Effect of Deficit Irrigation and Intercrop Competition on Productivity, Water Use Efficiency and Oil Quality of Chia in Semi-Arid Regions
Abstract
1. Introduction
2. Materials and Methods
2.1. Weather and Soil of the Location
2.2. Experimental Details and Crop Management
2.3. Irrigation Scheduling
2.4. Soil Moisture Measurement
2.5. Crop Growth and Canopy Attributes
2.6. Yield and Yield Attributes of Chia
2.6.1. Chia Equivalent Yield (CEY)
2.6.2. Irrigation Water Use Efficiency (IWUE)
2.7. Competition Indices
2.7.1. Land Equivalent Ratio (LER)
2.7.2. Area Time Equivalent Ratio (ATER)
2.7.3. Land Utilization Efficiency (LUE)
2.7.4. Competition Ratio (CR)
2.7.5. Aggressivity (A)
2.8. Extraction and Estimation of Fatty Acids Composition in Chia Oil
2.9. Statistical Analysis
3. Results
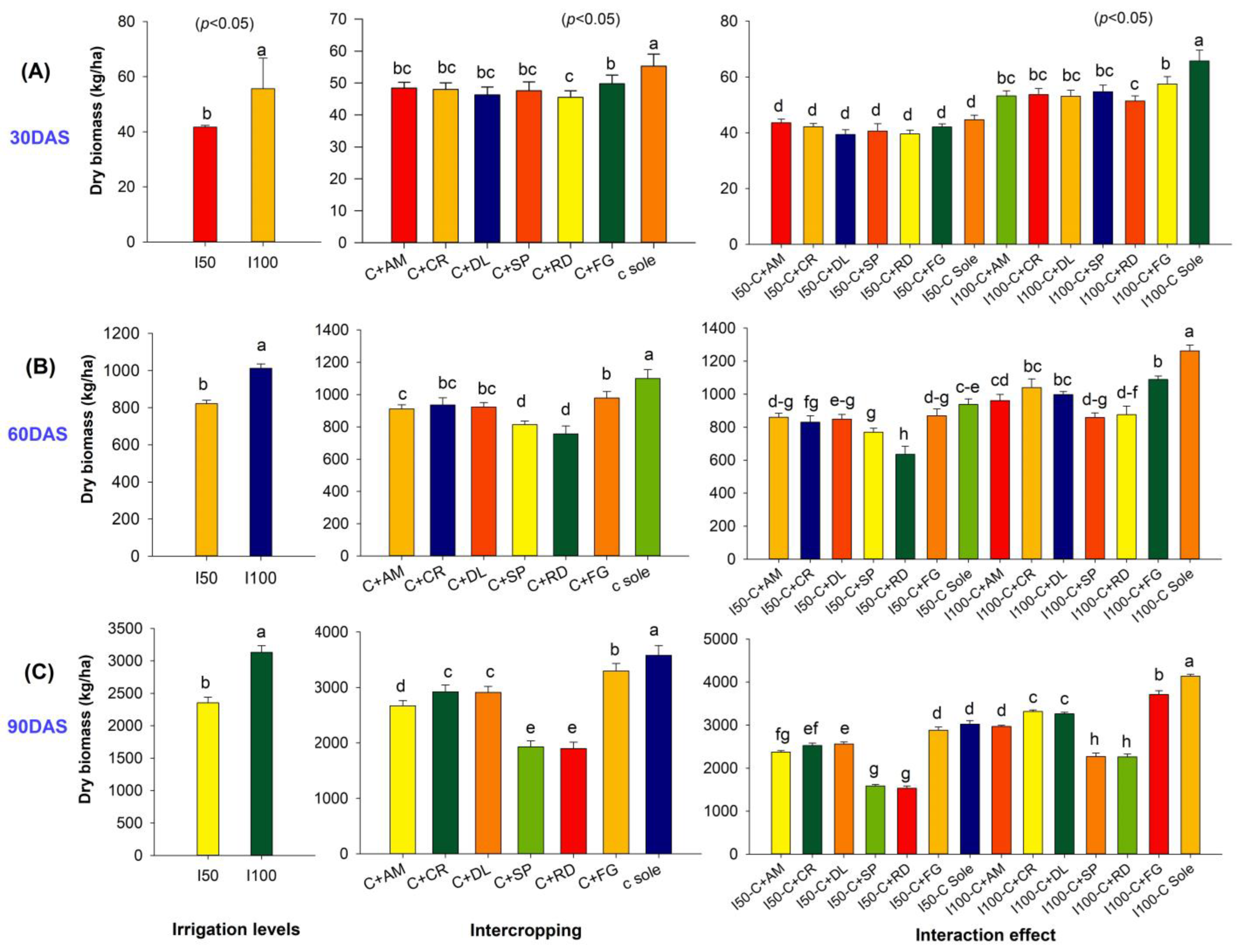
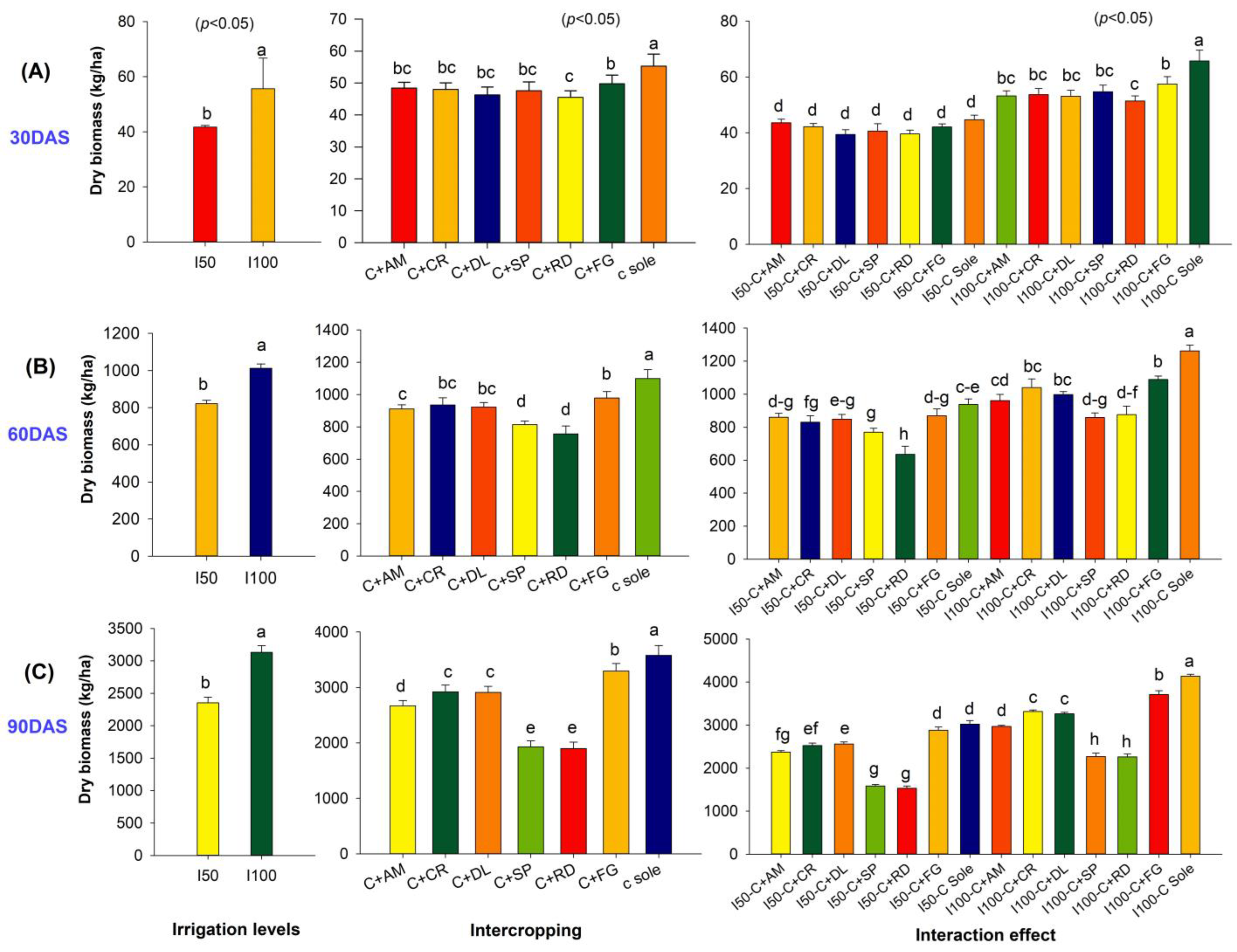
3.1. Crop Growth and Canopy Attributes
3.2. Yield Attributes, Seed Yield, and Chia Equivalent Yield (CEY)
