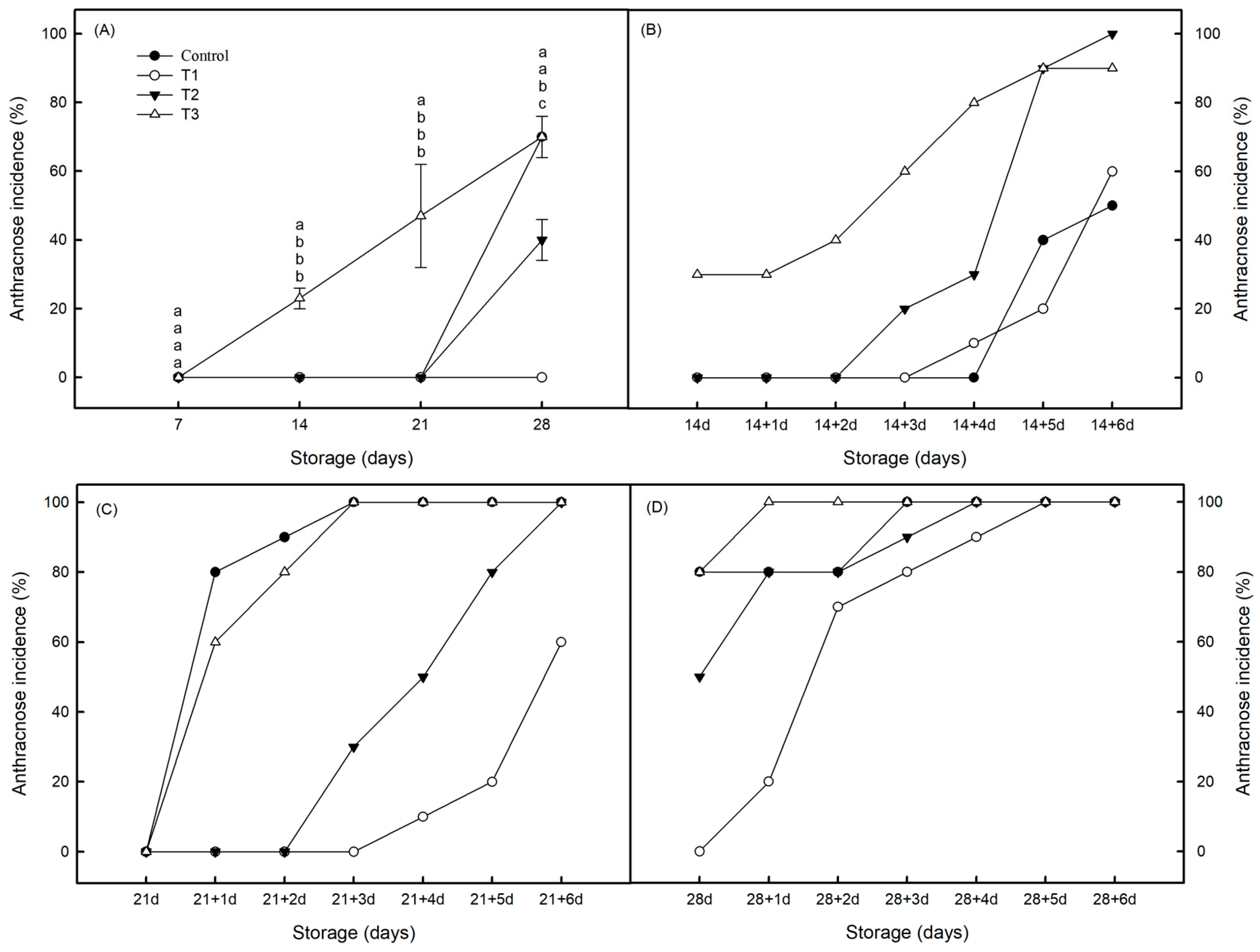
3.2. Effect of the Post-Ripening Period on the Incidence of Anthracnose in Post-Harvest Mangoes
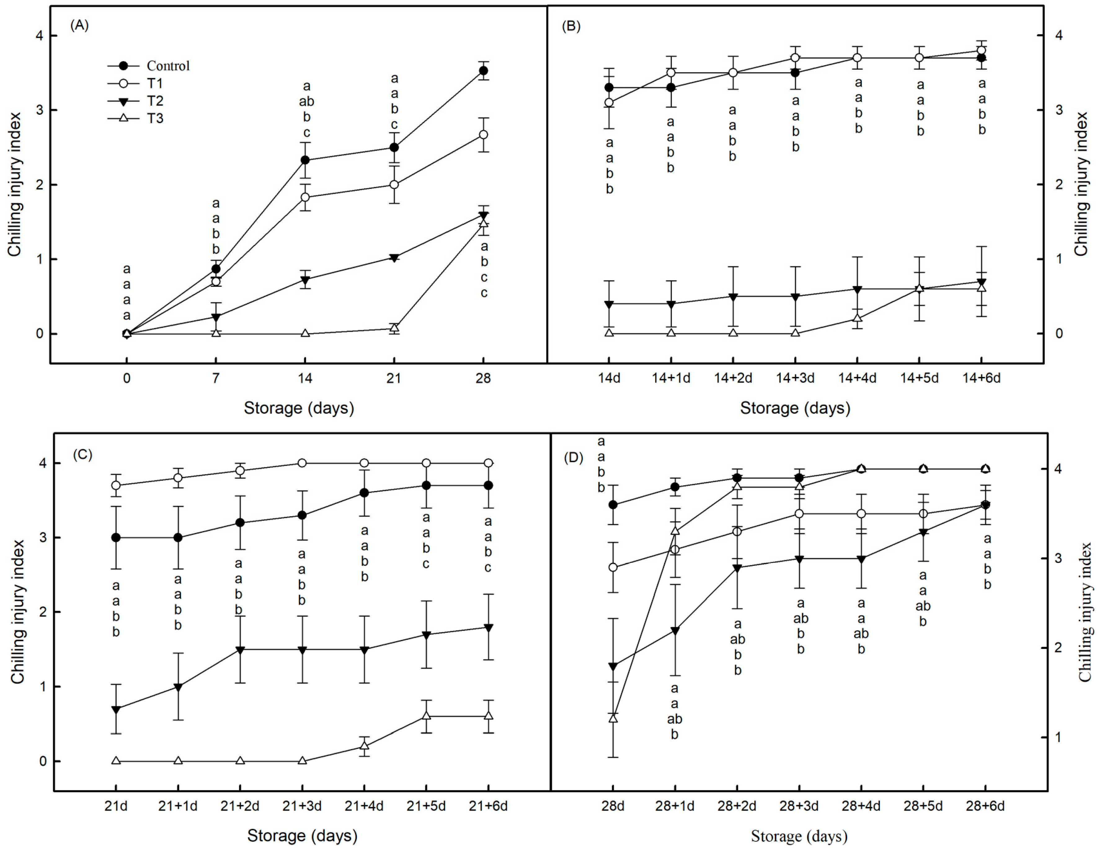
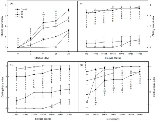
3.3. Effects of the Post-Ripening Period on Chilling Injury (CI) Index of Post-Harvest Mangoes
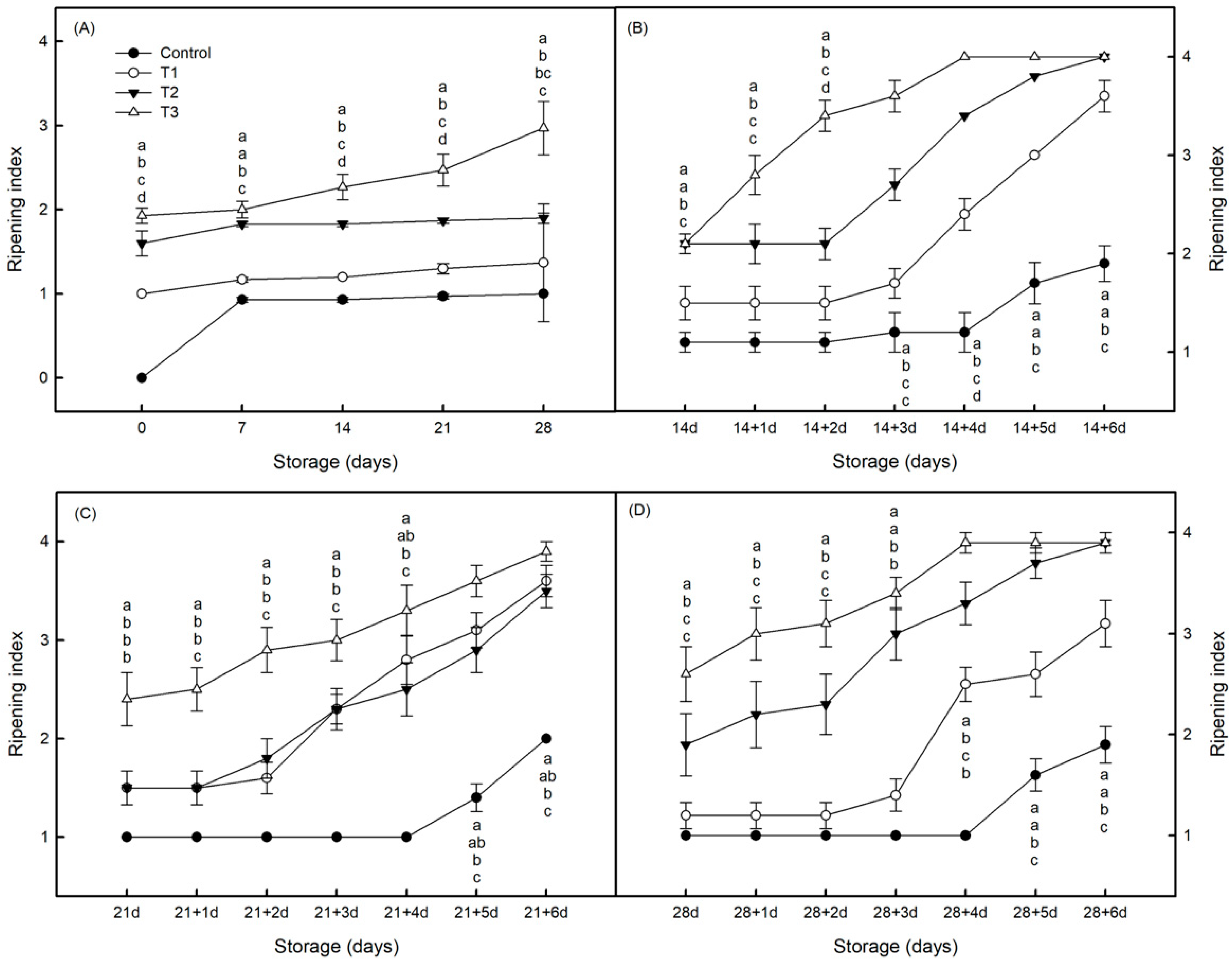
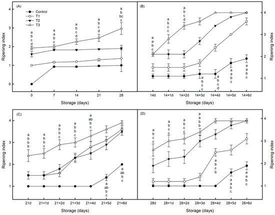
3.4. Effects of the Post-Ripening Period on Ripening Index of Post-Harvest Mangoes
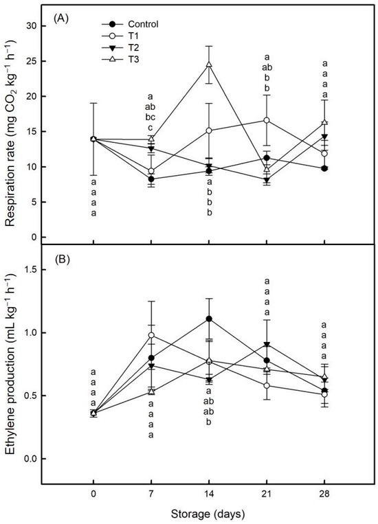
3.5. Effects of the Post-Ripening Period on Respiration Rate and Ethylene Production of Post-Harvest Mangoes
3.6. Effects of the Post-Ripening Period on the Post-Harvest Quality of Jin Huang Mangoes
3.6.1. Change in ΔE of the Peel
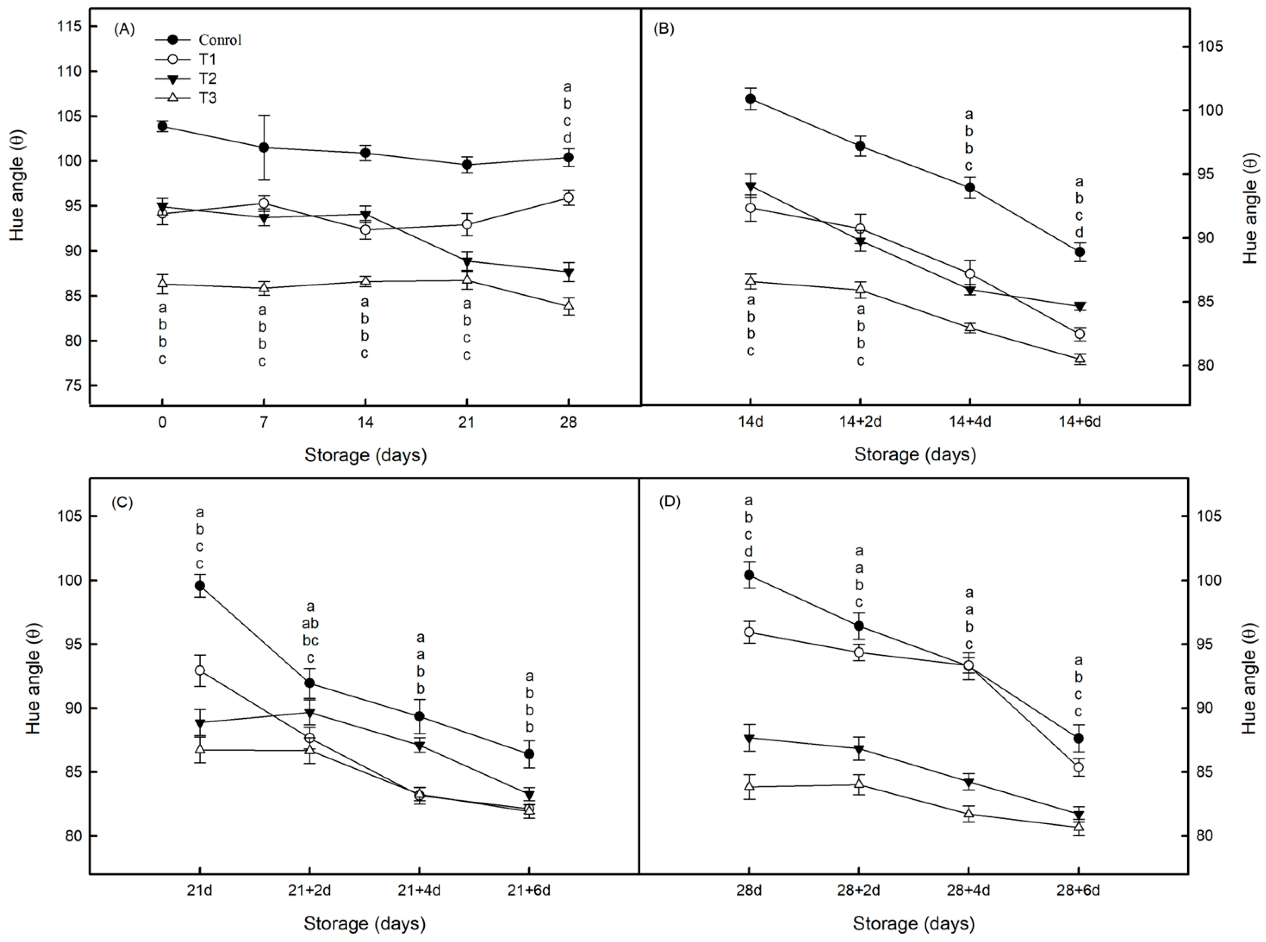
3.6.2. Changes in the Hue Angle (θ Value) of the Peel
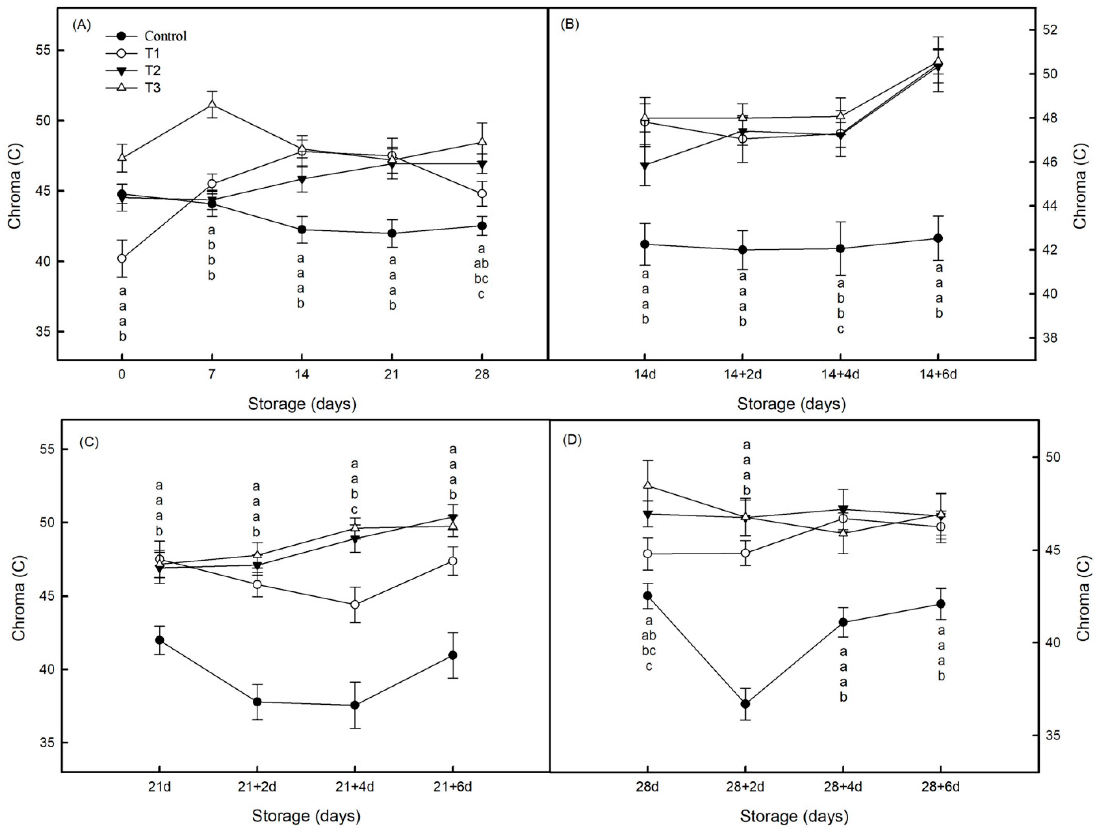
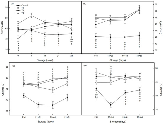
3.6.3. Changes in the Color Concentration (C Value) of the Peel
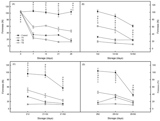
3.6.4. Changes in the Firmness of the Mango
3.6.5. Changes in the Total Soluble Solids (TSS) Content of the Mango
3.6.6. Changes in the Titratable Acid (TA) Content of the Mango
3.6.7. Changes in the Ascorbic Acid Content of the Mango
3.7. Changes in the Appearance of Mango Pulp
4. Discussion
5. Conclusions
Author Contributions
Funding
Data Availability Statement
Acknowledgments
Conflicts of Interest
Appendix A





References
- David. Meet the Jing Huang Mango. 2019. Available online: https://youtu.be/2bwbFakMNsQ (accessed on 17 September 2023).
- Lin, H.L.; Shiesh, C.C.; Chen, P.J. Physiological disorders in relation to compositional changes in mango (Mangifera indica L. ‘Chiin hwang’) fruit. Acta Hortic. 2013, 984, 357–363. [Google Scholar] [CrossRef]
- Archana, T.J.; Gogoi, R.; Kaur, C.; Varghese, E.; Sharma, R.R.; Srivastav, M.; Tomar, M.; Kumar, M.; Kumar, A. Bacterial volatile mediated suppression of postharvest anthracnose and quality enhancement in mango. Postharvest Biol. Technol. 2021, 177, 111525. [Google Scholar] [CrossRef]
- Phakawatmongkol, W.; Ketsa, S.; Doorn, W.G.v. Variation in fruit chilling injury among mango cultivars. Postharvest Biol. Technol. 2004, 32, 115–118. [Google Scholar] [CrossRef]
- Sivankalyani, V.; Sela, N.; Feygenberg, O.; Zemach, H.; Maurer, D.; Alkan, N. Transcriptome dynamics in mango fruit peel reveals mechanisms of chilling stress. Front. Plant Sci. 2016, 7, 1579. [Google Scholar] [CrossRef] [PubMed]
