The Role of Malt on Beer Flavour Stability
Abstract
1. Introduction
| Compound | Flavour Threshold (mg/L) | Sensory Descriptor | 
|---|---|---|
| Carbonyl Compounds | ||
| Acetaldehyde | 25 a | Green leaves, fruity | 
| (E)-2-nonenal | 0.00011 a | Papery, cardboard | 
| (E)-β-damascenone | 0.15 b | Stewed apple, honey-like | 
| Furfural | 150 a | Sweet, bready, caramellic | 
| 5-Hydroxymethyl-furfural | 1000 a | Fatty, waxy, caramellic | 
| Diacetyl | 0.1–0.2 c | Butterscotch, rancid | 
| 2,3-Pentanedione | 1 c | Fruity, sweet | 
2. From Barley to Malt
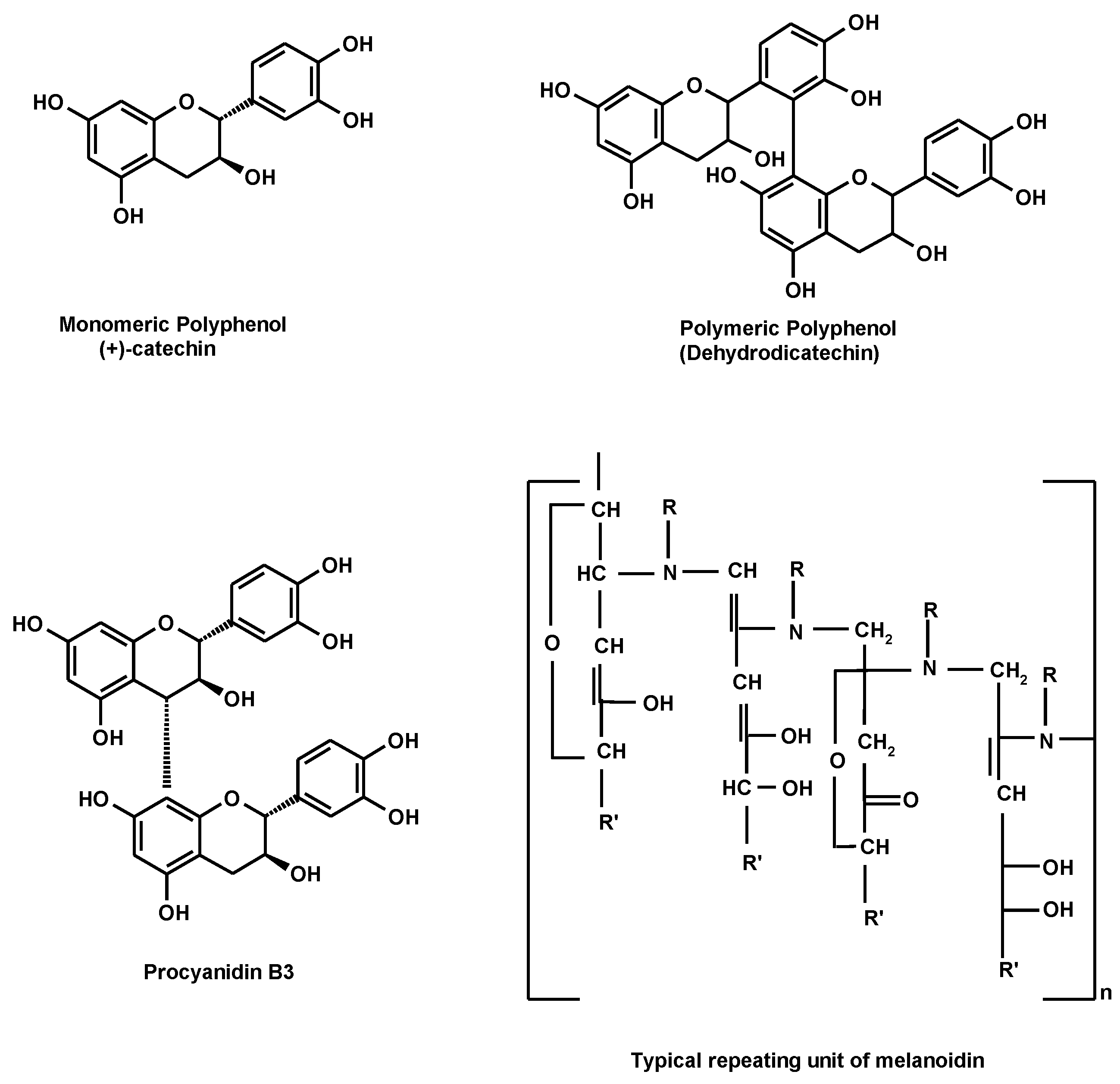
3. Malt Antioxidant Activity
- (i)
 - Melanoidins and reductones
 
- (ii)
 - Phenolic substances (phenolic acids and polyphenol compounds)
 
4. Malt Pro-Oxidant Activity
5. Concluding Remarks
Author Contributions
Funding
Institutional Review Board Statement
Informed Consent Statement
Data Availability Statement
Conflicts of Interest
References
- Bamforth, C. Beer: Tap into the Art and Science of Brewing; Oxford University Press: Oxford, UK, 2003. [Google Scholar]
 - Carvalho, D.O.; Gonçalves, L.M.; Guido, L.F. Overall antioxidant properties of malt and how they are influenced by the individual constituents of barley and the malting process. Compr. Rev. Food Sci. Food Saf. 2016, 15, 927–943. [Google Scholar] [CrossRef]
 - Santos, J.R.; Carneiro, J.R.; Guido, L.F.; Almeida, P.J.; Rodrigues, J.A.; Barros, A.A. Determination of E-2-nonenal by high-performance liquid chromatography with UV detection assay for the evaluationof beer ageing. J. Chromatogr. A 2003, 985, 395–402. [Google Scholar] [CrossRef]
 - Walters, M. Natural Antioxidants and flavour stability. Ferment 1997, 10, 111–119. [Google Scholar]
 - Guido, L.F.; Fortunato, N.A.; Rodrigues, J.A.; Barros, A.A. Voltammetric assay for the aging of beer. J. Agric. Food Chem. 2003, 51, 3911–3915. [Google Scholar] [CrossRef]
 - Stewart, G.G. The production of secondary metabolites with flavour potential during brewing and distilling wort fermentations. Fermentation 2017, 3, 63. [Google Scholar] [CrossRef]
 - Murakami, A.A.; Goldstein, H.; Navarro, A.; Seabrooks, J.R.; Ryder, D.S. Investigation of beer flavor by gas chromatography-olfactometry. J. Am. Soc. Brew. Chem. 2003, 61, 23–32. [Google Scholar] [CrossRef]
 - Gijs, L.; Chevance, F.; Jerkovic, V.; Collin, S. How low pH can intensify β-damascenone and dimethyl trisulfide production through beer aging. J. Agric. Food Chem. 2002, 50, 5612–5616. [Google Scholar] [CrossRef] [PubMed]
