Technological Insights on Glycerol Valorization into Propanediol through Thermocatalytic and Synthetic Biology Approaches
Abstract
1. Introduction
2. Chemistry and Value-Addition of Glycerol
2.1. Transesterification and Saponification
2.2. Hydrolysis
3. Chemistry and Applications of Propanediol
3.1. 1,2-propanediol
3.2. 1,3-propanediol
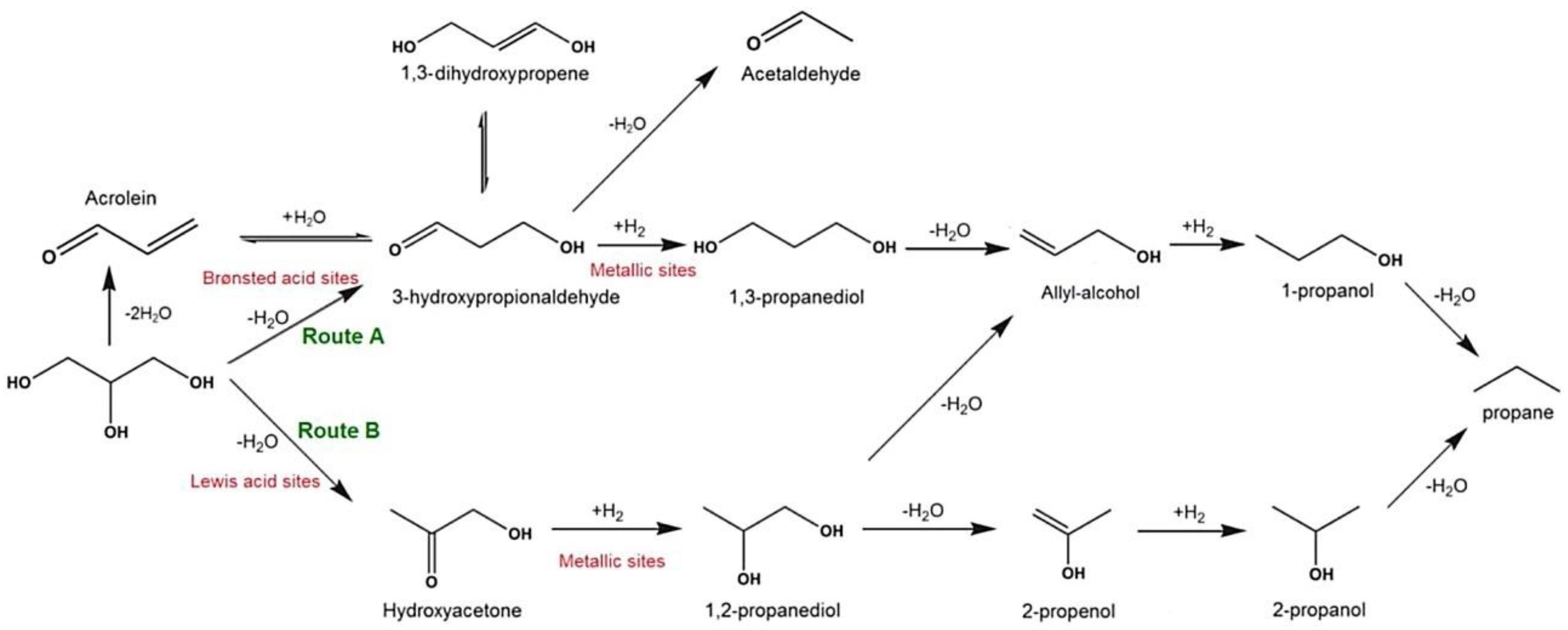
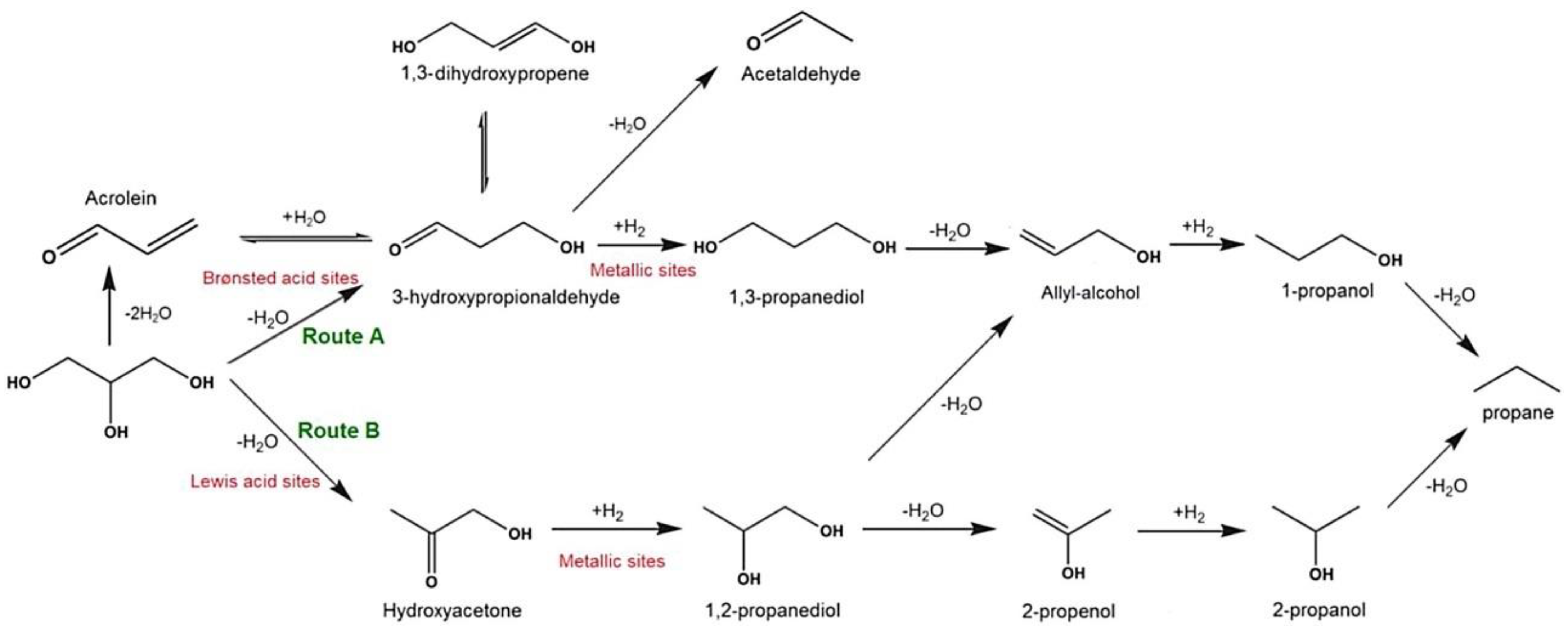
4. Thermocatalytic Conversion of Glycerol to Propanediol
5. Biocatalytic Conversion of Glycerol into Propanediol
6. Conclusions and Perspectives
Author Contributions
Funding
Institutional Review Board Statement
Informed Consent Statement
Data Availability Statement
Conflicts of Interest
References
- Nanda, S.; Reddy, S.N.; Mitra, S.K.; Kozinski, J.A. The progressive routes for carbon capture and sequestration. Energy Sci. Eng. 2016, 4, 99–122. [Google Scholar] [CrossRef]
- Podder, J.; Patra, B.R.; Pattnaik, F.; Nanda, S.; Dalai, A.K. A review of carbon capture and valorization technologies. Energies 2023, 16, 2589. [Google Scholar] [CrossRef]
- Ritchie, H.; Roser, M.; Rosado, P. Our World in Data. CO2 and Greenhouse Gas Emissions. Our World in Data. Available online: https://ourworldindata.org/co2-and-greenhouse-gas-emissions (accessed on 10 August 2023).
- Buis, A. NASA. The Atmosphere: Getting a Handle on Carbon Dioxide. Available online: https://climate.nasa.gov/news/2915/the-atmosphere-getting-a-handle-on-carbon-dioxide (accessed on 10 August 2023).