- Valenzuela, J.L.; Manzano, S.; Palma, F.; Carvajal, F.; Garrido, D.; Jamilena, M. Oxidative stress associated with chilling injury in immature fruit: Postharvest technological and biotechnological solutions. Int. J. Mol. Sci. 2017, 18, 1467. [Google Scholar] [CrossRef]
- Chomchalow, S.; El Assi, N.M.; Sargent, S.A.; Brecht, J.K. Fruit maturity and timing of ethylene treatment affect storage performance of green tomatoes at chilling and nonchilling temperatures. HortTechnology 2002, 12, 104–114. [Google Scholar] [CrossRef]
- Igiebor, F.A.; Odozi, E.B.; Ikhajiagbe, B. Chemical-based fruit ripening and the implications for ecosystem health and safety. In One Health Implications of Agrochemicals and Their Sustainable Alternatives; Ogwu, M.C., Chibueze Izah, S., Eds.; Springer Nature: Singapore, 2023; pp. 335–353. [Google Scholar]
- Kou, X.; Feng, Y.; Yuan, S.; Zhao, X.; Wu, C.; Wang, C.; Xue, Z. Different regulatory mechanisms of plant hormones in the ripening of climacteric and non-climacteric fruits: A review. Plant Mol. Biol. 2021, 107, 477–497. [Google Scholar] [CrossRef]
- Zhao, Z.; Cao, J.; Jiang, W.; Gu, Y.; Zhao, Y. Maturity-related chilling tolerance in mango fruit and the antioxidant capacity involved. J. Sci. Food Agric. 2009, 89, 304–309. [Google Scholar] [CrossRef]
- Wongmetha, O.; Ke, L.-S.; Liang, Y.-S. The changes in physical, bio-chemical, physiological characteristics and enzyme activities of mango cv. Jinhwang during fruit growth and development. NJAS—Wagening. J. Life Sci. 2015, 72–73, 7–12. [Google Scholar] [CrossRef]
- Kong, X.-m.; Ge, W.-y.; Wei, B.-d.; Zhou, Q.; Zhou, X.; Zhao, Y.-b.; Ji, S.-j. Melatonin ameliorates chilling injury in green bell peppers during storage by regulating membrane lipid metabolism and antioxidant capacity. Postharvest Biol. Technol. 2020, 170, 111315. [Google Scholar] [CrossRef]
- Koolpluksee, M.; Ketsa, S.; Subhadrabandhu, S. Effect of modified atmospheres on quality and chilling injury of ‘nam dok mai’ mango fruits. Agric. Nat. Resour. 1993, 27, 115–124. [Google Scholar]
- Mokgalapa, N.; Akinola, S.A.; Shoko, T.; Pillai, S.K.; Sivakumar, D. Chitosan molecular weights affect anthracnose incidence and elicitation of defence-related enzymes in avocado (Persea americana) cultivar ‘fuerte’. Int. J. Food Microbiol. 2022, 366, 109561. [Google Scholar] [CrossRef]
- Prusky, D.; Kobiler, I.; Miyara, I.; Alkan, N. The Mango. Botany, Production and Uses, 2nd ed.; CABI: London, UK, 2010; pp. 210–230. [Google Scholar]
