Effects of Dendrobium officinale on the Quality of Rice Wine Fermented Separately by Saccharomyces cerevisiae and Wickerhamomyces anomalus: Physicochemical Indices, Volatile Compounds and Nonvolatile Metabolites
Abstract
1. Introduction
2. Materials and Methods
2.1. Chemicals and Reagents
2.2. Rice Wine Fermentation
2.3. Sensory Evaluation and Determination of Physicochemical Indices
2.4. Determination of the Content of the Active Substance
2.5. Determination of Volatile Flavor Substances in Rice Wine
2.6. Sample Preparation and Analysis of Metabolites
2.7. Statistical Analysis
3. Results and Discussion
3.1. Sensory Analysis and Basic Physicochemical Indexes of Rice Wine
3.2. Analysis of Active Substances
3.3. Analysis of Free Amino Acids
3.4. Analysis of Volatile Flavor Substances in Rice Wine
3.4.1. Comparative Analysis of Volatile Components Classification
3.4.2. Cluster Analysis of Volatile Flavor Substances in Rice Wine
3.5. Untargeted Metabolomics Analysis of Rice Wine
3.5.1. Metabolite Classification Statistics and PCA Analysis
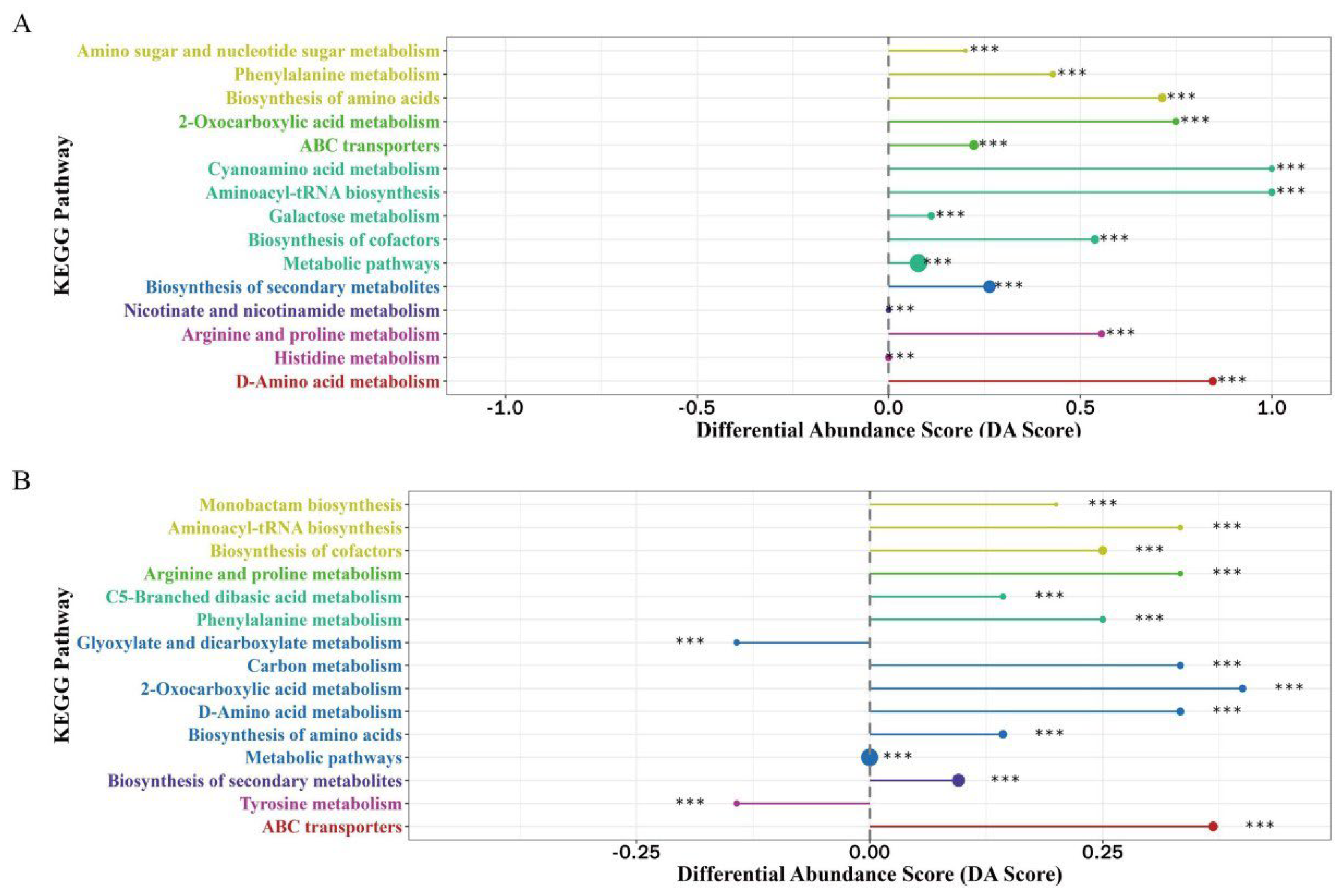
3.5.2. Analysis of the Enrichment of the KEGG Metabolite Pathway
3.5.3. Effect of D. officinale on the Enrichment of the Metabolite Pathway of Fermented Rice Wine
4. Conclusions
Supplementary Materials
Author Contributions
Funding
Institutional Review Board Statement
Informed Consent Statement
Data Availability Statement
Conflicts of Interest
References
- Xu, X.; Zhang, C.; Wang, N.; Xu, Y.; Tang, G.; Xu, L.; Feng, Y. Bioactivities and Mechanism of Actions of Dendrobium officinale: A Comprehensive Review. Oxidative Med. Cell. Longev. 2022, 22, 6293355. [Google Scholar] [CrossRef] [PubMed]
- Jiang, W.S.; Ruan, W.F.; Wang, Z.Q. Dendrobium officinale polysaccharide inhibits vascular calcification via anti-inflammatory and anti-apoptotic effects in chronic kidney disease. FASEB J. 2022, 36, e22504. [Google Scholar] [CrossRef] [PubMed]
- Zhang, K.; Zhou, X.T.; Wang, J.Q.; Zhou, Y.J.; Qi, W.C.; Chen, H.H.; Nie, S.P.; Xie, M.Y. Dendrobium officinale polysaccharide triggers mitochondrial disorder to induce colon cancer cell death via ROS-AMPK-autophagy pathway. Carbohydr. Polym. 2021, 264, 118018. [Google Scholar] [CrossRef] [PubMed]
- Sauer, S.; Dlugosch, L.; Milke, F.; Brinkhoff, T.; Kammerer, D.R.; Stintzing, F.C.; Simon, M. Succession of Bacterial and Fungal Communities during Fermentation of Medicinal Plants. Fermentation 2022, 8, 383. [Google Scholar] [CrossRef]
- Wang, Y.; Jung, Y.J.; Kim, K.H.; Kwon, Y.; Kim, Y.J.; Zhang, Z.; Kang, H.S.; Wang, B.Z.; Quan, F.S.; Kang, S.M. Antiviral Activity of Fermented Ginseng Extracts against a Broad Range of Influenza Viruses. Viruses 2018, 10, 471. [Google Scholar] [CrossRef]