3.3. Competition and Land Use Indices
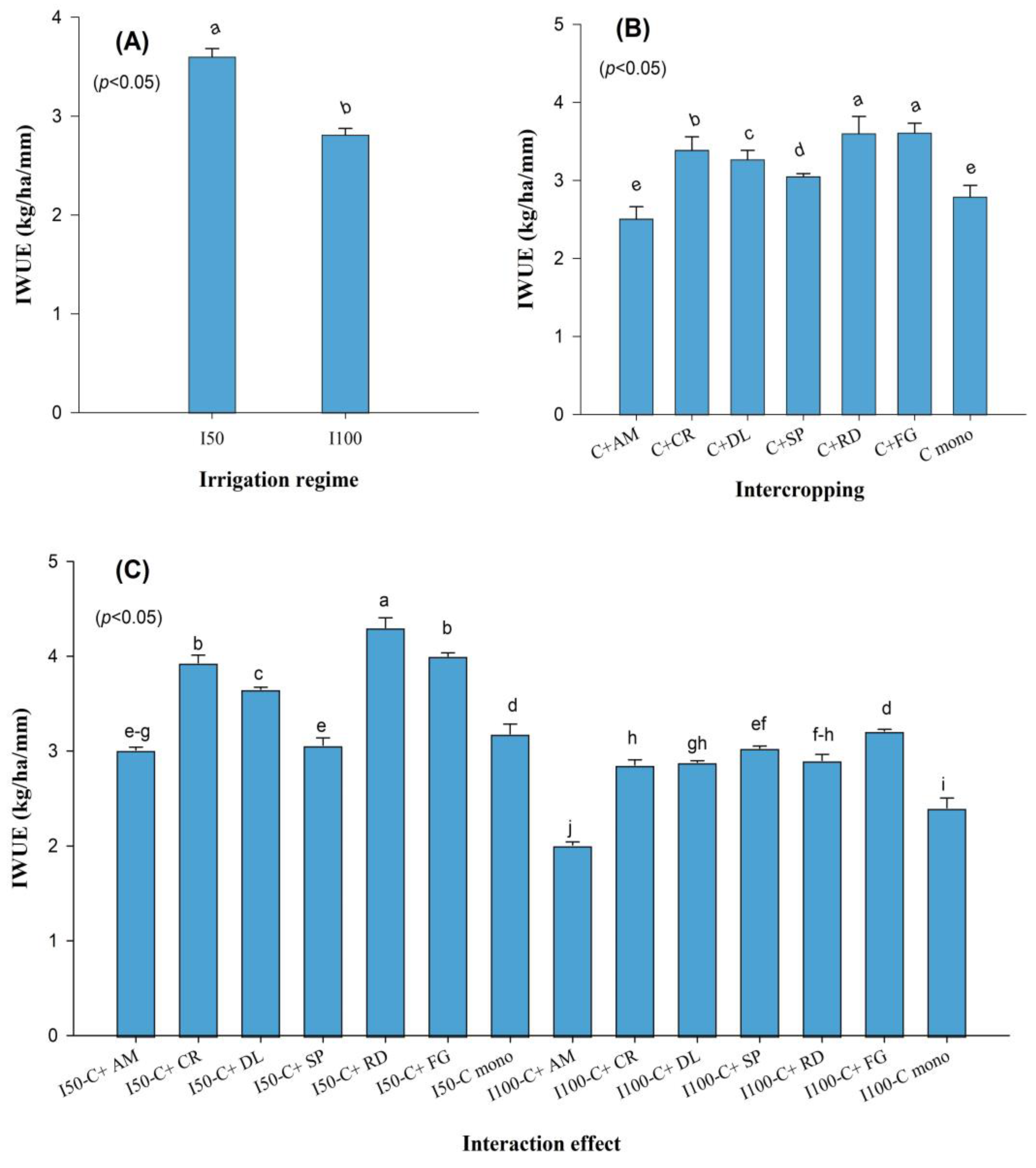
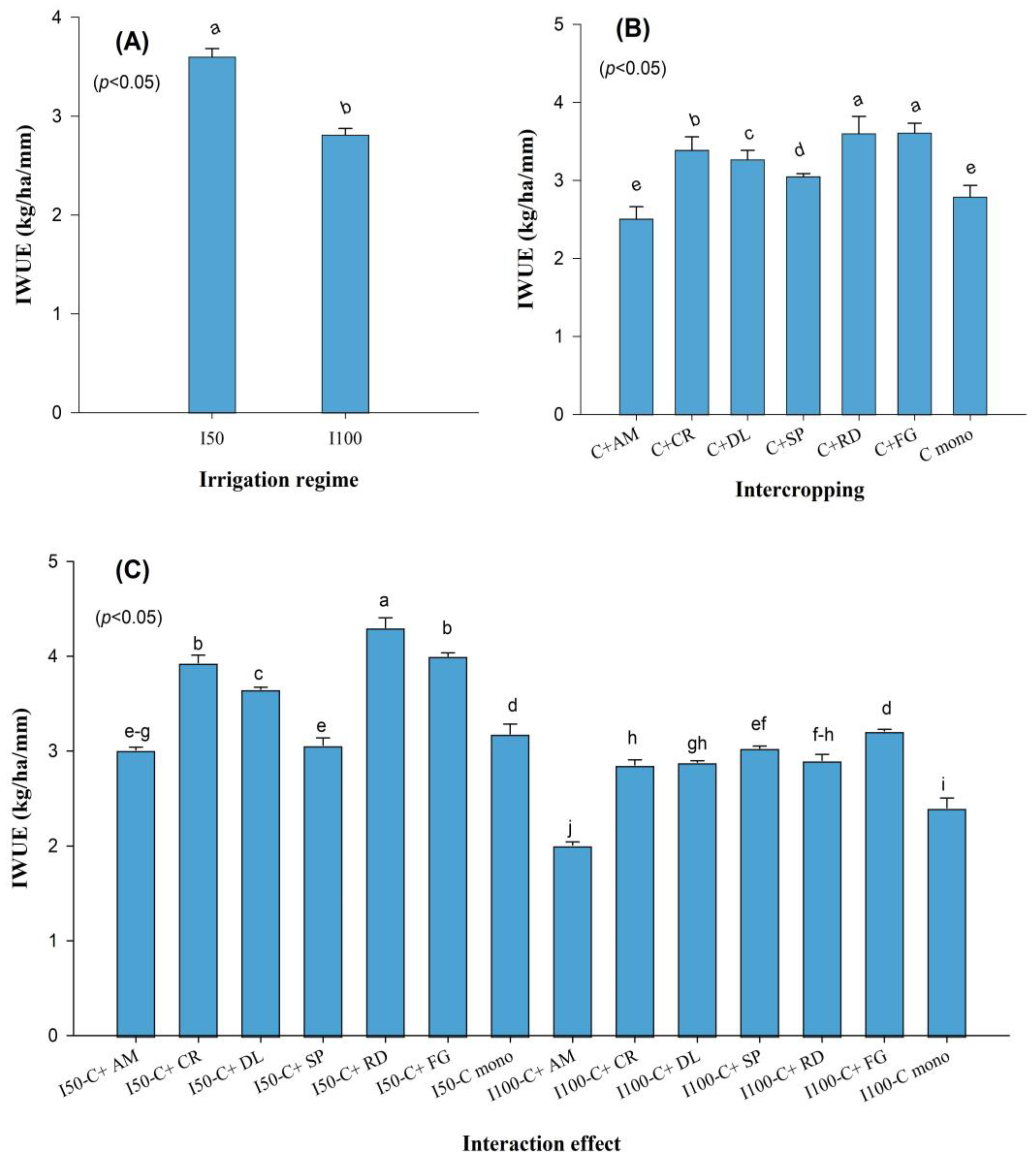
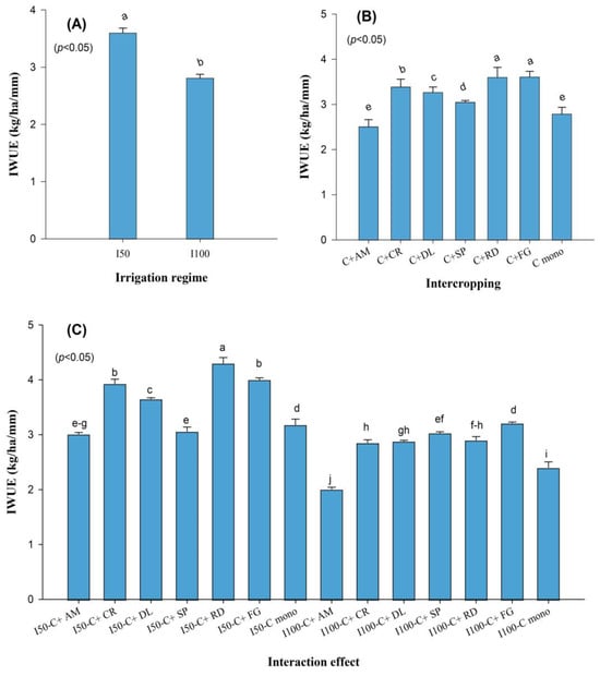
3.4. Irrigation Water Use Efficiency (IWUE)
3.5. Fatty Acid Composition of Chia Seed Oil
3.6. Interrelationship between Traits as Influenced by Irrigation and Intercropping
4. Discussion
4.1. Impact of Water Deficit on Crop Productivity
4.2. Impact of Intercrop Competition on Productivity of Chia
4.3. Impact of Water Deficit and Intercrop Competition on Quality of Chia Oil
4.4. Irrigation Water Use Efficiency (IWUE)
4.5. Competitive and Land Use Indices
5. Conclusions
Supplementary Materials
Author Contributions
Funding
Data Availability Statement
Acknowledgments
Conflicts of Interest
References
- Silva, B.P.; Anunciação, P.C.; Matyelka, J.C.D.S.; Della Lucia, C.M.; Martino, H.S.D.; Pinheiro-Sant’Ana, H.M. Chemical composition of Brazilian chia seeds grown in different places. Food Chem. 2017, 221, 1709–1716. [Google Scholar] [CrossRef] [PubMed]
- Capitani, M.; Matus-Basto, A.; Ruiz-Ruiz, J.; Santiago-García, J.; Betancur-Ancona, D.; Nolasco, S.; Tomás, M.; Segura-Campos, M. Characterization of biodegradable films based on Salvia hispanica. Food Bioprocess Technol. 2016, 9, 1276–1286. [Google Scholar] [CrossRef]
- Ayerza, R. Oil content and fatty acid composition of chia (Salvia hispanica L.) from five north-western locations in Argentina. J. Am. Oil Chem. Soc. 1995, 72, 1079–1081. [Google Scholar] [CrossRef]
- Amato, M.; Caruso, M.C.; Guzzo, F.; Galgano, F.; Commisso, M.; Bochicchio, R.; Labella, R.; Favati, F. Nutritional quality of seeds and leaf metabolites of Chia (Salvia hispanica L.) from Southern Italy. Eur. Food Res. Technol. 2015, 241, 615–625. [Google Scholar] [CrossRef]
- Chia Seed Market Snapshot. Available online: https://www.futuremarketinsights.com/reports/chia-seed-market (accessed on 17 January 2024).