- Raghavendra, A.; Guru, D.S.; Rao, M.K.; Sumithra, R. Hierarchical approach for ripeness grading of mangoes. Artif. Intell. Agric. 2020, 4, 243–252. [Google Scholar] [CrossRef]
- Cheng, Y.-T.; Huang, P.-H.; Chan, Y.-J.; Chen, S.-J.; Lu, W.-C.; Li, P.-H. A new strategy to design novel modified atmosphere packaging formulation maintains the qualities of postharvest strawberries (Fragaria ananassa) during low-temperature storage. J. Food Saf. 2023, 43, e13082. [Google Scholar] [CrossRef]
- Lawson, T.; Lycett, G.W.; Ali, A.; Chin, C.F. Characterization of southeast asia mangoes (Mangifera indica L.) according to their physicochemical attributes. Sci. Hortic. 2019, 243, 189–196. [Google Scholar] [CrossRef]
- Lin, Y.-W.; Tsai, C.-L.; Chen, C.-J.; Li, P.-L.; Huang, P.-H. Insights into the effects of multiple frequency ultrasound combined with acid treatments on the physicochemical and thermal properties of brown rice postcooking. LWT 2023, 188, 115423. [Google Scholar] [CrossRef]
- Nkhata, S.G. Total color change (δe∗) is a poor estimator of total carotenoids lost during post-harvest storage of biofortified maize grains. Heliyon 2020, 6, e05173. [Google Scholar] [CrossRef]
- Wu, M.-C.; Jiang, C.-M.; Huang, P.-H.; Wu, M.-Y.; Wang, Y.T. Separation and utilization of pectin lyase from commercial pectic enzyme via highly methoxylated cross-linked alcohol-insoluble solid chromatography for wine methanol reduction. J. Agric. Food Chem. 2007, 55, 1557–1562. [Google Scholar] [CrossRef]
- Brown, G.E. The effect of ethylene on susceptibility of robinson tangerines to anthracnose. Phytopathology 1977, 77, 120. [Google Scholar] [CrossRef]
- de Souza-Pollo, A.; de Goes, A. Mango pathology and diseases. In Handbook of Mango Fruit; Siddiq, M., Brecht, J.K., Sidhu, J.S., Eds.; John Wiley & Sons, Inc.: Hoboken, NJ, USA, 2017; pp. 91–104. [Google Scholar]
- Li, Q.; Bu, J.; Shu, J.; Yu, Z.; Tang, L.; Huang, S.; Guo, T.; Mo, J.; Luo, S.; Solangi, G.S.; et al. Colletotrichum species associated with mango in southern china. Sci. Rep. 2019, 9, 18891. [Google Scholar] [CrossRef]
- Paudel, A.; Yadav, P.; Poudel, P.; Yogi, M.; Bhattarai, A. Insights on the mango anthracnose and its management. J. Plant Pathol. Res. 2022, 4, 81–90. [Google Scholar] [CrossRef]
- Marcianò, D.; Mizzotti, C.; Maddalena, G.; Toffolatti, S.L. The dark side of fungi: How they cause diseases in plants. Front. Young Minds 2021, 9, 560315. [Google Scholar] [CrossRef]