- Intergovernmental Panel on Climate Change. Climate Change 2021—The Physical Science Basis: Working Group I Contribution to the Sixth Assessment Report of the Intergovernmental Panel on Climate Change; Cambridge University Press: Cambridge, UK, 2023. [Google Scholar]
- Wehrli, K.; Guillod, B.P.; Hauser, M.; Leclair, M.; Seneviratne, S.I. Identifying key driving processes of major recent heat waves. JGR Atmos. 2019, 124, 11746–11765. [Google Scholar] [CrossRef]
- Butler, C.J. A review of the effects of climate change on Chelonians. Diversity 2019, 11, 138. [Google Scholar] [CrossRef]
- Okolie, J.A.; Mukherjee, A.; Nanda, S.; Dalai, A.K.; Kozinski, J.A. Next-generation biofuels and platform biochemicals from lignocellulosic biomass. Int. J. Energy Res. 2021, 45, 14145–14169. [Google Scholar] [CrossRef]
- Prasanth, S.M.; Kumar, P.S.; Harish, S.; Rishikesh, M.; Nanda, S.; Vo, D.V.N. Application of biomass derived products in mid-size automotive industries: A review. Chemosphere 2021, 280, 130723. [Google Scholar] [CrossRef]
- Precedence Research. Biochemical Market (By Type: Biodiesel, Amino Acids, Fine Chemicals, Phytochemicals, Antibiotics, Dyes & Stains; By Application: Pharmaceuticals, Dairy, Automotive, Agriculture, Textile, Food Processing)—Global Industry Analysis, Size, Share, Growth, Trends, Regional Outlook, and Forecast 2023–2032. Available online: https://www.precedenceresearch.com/biochemical-market (accessed on 12 August 2023).