- Fernandes, S.S.; Romani, V.P.; da Silva Filipini, G.; Martins, V.G. Chia seeds to develop new biodegradable polymers for food packaging: Properties and biodegradability. Polym. Eng. Sci. 2020, 60, 2214–2223. [Google Scholar] [CrossRef]
- Imran, M.; Ali, A.; Waseem, M.; Tahir, M.; Mohsin, A.U.; Shehzad, M.; Ghaffari, M.; Rehman, H. Bio-economic assessment of sunflower-mungbean intercropping system at different planting geometry. Int. Res. J. Agric. Sci. Soil Sci. 2011, 1, 126–136. [Google Scholar]
- Kumar, S.; Sharma, P.; Satyapriya, S.; Govindasamy, P.; Singh, M.; Kumar, S.; Halli, H.M.; Choudhary, B.B.; Bagavathiannan, M. Economic impression of on-farm research for sustainable crop production, milk yield, and livelihood options in semi-arid regions of central India. Agron. J. 2022, 114, 1769–1781. [Google Scholar] [CrossRef]
- Eskandari, H. Intercropping of wheat (Triticum aestivum) and bean (Vicia faba): Effects of complementarity and competition of intercrop components in resource consumption on dry matter production and weed growth. Afr. J. Biotechnol. 2011, 10, 17755–17762. [Google Scholar]
- Agegnehu, G.; Ghizaw, A.; Sinebo, W. Yield performance and land-use efficiency of barley and faba bean mixed cropping in Ethiopian high lands. Eur. J. Agron. 2006, 25, 202–207. [Google Scholar] [CrossRef]
- Fung, K.M.; Tai, A.P.K.; Yong, T.; Liu, X.; Lam, H.M. Co-benefits of intercropping as a sustainable farming method for safeguarding both food security and air quality. Environ. Res. Lett. 2019, 14, 044011. [Google Scholar] [CrossRef]
- Weisany, W.; Raei, Y.; Ghassemi-Golezani, K. Funneliformis mosseae alters seed essential oil content and composition of dill in intercropping with common bean. Ind. Crops Prod. 2016, 79, 29–38. [Google Scholar] [CrossRef]
- Mehta, R.S.; Singh, B.; Meena, S.S.; Lal, G.; Singh, R.; Aishwath, O.P. Fennel (Foeniculum vulgare Mill.) based intercropping for higher system productivity. Int. J. Seed Spices 2015, 5, 56–62. [Google Scholar]
- Maheswari, A.U.; Dewangan, Y.K.; Kumar, S. Effect of different row arrangement of linseed (Linum usitatissimum L.) and chandrasur (Lepidium sativum L.) sole and intercropping system on growth pattern, seed yield and linseed equivalent yield in Chhattisgarh plains. Pharm. Innov. J. 2022, 11, 1771–1773. [Google Scholar]
- Machiani, M.A.; Javanmard, A.; Morshedloo, M.R.; Maggi, F. Evaluation of competition, essential oil quality and quantity of peppermint intercropped with soybean. Ind. Crops Prod. 2018, 111, 743–754. [Google Scholar] [CrossRef]
- Liang, X.; Kayler, Z.; Rein, I.V.; Shaber, J.; Sapkota, B. Barley–Pulse Intercropping Improves Resource Use Efficiency and Soil Health. Crops Soil 2023, 56, 10–13. [Google Scholar] [CrossRef]
- Rezaei-Chiyaneh, E.; Amirnia, R.; Machiani, M.A.; Javanmard, A.; Maggi, F.; Morshedloo, M.R. Intercropping fennel (Foeniculum vulgare L.) with common bean (Phaseolus vulgaris L.) as affected by PGPR inoculation: A strategy for improving yield, essential oil and fatty acid composition. Sci. Hortic. 2020, 261, 10895. [Google Scholar] [CrossRef]
- Saeidi, M.; Yaghoub, R.A.E.I.; Amini, R.; Taghizadeh, A.; Pasban-Eslam, B. Changes in fatty acid and protein of safflower as response to biofertilizers and cropping system. Turk. J. Field Crop 2018, 23, 117–126. [Google Scholar] [CrossRef]
- Halli, H.M.; Hatti, V.; Gupta, G.; Raghavendra, M.; Meena, M.P.; Gouda, R. Scientific approaches for water resources management in developing countries. In Current Directions in Water Scarcity Research; Srivastav, A.L., Ed.; Elsevier Science Publishers: Amsterdam, The Netherlands, 2022; pp. 129–147. [Google Scholar]
- Zhang, F.Y.; Wu, P.T.; Zhao, X.N.; Cheng, X.F. Water-saving mechanisms of intercropping system in improving cropland water use efficiency. Chin. J. Appl. Ecol. 2012, 23, 1400–1406. [Google Scholar]
- Kadasiddappa, M.M.; Rao, V.P.; Reddy, K.Y.; Ramulu, V.; Devi, M.U.; Reddy, S.N. Effect of Irrigation (Drip/Surface) on Sunflower Growth, Seed and Oil Yield, Nutrient Uptake and Water Use Efficiency—A Review. Agric. Rev. 2017, 38, 152–158. [Google Scholar] [CrossRef]
- Herman, S.; Marco, G.; Cecilia, B.; Alfonso, V.; Luis, M.; Cristián, V.; Sebastián, P.; Sebastián, A. Effect of water availability on growth, water use efficiency and omega 3 (ALA) content in two phenotypes of chia (Salvia hispanica L.) established in the arid Mediterranean zone of Chile. Agric. Water Manag. 2016, 173, 67–75. [Google Scholar] [CrossRef]
- De Falco, B.; Fiore, A.; Bochicchio, R.; Amato, M.; Lanzotti, V. Metabolomic analysis by UAE-GC MS and antioxidant activity of Salvia hispanica (L.) seeds grown under different irrigation regimes. Ind. Crops Prod. 2018, 112, 584–592. [Google Scholar] [CrossRef]
- Ebrahimian, E.; Seyyedi, S.M.; Bybordi, A.; Damalas, C.A. Seed yield and oil quality of sunflower, safflower, and sesame under different levels of irrigation water availability. Agric. Water Manag. 2019, 218, 149–157. [Google Scholar] [CrossRef]
- Ozer, H.; Cobana, F.; Sahinb, U.; Orsb, S. Response of black cumin (Nigella sativa L.) to deficit irrigation in a semi-arid region: Growth, yield, quality, and water productivity. Ind. Crops Prod. 2020, 144, 112048. [Google Scholar] [CrossRef]