- Perkins, M.L.; Joyce, D.C.; Coates, L.M. Possible contribution of impact injury at harvest to anthracnose expression in ripening avocado: A review. Sci. Hortic. 2019, 246, 785–790. [Google Scholar] [CrossRef]
- Peralta-Ruiz, Y.; Rossi, C.; Grande-Tovar, C.D.; Chaves-López, C. Green management of postharvest anthracnose caused by colletotrichum gloeosporioides. J. Fungi 2023, 9, 623. [Google Scholar] [CrossRef]
- Singh, J.; Daulta, B. Factors affecting the development of anthracnose of guava during storage. Haryana J. Hortic. Sci. 1983, 12, 41–43. [Google Scholar]
- Reyes, M.U.; Paull, R.E. Effect of storage temperature and ethylene treatment on guava (Psidium guajava L.) fruit ripening. Postharvest Biol. Technol. 1995, 6, 357–365. [Google Scholar] [CrossRef]
- De Silva, A.G.D.; Crous, P.; Ades, P.; Hyde, K.; Taylor, P. Life styles of colletotrichum species and implications for plant biosecurity. Fungal Biol. Rev. 2017, 31, 155–168. [Google Scholar] [CrossRef]
- Singh, Z.; Singh, R.K.; Sane, V.A.; Nath, P. Mango—Postharvest biology and biotechnology. Crit. Rev. Plant Sci. 2013, 32, 217–236. [Google Scholar] [CrossRef]
- Shu, P.; Li, Y.; Xiang, L.; Sheng, J.; Shen, L. Ethylene enhances tolerance to chilling stress in tomato fruit partially through the synergistic regulation between antioxidant enzymes and atp synthases. Postharvest Biol. Technol. 2022, 193, 112065. [Google Scholar] [CrossRef]
- Nair, S.; Singh, Z. Pre-storage ethrel dip reduces chilling injury, enhances respiration rate, ethylene production and improves fruit quality of ‘kensington’ mango. J. Food Agric. Environ. 2003, 1, 93–97. [Google Scholar]
- Chen, M.; Gu, H.; Wang, L.; Shao, Y.; Li, R.; Li, W. Exogenous ethylene promotes peel color transformation by regulating the degradation of chlorophyll and synthesis of anthocyanin in postharvest mango fruit. Front. Nutr. 2022, 9, 911542. [Google Scholar] [CrossRef] [PubMed]
- Montalvo, E.; García, H.S.; Tovar, B.; Mata, M. Application of exogenous ethylene on postharvest ripening of refrigerated ‘ataulfo’ mangoes. LWT—Food Sci. Technol. 2007, 40, 1466–1472. [Google Scholar] [CrossRef]
- Jiang, L.; Han, Z.; Liu, J.; Xiang, Y.; Xu, X.; Jiang, Y.; Jiang, G.; Zhang, Z. Intermittent stepwise cooling and warming ameliorate chilling injury and improve quality in postharvest ‘guifei’ mango fruit. LWT 2023, 181, 114740. [Google Scholar] [CrossRef]