 - Guido, L.F.; Carneiro, J.R.; Santos, J.R.; Almeida, P.J.; Rodrigues, J.A.; Barros, A.A. Simultaneous determination of E-2-nonenal and beta-damascenone in beer by reversed-phase liquid chromatography with UV detection. J. Chromatogr. A 2004, 1032, 17–22. [Google Scholar] [CrossRef]
 - Carneiro, J.R.; Guido, L.F.; Almeida, P.J.; Rodrigues, J.A.; Barros, A.A. The impact of sulphur dioxide and oxygen on the behaviour of 2-furaldehyde in beer: An industrial approach. Int. J. Food Sci. Technol. 2006, 41, 545–552. [Google Scholar] [CrossRef]
 - Ditrych, M.; Filipowska, W.; De Rouck, G.; Jaskula-Goiris, B.; Aerts, G.; Andersen, M.L.; De Cooman, L. Investigating the evolution of free staling aldehydes throughout the wort production process. Brew. Sci. 2019, 72, 10–17. [Google Scholar]
 - Reichel, S.; Carvalho, D.O.; Santos, J.R.; Bednar, P.; Rodrigues, J.A.; Guido, L.F. Profiling the volatile carbonyl compounds of barley and malt samples using a low-pressure assisted extraction system. Food Control 2021, 121, 107568. [Google Scholar] [CrossRef]
 - Van Waesberghe, J.W. Flavour stability starts with malt and in the brewhouse. Brauwelt Int. 2002, 20, 375–377. [Google Scholar]
 - Fickert, B.; Schieberle, P. Identification of the key odorants in barley malt (caramalt) using GC/MS techniques and odour dilution analyses. Food Nahrung 1998, 42, 371–375. [Google Scholar] [CrossRef]
 - Meilgaard, M.C. Flavor chemistry of beer. II. Flavor and threshold of 239 aroma volatiles. Tech. Quart. Master. Brew. Assoc. Am. 1975, 12, 151–168. [Google Scholar]
 - Guyot-Declerck, C.; François, N.; Ritter, C.; Govaerts, B.; Collin, S. Influence of pH and ageing on beer organoleptic properties. A sensory analysis based on AEDA data. Food Qual. Prefer. 2005, 16, 157–162. [Google Scholar] [CrossRef]
 - Wainwright, T. Diacetyl—A review. 1. analytical and biochemical considerations. ii. brewing experience. J. Inst. Brew. 1973, 79, 451–470. [Google Scholar] [CrossRef]
 - Briggs, D.E.; Hough, J.S.; Stevens, R.; Young, T.W. Malting and Brewing Science: Malt and Sweet Wort; Springer: Berlin/Heidelberg, Germany, 1982; Volume 1. [Google Scholar]
 - EBC. Malting Technology: Manual of Good Practice; Carl, F.H., Ed.; EBC: Nürnberg, Germany, 2000. [Google Scholar]
 - Belitz, H.D.; Grosch, W.; Schieberle, P. Springer Food chemistry 4th revised and extended edition. Annu. Rev. Biochem. 2009, 79, 655–681. [Google Scholar]
 - Mosher, M.; Trantham, K. Brewing Science: A Multidisciplinary Approach; Springer: Berlin/Heidelberg, Germany, 2017. [Google Scholar]
 - Dong, L.; Hou, Y.; Li, F.; Piao, Y.; Zhang, X.; Zhang, X.; Li, C.; Zhao, C. Characterization of volatile aroma compounds in different brewing barley cultivars. J. Sci. Food Agric. 2015, 95, 915–921. [Google Scholar] [CrossRef] [PubMed]
