Physical Factors Affecting the Scale-Up of Vegetative Insecticidal Protein (Vip3A) Production by Bacillus thuringiensis Bt294
Abstract
:1. Introduction
2. Materials and Methods
2.1. Microorganism Strain, Inoculum Preparation and Culture Media
2.2. Effects of Different Physical Factors Which Affect Dissolved Oxygen on Vip3A Production by B. thuringiensis BT294 in Shake Flasks
2.2.1. Effects of Antifoam Agents and Concentrations on Vip3A Production by B. thuringiensis BT294 in Shake Flasks
2.2.2. Effects of Different Flask Types on Vip3A Production by B. thuringiensis BT294
2.2.3. Effects of Aeration at the Shake Flask Scale with Shaking Speed Rates on Vip3A Production by B. thuringiensis BT294
2.3. Effects of pH-Controlled Culture and Dissolved Oxygen on Vip3A Production by B. thuringiensis BT294 in a 5 L Bioreactor
2.3.1. Effects of the pH-Controlled Culture on Vip3A Production by B. thuringiensis BT294
2.3.2. Effects of Different Dissolved Oxygen Levels on Vip3A Production by B. thuringiensis BT294
2.3.3. Effect of Agitation Rate on Vip3A Production by B. thuringiensis BT294
2.3.4. Effects of Aeration Rate on Vip3A Production by B. thuringiensis BT294
2.4. Scale-up of Vip3A Production by B. thuringiensis BT294 in a 750 L Pilot-Scale Bioreactor
2.5. Insect Toxicity Assay
2.6. Analyses and Quantitative Methods
2.6.1. Cell Growth Determination
2.6.2. Soluble Protein Measurement
2.6.3. Determination of Vip3A Concentration
2.6.4. Calculation of Corrected Mortality
3. Results and Discussion
3.1. Effects of the Physical Factor Which Affected Dissolved Oxygen on Vip3A Production by B. thuringiensis Bt294 in Shake Flasks
3.1.1. Effects of Types and Concentrations of Antifoam Agents on Vip3A Production by B. thuringiensis Bt294
3.1.2. Effects of Flask Types on Vip3A Production by B. thuringiensis Bt294
3.1.3. Effects of Shaking Speeds on Vip3A Production by B. thuringiensis Bt294
3.2. Effects of Dissolved Oxygen and pH on Vip3A Production by B. thuringiensis Bt294 in a 5 L Bioreactor
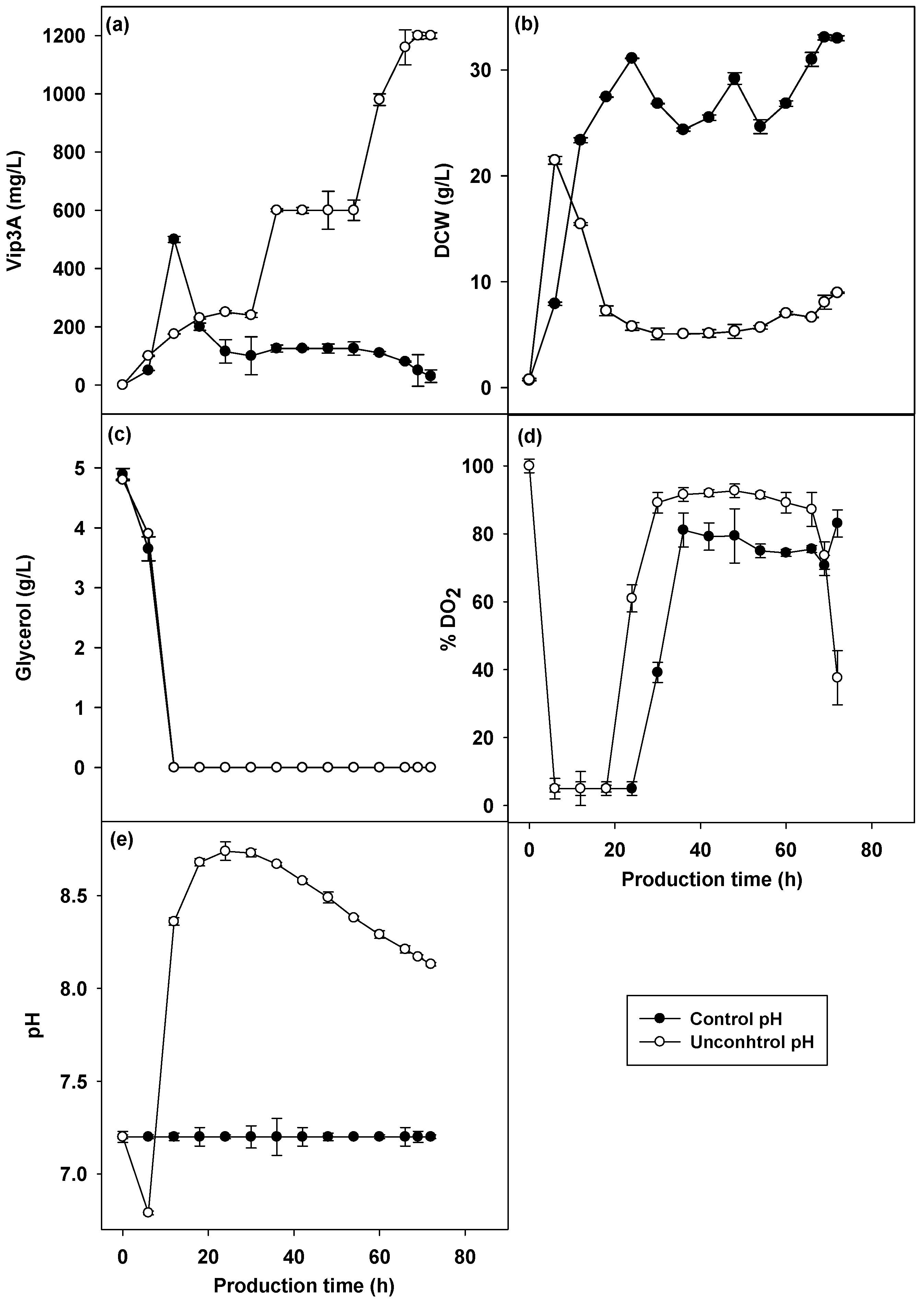
3.2.1. Effects of Different pH-Controlled Culture on Vip3A Production by B. thuringiensis Bt294
3.2.2. Effects of Controlled and Uncontrolled of the Lowest Point of Dissolved Oxygen (DO2) Levels on Vip3A Production by B. thuringiensis Bt294