- Liu, X.; Zhou, Y.; Xiao, J.; Bao, F. Effects of chilling on the structure, function and development of chloroplasts. Front. Plant Sci. 2018, 9, 1715. [Google Scholar] [CrossRef] [PubMed]
- El-Dakak, R.A.; Badr, R.H.; Zeineldein, M.H.; Swedan, E.A.; Batrawy, O.E.; Hassaballah, A.F.; Hassan, I.A. Effect of chilling and salinity stress on photosynthetic performance and ultrastructure of chloroplast in faba beans (Vicia faba L.) leaves. Rend. Lincei. Sci. Fis. E Nat. 2023, 34, 447–456. [Google Scholar] [CrossRef]
- Marangoni, A.; Smith, A.; Yada, R.; Stanley, D. Ultrastructural changes associated with chilling injury in mature-green tomato fruit. J. Am. Soc. Hort. Sci. 1989, 114, 958–962. [Google Scholar] [CrossRef]
- Sousa, F.F.; Pinsetta Junior, J.S.; Oliveira, K.T.E.F.; Rodrigues, E.C.N.; Andrade, J.P.; Mattiuz, B.-H. Conservation of ‘palmer’ mango with an edible coating of hydroxypropyl methylcellulose and beeswax. Food Chem. 2021, 346, 128925. [Google Scholar] [CrossRef]
- Ge, Y.; Zhang, J.; Li, C.; Xue, W.; Zhang, S.; Lv, J. Trisodium phosphate delays softening of jujube fruit by inhibiting cell wall-degrading enzyme activities during ambient storage. Sci. Hortic. 2020, 262, 109059. [Google Scholar] [CrossRef]
- Ali, S.; Ullah, M.A.; Nawaz, A.; Naz, S.; Shah, A.A.; Gohari, G.; Razavi, F.; Khaliq, G.; Razzaq, K. Carboxymethyl cellulose coating regulates cell wall polysaccharides disassembly and delays ripening of harvested banana fruit. Postharvest Biol. Technol. 2022, 191, 111978. [Google Scholar] [CrossRef]
- Ali, Z.M.; Chin, L.-H.; Lazan, H. A comparative study on wall degrading enzymes, pectin modifications and softening during ripening of selected tropical fruits. Plant Sci. 2004, 167, 317–327. [Google Scholar] [CrossRef]
- Kou, X.; Yang, S.; Chai, L.; Wu, C.; Zhou, J.; Liu, Y.; Xue, Z. Abscisic acid and fruit ripening: Multifaceted analysis of the effect of abscisic acid on fleshy fruit ripening. Sci. Hortic. 2021, 281, 109999. [Google Scholar] [CrossRef]
- Zhao, Y.; Zhu, X.; Hou, Y.; Pan, Y.; Shi, L.; Li, X. Effects of harvest maturity stage on postharvest quality of winter jujube (Zizyphus jujuba mill. Cv. Dongzao) fruit during cold storage. Sci. Hortic. 2021, 277, 109778. [Google Scholar] [CrossRef]
- Botton, A.; Tonutti, P.; Ruperti, B. Chapter 5—Biology and biochemistry of ethylene. In Postharvest Physiology and Biochemistry of Fruits and Vegetables; Yahia, E.M., Ed.; Woodhead Publishing: Sawston, UK, 2019; pp. 93–112. [Google Scholar]