- Eom, S.J.; Hwang, J.E.; Jung, J.; Jee, H.-S.; Kim, K.-T.; Paik, H.-D. Short communication: Antioxidative and antibacterial activities on Staphylococcus aureus and Escherichia coli O157:H4 in milk with added ginseng marc extract fermented by Lactobacillus plantarum KCCM 11613P. J. Dairy Sci. 2017, 100, 7788–7792. [Google Scholar] [CrossRef]
- Zhang, B.; Li, W.; Dong, M. Flavonoids of Kudzu Root Fermented by Eurtotium cristatum Protected Rat Pheochromocytoma Line 12 (PC12) Cells against H2O2-Induced Apoptosis. Int. J. Mol. Sci. 2017, 18, 2754. [Google Scholar] [CrossRef]
- Xiao, Y.; Han, F.; Lee, I.-S. Biotransformation of the Phenolic Constituents from Licorice and Cytotoxicity Evaluation of Their Metabolites. Int. J. Mol. Sci. 2021, 22, 10109. [Google Scholar] [CrossRef]
- Zhao, C.; Su, W.; Mu, Y.C.; Jiang, L.; Mu, Y. Correlations between microbiota with physicochemical properties and volatile flavor components in black glutinous rice wine fermentation. Food Res. Int. 2020, 138, 109800. [Google Scholar] [CrossRef]
- Yang, H.Y.; Peng, Q.; Zhang, H.B.; Sun, J.Q.; Shen, C.; Han, X.Y. The volatile profiles and microbiota structures of the wheat Qus used as traditional fermentation starters of Chinese rice wine from Shaoxing region. LWT 2022, 154, 112649. [Google Scholar] [CrossRef]
- Borren, E.; Tian, B. The Important Contribution of Non-Saccharomyces Yeasts to the Aroma Complexity of Wine: A Review. Foods 2021, 10, 13. [Google Scholar] [CrossRef] [PubMed]
- Shiqi, L.; Pengfei, B.; Nan, S.; Zhiyi, G.; Xiaowen, C.; Jing, G. Characterization of different non-Saccharomyces yeasts via mono-fermentation to produce polyphenol-enriched and fragrant kiwi wine. Food Microbiol. 2021, 103, 103867. [Google Scholar]
- Chua, J.Y.; Lu, Y.; Liu, S.Q. Evaluation of five commercial non-Saccharomyces yeasts in fermentation of soy (tofu) whey into an alcoholic beverage. Food Microbiol. 2018, 76, 533–542. [Google Scholar] [CrossRef]
- Del Fresno, J.M.; Morata, A.; Loira, I.; Bañuelos, M.A.; Escott, C.; Benito, S.; González Chamorro, C.; Suárez-Lepe, J.A. Use of non-Saccharomyces in single-culture, mixed and sequential fermentation to improve red wine quality. Eur. Food Res. Technol. 2017, 243, 2175–2185. [Google Scholar] [CrossRef]
- Chunxiao, W.; Jiadai, T.; Shuyi, Q. Profiling of Fungal Diversity and Fermentative Yeasts in Traditional Chinese Xiaoqu. Front. Microbiol. 2020, 11, 2103. [Google Scholar]
- Chen, F.; Huang, G. Antioxidant activity of polysaccharides from different sources of ginseng. Int. J. Biol. Macromol. 2018, 125, 906–908. [Google Scholar] [CrossRef] [PubMed]