3.2.3. Effects of Agitation Rate on Vip3A Production by B. thuringiensis Bt294
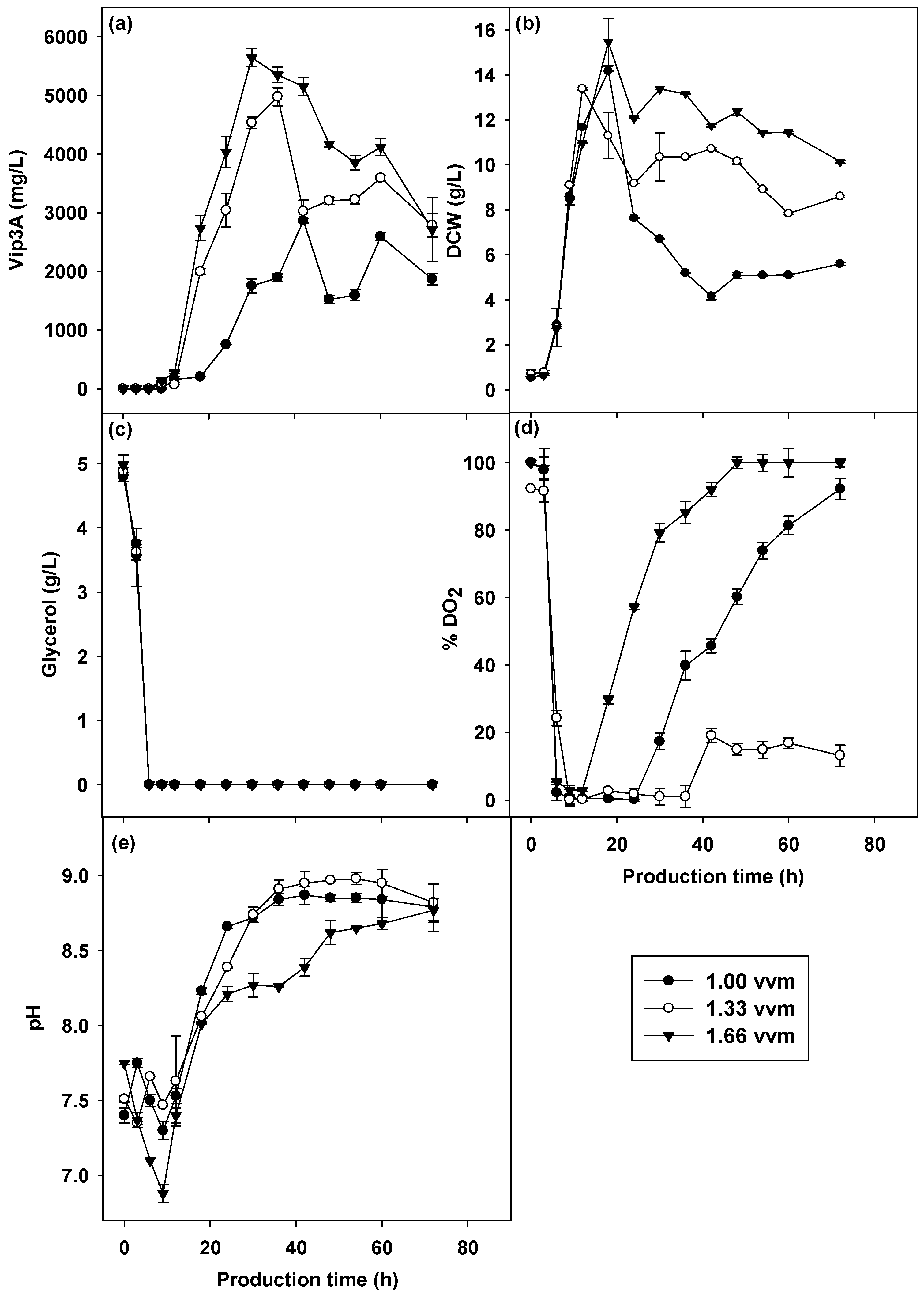
3.2.4. Effects of Aeration Rates on Vip3A Production by B. thuringiensis Bt294
3.3. Vip3A Production by B. thuringiensis Bt294 in 750 L Bioreactor
3.4. Insect Toxicity Assay of Vip3A Produced by B. thuringiensis Bt294
4. Conclusions
Author Contributions
Funding
Institutional Review Board Statement
Informed Consent Statement
Data Availability Statement
Acknowledgments
Conflicts of Interest
References
- Gupta, M.; Kumar, H.; Kaur, S. Vegetative Insecticidal Protein (Vip): A Potential Contender from Bacillus thuringiensis for Efficient Management of Various Detrimental Agricultural Pests. Front. Microbiol. 2021, 12, 1–28. [Google Scholar] [CrossRef] [PubMed]
- Crickmore, N.; Berry, C.; Panneerselvam, S.; Mishra, R.; Connor, T.R.; Bonning, B.C. A Structure-Based Nomenclature for Bacillus thuringiensis and Other Bacteria-Derived Pesticidal Proteins. J. Invertebr. Pathol. 2020, 186, 1–5. [Google Scholar] [CrossRef] [PubMed]
- Ruiz de Escudero, I.; Banyuls, N.; Bel, Y.; Maeztu, M.; Escriche, B.; Muñoz, D.; Caballero, P.; Ferré, J. A Screening of Five Bacillus thuringiensis Vip3A Proteins for Their Activity against Lepidopteran Pests. J. Invertebr. Pathol. 2014, 117, 51–55. [Google Scholar] [CrossRef] [PubMed]
- Syed, T.; Askari, M.; Meng, Z.; Li, Y.; Abid, M.; Wei, Y.; Guo, S.; Liang, C.; Zhang, R. Current Insights on Vegetative Insecticidal Proteins (Vip) as next Generation Pest Killers. Toxins 2020, 12, 522. [Google Scholar] [CrossRef] [PubMed]
- Lee, M.K.; Miles, P.J.; Chen, J.S. Brush Border Membrane Binding Properties of Bacillus thuringiensis Vip3A Toxin to Heliothis virescens and Helicoverpa zea Midguts. Biochem. Biophys. Res. Commun. 2006, 339, 1043–1047. [Google Scholar] [CrossRef]
- Milne, R.; Liu, Y.; Gauthier, D.; van Frankenhuyzen, K. Purification of Vip3Aa from Bacillus thuringiensis HD-1 and Its Contribution to Toxicity of HD-1 to Spruce budworm (Choristoneura fumiferana) and Gypsy moth (Lymantria dispar) (Lepidoptera). J. Invertebr. Pathol. 2008, 99, 166–172. [Google Scholar] [CrossRef]