- Ebrahimi, A.; Khajavi, M.Z.; Ahmadi, S.; Mortazavian, A.M.; Abdolshahi, A.; Rafiee, S.; Farhoodi, M. Novel strategies to control ethylene in fruit and vegetables for extending their shelf life: A review. Int. J. Environ. Sci. Technol. 2022, 19, 4599–4610. [Google Scholar] [CrossRef]
- Ahrens, M.J.; Huber, D.J. Physiology and firmness determination of ripening tomato fruit. Physiol. Plant. 1990, 78, 8–14. [Google Scholar] [CrossRef]
- Abbas, M.e.F.; Fandi, B.S. Respiration rate, ethylene production and biochemical changes during fruit development and maturation of jujube (Ziziphus mauritiana lamk). J. Sci. Food Agric. 2002, 82, 1472–1476. [Google Scholar] [CrossRef]
- Busatto, N.; Vittani, L.; Farneti, B.; Khomenko, I.; Caffini, M.; Faccini, S.; Boschetti, M.; Costa, F. Physiological and molecular characterization of the late ripening stages in Mangifera indica cv keitt. Postharvest Biol. Technol. 2022, 183, 111746. [Google Scholar] [CrossRef]
- Wang, L.; Li, R.; Shi, X.; Wei, L.; Li, W.; Shao, Y. Ripening patterns (off-tree and on-tree) affect physiology, quality, and ascorbic acid metabolism of mango fruit (cv. Guifei). Sci. Hortic. 2023, 315, 111971. [Google Scholar] [CrossRef]
- Kim, Y.; Brecht, J.K.; Talcott, S.T. Antioxidant phytochemical and fruit quality changes in mango (Mangifera indica L.) following hot water immersion and controlled atmosphere storage. Food Chem. 2007, 105, 1327–1334. [Google Scholar] [CrossRef]
- Taghipour, L.; Rahemi, M.; Assar, P.; Ramezanian, A.; Mirdehghan, S.H. Alleviating chilling injury in stored pomegranate using a single intermittent warming cycle: Fatty acid and polyamine modifications. Int. J. Food Sci. 2021, 2021, 2931353. [Google Scholar] [CrossRef]
- Ribeiro, B.S.; de Freitas, S.T. Maturity stage at harvest and storage temperature to maintain postharvest quality of acerola fruit. Sci. Hortic. 2020, 260, 108901. [Google Scholar] [CrossRef]








| Treatment | Group/Measurement Item | |||||||||||
|---|---|---|---|---|---|---|---|---|---|---|---|---|
| CK | T1 | T2 | T3 | CK | T1 | T2 | T3 | CK | T1 | T2 | T3 | |
| Total Soluble Solids (°Brix) | Titratable Acid (%) | Ascorbic Acid (mg/100 g) | ||||||||||
| 0 Day (D) | 6.20 ± 0.32a | 0.56 ± 0.03a | 24.10 ± 1.14a | |||||||||
| 4 °C, 7D | 5.90 ± 0.32b | 8.47 ± 1.26b | 12.80 ± 0.65a | 14.30 ± 0.76a | 0.46 ± 0.00b | 0.48 ± 0.05b | 0.52 ± 0.02ab | 0.59 ± 0.03a | 20.91 ± 0.07b | 23.40 ± 0.07a | 21.08 ± 0.33b | 18.82 ± 1.19c |