- Juan, M.-P.; Yuranis, J.-A.; Eduardo, S.-T.; Dario, G.-D.Á.; Karina, A.O. Variables Affecting Delignification of Corn Wastes Using Urea for Total Reducing Sugars Production. ACS Omega 2020, 5, 12196–12201. [Google Scholar]
- Blanca, E.-L.; Isabel, C.; Griselda, H.-M.; Damaso, H.-M.; Angel, G.-I.; Sonia, M.; Federico, F.; Genoveva, B.; Francisco, M.; Maria-Soledad, F.-P. Fermented orange juice: Source of higher carotenoid and flavanone contents. J. Agric. Food Chem. 2013, 61, 8773–8782. [Google Scholar]
- Yan, S.; Xiangsong, C.; Xiang, X. Improvement of the aroma of lily rice wine by using aroma-producing yeast strain Wickerhamomyces anomalus HN006. AMB Express 2019, 9, 89. [Google Scholar] [CrossRef]
- Yu, H.; Xie, T.; Xie, J.; Ai, L.; Tian, H. Characterization of key aroma compounds in Chinese rice wine using gas chromatography-mass spectrometry and gas chromatography-olfactometry. Food Chem. 2019, 293, 8–14. [Google Scholar] [CrossRef] [PubMed]
- Xu, N.; Ren, Z.; Zhang, J.; Song, X.; Gao, Z.; Jing, H.; Li, S.; Wang, S.; Jia, L. Antioxidant and anti-hyperlipidemic effects of mycelia zinc polysaccharides by Pleurotus eryngii var. tuoliensis. Int. J. Biol. Macromol. 2017, 95, 204–214. [Google Scholar] [CrossRef] [PubMed]
- Gaensly, F.; Agustini, B.C.; Silva, G.A.d.; Picheth, G.; Bonfim, T.M.B. Autochthonous yeasts with β-glucosidase activity increase resveratrol concentration during the alcoholic fermentation of Vitis labrusca grape must. J. Funct. Foods 2015, 19, 288–295. [Google Scholar] [CrossRef]
- Lixia, W.; ChiYu, L.; Chen, H.; PiSen, G.; MengZong, L.; ShaoHua, Z. Purification and Structural Characterization of Dendrobium officinale Polysaccharides and Its Activities. Chem. Biodivers. 2021, 18, e2001023. [Google Scholar]
- Li, Y.Y.; Lyu, C.H.; Wu, G.; Zheng, Z.B.; Luo, Y.B.; Qin, S. Research progress on molecular mechanism of Dendrobium officinale and its active components to metabolic syndrome. China J. Chin. Mater. Med. 2019, 44, 5102–5108. [Google Scholar]
- Wang, Y.-H. Traditional Uses and Pharmacologically Active Constituents of Dendrobium Plants for Dermatological Disorders: A Review. Nat. Prod. Bioprospect. 2021, 11, 465–487. [Google Scholar] [CrossRef] [PubMed]
- Busra, S.; Isleten, H.M.; Onur, G.; Yonca, K.-Y. Fermented Spirulina products with Saccharomyces and non-Saccharomyces yeasts: Special reference to their microbial, physico-chemical and sensory characterizations. Food Biosci. 2022, 47, 101691. [Google Scholar]
- Yang, Y.; Xia, Y.; Wang, G.; Tao, L.; Yu, J.; Ai, L. Effects of boiling, ultra-high temperature and high hydrostatic pressure on free amino acids, flavor characteristics and sensory profiles in Chinese rice wine. Food Chem. 2019, 275, 407–416. [Google Scholar] [CrossRef]