- Savini, F. The circular economy of waste: Recovery, incineration and urban reuse. J. Environ. Plan. Manag. 2021, 64, 2114–2132. [Google Scholar] [CrossRef]
- Martinelli, L.; Nikel, P.I. Breaking the state-of-the-art in the chemical industry with new-to-Nature products via synthetic microbiology. Microb. Biotechnol. 2019, 12, 187–190. [Google Scholar] [CrossRef]
- Ögmundarson, Ó.; Herrgård, M.J.; Forster, J.; Hauschild, M.Z.; Fantke, P. Addressing environmental sustainability of biochemicals. Nat. Sustain. 2020, 3, 167–174. [Google Scholar] [CrossRef]
- Nanda, S.; Patra, B.R.; Patel, R.; Bakos, J.; Dalai, A.K. Innovations in applications and prospects of bioplastics and biopolymers: A review. Environ. Chem. Lett. 2022, 20, 379–395. [Google Scholar] [CrossRef]
- Nanda, S.; Sarker, T.R.; Kang, K.; Li, D.; Dalai, A.K. Perspectives on thermochemical recycling of end-of-life plastic wastes to alternative fuels. Materials 2023, 16, 4563. [Google Scholar] [CrossRef] [PubMed]
- Pattnaik, F.; Patra, B.R.; Okolie, J.A.; Nanda, S.; Dalai, A.K.; Naik, S. A review of thermocatalytic conversion of biogenic wastes into crude biofuels and biochemical precursors. Fuel 2022, 320, 123857. [Google Scholar] [CrossRef]
- Schmitt, N.; Apfelbacher, A.; Jäger, N.; Daschner, R.; Stenzel, F.; Hornung, A. Thermo-chemical conversion of biomass and upgrading to biofuel: The thermo-catalytic reforming process—A review. Biofuel Bioprod. Bioref. 2019, 13, 822–837. [Google Scholar] [CrossRef]
- Khandelwal, K.; Nanda, S.; Boahene, P.; Dalai, A.K. Conversion of biomass into clean hydrogen using supercritical water gasification: A review. Environ. Chem. Lett. 2023, 21, 2619–2638. [Google Scholar] [CrossRef]
- Khandelwal, K.; Boahene, P.; Nanda, S.; Dalai, A.K. A review of the design and performance of catalysts for hydrothermal gasification of biomass to produce hydrogen-rich gas fuel. Molecules 2023, 28, 5137. [Google Scholar] [CrossRef]
- Robles-Medina, A.; González-Moreno, P.A.; Esteban-Cerdán, L.; Molina-Grima, E. Biocatalysis: Towards ever greener biodiesel production. Biotechnol. Adv. 2009, 27, 398–408. [Google Scholar] [CrossRef]
- Ayodele, B.V.; Abdullah, T.A.R.B.T.; Alsaffar, M.A.; Mustapa, S.I.; Salleh, S.F. Recent advances in renewable hydrogen production by thermo-catalytic conversion of biomass-derived glycerol: Overview of prospects and challenges. Int. J. Hydrog. Energy 2020, 45, 18160–18185. [Google Scholar] [CrossRef]
- Kaur, J.; Sarma, A.K.; Jha, M.K.; Gera, P. Valorisation of crude glycerol to value-added products: Perspectives of process technology, economics and environmental issues. Biotechnol. Rep. 2020, 27, e00487. [Google Scholar] [CrossRef]
- Pattnaik, F.; Tripathi, S.; Patra, B.R.; Nanda, S.; Kumar, V.; Dalai, A.K.; Naik, S. Catalytic conversion of lignocellulosic polysaccharides to commodity biochemicals: A review. Environ. Chem. Lett. 2021, 19, 4119–4136. [Google Scholar] [CrossRef]
- Jha, S.; Okolie, J.A.; Nanda, S.; Dalai, A.K. A review of biomass resources and thermochemical conversion technologies. Chem. Eng. Technol. 2022, 45, 791–799. [Google Scholar] [CrossRef]
- Jha, S.; Nanda, S.; Acharya, B.; Dalai, A.K. A review of thermochemical conversion of waste biomass to biofuels. Energies 2022, 15, 6352. [Google Scholar] [CrossRef]
- Okoye, P.U.; Arias, D.M.; Hameed, B.H.; Sebastian, P.J.; Li, S.; Song, W. Thermocatalytic routes and reactor strategies for valorization of biodiesel-derived glycerol to fuels. Appl. Ther. Eng. 2022, 214, 118901. [Google Scholar] [CrossRef]
- Nanda, S.; Pattnaik, P.; Patra, B.R.; Kang, K.; Dalai, A.K. A review of liquid and gaseous biofuels from advanced microbial fermentation processes. Fermentation 2023, 9, 813. [Google Scholar] [CrossRef]
- Senseni, A.Z.; Rezaei, M.; Meshkani, F. Glycerol steam reforming over noble metal nanocatalysts. Chem. Eng. Res. Des. 2017, 123, 360–366. [Google Scholar] [CrossRef]
- Bi, Y.; Lei, X.; Xu, G.; Chen, H.; Hu, J. Catalytic fast pyrolysis of kraft lignin over hierarchical HZSM-5 and Hβ zeolites. Catalysts 2018, 8, 82. [Google Scholar] [CrossRef]
- Melchor, J.J.; Fortes, I.C.P. Bio-oil production by pyrolysis of metal soaps derived from macauba pulp oil. J. Anal. Appl. Pyrolysis 2018, 135, 101–110. [Google Scholar] [CrossRef]
- Perez-Zabaleta, M.; Atasoy, M.; Khatami, K.; Eriksson, E.; Cetecioglu, Z. Bio-based conversion of volatile fatty acids from waste streams to polyhydroxyalkanoates using mixed microbial cultures. Bioresour. Technol. 2021, 323, 124604. [Google Scholar] [CrossRef] [PubMed]
- Sadaf, S.; Iqbal, J.; Ullah, I.; Bhatti, H.N.; Nouren, S.; Nisar, J.; Iqbal, M. Biodiesel production from waste cooking oil: An efficient technique to convert waste into biodiesel. Sustain. Cities Soc. 2018, 41, 220–226. [Google Scholar]
- Huang, Z.; Qin, L.; Xu, Z.; Chen, W.; Xing, F.; Han, J. The effects of Fe2O3 catalyst on the conversion of organic matter and bio-fuel production during pyrolysis of sewage sludge. J. Energy Inst. 2019, 92, 835–842. [Google Scholar] [CrossRef]