- Hmani, M.; Boukedi, H.; Ben Khedher, S.; Elleuch, A.; Tounsi, S.; Abdelkefi-Mesrati, L. Improvement of Vip3Aa16 Toxin Production and Efficiency through Nitrous Acid and UV Mutagenesis of Bacillus thuringiensis (Bacillales: Bacillaceae). J. Econ. Entomol. 2018, 111, 108–111. [Google Scholar] [CrossRef]
- Boukedi, H.; Ben Khedher, S.; Triki, N.; Kamoun, F.; Saadaoui, I.; Chakroun, M.; Tounsi, S.; Abdelkefi-Mesrati, L. Overproduction of the Bacillus thuringiensis Vip3Aa16 Toxin and Study of Its Insecticidal Activity against the Carob Moth Ectomyelois Ceratoniae. J. Invertebr. Pathol. 2015, 127, 127–129. [Google Scholar] [CrossRef]
- Zouari, N.; Achour, O.; Jaoua, S. Production of Delta-Endotoxin by Bacillus thuringiensis subsp kurstaki and Overcoming of Catabolite Repression by Using Highly Concentrated Gruel and Fish Meal Media in 2- and 20-Dm3 Fermenters. J. Chem. Technol. Biotechnol. 2002, 77, 877–882. [Google Scholar] [CrossRef]
- Ghribi, D.; Zouari, N.; Trabelsi, H.; Jaoua, S. Improvement of Bacillus thuringiensis Delta-Endotoxin Production by Overcome of Carbon Catabolite Repression through Adequate Control of Aeration. Enzym. Microb. Technol. 2007, 40, 614–622. [Google Scholar] [CrossRef]
- Masri, M.M.M.; Ariff, A.B. Effect of Different Fermentation Strategies on Bacillus thuringiensis Cultivation and Its Toxicity towards the Bagworm, Metisa plana Walker (Lepidoptera: Psychidae). Egypt. J. Biol. Pest Control 2020, 30, 2. [Google Scholar] [CrossRef]
- Zou, H.; Ding, S.; Zhang, W.; Yao, J.; Jiang, L.; Liang, J. Study on Influence Factors in Bacillus thuringiensis Production by Semi-Solid State Fermentation Using Food Waste. Procedia Environ. Sci. 2016, 31, 127–135. [Google Scholar] [CrossRef]
- Ndao, A.; Sellamuthu, B.; Gnepe, J.R.; Tyagi, R.D.; Valero, J.R. Pilot-Scale Biopesticide Production by Bacillus thuringiensis subsp. kurstaki Using Starch Industry Wastewater as Raw Material. J. Environ. Sci. Health Part B 2017, 52, 623–630. [Google Scholar] [CrossRef]
- Rojas, N.L.; Lewkowicz, E.S.; Nobile, M.L. Alternative Low-Cost Process for Large-Scale Production of Bacillus thuringiensis in a Simple and Novel Culture System. J. Environ. Sci. Health Part B 2018, 53, 719–728. [Google Scholar] [CrossRef]
- Ghribi, D.; Zouari, N.; Jaoua, S. Improvement of Bioinsecticides Production through Adaptation of Bacillus thuringiensis Cells to Heat Treatment and NaCl Addition. J. Appl. Microbiol. 2005, 98, 823–831. [Google Scholar] [CrossRef] [PubMed]
