The TgRas1 Gene Affects the Lactose Metabolism of Trichoderma guizhouense NJAU4742
Abstract
1. Introduction
2. Methods and Materials
2.1. Determination of Enzymatic Activity of T. guizhouense NJAU4742 Solid Fermentation
2.2. Identification of TgRas Gene in the Genome of T. guizhouense NJAU4742
2.3. Phylogenetic Analysis of TgRas Gene, Conserved Motif Analysis, Gene Structure Analysis
2.3.1. Cultivation, Determination of Biomass, and Preparation of Intracellular Material
2.3.2. Construction of Functional Fractions for Gene Deletion Complementation
3. Results
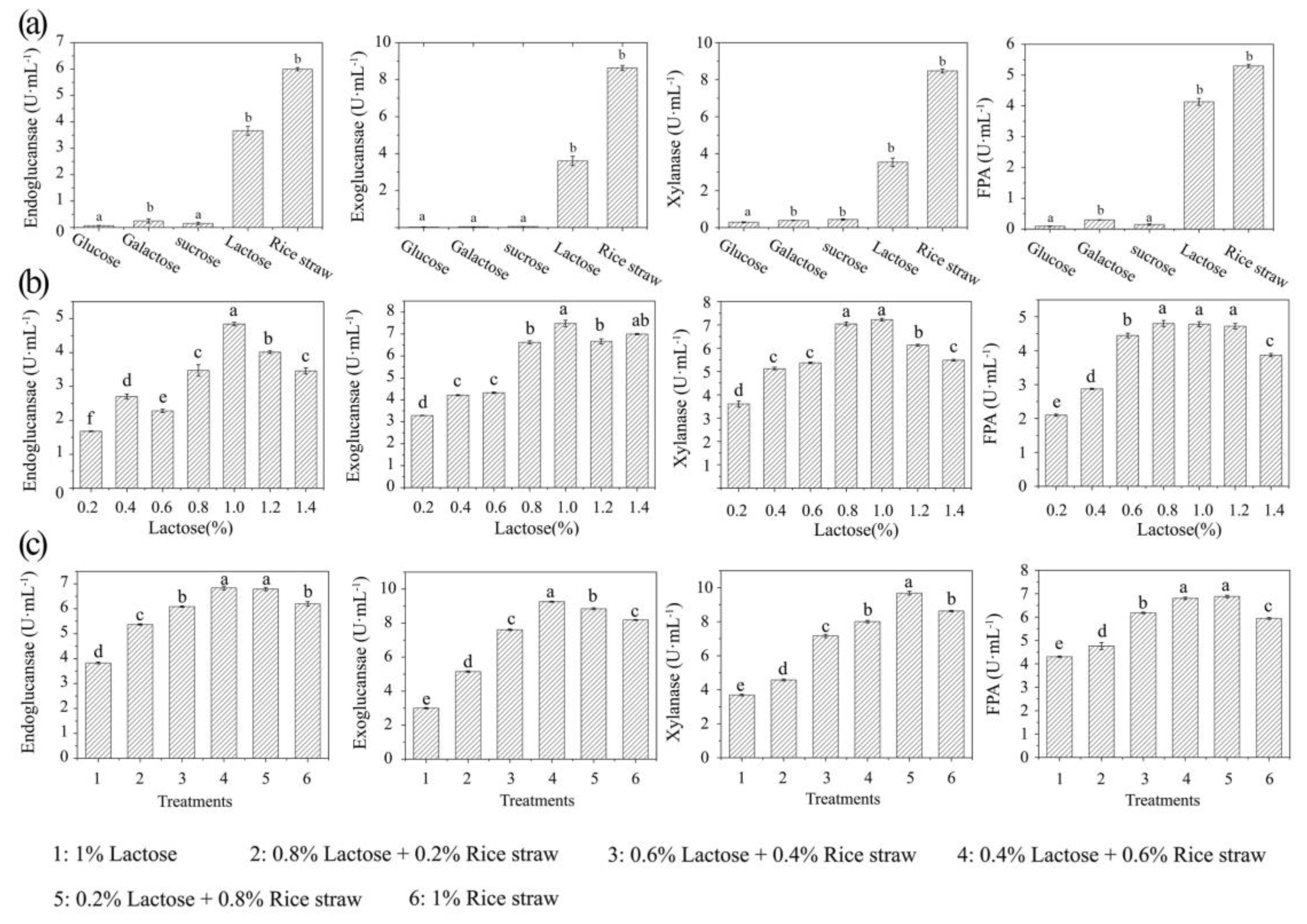
3.1. The Combination of Straw and Lactose Can Effectively Promote the Secretion of Cellulase by T. guizhouense NJAU4742
3.2. Functional Identification of TgRas Family Genes in T. guizhouense NJAU4742
3.3. The T. guizhouense NJAU4742 Mutant Has a Reduced Ability to Utilize Lactose, Resulting in Abnormal Growth
3.4. Liquid Fermentation of TgRas1 Mutants from other Carbon Sources Was Not Affected
3.5. Growth in Liquid Fermentation and Solid Fermentation with Straw as the Sole Carbon Source
4. Discussion
Supplementary Materials
Author Contributions
Funding
Institutional Review Board Statement
Informed Consent Statement
Data Availability Statement
Acknowledgments
Conflicts of Interest
References
- Brotman, Y.; Kapuganti, J.G.; Viterbo, A. Trichoderma. Curr. Biol. 2010, 20, R390–R391. [Google Scholar] [CrossRef] [PubMed]
- Contreras-Cornejo, H.A.; Lopez-Bucio, J.S.; Mendez-Bravo, A.; Macias-Rodriguez, L.; Ramos-Vega, M.; Guevara-Garcia, A.A.; Lopez-Bucio, J. Mitogen-Activated Protein Kinase 6 and Ethylene and Auxin Signaling Pathways Are Involved in Arabidopsis Root-System Architecture Alterations by Trichoderma atroviride. Mol. Plant-Microbe Interact. 2015, 28, 701–710. [Google Scholar] [CrossRef]
- Contreras-Cornejo, H.A.; Macias-Rodriguez, L.; Vergara, A.G.; Lopez-Bucio, J. Trichoderma Modulates Stomatal Aperture and Leaf Transpiration Through an Abscisic Acid-Dependent Mechanism in Arabidopsis. J. Plant Growth Regul. 2015, 34, 425–432. [Google Scholar] [CrossRef]
- Zin, N.A.; Badaluddin, N.A. Biological functions of Trichoderma spp. for agriculture applications. Ann. Agric. Sci. 2020, 65, 168–178. [Google Scholar] [CrossRef]
- Peterson, R.; Nevalainen, H. Trichoderma reesei RUT-C30–thirty years of strain improvement. Microbiology 2012, 158, 58–68. [Google Scholar] [CrossRef]
- Li, Q.R.; Tan, P.; Jiang, Y.L.; Hyde, K.D.; McKenzie, E.H.C.; Bahkali, A.H.; Kang, J.C.; Wang, Y. A novel Trichoderma species isolated from soil in Guizhou, T. guizhouense. Mycol. Prog. 2013, 12, 167–172. [Google Scholar] [CrossRef]