 - Bettenhausen, H.M.; Barr, L.; Broeckling, C.D.; Chaparro, J.M.; Holbrook, C.; Sedin, D.; Heuberger, A. Influence of malt source on beer chemistry, flavor, and flavor stability. J. Food Res. Int. 2018, 113, 487–504. [Google Scholar] [CrossRef]
 - Halliwell, B.; Gutteridge, J.M.C.; Aruoma, O.I. The deoxyribose method: A simple “test-tube” assay for determination of rate constants for reactions of hydroxyl radicals. Anal. Biochem. 1987, 165, 215–219. [Google Scholar] [CrossRef]
 - Van Gheluwe, J.E.A.; Yalyi, Z.; Dadic, M. Oxidation in brewing. Brew. Dig. 1970, 45, 70–79. [Google Scholar]
 - Boivin, P.; Clamagirand, V.; Maillard, M.N.; Berset, C.; Malanda, M. Malt quality and oxidation risk in brewing. Proc. Conv. Int. Brew. Asia Pac. Sect. 1996, 24, 110–115. [Google Scholar]
 - Boivin, P.; Allain, D.; Clamagirant, V.; Maillard, M.N.; Cuvelier, M.E.; Berset, C.; Richard, H.; Nicolas, J.; Forget-Richard, F. Mesure de l’activité antioxygène de l’orge et du malt: Approche multiple. Proc. Congr. Eur. Brew. Conv. 1993, 397–404. [Google Scholar]
 - Maillard, M.N.; Soum, M.H.; Boivin, P.; Berset, C. Antioxidant activity of barley and malt: Relationship with phenolic content. J. Food Sci. Technol. 1996, 29, 238–244. [Google Scholar] [CrossRef]
 - Woffenden, H.M.; Ames, J.M.; Chandra, S.; Anese, M.; Nicoli, M.C. Effect of kilning on the antioxidant and pro-oxidant activities of pale malts. J. Agric. Food Chem. 2002, 50, 4925–4933. [Google Scholar] [CrossRef]
 - Samaras, T.S.; Camburn, P.A.; Chandra, S.X.; Gordon, M.H.; Ames, J.M. Antioxidant properties of kilned and roasted malts. J. Agric. Food Chem. 2005, 53, 8068–8074. [Google Scholar] [CrossRef] [PubMed]
 - Vanderhaegen, B.; Neven, H.; Verachtert, H.; Derdelinckx, G. The chemistry of beer aging—A critical review. Food Chem. 2006, 95, 357–381. [Google Scholar] [CrossRef]
 - Inns, E.L.; Buggey, L.A.; Booer, C.; Nursten, H.E.; Ames, J.M. Effect of modification of the kilning regimen on levels of free ferulic acid and antioxidant activity in malt. J. Agric. Food Chem. 2011, 59, 9335–9343. [Google Scholar] [CrossRef]
 - Coghe, S.; Vanderhaegen, B.; Pelgrims, B.; Basteyns, A.V.; Delvaux, F.R. Characterization of dark specialty malts: New insights in color evaluation and pro-and antioxidative activity. J. Am. Soc. Brew. Chem. 2003, 61, 125–132. [Google Scholar] [CrossRef]
 - Čechovská, L.; Konečný, M.; Velíšek, J.; Cejpek, K. Effect of Maillard reaction on reducing power of malts and beers. Czech J. Food Sci. 2012, 30, 548–556. [Google Scholar] [CrossRef]