- Lone, S.A.; Malik, A.; Padaria, J.C. Molecular Cloning and Characterization of a Novel Vip3-Type Gene from Bacillus thuringiensis and Evaluation of Its Toxicity against Helicoverpa Armigera. Microb. Pathog. 2018, 114, 464–469. [Google Scholar] [CrossRef]
- Boniolo, F.S.; Rodrigues, R.C.; Prata, A.M.R.; López, M.L.; Jacinto, T.; da Silveira, M.M.; Berbert-Molina, M.A. Oxygen Supply in Bacillus thuringiensis Fermentations: Bringing New Insights on Their Impact on Sporulation and δ-Endotoxin Production. Appl. Microbiol. Biotechnol. 2012, 94, 625–636. [Google Scholar] [CrossRef]
- Mounsef, J.R.; Salameh, D.; Louka, N.; Brandam, C.; Lteif, R. The Effect of Aeration Conditions, Characterized by the Volumetric Mass Transfer Coefficient KLa, on the Fermentation Kinetics of Bacillus thuringiensis kurstaki. J. Biotechnol. 2015, 210, 100–106. [Google Scholar] [CrossRef]
- Holmberg, A.; Sievänen, R.; Carlberg, G. Fermentation of Bacillus thuringiensis for Exotoxin Production: Process Analysis Study. Biotechnol. Bioeng. 1980, 22, 1707–1724. [Google Scholar] [CrossRef]
- Vu, K.D.; Tyagi, R.D.; Valéro, J.R.; Surampalli, R.Y. Impact of Different PH Control Agents on Biopesticidal Activity of Bacillus thuringiensis during the Fermentation of Starch Industry Wastewater. Bioprocess Biosyst. Eng. 2008, 32, 511–519. [Google Scholar] [CrossRef]
- Zouari, N.; Ali, S.B.S.; Jaoua, S. Production of Delta-Endotoxins by Bacillus thuringiensis Strains Exhibiting Various Insecticidal Activities towards Lepidoptera and Diptera in Gruel and Fish Meal Media. Enzym. Microb. Technol. 2002, 31, 411–418. [Google Scholar] [CrossRef]
- Atehortúa, P.; Álvarez, H.; Orduz, S. Modeling of Growth and Sporulation of Bacillus thuringiensis in an Intermittent Fed Batch Culture with Total Cell Retention. Bioprocess Biosyst. Eng. 2007, 30, 447–456. [Google Scholar] [CrossRef] [PubMed]
- Amicarelli, A.; di Sciascio, F.; Toibero, J.M.; Álvarez, H. Including Dissolved Oxygen Dynamics into the Bt δ-Endotoxins Production Process Model and Its Application to Process Control. Braz. J. Chem. Eng. 2010, 27, 41–62. [Google Scholar] [CrossRef]