- Xu, Y.; Zhang, J.; Shao, J.H.; Feng, H.C.; Zhang, R.F.; Shen, Q.R. Extracellular proteins of Trichoderma guizhouense elicit an immune response in maize (Zea mays) plants. Plant Soil 2020, 449, 133–149. [Google Scholar] [CrossRef]
- Saloheimo, M.; Wang, H.; Valkonen, M.; Vasara, T.; Huuskonen, A.; Riikonen, M.; Pakula, T.; Ward, M.; Penttila, M. Characterization of secretory genes ypt1/yptA and nsf1/nsfA from two filamentous fungi: Induction of secretory pathway genes of Trichoderma reesei under secretion stress conditions. Appl. Environ. Microbiol. 2004, 70, 459–467. [Google Scholar] [CrossRef]
- Sternberg, D.; Mandels, G. Induction of cellulolytic enzymes in Trichoderma reesei by sophorose. J. Bacteriol. 1979, 139, 761–769. [Google Scholar] [CrossRef]
- Ivanova, C.; Bååth, J.A.; Seiboth, B.; Kubicek, C.P. Systems analysis of lactose metabolism in Trichoderma reesei identifies a lactose permease that is essential for cellulase induction. PLoS ONE 2013, 8, e62631. [Google Scholar] [CrossRef]
- Porciuncula, J.D.; Furukawa, T.; Shida, Y.; Mori, K.; Kuhara, S.; Morikawa, Y.; Ogasawara, W. Identification of Major Facilitator Transporters Involved in Cellulase Production during Lactose Culture of Trichoderma reesei PC-3-7. Biosci. Biotechnol. Biochem. 2013, 77, 1014–1022. [Google Scholar] [CrossRef]
- Seiboth, B.; Hofmann, G.; Kubicek, C. Lactose metabolism and cellulase production in Hypocrea jecorina: The gal7 gene, encoding galactose-1-phosphate uridylyltransferase, is essential for growth on galactose but not for cellulase induction. Mol. Genet. Genom. 2002, 267, 124–132. [Google Scholar] [CrossRef]
- Karaffa, L.; Fekete, E.; Gamauf, C.; Szentirmai, A.; Kubicek, C.P.; Seiboth, B. d-Galactose induces cellulase gene expression in Hypocrea jecorina at low growth rates. Microbiology 2006, 152, 1507–1514. [Google Scholar] [CrossRef]
- Yaar, L.; Mevarech, M.; Koltint, Y. A Candida albicans RAS-related gene (CaRSRl) is involved in budding, cell morphogenesis and hypha development. Microbiology 1997, 143, 3033–3044. [Google Scholar] [CrossRef]
- Weeks, G.; Spiegelman, G.B. Roles played by Ras subfamily proteins in the cell and developmental biology of microorganisms. Cell Signal. 2003, 15, 901–909. [Google Scholar] [CrossRef] [PubMed]
- Martin-Vicente, A.; Souza, A.C.O.; Al Abdallah, Q.; Ge, W.; Fortwendel, J.R. SH3-class Ras guanine nucleotide exchange factors are essential for Aspergillus fumigatus invasive growth. Cell Microbiol. 2019, 21, e13013. [Google Scholar] [CrossRef]