- Harisha, C.B.; Asangi, H.A.; Singh, R. Growth, yield, water use efficiency of coriander (Coriandrum sativum) affected by irrigation levels and fertigation. Indian J. Agric. Sci. 2019, 89, 1167–1172. [Google Scholar] [CrossRef]
- Hassan, I.F.; Gaballah, M.S.; Ogbaga, C.C.; Murad, S.A.; Brysiewicz, A.; Bakr, B.M.M.; Mira, A.; Alam-Eldein, S.M. Does melatonin improve the yield attributes of field-droughted banana under Egyptian semi-arid conditions? J. Water Land Dev. 2022, 52, 221–231. [Google Scholar] [CrossRef]
- Hassan, I.F.; Ajaj, R.; Gaballah, M.S.; Ogbaga, C.C.; Kalaji, H.M.; Hatterman-Valenti, H.M.; Alam-Eldein, S.M. Foliar Application of Nano-Silicon Improves the Physiological and Biochemical Characteristics of ‘Kalamata’ Olive Subjected to Deficit Irrigation in a Semi-Arid Climate. Plants 2022, 11, 1561. [Google Scholar] [CrossRef] [PubMed]
- Wakchaure, G.C.; Minhas, P.S.; Kumar, S.; Khapte, P.S.; Meena, K.K.; Rane, J.; Pathak, H. Quantification of water stress impacts on canopy traits, yield, quality and water productivity of onion (Allium cepa L.) cultivars in a shallow basaltic soil of water scarce zone. Agric. Water Manag. 2021, 249, 106824. [Google Scholar] [CrossRef]
- Rajagopal, V.; Choudhary, R.L.; Kumar, N.; Krishnani, K.K.; Singh, Y.; Bal, S.K.; Minhas, P.S.; Singh, N.P. Soil Health Status of NIASM Southern Farm Land; ICAR–National Institute of Abiotic Stress Management: Baramati, India, 2018; pp. 51–52. [Google Scholar]
- Harisha, C.B.; Narayanpur, V.B.; Rane, J.; Ganiger, V.M.; Prasanna, S.M.; Vishwanath, Y.C.; Reddi, S.G.; Halli, H.M.; Boraiah, K.M.; Basavaraj, P.S.; et al. Promising Bioregulators for Higher Water Productivity and Oil Quality of Chia under Deficit Irrigation in Semiarid Regions. Plants 2023, 12, 662. [Google Scholar] [CrossRef]
- Pask, A.J.D.; Pietragalla, J.; Mullan, D.M.; Reynolds, M.P. Physiological Breeding II: A Field Guide to Wheat Phenotyping; CIMMYT: México-Veracruz, Mexico, 2012; pp. 32–39. [Google Scholar]
- Halli, H.M.; Angadi, S.; Govindasamy, P.; Madar, R.; Sannagoudar, M.S.; El-Sabrout, A.M.; Alataway, A.; Dewidar, A.Z.; Elansary, H.O. Integrated Effect of Deficit Irrigation and Sowing Methods on Weed Dynamics and System Productivity of Maize–Cowpea Sequence on Vertisols. Agronomy 2021, 11, 808. [Google Scholar] [CrossRef]
- Halli, H.M.; Angadi, S.; Kumar, A.; Govindasamy, P.; Madar, R.; El-Ansary, D.O.; Rashwan, M.A.; Abdelmohsen, S.A.M.; Abdelbacki, A.M.M.; Mahmoud, E.A.; et al. Influence of Planting and Irrigation Levels as Physical Methods on Maize Root Morphological Traits, Grain Yield and Water Productivity in Semi-Arid Region. Agronomy 2021, 11, 294. [Google Scholar] [CrossRef]
- Amanullah; Khalid, S.; Khalil, F.; Imranuddin. Influence of irrigation regimes on competition indexes of winter and summer intercropping system under semi-arid regions of Pakistan. Sci. Rep. 2020, 10, 8129. [Google Scholar] [CrossRef] [PubMed]
- Willey, R.; Rao, M.A. Competitive ratio for quantifying competition between intercrops. Exp. Agric. 1980, 16, 117–125. [Google Scholar] [CrossRef]
- McGilchrist, C. Analysis of competition experiments. Biometrics 1965, 21, 975–985. [Google Scholar] [CrossRef]
- AOCS. American Oil Chemist’s Society Official Method Ba 3-38. Sampling and analysis of oilseed by-products. In Official Methods and Recommended Practices of the AOCS, 7th ed.; Firestone, D., Ed.; AOAC International: Urbana, IL, USA, 2017. [Google Scholar]
- AOCS. American Oil Chemist’s Society Official Method Ce 2-66: Preparation of Methyl Esters of Fatty Acids. In Official Methods and Recommended Practices of the AOCS, 7th ed.; Firestone, D., Ed.; AOAC International: Urbana, IL, USA, 2017. [Google Scholar]
- Faraji, A. Seed weight in canola as a function of assimilate supply and source-sink ratio during seed filling period. Int. J. Plant Prod. 2014, 8, 255–270. [Google Scholar]
- Silva, H.; Arriagada, C.; Campos-Saez, S.; Baginsky, C.; Castellaro-Galdames, G.; Morales-Salinas, L. Effect of sowing date and water availability on growth of plants of chia (Salvia hispanica L) established in Chile. PLoS ONE 2018, 13, e0203116. [Google Scholar] [CrossRef]
- Andrade, J.F.; Cerrudo, A.; Rizzalli, R.; Monzon, J.P. Sunflower–Soybean Intercrop Productivity under Different Water Conditions and Sowing Managements. Agron. J. 2012, 104, 1049–1055. [Google Scholar] [CrossRef]
- Singh, S.; Ram, M.; Singh, K.; Verma, B.S. Growth and yield of geranium (Pelargonium graveolens) and garlic (Allium sativum) in intercropping system. Indian J. Agric. Res. 2011, 45, 179–187. [Google Scholar]
- Xie, Y.; Kristensen, H.L. Intercropping leek (Allium porrum L.) with dyer’s woad (Isatis tinctoria L.) increases rooted zone and agro-ecosystem retention of nitrogen. Eur. J. Agron. 2017, 82, 21–32. [Google Scholar] [CrossRef]
- Boori, P.K.; Shivran, A.C.; Meena, S.; Giana, G.K. Growth and productivity of fennel (Foeniculum vulgare Mill.) as influenced by intercropping with fenugreek (Trigonella Foenum-Graecum L.) and sulphur fertilization. Agric. Sci. Dig. 2017, 37, 32–36. [Google Scholar]
- Mahalakshmi, M.; Subramanian, E.; Gurusamy, A.; Senthil, K. Irrigation Scheduling and Intercropping on Growth and Yield of Aerobic Rice. Int. J. Curr. Microbiol. Appl. Sci. 2020, 9, 2867–2872. [Google Scholar] [CrossRef]