- Nutaratat, P.; Werapan, B.; Phosrithong, N.; Trakulnaleamsai, C.; Rungrod, A.; Utamatho, M.; Soonsanga, S.; Promdonkoy, B.; Malairuang, K.; Prathumpai, W. Vegetative Insecticidal Protein (Vip3A) Production by Bacillus Thuringiensis Bt294 and Its Efficacy against Lepidopteran Pests (Spodoptera exigua). Biotechnol. Rep. 2023, 40, e00812. [Google Scholar] [CrossRef]
- Büchs, J. Introduction to Advantages and Problems of Shaken Cultures. Biochem. Eng. J. 2001, 7, 91–98. [Google Scholar] [CrossRef]
- Bradford, M.M. A Rapid and Sensitive Method for the Quantitation of Microgram Quantities of Protein Utilizing the Principle of Protein-Dye Binding. Anal. Biochem. 1976, 72, 248–254. [Google Scholar] [CrossRef]
- Abbott, W.S. A Method of Computing the Effectiveness of an Insecticide. J. Econ. Entomol. 1925, 18, 265–267. [Google Scholar] [CrossRef]
- Vidyarthi, A.S.; Desrosiers, M.; Tyagi, R.D.; Valero, J.R. Foam Control in Biopesticide Production from Sewage Sludge. J. Ind. Microbiol. Biotechnol. 2000, 25, 86–92. [Google Scholar] [CrossRef]
- Junker, B. Foam and Its Mitigation in Fermentation Systems. Biotechnol. Prog. 2007, 23, 767–784. [Google Scholar] [CrossRef]
- Holmes, W.; Smith, R.; Bill, R. Evaluation of Antifoams in the Expression of a Recombinant FC Fusion Protein in Shake Flask Cultures of Saccharomyces cerevisiae & Pichia pastoris. Microb. Cell Factories 2006, 5, 1–3. [Google Scholar]
- Routledge, S.J.; Bill, R.M. The Effect of Antifoam Addition on Protein Production Yields. In Methods in Molecular Biology; Bill, R.M., Ed.; Humana Press: Totowa, NJ, USA, 2012; pp. 87–97. [Google Scholar]
- Kaku, V.J.; Boufadel, M.C.; Venosa, A.D. Evaluation of Mixing Energy in the Swirling and Baffled Flasks. In IUTAM Symposium on Reynolds Number Scaling in Turbulent Flow; Smits, A.J., Ed.; Springer: Dordrecht, The Netherlands, 2002; pp. 211–218. [Google Scholar]
- Sun, D.; Liao, J.; Sun, L.; Wang, Y.; Liu, Y.; Deng, Q.; Zhang, N.; Xu, D.; Fang, Z.; Wang, W.; et al. Effect of Media and Fermentation Conditions on Surfactin and Iturin Homologues Produced by Bacillus natto NT-6: LC–MS Analysis. AMB Express 2019, 9, 120. [Google Scholar] [CrossRef] [PubMed]
- Ibrahim, D. Effect of Agitation Speed on the Morphology of Aspergillus niger HFD5A-1 Hyphae and Its Pectinase Production in Submerged Fermentation. World J. Biol. Chem. 2015, 6, 265. [Google Scholar] [CrossRef]