| 4 °C,14D | 7.57 ± 1.39c | 10.73 ± 0.52b | 12.87 ± 0.64ab | 14.63 ± 0.37a | 0.68 ± 0.01b | 0.82 ± 0.03a | 0.52 ± 0.07c | 0.77 ± 0.03ab | 20.69 ± 0.33c | 25.8 ± 0.79a | 22.42 ± 0.46b | 21.88 ± 0.09bc |
| 4 °C, 21D | 6.50 ± 0.67c | 11.7 ± 0.61b | 12.8 ± 0.25ab | 14.23 ± 0.12a | 0.52 ± 0.08b | 0.63 ± 0.09ab | 0.87 ± 0.05a | 0.68 ± 0.14ab | 20.68 ± 0.82a | 18.44 ± 0.62ab | 19.80 ± 0.39ab | 16.83 ± 1.74b |
| 4 °C, 28D | 5.77 ± 0.69c | 13.50 ± 0.51b | 15.77 ± 0.61a | 15.3 ± 0.71ab | 0.68 ± 0.03a | 0.68 ± 0.11a | 0.67 ± 0.04a | 0.63 ± 0.01a | 15.36 ± 0.30c | 18.84 ± 0.60bc | 25.19 ± 1.78a | 20.12 ± 1.37b |
| 4 °C, 7D | 5.90 ± 0.32b | 8.47 ± 1.26b | 12.80 ± 0.65a | 14.30 ± 0.76a | 0.46 ± 0.00b | 0.48 ± 0.05b | 0.52 ± 0.02ab | 0.56 ± 0.27a | 20.91 ± 0.07b | 23.40 ± 0.07a | 21.08 ± 0.33b | 18.82 ± 1.19c |
| 4 °C, 7D + 20 °C, 3D | 9.37 ± 0.26c | 14.53 ± 0.67b | 16.80 ± 1.01ab | 17.73 ± 1.27a | 0.54 ± 0.03c | 0.67 ± 0.03b | 0.78 ± 0.02a | 0.63 ± 0.02b | 17.61 ± 0.26a | 17.97 ± 0.57a | 17.13 ± 0.79a | 16.93 ± 1.30a |
| 4 °C, 7D + 20 °C, 6D | 16.67 ± 0.86a | 15.93 ± 1.34a | 16.10 ± 0.61a | 15.43 ± 1.23a | 0.88 ± 0.12a | 0.57 ± 0.02b | 0.51 ± 0.02b | 0.38 ± 0.02b | 30.96 ± 3.39a | 10.53 ± 0.96c | 16.50 ± 0.52b | 16.83 ± 0.74b |
| 4 °C,14D | 7.57 ± 1.39c | 10.73 ± 0.52b | 12.87 ± 0.64ab | 14.63 ± 0.37a | 0.69 ± 0.01b | 0.82 ± 0.03a | 0.52 ± 0.07c | 0.77 ± 0.03ab | 20.69 ± 0.33c | 25.8 ± 0.79a | 22.42 ± 0.46b | 21.88 ± 0.09bc |
| 4 °C,14D + 20 °C, 3D | 10.70 ± 1.06c | 13.70 ± 0.29ab | 12.30 ± 0.23bc | 14.93 ± 0.22a | 0.83 ± 0.05a | 0.72 ± 0.09a | 0.87 ± 0.10a | 0.79 ± 0.12a | 21.27 ± 0.40a | 23.52 ± 0.46a | 24.73 ± 2.83a | 20.41 ± 0.61a |
| 4 °C, 14D + 20 °C, 6D | 12.23 ± 0.67c | 16.76 ± 0.35a | 15.37 ± 0.26b | 14.50 ± 0.26b | 0.83 ± 0.06a | 0.64 ± 0.00b | 0.86 ± 0.04a | 0.35 ± 0.02c | 21.08 ± 0.95a | 9.96 ± 0.80c | 15.36 ± 0.54b | 16.46 ± 0.68b |
| 4 °C, 21D | 6.50 ± 0.67c | 11.7 ± 0.61b | 12.8 ± 0.25a | 14.23 ± 0.12ab | 0.52 ± 0.08b | 0.63 ± 0.09ab | 0.87 ± 0.05a | 0.68 ± 0.14ab | 20.68 ± 0.82a | 18.44 ± 0.62ab | 19.80 ± 0.39ab | 16.83 ± 1.74b |
| 4 °C, 21D + 20 °C, 3D | 8.53 ± 2.11b | 16.00 ± 0.35a | 16.97 ± 0.89a | 16.27 ± 1.50a | 0.76 ± 0.05a | 0.74 ± 0.01ab | 0.65 ± 0.04b | 0.69 ± 0.01ab | 22.91 ± 0.78a | 13.65 ± 0.62c | 22.24 ± 1.76ab | 18.74 ± 0.83b |
| 4 °C, 21D + 20 °C, 6D | 15.70 ± 0.52a | 16.57 ± 0.33a | 16.80 ± 0.26a | 15.7 ± 0.23a | 0.71 ± 0.06a | 0.53 ± 0.03bc | 0.65 ± 0.05ab | 0.42 ± 0.02c | 18.56 ± 0.80a | 17.36 ± 0.98a | 18.31 ± 0.46a | 19.98 ± 1.01a |