- Rasul, S.A.; Ali, K.A. Study the allelopathic effect of radish by incorporate into soil on some poaceae species. Plant Arch. 2020, 20, 3624–3627. [Google Scholar]
- Heinrich, A.; Smith, R.; Cah, M. Nutrient and Water Use of Fresh Market Spinach. Hort Technol. 2013, 23, 325–333. [Google Scholar] [CrossRef]
- Bettaieb, I.; Zakhama, N.; Wannes, W.A.; Kchouk, M.E.; Marzouk, B. Water deficit effects on Salvia officinalis fatty acids and essential oils composition. Sci. Hortic. 2009, 120, 271–275. [Google Scholar] [CrossRef]
- Flagella, Z.; Rotunno, T.; Tarantino, E.; Di Caterina, R.; De Caro, A. Changes in seed yield and oil fatty acid composition of high oleic sunflower (Helianthus annuus L.) hybrids in relation to the sowing date and water regime. Eur. J. Agron. 2002, 17, 221–230. [Google Scholar] [CrossRef]
- Bellaloui, N.; Mengistu, A.; Kassem, M.A. Effects of genetics and environment on fatty acid stability in soybean seed. Food Nutr. Sci. 2013, 4, 165–175. [Google Scholar] [CrossRef]
- Sánchez-Martín, J.; Canales, F.J.; Tweed, J.K.S.; Lee, M.R.F.; Rubiales, D.; Gómez-Cadenas, A.; Arbona, V.; Mur, L.A.J.; Prats, E. Fatty Acid Profile Changes during Gradual Soil Water Depletion in Oats Suggests a Role for Jasmonates in Coping with Drought. Front. Plant Sci. 2018, 9, 1077. [Google Scholar] [CrossRef]
- Oliva, M.L.; Shannon, J.G.; Sleper, D.A.; Ellersieck, M.R.; Cardinal, A.J.; Paris, R.L.; Lee, J.D. Stability of fatty acid profile in soybean genotypes with modified seed oil composition. Crop Sci. 2006, 46, 2069–2075. [Google Scholar] [CrossRef]
- Schröder, D.; Köpke, U. Faba bean (Vicia faba L.) intercropped with oil crops—A strategy to enhance rooting density and to optimize nitrogen use and grain production? Field Crops Res. 2012, 135, 74–81. [Google Scholar] [CrossRef]
- Wang, J.; Huang, H.J.; Jia, S.; Zhong, X.M.; Li, F.H.; Zhang, K.Y.; Shi, Z.S. Photosynthesis and chlorophyll fluorescence reaction to different shade stresses of weak light sensitive maize. Pak. J. Bot. 2017, 49, 1681–1688. [Google Scholar]
- Hatfield, J.L.; Dold, C. Water-Use Efficiency: Advances and Challenges in a Changing Climate. Front. Plant Sci. 2019, 10, 103. [Google Scholar] [CrossRef]
- Ucan, K.; Killi, F.; Gençoğlan, C.; Merdun, H. Effect of irrigation frequency and amount on water use efficiency and yield of sesame (Sesamum indicum L.) under field conditions. Field Crops Res. 2007, 101, 249–258. [Google Scholar] [CrossRef]
- Abd El-Lattief, E.A. Safflower yields and water use efficiency as affected by irrigation at different soil moisture depletion levels and plant population density under arid conditions. Arch. Agron. Soil. Sci. 2013, 59, 1545–1557. [Google Scholar] [CrossRef]
- Chen, G.; Kong, X.; Gan, Y.; Zhang, R.; Feng, F.; Yu, A.; Zhao, C.; Wan, S.; Chai, Q. Enhancing the systems productivity and water use efficiency through coordinated soil water sharing and compensation in strip-intercropping. Sci. Rep. 2018, 8, 10494. [Google Scholar] [CrossRef] [PubMed]
- Ouda, S.A.; Hefny, Y.A.A.; Abdel-Wahab, T.I.; Abdel-Wahab, S.I. Competitiveness and profitability of intercropping sunflower with peanut under different irrigation water levels and potassium fertilizer rates. Agric. Sci. 2018, 9, 1007–1031. [Google Scholar] [CrossRef]
- Singh, B.; Aulakh, C.S.; Walia, S.S. Productivity and water use of organic wheat–chickpea intercropping system under limited moisture conditions in Northwest India. Renew. Agric. Food Syst. 2017, 34, 134–143. [Google Scholar] [CrossRef]
- El-Sherif, A.M.A.; Ali, M.M. Effect of deficit irrigation and soybean/maize intercropping on yield and water use efficiency. Int. J. Curr. Microbiol. Appl. Sci. 2015, 4, 777–794. [Google Scholar]
- Pankou, C.; Lithourgidis, A.; Dordas, C. 2021. Effect of Irrigation on Intercropping Systems of Wheat (Triticum aestivum L.) with Pea (Pisum sativum L.). Agronomy 2021, 11, 283. [Google Scholar] [CrossRef]
- Bantie, Y.B.; Abera, F.A.; Woldegiorgis, T.D. Competition Indices of Intercropped Lupine (Local) and Small Cereals in Additive Series in West Gojam, North Western Ethiopia. Am. J. Plant Sci. 2014, 5, 1296–1305. [Google Scholar] [CrossRef]
- Banik, P.; Samsal, T.; Ghosal, P.K.; Bagchi, D.K. Evaluation of Mustard and Legume Intercropping under 1:1 and 1:2 Row Replacement Series System. J. Agron. Crop Sci. 2000, 185, 9–14. [Google Scholar] [CrossRef]
- Yilmaz, Ş.; Özel, A.; Atak, M.; Erayman, M. Effects of seeding rates on competition indices of barley and vetch intercropping systems in the eastern Mediterranean. Turk. J. Agric. For. 2015, 39, 135–143. [Google Scholar] [CrossRef]
- Lithourgidis, A.S.; Vlachostergios, D.N.; Dordas, C.A.; Damalas, C.A. Dry matter yield, nitrogen content, and competition in pea–cereal intercropping systems. Eur. J. Agron. 2011, 34, 287–294. [Google Scholar] [CrossRef]
- Barillot, R.; Escobar-Gutiérrez, A.J.; Fournier, C.; Huynh, P.; Combes, D. Assessing the effects of architectural variations on light partitioning within virtual wheat–pea mixtures. Ann. Bot. 2014, 114, 25–737. [Google Scholar] [CrossRef] [PubMed]







| Treatments | Water Applied (mm) | Common Irrigation (mm) | Rainfall (mm) | Total Water Supplied (mm) | |||
|---|---|---|---|---|---|---|---|
| 2020–2021 | 2021–2022 | 2020–2021 & 2021–2022 | 2020–2021 | 2021–2022 | 2020–2021 | 2021–2022 | |