- Pissuwan, D.; Suntornsuk, W. Production of Keratinase by Bacillus sp. FK 28 Isolated in Thailand. Kasetsart J.-Nat. Sci. 2001, 35, 171–178. [Google Scholar]
- Boukedi, H.; Ben Khedher, S.; Abdelkefi-Mesrati, L.; Van Rie, J.; Tounsi, S. Comparative Analysis of the Susceptibility/Tolerance of Spodoptera littoralis to Vip3Aa, Vip3Ae, Vip3Ad and Vip3Af Toxins of Bacillus thuringiensis. J. Invertebr. Pathol. 2018, 152, 30–34. [Google Scholar] [CrossRef] [PubMed]
- Wang, Y.; Fang, X.; Cheng, Y.; Zhang, X. Manipulation of pH Shift to Enhance the Growth and Antibiotic Activity of Xenorhabdus nematophila. J. Biomed. Biotechnol. 2011, 2011, 672369. [Google Scholar] [CrossRef]
- Smith, R. Effect of Strain and Medium Variation on Mosquito Toxin Production by Bacillus thuringiensis var. Israelensis. Can. J. Microbiol. 1982, 28, 1089–1092. [Google Scholar] [CrossRef]
- Yousten, A.A.; Wallis, D.J. Batch and Continuous Culture Production of the Mosquito Larval Toxin of Bacillus sphaericus 2362. J. Ind. Microbiol. 1987, 2, 277–283. [Google Scholar] [CrossRef]
- Zheng, R.; Pan, F. On-Line Tendency Control of Dissolved Oxygen Concentration during Aerobic Fed-Batch Fermentations. Appl. Sci. 2019, 9, 5232. [Google Scholar] [CrossRef]
- McBride, B.W.; Turnbull, P.C.B. Bacillus, Infection and Immunity. In Encyclopedia of Immunology, 2nd ed.; Delves, P.J., Ed.; Academic Press: Cambridge, MA, USA, 1998; pp. 311–315. [Google Scholar]
- Akhavan Sepahy, A.; Jabalameli, L. Effect of Culture Conditions on the Production of an Extracellular Protease by Bacillus sp. Isolated from Soil Sample of Lavizan Jungle Park. Enzym. Res. 2011, 2011, 219628. [Google Scholar] [CrossRef]
- Zhou, Y.; Han, L.-R.; He, H.-W.; Sang, B.; Yu, D.-L.; Feng, J.-T.; Zhang, X. Effects of Agitation, Aeration and Temperature on Production of a Novel Glycoprotein GP-1 by Streptomyces kanasenisi ZX01 and Scale-up Based on Volumetric Oxygen Transfer Coefficient. Molecules 2018, 23, 125. [Google Scholar] [CrossRef]
- Iqbal Qazi, J.; Nadeem, M.; Syed, Q.; Baig, S. Effect of Aeration and Agitation Rates on Alkaline Protease Production by Bacillus licheniformis UV-9 Mutant. Turk. J. Biochem. 2009, 34, 89–96. [Google Scholar]