- Kumar, G.; Dharmaraja, J.; Arvindnarayan, S.; Shoban, S.; Bakonyi, P.; Saratale, G.D.; Kim, S.H. A comprehensive review on thermochemical, biological, biochemical and hybrid conversion methods of bio-derived lignocellulosic molecules into renewable fuels. Fuel 2019, 251, 352–367. [Google Scholar] [CrossRef]
- Khandelwal, K.; Boahene, P.; Nanda, S.; Dalai, A.K. Hydrogen production from supercritical water gasification of model compounds of crude glycerol from biodiesel industries. Energies 2023, 16, 3746. [Google Scholar] [CrossRef]
- Yang, F.; Hanna, M.A.; Sun, R. Value-added uses for crude glycerol—A byproduct of biodiesel production. Biotechnol. Biofuels 2012, 5, 13. [Google Scholar] [CrossRef] [PubMed]
- Pirzadi, Z.; Meshkani, F. From glycerol production to its value-added uses: A critical review. Fuel 2022, 329, 125044. [Google Scholar] [CrossRef]
- Reddy, S.N.; Nanda, S.; Kozinski, J.A. Supercritical water gasification of glycerol and methanol mixtures as model waste residues from biodiesel refinery. Chem. Eng. Res. Des. 2016, 113, 17–27. [Google Scholar] [CrossRef]
- Tan, H.W.; Aziz, A.R.A.; Aroua, M.K. Glycerol production and its applications as a raw material: A review. Renew. Sustain. Energy Rev. 2013, 27, 118–127. [Google Scholar] [CrossRef]
- Singh, A.; Walvekar, R.; Khalid, M.; Wong, W.Y.; Gupta, T.C.S.M. Thermophysical properties of glycerol and polyethylene glycol (PEG 600) based DES. J. Mol. Liquids 2018, 252, 439–444. [Google Scholar] [CrossRef]
- Hu, S.; Luo, X.; Wan, C.; Li, Y. Characterization of crude glycerol from biodiesel plants. J. Agric. Food Chem. 2012, 60, 5915–5921. [Google Scholar] [CrossRef]
- Vávra, A.; Hájek, M.; Kocián, D. The influence of vegetable oils composition on separation of transesterification products, especially quality of glycerol. Renew. Energy 2021, 176, 262–268. [Google Scholar] [CrossRef]
- da Silva Ruy, A.D.; de Brito Alves, R.M.; Hewer, T.L.R.; de Aguiar Pontes, D.; Teixeira, L.S.G.; Pontes, L.A.M. Catalysts for glycerol hydrogenolysis to 1,3-propanediol: A review of chemical routes and market. Catal. Today 2021, 381, 243–253. [Google Scholar] [CrossRef]
- Teng, W.K.; Ngoh, G.C.; Yusoff, R.; Aroua, M.K. Microwave-assisted transesterification of industrial grade crude glycerol for the production of glycerol carbonate. Chem. Eng. J. 2016, 284, 469–477. [Google Scholar] [CrossRef]
- Rodrigues, C.V.; Santana, K.O.; Nespeca, M.G.; de Oliveira, J.E.; Maintinguer, S.I. Crude glycerol by transesterification process from used cooking oils: Characterization and potentialities on hydrogen bioproduction. Int. J. Hydrog. Energy 2016, 41, 14641–14651. [Google Scholar] [CrossRef]
- Quispe, C.A.G.; Coronado, C.J.R.; Carvalho, J.A., Jr. Glycerol: Production, consumption, prices, characterization and new trends in combustion. Renew. Sustain. Energy Rev. 2013, 27, 475–493. [Google Scholar] [CrossRef]
- Dhabhai, R.; Ahmadifeijani, E.; Dalai, A.K.; Reaney, M. Purification of crude glycerol using a sequential physico-chemical treatment, membrane filtration, and activated charcoal adsorption. Sep. Purif. Technol. 2016, 168, 101–106. [Google Scholar] [CrossRef]
- Chanakaewsomboon, I.; Tongurai, C.; Photaworn, S.; Kungsanant, S.; Nikhom, R. Investigation of saponification mechanisms in biodiesel production: Microscopic visualization of the effects of FFA, water and the amount of alkaline catalyst. J. Environ. Chem. Eng. 2020, 8, 103538. [Google Scholar] [CrossRef]
- Melani, N.B.; Tambourgi, E.B.; Silveira, E. Lipases: From Production to Applications. Sep. Purif. Rev. 2020, 49, 143–158. [Google Scholar] [CrossRef]
- Díaz, G.C.; Tapanes, N.d.l.C.O.; Câmara, L.D.T.; Aranda, D.A.G. Glycerol conversion in the experimental study of catalytic hydrolysis of triglycerides for fatty acids production using Ni or Pd on Al2O3 or SiO2. Renew. Energy 2014, 64, 113–122. [Google Scholar] [CrossRef]
- Aguieiras, E.C.G.; Cavalcanti-Oliveira, E.D.; de Castro, A.M.; Langone, M.A.P.; Freire, D.M.G. Biodiesel production from Acrocomia aculeata acid oil by (enzyme/enzyme) hydroesterification process: Use of vegetable lipase and fermented solid as low-cost biocatalysts. Fuel 2014, 135, 315–321. [Google Scholar] [CrossRef]
- Dmitriev, G.S.; Zanaveskin, L.N.; Terekhov, A.V.; Samoilov, V.O.; Kozlovskii, I.A.; Maksimov, A.L. Technologies for processing of crude glycerol from biodiesel production: Synthesis of solketal and its hydrolysis to obtain pure glycerol. Russian J. Appl. Chem. 2018, 91, 1478–1485. [Google Scholar] [CrossRef]
- Soares, D.; Pinto, A.F.; Gonçalves, A.G.; Mitchell, D.A.; Krieger, N. Biodiesel production from soybean soapstock acid oil by hydrolysis in subcritical water followed by lipase-catalyzed esterification using a fermented solid in a packed-bed reactor. Biochem. Eng. J. 2013, 81, 15–23. [Google Scholar] [CrossRef]
- Restrepo, J.B.; Paternina-Arboleda, C.D.; Bula, A.J. 1,2-propanediol production from glycerol derived from biodiesel’s production: Technical and economic study. Energies 2021, 1, 5081. [Google Scholar] [CrossRef]
- Grand View Research. Propylene Glycol Market Report. Available online: https://www.grandviewresearch.com/industry-analysis/propylene-glycol-market-report (accessed on 17 August 2023).