| I50 (at 50% ETo *) | 145.2 | 132.7 | 50 | 10.6 | 20.0 | 205.8 | 202.7 |
| I100 (at 100% ETo) | 290.5 | 265.5 | 50 | 10.6 | 20.0 | 351.1 | 335.5 |
| Number of irrigations (scheduled time; DAS *) | 8 (7, 13, 20, 30, 41, 54, 60 & 69) | 7 (10, 23, 32, 41, 54, 64 & 75) | - | ||||
| Treatments | NDVI * | Canopy Temperature (°C) | Number of Spikes per Plant | Spike Length (cm) | 1000 Seed Weight (g) | Seed Yield (kg ha−1) | Harvest Index (%) | Oil Content (%) |
|---|---|---|---|---|---|---|---|---|
| Irrigation (I) | ||||||||
| I50 (50% ETo *) | 0.54 b | 30.3 b | 15.8 b | 14.8 b | 1.17 b | 525.2 b | 23.12 a | 34.17 b |
| I100 (100% ETo) | 0.62 a | 29.1 a | 19.6 a | 17.7 a | 1.19 a | 627.6 a | 20.40 b | 35.98 a |
| p value | <0.0001 | <0.0001 | <0.0001 | <0.0001 | <0.0001 | <0.0001 | <0.0001 | <0.0001 |
| CV (%) | 9.8 | 2.9 | 15.2 | 12.6 | 1.2 | 12.6 | 8.8 | 3.6 |
| Intercropping (IC) | ||||||||
| Chia + amaranthus | 0.59 bc | 29.7 ab | 17.3 bc | 15.6 cd | 1.18 b | 550.7 d | 20.80 b | 34.36 b |
| Chia + coriander | 0.57 bc | 29.6 ab | 18.8 ab | 16.8 bc | 1.19 ab | 604.2 bc | 20.82 b | 35.54 ab |
| Chia + dill | 0.57 bc | 29.8 ab | 17.7 bc | 16.1 c | 1.18 ab | 567.0 cd | 19.63 bc | 35.21 ab |
| Chia + spinach | 0.54 d | 30.2 b | 14.8 d | 14.6 d | 1.18 b | 498.2 d | 26.30 a | 33.87 b |
| Chia + radish | 0.59 bc | 30.4 b | 15.7 cd | 14.3 d | 1.17 b | 480.7 d | 25.87 a | 34.24 b |
| Chia + fenugreek | 0.60 b | 29.3 a | 19.2 ab | 17.7 ab | 1.19 ab | 628.2 b | 19.12 c | 35.54 ab |
| Chia monocrop | 0.64 a | 29.0 a | 20.8 a | 18.7 a | 1.19 a | 706.1 a | 19.81 bc | 36.77 a |
| p value | <0.0001 | <0.0001 | <0.0001 | <0.0001 | <0.0001 | <0.0001 | <0.0001 | <0.0001 |
| CV (%) | 5.3 | 1.6 | 11.6 | 9.8 | 0.6 | 13.5 | 13.9 | 2.8 |
| Year (Y) | ||||||||
| 2020–2021 | 0.57 a | 29.4 a | 17.45 a | 17.7 a | 1.12 a | 581.29 a | 21.66 a | 35.29 a |
| 2021–2022 | 0.58 a | 30.1 a | 18.02 a | 14.8 b | 1.14 a | 571.57 b | 21.87 a | 34.87 a |
| p value | NS | NS | NS | <0.0001 | NS | 0.026 | NS | NS |
| CV (%) | - | - | - | 12.6 | - | 1.2 | - | - |
| Interaction (I × IC) | ||||||||
| I50-chia + amaranthus | 0.55 de | 30.3 a–c | 15.6 e–g | 14.0 f–h | 1.17 de | 525.9 fg | 22.22 bc | 33.59 cd |
| I50-chia + coriander | 0.56 de | 30.3 a–c | 17.8 c–e | 15.4 e–g | 1.18 b–e | 548.6 d–f | 21.78 b–d | 34.58 b–d |
| I50-chia + dill | 0.54 de | 30.4 a–c | 16.1 d–g | 14.6 f–h | 1.17 c–e | 529.6 f | 20.73 c–e | 34.18 b–d |
| I50-chia + spinach | 0.49 f | 30.9 ab | 13.5 g | 13.5 gh | 1.17 de | 455.7 gh | 28.72 a | 32.81 d |
| I50-chia + radish | 0.52 ef | 31.0 a | 14.1 gf | 12.9 h | 1.17 e | 437.0 h | 28.45 a | 33.62 cd |
| I50-chia + fenugreek | 0.57 c–e | 30.0 a–d | 16.0 d–g | 16.0 d–f | 1.18 b–e | 562.8 d–f | 19.56 de | 34.47 b–d |
| I50-chia monocrop | 0.58 b–d | 29.8 a–e | 18.0 c–e | 17.1 c–e | 1.18 b–e | 617.3 cd | 20.39 c–e | 35.97 a–c |
| I100-chia + amaranthus | 0.58 b–d | 29.3 c–e | 18.9 c–e | 17.1 c–e | 1.19 a–e | 575.5 d–f | 19.37 de | 35.14 a–d |
| I100-chia + coriander | 0.62 b | 29.1 c–e | 19.8 bc | 18.2 a–c | 1.19 a–d | 659.8 bc | 19.86 c–e | 36.51 a–c |
| I100-chia + dill | 0.58 b–d | 29.4 b–e | 19.2 b–d | 17.7 b–d | 1.19 a–c | 604.3 c–e | 18.53 e | 36.24 a–c |
| I100-chia + spinach | 0.61 bc | 29.6 a–e | 16.1 d–g | 15.7 d–f | 1.18 a–e | 540.7 ef | 23.88 b | 34.94 a–d |
| I100-chia + radish | 0.61 bc | 29.8 a–e | 17.3 c–f | 15.7 d–f | 1.18 b–e | 524.4 fg | 23.29 b | 34.87 a–d |
| I100-chia + fenugreek | 0.62 b | 28.7 de | 22.3 ab | 19.4 ab | 1.20 ab | 693.5 b | 18.67 e | 36.60 ab |
| I100-chia monocrop | 0.69 a | 28.4 e | 23.7 a | 20.3 a | 1.21 a | 794.9 a | 19.22 e | 37.57 a |
| p value | <0.0001 | <0.0001 | 0.010 | 0.009 | NS | 0.0006 | 0.0002 | NS |
| CV (%) | 8.5 | 2.6 | 16.3 | 13.4 | - | 16.3 | 15.3 | - |
| Treatments | CEY (kg ha−1) | Land Equivalent Ratio | Land Use Efficiency | Competition Ratio | Area Time Equivalent Ratio | Agrresivity * |
|---|---|---|---|---|---|---|
| Irrigation (I) | ||||||
| I50 (50% ETo) | 747.4 b | 1.57 a | 129.6 a | 1.71 a | 1.01 a | 0.85 |
| I100 (100% ETo) | 965.0 a | 1.54 b | 126.5 b | 1.55 b | 0.98 b | 0.70 |
| p value | <0.0001 | 0.0014 | <0.0001 | <0.0001 | <0.0001 | - |
| CV (%) | 18.0 | 1.4 | 1.7 | 6.9 | 2.1 | - |
| Intercropping (IC) | ||||||
| Chia + amaranthus | 651.8 e | 1.57 c | 131.2 b | 1.88 b | 1.06 b | 1.10 |
| Chia + coriander | 886.9 c | 1.64 a | 136.1 a | 1.97 b | 1.08 b | 1.20 |
| Chia + dill | 867.6 c | 1.65 a | 137.7 a | 1.91 b | 1.10 a | 1.14 |
| Chia + spinach | 834.6 d | 1.41 d | 112.6 c | 0.97 c | 0.84 c | −0.03 |
| Chia + radish | 936.3 b | 1.39 d | 112.3 c | 0.96 c | 0.86 c | −0.05 |
| Chia + fenugreek | 959.8 a | 1.70 a | 138.3 a | 2.11 a | 1.07 b | 1.33 |
| p value | <0.0001 | <0.0001 | <0.0001 | <0.0001 | <0.0001 | - |
| CV (%) | 12.8 | 8.4 | 9.6 | 32.1 | 11.8 | - |
| Year (Y) | ||||||
| 2020–2021 | 859.1 a | 1.60 a | 132.5 a | 1.61 a | 1.04 a | 0.79 |
| 2021–2022 | 853.3 a | 1.50 b | 123.6 b | 1.65 a | 0.96 b | 0.77 |
| p value | NS | <0.0001 | <0.0001 | NS | <0.0001 | - |
| CV (%) | - | 2.4 | 9.1 | - | 1.6 | |
| Interaction (I × IC) | ||||||
| I50-chia + amaranthus | 617.2 h | 1.65 b | 137.9 ab | 1.99 bc | 1.11 ab | 1.23 |
| I50-chia + coriander | 800.9 e | 1.65 b | 138.6 ab | 2.12 ab | 1.12 a | 1.35 |
| I50-chia + dill | 746.7 f | 1.63 b | 137.3 ab | 1.99 bc | 1.11 ab | 1.22 |