- Chisti, Y. Fermentation (Industrial); Basic Considerations. In Encyclopedia of Food Microbiology; Batt, C.A., Tortorello, M.L., Eds.; Elsevier: Palmerston North, New Zealand, 2014; pp. 413–420. [Google Scholar]
- Kamble, A.L.; Meena, V.S.; Banerjee, U.C. Effect of Agitation and Aeration on the Production of Nitrile Hydratase by Rhodococcus erythropolis MTCC 1526 in a Stirred Tank Reactor. Lett. Appl. Microbiol. 2010, 51, 413–420. [Google Scholar] [CrossRef] [PubMed]
- Ng, W. Effect of Different Aeration and Polyethylene Glycol Concentration on Growth of Escherichia coli DH5α in a 1L Bioreactor. Can. J. Microbiol. 2018, 5, 1–10. [Google Scholar]
- Yang, X. Scale-up of Microbial Fermentation Process. In Manual of Industrial Microbiology and Biotechnology, 3rd ed.; Bull, A.T., Junker, B., Katz, L., Lynd, L.R., Masurekar, P., Reeves, C.D., Zhao, H., Eds.; Wiley Online Library: Hoboken, NJ, USA, 2010; pp. 669–675. [Google Scholar]
- Song, F.; Lin, Y.; Chen, C.; Shao, E.; Guan, X.; Huang, Z. Insecticidal Activity and Histopathological Effects of Vip3Aa Protein from Bacillus thuringiensis on Spodoptera litura. J. Microbiol. Biotechnol. 2016, 26, 1774–1780. [Google Scholar] [CrossRef] [PubMed]
- Boonyos, P.; Trakulnalueamsai, C.; Rungrod, A.; Chongthammakun, S.; Promdonkoy, B. Antagonistic Effect of Truncated Fragments of Bacillus thuringiensis Vip3Aa on the Larvicidal Activity of Its Full-Length Protein. Protein Pept. Lett. 2021, 28, 131–139. [Google Scholar] [CrossRef]







| Factors | Vip3A (mg/L) (at 5 Days) | ||
|---|---|---|---|
| Antifoaming Agents/ Concentration | 0.05% (v/v) | 0.1% (v/v) | 0.5% (v/v) |
| Antifoam 204 | 1450.00 a,b,A ± 86.6 | 1416.67 b,A ± 288.7 | 1683.33 a,A ± 548.5 |
| Antifoam AFE-1520 | 1125.00 A ± 0.0 | 1133.33 c,A ± 14.4 | 1133.33 c,A ± 14.4 |
| Antifoam 1410 | 1133.33 c,A ± 375.3 | 1125.00 c,A ± 25.0 | 1466.67 b,A ± 57.7 |
| Palm oil | 650.00 B ± 86.6 | 1200.00 c,A ± 86.6 | 1083.33 c,A ± 144.3 |
| Soybean oil | 1116.67 c,B ± 28.9 | 1216.67 c,A ± 28.9 | 1116.67 c,B ± 57.7 |
| Olive oil | 1133.33 c,A ± 125.8 | 1216.67 c,A ± 57.7 | 1108.33 c,A ± 123.3 |
| Rice bran oil | 1150.00 c,A ± 50.0 | 1050.00 c,B ± 43.3 | 1116.67 c,A,B ± 14.4 |
| Coconut oil | 1233.30 b,c,A ± 76.4 | 1240.00 b,c,A ± 17.3 | 1220.00 c,A ± 26.5 |
| Control (without antifoaming agent) | 1500.00 a ± 50.0 | ||