- Sun, Y.Q.; Shen, J.T.; Yan, L.; Zhou, J.J.; Jiang, L.L.; Chen, Y.; Xiu, Z.L. Advances in bioconversion of glycerol to 1,3-propanediol: Prospects and challenges. Process Biochem. 2018, 71, 134–146. [Google Scholar] [CrossRef]
- Vivek, N.; Hazeena, S.H.; Alphy, M.P.; Kumar, V.; Magdouli, S.; Sindhu, R.; Pandey, A.; Binod, P. Recent advances in microbial biosynthesis of C3–C5 diols: Genetics and process engineering approaches. Bioresour. Technol. 2021, 322, 124527. [Google Scholar] [CrossRef] [PubMed]
- Polaris Market Research. 1,3-Propanediol Market. Available online: https://www.polarismarketresearch.com/industry-analysis/1-3-propanediol-market (accessed on 17 August 2023).
- Bellè, A.; Kusada, K.; Kitagawa, H.; Perosa, A.; Castoldi, L.; Polidoro, D.; Selva, M. Carbon-supported WOx–Ru-based catalysts for the selective hydrogenolysis of glycerol to 1,2-propanediol. Catal. Sci. Technol. 2022, 12, 259–272. [Google Scholar] [CrossRef]
- Miao, G.; Shi, L.; Zhou, Z.; Zhu, L.; Zhang, Y.; Zhao, X.; Sun, Y. Catalyst design for selective hydrodeoxygenation of glycerol to 1,3-propanediol. ACS Catal. 2020, 10, 15217–15226. [Google Scholar] [CrossRef]
- Wang, S.; Jiang, J.; Gu, M.; Gao, F.; Shen, Z. Catalytic production of 1,2-propanediol from sucrose over a functionalized Pt/deAl-beta zeolite catalyst. RSC Adv. 2023, 13, 734–741. [Google Scholar] [CrossRef] [PubMed]
- Zhang, X.; Cui, G.; Wei, M. PtIn alloy catalysts toward selective hydrogenolysis of glycerol to 1,2-propanediol. Ind. Eng. Chem. Res. 2020, 59, 12999–13006. [Google Scholar] [CrossRef]
- Bauer, R.; du Toit, M.; Kossmann, J. Influence of environmental parameters on production of the acrolein precursor 3-hydroxypropionaldehyde by Lactobacillus reuteri DSMZ 20016 and its accumulation by wine lactobacilli. Int. J. Food Microbiol. 2010, 137, 28–31. [Google Scholar] [CrossRef]
- Wischral, D.; Zhang, J.; Cheng, C.; Lin, M.; Souza, L.M.G.; Pessoa, F.L.P.; Yang, S.T. Production of 1,3-propanediol by Clostridium beijerinckii DSM 791 from crude glycerol and corn steep liquor: Process optimization and metabolic engineering. Bioresour. Technol. 2016, 212, 100–110. [Google Scholar] [CrossRef]
- Pyne, M.E.; Sokolenko, S.; Liu, X.; Srirangan, K.; Bruder, M.R.; Aucoin, M.G.; Moo-Young, M.; Chung, D.A.; Chou, C.P. Disruption of the reductive 1,3-propanediol pathway triggers production of 1,2-propanediol for sustained glycerol fermentation by Clostridium pasteurianum. Appl. Environ. Microbiol. 2016, 82, 5375–5388. [Google Scholar] [CrossRef]
- Yang, B.; Liang, S.; Liu, H.; Liu, J.; Cui, Z.; Wen, J. Metabolic engineering of Escherichia coli for 1,3-propanediol biosynthesis from glycerol. Bioresour. Technol. 2018, 267, 599–607. [Google Scholar] [CrossRef]
- Wang, X.L.; Zhou, J.J.; Shen, J.T.; Zheng, Y.F.; Sun, Y.Q.; Xiu, Z.L. Sequential fed-batch fermentation of 1,3-propanediol from glycerol by Clostridium butyricum DL07. Appl. Microbiol. Biotechnol. 2020, 104, 9179–9191. [Google Scholar] [CrossRef]
- Lama, S.; Seol, E.; Park, S. Development of Klebsiella pneumoniae J2B as microbial cell factory for the production of 1,3-propanediol from glucose. Metab. Eng. 2020, 62, 116–125. [Google Scholar] [CrossRef] [PubMed]
- Wu, Y.; Lin, Y.H. Fermentation redox potential control on the 1,3-propanediol production by Lactobacillus panis PM1. Process Biochem. 2022, 114, 139–146. [Google Scholar] [CrossRef]
- Wong, N.; Jantama, K. Engineering Escherichia coli for a high yield of 1,3-propanediol near the theoretical maximum through chromosomal integration and gene deletion. Appl. Microbiol. Biotechnol. 2022, 106, 2937–2951. [Google Scholar] [CrossRef] [PubMed]
- Drożdżyńska, A.; Wawrzyniak, J.; Kubiak, P.; Przybylak, M.; Białas, W.; Czaczyk, K. Optimization and modeling of Citrobacter freundii AD119 growth and 1,3-propanediol production using two-step statistical experimental design and artificial neural networks. Sensors 2023, 23, 1266. [Google Scholar] [CrossRef]
- Duell, A.K.; Pankow, J.F.; Gillette, S.M.; Peyton, D.H. Boiling points of the propylene glycol + glycerol system at 1 atmosphere pressure: 188.6-292°C without and with added water or nicotine. Chem. Eng. Comm. 2018, 205, 1691–1700. [Google Scholar] [CrossRef] [PubMed]