- Fortwendel, J.R.; Seitz, A.E.; Askew, D.S.; Rhodes, J.C. Aspergillus Fumigatus rasA: A Non-Essential Gene that Regulates Germination, Mitosis and Hyphal Morphology. Ph.D. Thesis, University of Cincinnati, Cincinnati, Ohio, 1999. [Google Scholar]
- Zhu, Z.; Ma, G.; Yang, M.; Tan, C.; Yang, G.; Wang, S.; Li, N.; Ge, F.; Wang, S. Ras subfamily GTPases regulate development, aflatoxin biosynthesis and pathogenicity in the fungus Aspergillus flavus. Environ. Microbiol. 2021, 23, 5334–5348. [Google Scholar] [CrossRef]
- Miao, Y.; Xia, Y.; Kong, Y.; Zhu, H.; Mei, H.; Li, P.; Feng, H.; Xun, W.; Xu, Z.; Zhang, N.; et al. Overcoming diverse homologous recombinations and single chimeric guide RNA competitive inhibition enhances Cas9-based cyclical multiple genes coediting in filamentous fungi. Environ. Microbiol. 2021, 23, 2937–2954. [Google Scholar] [CrossRef]
- Kubicek, C.P.; Messner, R.; Gruber, F.; Mach, R.L.; Kubicek-Pranz, E.M. The Trichoderma cellulase regulatory puzzle: From the interior life of a secretory fungus. Enzym. Microb. Technol. 1993, 15, 90–99. [Google Scholar] [CrossRef] [PubMed]
- Mach, R.; Zeilinger, S. Regulation of gene expression in industrial fungi: Trichoderma. Appl. Microbiol. Biotechnol. 2003, 60, 515–522. [Google Scholar] [CrossRef]
- Techapun, C.; Poosaran, N.; Watanabe, M.; Sasaki, K. Thermostable and alkaline-tolerant microbial cellulase-free xylanases produced from agricultural wastes and the properties required for use in pulp bleaching bioprocesses: A review. Process Biochem. 2003, 38, 1327–1340. [Google Scholar] [CrossRef]
- Delabona, P.d.S.; Pirota, R.D.P.B.; Codima, C.A.; Tremacoldi, C.R.; Rodrigues, A.; Farinas, C.S. Using Amazon forest fungi and agricultural residues as a strategy to produce cellulolytic enzymes. Biomass Bioenergy 2012, 37, 243–250. [Google Scholar] [CrossRef]
- Mussatto, S.I.; Ballesteros, L.F.; Martins, S.; Teixeira, J.A. Use of agro-industrial wastes in solid-state fermentation processes. Ind. Waste 2012, 274. [Google Scholar] [CrossRef]
- Santos, F.A.; Carvalho-Gonçalves, L.C.T.d.; Cardoso-Simões, A.L.d.C.; Santos, S.F.d.M. Evaluation of the production of cellulases by Penicillium sp. FSDE15 using corncob and wheat bran as substrates. Technol. Rep. 2021, 14, 100648. [Google Scholar] [CrossRef]
- Adsul, M.G.; Bastawde, K.B.; Varma, A.J.; Gokhale, D.V. Strain improvement of Penicillium janthinellum NCIM 1171 for increased cellulase production. Bioresour. Technol. 2007, 98, 1467–1473. [Google Scholar] [CrossRef]
- Steudler, S.; Werner, A.; Walther, T. It is the mix that matters: Substrate-specific enzyme production from filamentous fungi and bacteria through solid-state fermentation. Solid State Ferment. 2019, 169, 51–81. [Google Scholar]