| Vip3A Concentration (ng/cm2) | % Corrected Mortality | LC50 (ng/cm2) |
|---|---|---|
| 1000 | 89.80 | |
| 600 | 72.40 | |
| 400 | 45.00 | |
| 200 | 22.20 | |
| 100 | 13.30 | 472.50 (430.60–518.10) |
| 0 (Control) | 0.00 |
Disclaimer/Publisher’s Note: The statements, opinions and data contained in all publications are solely those of the individual author(s) and contributor(s) and not of MDPI and/or the editor(s). MDPI and/or the editor(s) disclaim responsibility for any injury to people or property resulting from any ideas, methods, instructions or products referred to in the content. |
© 2023 by the authors. Licensee MDPI, Basel, Switzerland. This article is an open access article distributed under the terms and conditions of the Creative Commons Attribution (CC BY) license (https://creativecommons.org/licenses/by/4.0/).
Share and Cite
Malairuang, K.; Nutaratat, P.; Werapan, B.; Komwijit, S.; Trakulnaleamsai, C.; Phosrithong, N.; Rungrod, A.; Promdonkoy, B.; Prathumpai, W. Physical Factors Affecting the Scale-Up of Vegetative Insecticidal Protein (Vip3A) Production by Bacillus thuringiensis Bt294. Fermentation 2023, 9, 980. https://doi.org/10.3390/fermentation9110980
Malairuang K, Nutaratat P, Werapan B, Komwijit S, Trakulnaleamsai C, Phosrithong N, Rungrod A, Promdonkoy B, Prathumpai W. Physical Factors Affecting the Scale-Up of Vegetative Insecticidal Protein (Vip3A) Production by Bacillus thuringiensis Bt294. Fermentation. 2023; 9(11):980. https://doi.org/10.3390/fermentation9110980
Chicago/Turabian StyleMalairuang, Kwanruthai, Pumin Nutaratat, Borworn Werapan, Somjit Komwijit, Chutchanun Trakulnaleamsai, Netnapa Phosrithong, Amporn Rungrod, Boonhiang Promdonkoy, and Wai Prathumpai. 2023. "Physical Factors Affecting the Scale-Up of Vegetative Insecticidal Protein (Vip3A) Production by Bacillus thuringiensis Bt294" Fermentation 9, no. 11: 980. https://doi.org/10.3390/fermentation9110980
APA StyleMalairuang, K., Nutaratat, P., Werapan, B., Komwijit, S., Trakulnaleamsai, C., Phosrithong, N., Rungrod, A., Promdonkoy, B., & Prathumpai, W. (2023). Physical Factors Affecting the Scale-Up of Vegetative Insecticidal Protein (Vip3A) Production by Bacillus thuringiensis Bt294. Fermentation, 9(11), 980. https://doi.org/10.3390/fermentation9110980