- Zhang, J.; Li, Z.; He, X.; Cao, Y.; Wang, C. Sulfate-functionalized metal–organic frameworks supporting Pd nanoparticles for the hydrogenolysis of glycerol to 1,2-propanediol. New J. Chem. 2021, 45, 21263–21269. [Google Scholar] [CrossRef]
- Główka, M.; Krawczyk, T. New trends and perspectives in production of 1,2-propanediol. ACS Sustain. Chem. Eng. 2023, 11, 7274–7287. [Google Scholar] [CrossRef]
- Pandey, D.K.; Biswas, P. Review of the development of heterogeneous catalysts for liquid and vapor phase hydrogenolysis of glycerol to propylene glycol (1,2-propanediol): State-of-the-art and outlook. Energy Fuels 2023, 37, 6879–6906. [Google Scholar] [CrossRef]
- Madej, Ł.; Kiss, A.A. Eco-efficiency improvements in the propylene-to-epichlorohydrin process. J. Chem. Technol. Biotechnol. 2023, 98, 2110–2121. [Google Scholar] [CrossRef]
- Pattamaprom, C.; Wu, C.H.; Chen, P.H.; Huang, Y.L.; Ranganathan, P.; Rwei, S.P.; Chuan, F.S. Solvent-free one-shot synthesis of thermoplastic polyurethane based on bio-poly(1,3-propylene succinate) glycol with temperature-sensitive shape memory behavior. ACS Omega 2020, 5, 4058–4066. [Google Scholar] [CrossRef] [PubMed]
- James, O.O.; Sauter, W.; Schröder, U. Towards selective electrochemical conversion of glycerol to 1, 3-propanediol. RSC Adv. 2018, 8, 10818–10827. [Google Scholar] [CrossRef]
- Kraus, G.A. Synthetic methods for the preparation of 1,3-propanediol. Clean Soil Air 2008, 36, 648–651. [Google Scholar] [CrossRef]
- Zeng, A.P.; Biebl, H. Bulk-chemicals from biotechnology: The case of 1, 3-propanediol production and the new trends. Adv. Biochem. Eng. Biotechnol. 2002, 74, 239–259. [Google Scholar] [PubMed]
- Pascault, J.P.; Höfer, R.; Fuertes, P. Mono-, Di-, and Oligosaccharides as Precursors for Polymer Synthesis. In Polymer Science: A Comprehensive Reference; Krzysztof, M., Möller, M., Eds.; Elsevier: Amsterdam, The Netherlands, 2012; Volume 10, pp. 59–82. [Google Scholar]
- Zhao, H.; Zheng, L.; Li, X.; Chen, P.; Hou, Z. Hydrogenolysis of glycerol to 1,2-propanediol over Cu-based catalysts: A short review. Catal. Today 2020, 355, 84–95. [Google Scholar] [CrossRef]
- Liu, S.; Yu, Z.; Lu, C.; Wang, Y.; Sun, F.; Sun, Z.; Liu, Y.; Shi, C.; Wang, A. Copper carbide composite catalyst for hydrogenolysis of glycerol to 1,2-propanediol. Fuel 2023, 334, 126763. [Google Scholar] [CrossRef]
- Cai, F.; Jin, F.; Hao, J.; Xiao, G. Selective hydrogenolysis of glycerol to 1,2-propanediol on Nb-modified Pd−Zr−Al catalysts. Catal. Comm. 2019, 131, 105801. [Google Scholar] [CrossRef]
- Mondach, W.; Chanklang, S.; Somchuea, P.; Witoon, T.; Chareonpanich, M.; Faungnawakij, K.; Sohn, H.; Seubsai, A. Highly efficient TiO2-supported Co–Cu catalysts for conversion of glycerol to 1,2-propanediol. Sci. Rep. 2021, 11, 1. [Google Scholar] [CrossRef]
- Azri, N.; Irmawati, R.; Nda-Umar, U.I.; Saiman, M.I.; Taufiq-Yap, Y.H. Effect of different supports for copper as catalysts on glycerol hydrogenolysis to 1,2-propanediol. J. King Saud Univ. Sci. 2021, 33, 101417. [Google Scholar] [CrossRef]
- Kumar, P.; Shah, A.K.; Lee, J.H.; Park, Y.H.; Štangar, U.L. Selective hydrogenolysis of glycerol over bifunctional copper–magnesium-supported catalysts for propanediol synthesis. Ind. Eng. Chem. Res. 2020, 59, 6506–6516. [Google Scholar] [CrossRef]
- Mishra, N.K.; Kumar, P.; Srivastava, V.C.; Štangar, U.L. Synthesis of Cu-based catalysts for hydrogenolysis of glycerol to 1,2-propanediol with in-situ generated hydrogen. J. Environ. Chem. Eng. 2021, 9, 105263. [Google Scholar] [CrossRef]
- Mendonça, V.G.S.; Freitas, I.C.; Manfro, R.L.; Souza, M.M.V.M. Effect of MgO addition to Cu-Ni/Al2O3 catalysts on glycerol hydrogenolysis in continuous reactor without external hydrogen. Appl. Catal. A Gen. 2022, 645, 118838. [Google Scholar] [CrossRef]
- Azri, N.; Irmawati, R.; Nda-Umar, U.I.; Saiman, M.I.; Taufiq-Yap, Y.H. Promotional effect of transition metals (Cu, Ni, Co, Fe, Zn)–supported on dolomite for hydrogenolysis of glycerol into 1,2-propanediol. Arab. J. Chem. 2021, 14, 103047. [Google Scholar] [CrossRef]