- Singhania, R.R.; Sukumaran, R.K.; Patel, A.K.; Larroche, C.; Pandey, A. Advancement and comparative profiles in the production technologies using solid-state and submerged fermentation for microbial cellulases. Enzym. Microb. Technol. 2010, 46, 541–549. [Google Scholar] [CrossRef]
- Stricker, A.R.; Steiger, M.G.; Mach, R.L. Xyr1 receives the lactose induction signal and regulates lactose metabolism in Hypocrea jecorina. FEBS Lett. 2007, 581, 3915–3920. [Google Scholar] [CrossRef]
- Fortwendel, J.R.; Juvvadi, P.R.; Rogg, L.E.; Asfaw, Y.G.; Burns, K.A.; Randell, S.H.; Steinbach, W.J. Plasma Membrane Localization Is Required for RasA-Mediated Polarized Morphogenesis and Virulence of Aspergillus fumigatus. Eukaryot. Cell 2012, 11, 966–977. [Google Scholar] [CrossRef]
- Arkowitz, R.A.; Bassilana, M. Regulation of hyphal morphogenesis by Ras and Rho small. GTPases. Fungal Biol. Rev. 2015, 29, 7–19. [Google Scholar] [CrossRef]
- Yang, L.; Li, X.; Xie, M.; Bai, N.; Yang, J.; Jiang, K.; Zhang, K.-Q.; Yang, J. Pleiotropic roles of Ras GTPases in the nematode-trapping fungus Arthrobotrys oligospora identified through multi-omics analyses. iScience 2021, 24, 102820. [Google Scholar] [CrossRef] [PubMed]
- Casas-Flores, S.; Rios-Momberg, M.; Rosales-Saavedra, T.; Martinez-Hernandez, P.; Olmedo-Monfil, V.; Herrera-Estrella, A. Cross talk between a fungal blue-light perception system and the cyclic AMP signaling pathway. Eukaryot. Cell 2006, 5, 499–506. [Google Scholar] [CrossRef] [PubMed]
- Tamanoi, F. Ras Signaling in Yeast. Genes Cancer 2011, 2, 210–215. [Google Scholar] [CrossRef]
- Knapp, G.S.; McDonough, K.A. Cyclic AMP Signaling in Mycobacteria. Microbiol. Spectr. 2014, 2, 2. [Google Scholar] [CrossRef]
- Nogueira, K.M.V.; Costa, M.d.N.; de Paula, R.G.; Mendonça-Natividade, F.C.; Ricci-Azevedo, R.; Silva, R.N. Evidence of cAMP involvement in cellobiohydrolase expression and secretion by Trichoderma reesei in presence of the inducer sophorose. BMC Microbiol. 2015, 15, 195. [Google Scholar] [CrossRef]
- Som, T.; Kolaparthi, V.S. Developmental decisions in Aspergillus nidulans are modulated by Ras activity. Mol. Cell Biol. 1994, 14, 5333–5348. [Google Scholar] [CrossRef]
- Boyce, K.J.; Hynes, M.J.; Andrianopoulos, A. The Ras and Rho GTPases genetically interact to co-ordinately regulate cell polarity during development in Penicillium marneffei. Mol. Microbiol. 2005, 55, 1487–1501. [Google Scholar] [CrossRef] [PubMed]