 - Goupy, P.; Hugues, M.; Boivin, P.; Amiot, M.J. Antioxidant composition and activity of barley (Hordeum vulgare) and malt extracts and of isolated phenolic compounds. J. Sci. Food Agric. 1999, 79, 1625–1634. [Google Scholar] [CrossRef]
 - Chandra, C.S.; Buggey, L.A.; Peters, S.; Cann, C.; Liegeois, C. Factors Affecting the Development of Antioxidant Properties of Malts during the Malting and Roasting Process. Hgca Proj. Rep. 2001. Available online: https://ahdb.org.uk/factors-affecting-the-development-of-antioxidant-properties-of-malts-during-the-malting-and-roasting-process (accessed on 14 April 2023).
 - Pascoe, H.M.; Ames, J.M.; Chandra, S. Critical stages of the brewing process for changes in antioxidant activity and levels of phenolic compounds in ale. J. Am. Soc. Brew. Chem. 2003, 61, 203–209. [Google Scholar] [CrossRef]
 - Moreira, M.M.; Morais, S.; Carvalho, D.O.; Barros, A.A.; Delerue-Matos, C.; Guido, L.F. Brewer’s spent grain from different types of malt: Evaluation of the antioxidant activity and identification of the major phenolic compounds. Food Res. Int. 2013, 54, 382–388. [Google Scholar] [CrossRef]
 - Boivin, P.; Malanda, M.; Clamagirand, V. Evaluation of the organoleptic quality of malt. Evolution during malting and varietal influence. Proc Congr. Eur. Brew. Conv. 1995, 159–168. [Google Scholar]
 - Back, W.; Forster, C.; Krottenthaler, M.; Lehmann, J.; Sacher, B.; Thum, B. New research findings on improving taste stability. Brauwelt Int. 1999, 17, 394–405. [Google Scholar]
 - Bushnell, S.E.; Guinard, J.X.; Bamforth, C.W. Effects of sulfur dioxide and polyvinylpolypyrrolidone on the flavor stability of beer as measured by sensory and chemical analysis. J. Am. Soc. Brew. Chem. 2003, 61, 133–141. [Google Scholar] [CrossRef]
 - Guido, L.F.; Curto, A.; Boivin, P.; Benismail, N.; Gonçalves, C.; Barros, A.A. Predicting the organoleptic stability of beer from chemical data using multivariate analysis. Eur. Food Res. Technol. 2007, 226, 57–62. [Google Scholar] [CrossRef]
 - Bamforth, C.; Clarkson, S.; Large, P. The relative importance of polyphenol oxidase, lipoxygenase and peroxidases during wort oxidation. Proc. Congr. Eur. Brew. Conv. 1991, 23, 617–624. [Google Scholar]
 - Boivin, P. Pro-and anti-oxidant enzymatic activity in malt. Cerevisia 2001, 26, 109–116. [Google Scholar]
 - Guido, L.F.; Boivin, P.; Benismail, N.; Gonçalves, C.R.; Barros, A.A. An early development of the nonenal potential in the malting process. Eur. Food Res. Technol. 2005, 220, 200–206. [Google Scholar] [CrossRef]
 - Hirota, N.; Kuroda, H.; Takoi, K.; Kaneko, T.; Kaneda, H.; Yoshida, I.; Takashio, M.; Ito, K.; Takeda, K. Brewing performance of malted lipoxygenase-1 null barley and effect on the flavor stability of beer. Cereal Chem. 2006, 83, 250–254. [Google Scholar] [CrossRef]