- Bhowmik, S.; Enjamuri, N.; Darbha, S. Hydrogenolysis of glycerol in an aqueous medium over Pt/WO3/zirconium phosphate catalysts studied by 1H NMR spectroscopy. New J. Chem. 2021, 45, 5013–5022. [Google Scholar] [CrossRef]
- Salgado, A.L.P.; Araújo, F.C.; Soares, A.V.H.; Xing, Y.; Passos, F.B. Glycerol hydrogenolysis over Ru-Cu bimetallic catalysts supported on modified zirconias. Appl. Catal. A Gen. 2021, 626, 118359. [Google Scholar] [CrossRef]
- Kunthakudee, N.; Khemthong, P.; Luadthong, C.; Panpranot, J.; Mekasuwandumrong, O.; Witoon, T.; Faungnawakij, K. CuAl2O4–CuO–Al2O3 catalysts prepared by flame-spray pyrolysis for glycerol hydrogenolysis. Mol. Catal. 2022, 523, 111426. [Google Scholar] [CrossRef]
- Wei, R.; Qu, X.; Xiao, Y.; Fan, J.; Geng, G.; Gao, L.; Xiao, G. Hydrogenolysis of glycerol to propanediols over silicotungstic acid catalysts intercalated with CuZnFe hydrotalcite-like compounds. Catal. Today 2021, 368, 224–231. [Google Scholar] [CrossRef]
- Sharma, R.V.; Kumar, P.; Dalai, A.K. Selective hydrogenolysis of glycerol to propylene glycol by using Cu:Zn:Cr:Zr mixed metal oxides catalyst. Appl. Catal. A Gen. 2014, 477, 147–156. [Google Scholar] [CrossRef]
- Pandey, D.K.; Singh, S.P.; Dalai, A.K.; Biswas, P. Kinetics of glycerol dehydration-hydrogenation reaction in the vapor phase in a fixed bed down flow tubular reactor over a bi-functional Cu-Zn/MgO catalyst. Catal. Today 2022, 404, 190–200. [Google Scholar] [CrossRef]
- Okolie, J.A.; Tabat, M.E.; Gunes, B.; Epelle, E.I.; Mukherjee, A.; Nanda, S.; Dalai, A.K. A techno-economic assessment of biomethane and bioethanol production from crude glycerol through integrated hydrothermal gasification, syngas fermentation and biomethanation. Energy Convers. Manag. X 2021, 12, 100131. [Google Scholar] [CrossRef]
- Yang, G.Y.; Shao, S.; Ke, Y.H.; Liu, C.L.; Ren, H.F.; Dong, W.S. PtAu alloy nanoparticles supported on thermally expanded graphene oxide as a catalyst for the selective oxidation of glycerol. RSC Adv. 2015, 5, 37112–37118. [Google Scholar] [CrossRef]
- Tran, T.V.; Nguyen, D.T.C.; Nguyen, H.T.T.; Nanda, S.; Vo, D.V.N.; Do, S.T.; Nguyen, T.V.; Thi, T.A.D.; Bach, L.G.; Nguyen, T.D. Application of Fe-based metal-organic framework and its pyrolysis products for sulfonamide treatment. Environ. Sci. Pollut. Res. 2019, 26, 28106–28126. [Google Scholar] [CrossRef] [PubMed]
- Zhang, X.; Cui, G.; Feng, H.; Chen, L.; Wang, H.; Wang, B.; Zhang, X.; Zheng, L.; Hong, S.; Wei, M. Platinum–copper single atom alloy catalysts with high performance towards glycerol hydrogenolysis. Nat. Comm. 2019, 10, 5812. [Google Scholar] [CrossRef] [PubMed]
- Cong, W.J.; Nanda, S.; Li, H.; Fang, Z.; Dalai, A.K.; Kozinski, J.A. Metal-organic framework-based functional catalytic materials for biodiesel production: A review. Green Chem. 2021, 23, 2595–2618. [Google Scholar] [CrossRef]
- Ke, Y.; Zhu, C.; Li, J.; Liu, H.; Yuan, H. Catalytic oxidation of glycerol over Pt supported on MOF-derived carbon nanosheets. ACS Omega 2022, 7, 46452–46465. [Google Scholar] [CrossRef] [PubMed]
- Xiong, L.; Qi, H.; Zhang, S.; Zhang, L.; Liu, X.; Wang, A.; Tang, J. highly selective transformation of biomass derivatives to valuable chemicals by single-atom photocatalyst Ni/TiO2. Adv. Mater. 2023, 35, 2209646. [Google Scholar] [CrossRef] [PubMed]
- Lari, G.M.; Pastore, G.; Haus, M.; Ding, Y.; Papadokonstantakis, S.; Mondelli, C.; Pérez-Ramírez, J. Environmental and economical perspectives of a glycerol biorefinery. Energy Environ. Sci. 2018, 11, 1012–1029. [Google Scholar] [CrossRef]
- Loy, A.C.M.; Ng, W.L.; Samudrala, S.P.; Bhattacharya, S. Technical, economic, and environmental potential of glycerol hydrogenolysis: A roadmap towards sustainable green chemistry future. Sustain. Energy Fuels 2023, 7, 2653–2669. [Google Scholar]
- Asimakopoulos, K.; Gavala, H.N.; Skiadas, I.V. Reactor systems for syngas fermentation processes: A review. Chem. Eng. J. 2018, 348, 732–744. [Google Scholar] [CrossRef]
- Baeyens, J.; Zhang, H.; Nie, J.; Appels, L.; Dewil, R.; Ansart, R.; Deng, Y. Reviewing the potential of bio-hydrogen production by fermentation. Renew. Sustain. Energy Rev. 2020, 131, 110023. [Google Scholar] [CrossRef]