| I50-chia + spinach | 629.4 h | 1.36 e | 108.9 e | 0.98 e | 0.82 e | −0.03 |
| I50-chia + radish | 876.7 d | 1.37 e | 112.2 de | 0.96 e | 0.87 e | −0.06 |
| I50-chia + fenugreek | 813.5 e | 1.77 a | 142.5 a | 2.23 a | 1.08 a–c | 1.43 |
| I100-chia + amaranthus | 686.5 g | 1.48 c | 123.7 c | 1.78 d | 0.99 d | 0.92 |
| I100-chia + coriander | 972.8 c | 1.63 b | 134.3 b | 1.82 cd | 1.06 bc | 1.05 |
| I100-chia + dill | 988.6 c | 1.67 b | 138.0 ab | 1.82 cd | 1.10 a–c | 1.07 |
| I100-chia + spinach | 1039.8 b | 1.46 cd | 116.4 d | 0.97 e | 0.87 e | −0.04 |
| I100-chia + radish | 996.0 c | 1.40 de | 112.4 de | 0.97 e | 0.85 e | −0.04 |
| I100-chia + fenugreek | 1106.2 a | 1.63 b | 134.2 b | 1.99 bc | 1.05 c | 1.22 |
| p value | <0.0001 | <0.0001 | <0.0001 | <0.0001 | <0.0001 | - |
| CV (%) | 19.3 | 8.8 | 9.7 | 31.0 | 11.6 | - |
| Treatments | Palmitic Acid (%) | Stearic Acid (%) | Oleic Acid (%) | Linoleic Acid (%) | α-Lenolenic Acid (%) |
|---|---|---|---|---|---|
| Irrigation (I) | |||||
| I50 (50% ETo *) | 9.72 a | 4.77 a | 8.69 a | 22.96 b | 53.83 b |
| I100 (100% ETo) | 8.94 b | 4.70 a | 7.88 b | 23.79 a | 54.67 a |
| p value | <0.0001 | NS | <0.0001 | <0.0001 | <0.0001 |
| CV (%) | 5.9 | - | 6.9 | 2.5 | 1.1 |
| Intercropping (IC) | |||||
| Chia + amaranthus | 9.53 ab | 4.51 b | 9.62 a | 24.08 a | 52.23 e |
| Chia + coriander | 8.92 bc | 4.52 b | 8.44 b | 22.97 c | 55.12 ab |
| Chia + dill | 5.57 c | 4.60 b | 8.39 b | 24.05 a | 54.36 bc |
| Chia + spinach | 9.75 a | 5.37 a | 8.09 bc | 22.96 c | 53.81 dc |
| Chia + radish | 9.76 a | 5.17 a | 8.40 b | 23.34 b | 53.32 d |
| Chia + fenugreek | 9.48 ab | 4.54 b | 7.13 d | 23.02 c | 55.82 a |
| Chia monocrop | 9.31 ab | 4.44 b | 7.91 c | 23.21 b | 55.11 ab |
| p value | <0.0001 | <0.0001 | <0.0001 | <0.0001 | <0.0001 |
| CV (%) | 16.8 | 7.9 | 9.8 | 2.1 | 2.3 |
| Interaction (I × IC) | |||||
| I50-chia + amaranthus | 9.81 bc | 4.89 bc | 9.83 a | 24.35 a | 51.11 f |
| I50-chia + coriander | 8.86 cd | 4.25 e–g | 8.71 cd | 22.46 f | 55.38 ab |
| I50-chia + dill | 8.86 cd | 4.33 ef | 8.62 d | 23.49 cd | 54.68 b–e |
| I50-chia + spinach | 11.21 a | 5.87 | 8.02 ef | 21.31 g | 53.57 de |
| I50-chia + radish | 10.79 ab | 5.88 a | 9.24 bc | 22.23 f | 51.85 f |
| I50-chia + fenugreek | 9.23 cd | 3.92 g | 8.15 de | 23.72 bc | 54.97 b–d |
| I50-chia monocrop | 9.30 cd | 4.29 ef | 8.26 de | 23.15 e | 54.98 b–d |
| I100-chia + amaranthus | 9.26 cd | 4.14 fg | 9.42 ab | 23.81 b | 53.36 e |
| I100-chia + coriander | 8.99 cd | 4.80 b–d | 8.17 de | 23.48 cd | 54.54 b–e |
| I100-chia + dill | 8.29 d | 4.88 bc | 8.17 de | 24.60 a | 54.05 c–e |
| I100-chia + spinach | 8.29 d | 4.88 bc | 8.17 de | 24.60 a | 54.05 c–e |
| I100-chia + radish | 8.73 cd | 4.47 d–f | 7.56 f | 24.44 a | 54.79 b–e |
| I100-chia + fenugreek | 9.73 bc | 5.16 b | 6.11 g | 22.32 f | 56.68 a |
| I100-chia monocrop | 9.32 cd | 4.60 c–e | 7.56 f | 23.27 de | 55.24 a–c |
| p value | <0.0001 | <0.0001 | <0.0001 | <0.0001 | <0.0001 |
| CV (%) | 9.0 | 12.5 | 11.0 | 4.3 | 2.7 |
Disclaimer/Publisher’s Note: The statements, opinions and data contained in all publications are solely those of the individual author(s) and contributor(s) and not of MDPI and/or the editor(s). MDPI and/or the editor(s) disclaim responsibility for any injury to people or property resulting from any ideas, methods, instructions or products referred to in the content. |
© 2024 by the authors. Licensee MDPI, Basel, Switzerland. This article is an open access article distributed under the terms and conditions of the Creative Commons Attribution (CC BY) license (https://creativecommons.org/licenses/by/4.0/).
Share and Cite
Harisha, C.B.; Rane, J.; Halagunde Gowda, G.R.; Chavan, S.B.; Chaudhary, A.; Verma, A.K.; Ravi, Y.; Asangi, H.; Halli, H.M.; Boraiah, K.M.; et al. Effect of Deficit Irrigation and Intercrop Competition on Productivity, Water Use Efficiency and Oil Quality of Chia in Semi-Arid Regions. Horticulturae 2024, 10, 101. https://doi.org/10.3390/horticulturae10010101
Harisha CB, Rane J, Halagunde Gowda GR, Chavan SB, Chaudhary A, Verma AK, Ravi Y, Asangi H, Halli HM, Boraiah KM, et al. Effect of Deficit Irrigation and Intercrop Competition on Productivity, Water Use Efficiency and Oil Quality of Chia in Semi-Arid Regions. Horticulturae. 2024; 10(1):101. https://doi.org/10.3390/horticulturae10010101
Chicago/Turabian StyleHarisha, Chowdasandra Byregowda, Jagadish Rane, Gopikunte Ramegowda Halagunde Gowda, Sangram Bhanudas Chavan, Amresh Chaudhary, Arvind Kumar Verma, Yathendranaik Ravi, Honnappa Asangi, Hanamant Mudukappa Halli, Karnar Manjanna Boraiah, and et al. 2024. "Effect of Deficit Irrigation and Intercrop Competition on Productivity, Water Use Efficiency and Oil Quality of Chia in Semi-Arid Regions" Horticulturae 10, no. 1: 101. https://doi.org/10.3390/horticulturae10010101
APA StyleHarisha, C. B., Rane, J., Halagunde Gowda, G. R., Chavan, S. B., Chaudhary, A., Verma, A. K., Ravi, Y., Asangi, H., Halli, H. M., Boraiah, K. M., Basavaraj, P. S., Kumar, P., & Reddy, K. S. (2024). Effect of Deficit Irrigation and Intercrop Competition on Productivity, Water Use Efficiency and Oil Quality of Chia in Semi-Arid Regions. Horticulturae, 10(1), 101. https://doi.org/10.3390/horticulturae10010101