- Lengeler Klaus, B.; Davidson Robert, C.; D’Souza, C.; Harashima, T.; Shen, W.-C.; Wang, P.; Pan, X.; Waugh, M.; Heitman, J. Signal Transduction Cascades Regulating Fungal Development and Virulence. Microbiol. Mol. Biol. Rev. 2000, 64, 746–785. [Google Scholar] [CrossRef]
- Brown, N.A.; Ries, L.N.A.; Goldman, G.H. How nutritional status signalling coordinates metabolism and lignocellulolytic enzyme secretion. Fungal Genet. Biol. 2014, 72, 48–63. [Google Scholar] [CrossRef]
- Schuster, A.; Tisch, D.; Seidl-Seiboth, V.; Kubicek, C.P.; Schmoll, M. Roles of Protein Kinase A and Adenylate Cyclase in Light-Modulated Cellulase Regulation in Trichoderma reesei. Appl. Environ. Microbiol. 2012, 78, 2168–2178. [Google Scholar] [CrossRef] [PubMed]
- Riquelme, M.; Roberson, R.W.; McDaniel, D.P.; Bartnicki-García, S. The effects of ropy-1 mutation on cytoplasmic organization and intracellular motility in mature hyphae of Neurospora crassa. Fungal Genet. Biol. 2002, 37, 171–179. [Google Scholar] [CrossRef]
- Bluhm, B.H.; Zhao, X.; Flaherty, J.E.; Xu, J.R.; Dunkle, L.D. RAS2 Regulates Growth and Pathogenesis in Fusarium graminearum. Mol. Plant-Microbe Interactions® 2007, 20, 627–636. [Google Scholar] [CrossRef] [PubMed]
- Fortwendel, J.R.; Panepinto, J.C.; Seitz, A.E.; Askew, D.S.; Rhodes, J.C. Aspergillus fumigatus rasA and rasB regulate the timing and morphology of asexual development. Fungal Genet. Biol. 2004, 41, 129–139. [Google Scholar] [CrossRef] [PubMed]
- Kana-uchi, A.; Yamashiro, C.T.; Tanabe, S.; Murayama, T. A ras homologue of Neurospora crassa regulates morphology. Mol. Gen. Genet. MGG 1997, 254, 427–432. [Google Scholar] [CrossRef]
- D’Enfert, C. Fungal Spore Germination: Insights from the Molecular Genetics ofAspergillus nidulansandNeurospora crassa. Fungal Genet. Biol. 1997, 21, 163–172. [Google Scholar] [CrossRef]
- Bauer, Y.; Knechtle, P.; Wendland, J.; Helfer, H.; Philippsen, P. A Ras-like GTPase is involved in hyphal growth guidance in the filamentous fungus Ashbya gossypii. Mol. Biol. Cell 2004, 15, 4622–4632. [Google Scholar] [CrossRef]









| Gene ID | Name | Location | Gene Length | Amino Acid Quantity | pI | Molecular Weight (kDa) |
|---|---|---|---|---|---|---|
| A1A109149.1 | TgRas1 | TGA1_S20 | 991 | 214 | 4.85 | 24,205.32 |
| A1A102886.1 | TgRas2 | TGA1_S07 | 931 | 237 | 9.2 | 26,098.67 |
| A1A109579.1 | TgRas3 | TGA1_S20 | 1181 | 217 | 5.73 | 24,447.57 |
| A1A102432.1 | TgRas4 | TGA1_S06 | 822 | 186 | 6.43 | 20,761.59 |
| A1A109628.1 | TgRas5 | TGA1_S20 | 998 | 206 | 5.56 | 22,977.12 |
| A1A111449.1 | TgRas6 | TGA1_S23 | 795 | 264 | 5.27 | 28,640.29 |
| A1A103922.1 | TgRas7 | TGA1_S08 | 1111 | 202 | 5.47 | 22,448.3 |