| 4 °C, 28D | 5.77 ± 0.69c | 13.50 ± 0.51b | 15.77 ± 0.61a | 15.3 ± 0.71ab | 0.68 ± 0.03a | 0.69 ± 0.11a | 0.67 ± 0.04a | 0.63 ± 0.01a | 15.36 ± 0.3c | 18.84 ± 0.6bc | 25.19 ± 1.78a | 20.12 ± 1.37b |
| 4 °C, 28D + 20 °C, 3D | 7.67 ± 0.67b | 15.60 ± 0.38a | 14.60 ± 0.51a | 16.67 ± 0.95a | 0.87 ± 0.02a | 0.61 ± 0.02b | 0.63 ± 0.04b | 0.44 ± 0.01c | 26.80 ± 1.97a | 18.33 ± 0.46c | 23.34 ± 0.52ab | 21.06 ± 1.98bc |
| 4 °C, 28D + 20 °C, 6D | 13.17 ± 0.64b | 16.47 ± 0.65a | 15.60 ± 0.89a | 16.03 ± 0.33a | 0.58 ± 0.06ab | 0.61 ± 0.04a | 0.43 ± 0.05b | 0.47 ± 0.06ab | 23.30 ± 1.45a | 10.80 ± 0.95c | 10.76 ± 0.33c | 16.25 ± 0.76b |
Disclaimer/Publisher’s Note: The statements, opinions and data contained in all publications are solely those of the individual author(s) and contributor(s) and not of MDPI and/or the editor(s). MDPI and/or the editor(s) disclaim responsibility for any injury to people or property resulting from any ideas, methods, instructions or products referred to in the content. |
© 2024 by the authors. Licensee MDPI, Basel, Switzerland. This article is an open access article distributed under the terms and conditions of the Creative Commons Attribution (CC BY) license (https://creativecommons.org/licenses/by/4.0/).
Share and Cite
Lee, Y.-C.; Yu, M.-C.; Yen, C.-Y.; Tsay, J.-S.; Hou, C.-Y.; Li, P.-H.; Huang, P.-H.; Liang, Y.-S. Exploitation of Post-Ripening Treatment for Improving Cold Tolerance and Storage Period of Jin Huang Mango. Horticulturae 2024, 10, 103. https://doi.org/10.3390/horticulturae10010103
Lee Y-C, Yu M-C, Yen C-Y, Tsay J-S, Hou C-Y, Li P-H, Huang P-H, Liang Y-S. Exploitation of Post-Ripening Treatment for Improving Cold Tolerance and Storage Period of Jin Huang Mango. Horticulturae. 2024; 10(1):103. https://doi.org/10.3390/horticulturae10010103
Chicago/Turabian StyleLee, Ying-Che, Meng-Chieh Yu, Chi-Yun Yen, Jyh-Shyan Tsay, Chih-Yao Hou, Po-Hsien Li, Ping-Hsiu Huang, and Yu-Shen Liang. 2024. "Exploitation of Post-Ripening Treatment for Improving Cold Tolerance and Storage Period of Jin Huang Mango" Horticulturae 10, no. 1: 103. https://doi.org/10.3390/horticulturae10010103
APA StyleLee, Y.-C., Yu, M.-C., Yen, C.-Y., Tsay, J.-S., Hou, C.-Y., Li, P.-H., Huang, P.-H., & Liang, Y.-S. (2024). Exploitation of Post-Ripening Treatment for Improving Cold Tolerance and Storage Period of Jin Huang Mango. Horticulturae, 10(1), 103. https://doi.org/10.3390/horticulturae10010103