 - Yunhong, Y.; Huang, S.; Dong, J.; Fan, W.; Huang, S.; Liu, J.; Chang, Z.; Tian, Y.; Hao, J.; Hu, S. The influence of LOX-less barley malt on the flavour stability of wort and beer. J. Inst. Brew. 2014, 120, 93–98. [Google Scholar]
 - Manzocco, L.; Calligaris, S.; Mastrocola, D.; Nicoli, M.C.; Lerici, C.R. Review of non-enzymatic browning and antioxidant capacity in processed foods. Trends Food Sci. Technol. 2000, 11, 340–346. [Google Scholar] [CrossRef]
 - Yen, G.C.; Chen, H.Y.; Peng, H.H. Antioxidant and pro-oxidant effects of various tea extracts. J. Agric. Food Chem. 1997, 45, 30–34. [Google Scholar] [CrossRef]
 - Nicoli, M.C.; Anese, M.; Parpinel, M. Influence of processing on the antioxidant properties of fruit and vegetables. Trends Food Sci. Technol. 1999, 10, 94–100. [Google Scholar] [CrossRef]
 - Carvalho, D.O.; Øgendal, L.H.; Andersen, M.L.; Guido, L.F. High molecular weight compounds generated by roasting barley malt are pro-oxidants in metal-catalyzed oxidations. Eur. Food Res. Technol. 2016, 242, 1545–1553. [Google Scholar] [CrossRef]
 - Guido, L.F.; Curto, A.F.; Boivin, P.; Benismail, N.; Gonçalves, C.R.; Barros, A.A. Correlation of malt quality parameters and beer flavor stability: Multivariate analysis. J. Agric. Food Chem. 2007, 55, 728–733. [Google Scholar] [CrossRef] [PubMed]
 




Disclaimer/Publisher’s Note: The statements, opinions and data contained in all publications are solely those of the individual author(s) and contributor(s) and not of MDPI and/or the editor(s). MDPI and/or the editor(s) disclaim responsibility for any injury to people or property resulting from any ideas, methods, instructions or products referred to in the content.  | 
© 2023 by the authors. Licensee MDPI, Basel, Switzerland. This article is an open access article distributed under the terms and conditions of the Creative Commons Attribution (CC BY) license (https://creativecommons.org/licenses/by/4.0/).
Share and Cite
Guido, L.F.; Ferreira, I.M. The Role of Malt on Beer Flavour Stability. Fermentation 2023, 9, 464. https://doi.org/10.3390/fermentation9050464
Guido LF, Ferreira IM. The Role of Malt on Beer Flavour Stability. Fermentation. 2023; 9(5):464. https://doi.org/10.3390/fermentation9050464
Chicago/Turabian StyleGuido, Luis F., and Inês M. Ferreira. 2023. "The Role of Malt on Beer Flavour Stability" Fermentation 9, no. 5: 464. https://doi.org/10.3390/fermentation9050464
APA StyleGuido, L. F., & Ferreira, I. M. (2023). The Role of Malt on Beer Flavour Stability. Fermentation, 9(5), 464. https://doi.org/10.3390/fermentation9050464
        