| A1A104429.1 | TgRas8 | TGA1_S10 | 922 | 212 | 5.61 | 23,192.99 |
| A1A108119.1 | TgRas9 | TGA1_S18 | 765 | 254 | 7.65 | 27,544.88 |
| A1A108307.1 | TgRas10 | TGA1_S18 | 1053 | 208 | 7.7 | 23,332.35 |
| A1A110534.1 | TgRas11 | TGA1_S22 | 1010 | 206 | 4.79 | 23,136.02 |
| A1A106211.1 | TgRas12 | TGA1_S15 | 832 | 229 | 5.14 | 24,249.11 |
| A1A103198.1 | TgRas13 | TGA1_S07 | 926 | 220 | 8.74 | 23,990.25 |
| A1A106127.1 | TgRas14 | TGA1_S15 | 1260 | 194 | 5.83 | 21,546.93 |
| A1A109539.1 | TgRas15 | TGA1_S20 | 994 | 204 | 8.2 | 22,445.79 |
| A1A100568.1 | TgRas16 | TGA1_S02 | 1015 | 216 | 6.91 | 24,354.95 |
| A1A105281.1 | TgRas17 | TGA1_S13 | 1012 | 249 | 8.52 | 27,671.72 |
| A1A101316.1 | TgRas18 | TGA1_S03 | 1311 | 195 | 6.21 | 21,515.72 |
| A1A105388.1 | TgRas19 | TGA1_S13 | 943 | 200 | 5.44 | 21,999.18 |
| A1A110131.1 | TgRas20 | TGA1_S20 | 1086 | 307 | 8.46 | 33,673.86 |
| A1A106470.1 | TgRas21 | TGA1_S15 | 979 | 207 | 4.68 | 23,029.93 |
| A1A110255.1 | TgRas22 | TGA1_S21 | 1221 | 336 | 9.61 | 36,096.6 |
Disclaimer/Publisher’s Note: The statements, opinions and data contained in all publications are solely those of the individual author(s) and contributor(s) and not of MDPI and/or the editor(s). MDPI and/or the editor(s) disclaim responsibility for any injury to people or property resulting from any ideas, methods, instructions or products referred to in the content. |
© 2023 by the authors. Licensee MDPI, Basel, Switzerland. This article is an open access article distributed under the terms and conditions of the Creative Commons Attribution (CC BY) license (https://creativecommons.org/licenses/by/4.0/).
Share and Cite
Miao, J.; Chen, C.; Gu, Y.; Zhu, H.; Guo, H.; Liu, D.; Shen, Q. The TgRas1 Gene Affects the Lactose Metabolism of Trichoderma guizhouense NJAU4742. Fermentation 2023, 9, 440. https://doi.org/10.3390/fermentation9050440
Miao J, Chen C, Gu Y, Zhu H, Guo H, Liu D, Shen Q. The TgRas1 Gene Affects the Lactose Metabolism of Trichoderma guizhouense NJAU4742. Fermentation. 2023; 9(5):440. https://doi.org/10.3390/fermentation9050440
Chicago/Turabian StyleMiao, Jiaxi, Chen Chen, Yajing Gu, Han Zhu, Haiyang Guo, Dongyang Liu, and Qirong Shen. 2023. "The TgRas1 Gene Affects the Lactose Metabolism of Trichoderma guizhouense NJAU4742" Fermentation 9, no. 5: 440. https://doi.org/10.3390/fermentation9050440
APA StyleMiao, J., Chen, C., Gu, Y., Zhu, H., Guo, H., Liu, D., & Shen, Q. (2023). The TgRas1 Gene Affects the Lactose Metabolism of Trichoderma guizhouense NJAU4742. Fermentation, 9(5), 440. https://doi.org/10.3390/fermentation9050440