- Hu, J.; Huang, W.X.; Zhang, F.T.; Luo, X.D.; Chen, Y.L.; Xie, J.K. Variability of Volatile Compounds in the Medicinal Plant Dendrobium officinale from Different Regions. Molecules 2020, 25, 5046. [Google Scholar] [CrossRef]
- Rocco, L.; Anna, C.; Samantha, S.; Belinda, K.; Fiona, K. A review on the aroma composition of Vitis vinifera L. Pinot noir wines: Origins and influencing factors. Crit. Rev. Food Sci. Nutr. 2020, 61, 1762535. [Google Scholar]
- Zhong, X.; Wang, A.; Zhang, Y.; Wu, Z.; Li, B.; Lou, H.; Huang, G.; Wen, H. Reducing higher alcohols by nitrogen compensation during fermentation of Chinese rice wine. Food Sci. Biotechnol. 2020, 29, 805–816. [Google Scholar]
- Evangelos, K.; Anastasios, N.; Yiannis, K.; Panagiotis, K. Evaluation of Yeast Strains for Pomegranate Alcoholic Beverage Production: Effect on Physicochemical Characteristics, Antioxidant Activity, and Aroma Compounds. Microorganisms 2020, 8, 1583. [Google Scholar]
- Du, J.; Li, Y.; Xu, J.; Huang, M.; Ye, H. Characterization of key odorants in Langyatai Baijiu with Jian flavour by sensory-directed analysis. Food Chem. 2021, 352, 129363. [Google Scholar] [CrossRef]
- Jin, Z.; Cai, G.; Wu, C.; Hu, Z.; Xu, X.; Xie, G.; Wu, D.; Lu, J. Profiling the key metabolites produced during the modern brewing process of Chinese rice wine. Food Res. Int. 2021, 139, 109955. [Google Scholar] [CrossRef] [PubMed]
- Zhu, J.C.; Chen, F.; Wang, L.Y.; Niu, Y.W.; Shu, C.; Chen, H.X.; Xiao, Z.B. Comparison of aroma-active compounds and sensory characteristics of durian (Durio zibethinus L.) wines using strains of Saccharomyces cerevisiae with odor activity values and partial least-squares regression. J. Agric. Food Chem. 2015, 63, 1939–1947. [Google Scholar] [CrossRef] [PubMed]
- Duan, L.L.; Shi, Y.; Jiang, R.; Yang, Q.; Wang, Y.Q.; Liu, P.T.; Duan, C.Q.; Yan, G.L. Effects of adding unsaturated fatty acids on fatty acid composition of saccharomyces cerevisiae and major volatile compounds in wine. S. Afr. J. Enol. Vitic. 2016, 36, 285–295. [Google Scholar] [CrossRef]
- Chen, Y.; Wang, Y.; Lyu, P.; Chen, L.; Shen, C.; Sun, C. Comparative transcriptomic analysis reveal the regulation mechanism underlying MeJA-induced accumulation of alkaloids in Dendrobium officinale. J. Plant Res. 2019, 132, 419–429. [Google Scholar] [CrossRef] [PubMed]
- Bose, S.; Munsch, T.; Lanoue, A.; Garros, L.; Tungmunnithum, D.; Messaili, S.; Destandau, E.; Billet, K.; St-Pierre, B.; Clastre, M.; et al. UPLC-HRMS Analysis Revealed the Differential Accumulation of Antioxidant and Anti-Aging Lignans and Neolignans in In Vitro Cultures of Linum usitatissimum L. Front. Plant Sci. 2020, 11, 508658. [Google Scholar] [CrossRef] [PubMed]
- Liu, W.; Feng, Y.; Yu, S.; Fan, Z.; Li, X.; Li, J.; Yin, H. The Flavonoid Biosynthesis Network in Plants. Int. J. Mol. Sci. 2021, 22, 12824. [Google Scholar] [CrossRef]
- Lin, J.B.; Wang, W.Y.; Zou, H.; Dai, Y.M. Analysis of Related Genes in Phytosterol Biosynthesis in Dendrobium officinale Based on Transcriptome Sequencing Technology. J. Trop. Subtrop. Bot. 2019, 27, 693–701. [Google Scholar]




Disclaimer/Publisher’s Note: The statements, opinions and data contained in all publications are solely those of the individual author(s) and contributor(s) and not of MDPI and/or the editor(s). MDPI and/or the editor(s) disclaim responsibility for any injury to people or property resulting from any ideas, methods, instructions or products referred to in the content. |
© 2023 by the authors. Licensee MDPI, Basel, Switzerland. This article is an open access article distributed under the terms and conditions of the Creative Commons Attribution (CC BY) license (https://creativecommons.org/licenses/by/4.0/).
Share and Cite
Cen, L.; Shi, X.; Zhang, L.; Qiu, S.; Zeng, X.; Dai, Y.; Wang, C.; Wei, C. Effects of Dendrobium officinale on the Quality of Rice Wine Fermented Separately by Saccharomyces cerevisiae and Wickerhamomyces anomalus: Physicochemical Indices, Volatile Compounds and Nonvolatile Metabolites. Fermentation 2023, 9, 627. https://doi.org/10.3390/fermentation9070627
Cen L, Shi X, Zhang L, Qiu S, Zeng X, Dai Y, Wang C, Wei C. Effects of Dendrobium officinale on the Quality of Rice Wine Fermented Separately by Saccharomyces cerevisiae and Wickerhamomyces anomalus: Physicochemical Indices, Volatile Compounds and Nonvolatile Metabolites. Fermentation. 2023; 9(7):627. https://doi.org/10.3390/fermentation9070627
Chicago/Turabian StyleCen, Lanyan, Xueqin Shi, Lin Zhang, Shuyi Qiu, Xiangyong Zeng, Yifeng Dai, Chunxiao Wang, and Chaoyang Wei. 2023. "Effects of Dendrobium officinale on the Quality of Rice Wine Fermented Separately by Saccharomyces cerevisiae and Wickerhamomyces anomalus: Physicochemical Indices, Volatile Compounds and Nonvolatile Metabolites" Fermentation 9, no. 7: 627. https://doi.org/10.3390/fermentation9070627
APA StyleCen, L., Shi, X., Zhang, L., Qiu, S., Zeng, X., Dai, Y., Wang, C., & Wei, C. (2023). Effects of Dendrobium officinale on the Quality of Rice Wine Fermented Separately by Saccharomyces cerevisiae and Wickerhamomyces anomalus: Physicochemical Indices, Volatile Compounds and Nonvolatile Metabolites. Fermentation, 9(7), 627. https://doi.org/10.3390/fermentation9070627