- Swetha, T.A.; Ananthi, V.; Bora, A.; Sengottuvelan, N.; Ponnuchamy, K.; Muthusamy, G.; Arun, A. A review on biodegradable polylactic acid (PLA) production from fermentative food waste-Its applications and degradation. Int. J. Biol. Macromol. 2023, 234, 123703. [Google Scholar] [CrossRef]
- Nanda, S.; Golemi-Kotra, D.; McDermott, J.C.; Dalai, A.K.; Gökalp, I.; Kozinski, J.A. Fermentative production of butanol: Perspectives on synthetic biology. New Biotechnol. 2017, 37, 210–221. [Google Scholar] [CrossRef] [PubMed]
- Chen, W.C.; Chuang, C.J.; Chang, J.S.; Wang, L.F.; Soo, P.C.; Wu, H.S.; Wei, Y.H. Exploring dual-substrate cultivation strategy of 1, 3-propanediol production using Klebsiella pneumoniae. Appl. Biochem. Biotechnol. 2020, 191, 346–359. [Google Scholar] [CrossRef] [PubMed]
- Yun, J.; Zabed, H.M.; Zhang, Y.; Parvez, A.; Zhang, G.; Qi, X. Co-fermentation of glycerol and glucose by a co-culture system of engineered Escherichia coli strains for 1,3-propanediol production without vitamin B12 supplementation. Bioresour. Technol. 2021, 319, 124218. [Google Scholar] [CrossRef] [PubMed]
- Laura, M.; Monica, T.; Dan-Cristian, V. The effect of crude glycerol impurities on 1, 3-propanediol biosynthesis by Klebsiella pneumoniae DSMZ 2026. Renew. Energy 2020, 153, 1418–1427. [Google Scholar] [CrossRef]
- Jo, M.H.; Ju, J.H.; Heo, S.Y.; Cho, J.; Jeong, K.J.; Kim, M.S.; Oh, B.R. Production of 1,2-propanediol from glycerol in Klebsiella pneumoniae GEM167 with flux enhancement of the oxidative pathway. Biotechnol. Biofuel. Bioprod. 2023, 16, 18. [Google Scholar] [CrossRef]
- Sun, S.; Shu, L.; Lu, X.; Wang, Q.; Tišma, M.; Zhu, C.; Hao, J. Production from glycerol via an endogenous pathway of Klebsiella pneumoniae. Appl. Microbiol. Biotechnol. 2021, 105, 9003–9016. [Google Scholar] [CrossRef]
- Ju, J.H.; Wang, D.; Heo, S.Y.; Kim, M.S.; Seo, J.W.; Kim, Y.M.; Oh, B.R. Enhancement of 1,3-propanediol production from industrial by-product by Lactobacillus reuteri CH53. Microb. Cell Fact. 2020, 19, 6. [Google Scholar] [CrossRef]
- Islam, Z.U.; Klein, M.; Aßkamp, M.R.; Ødum, A.S.; Nevoigt, E. A modular metabolic engineering approach for the production of 1, 2-propanediol from glycerol by Saccharomyces cerevisiae. Metabol. Eng. 2017, 44, 223–235. [Google Scholar] [CrossRef][Green Version]
- Chen, Z.; Liu, D. Toward glycerol biorefinery: Metabolic engineering for the production of biofuels and chemicals from glycerol. Biotechnol. Biofuels 2016, 9, 205. [Google Scholar] [CrossRef]
- Lee, J.H.; Lama, S.; Kim, J.R.; Park, S.H. Production of 1,3-propanediol from glucose by recombinant Escherichia coli BL21 (DE3). Biotechnol. Bioprocess Eng. 2018, 23, 250–258. [Google Scholar] [CrossRef]
- Chilakamarry, C.R.; Sakinah, A.M.; Zularisam, A.W.; Pandey, A. Glycerol waste to value added products and its potential applications. Syst. Microbiol. Biomanufactur. 2021, 1, 378–396. [Google Scholar] [CrossRef]
- Przystałowska, H.; Zeyland, J.; Szymanowska-Powałowska, D.; Szalata, M.; Słomski, R.; Lipiński, D. 1,3-Propanediol production by new recombinant Escherichia coli containing genes from pathogenic bacteria. Microbiol. Res. 2015, 171, 1–7. [Google Scholar] [CrossRef] [PubMed]
- Mendes, F.S.; González-Pajuelo, M.; Cordier, H.; François, J.M.; Vasconcelos, I. 1,3-Propanediol production in a two-step process fermentation from renewable feedstock. Appl. Microbiol. Biotechnol. 2011, 92, 519–527. [Google Scholar] [CrossRef]
- Xin, B.; Wang, Y.; Tao, F.; Li, L.; Ma, C.; Xu, P. Co-utilization of glycerol and lignocellulosic hydrolysates enhances anaerobic 1,3-propanediol production by Clostridium diolis. Sci. Rep. 2016, 6, 19044. [Google Scholar] [CrossRef]
- Vivek, N.; Christopher, M.; Kumar, M.K.; Castro, E.; Binod, P.; Pandey, A. Pentose rich acid pretreated liquor as co-substrate for 1,3-propanediol production. Renew. Energy 2018, 129, 794–799. [Google Scholar] [CrossRef]
- Vieira, P.B.; Kilikian, B.V.; Bastos, R.V.; Perpetuo, E.A.; Nascimento, C.A.O. Process strategies for enhanced production of 1,3-propanediol by Lactobacillus reuteri using glycerol as a co-substrate. Biochem. Eng. J. 2015, 94, 30–38. [Google Scholar] [CrossRef]
- Ricci, M.A.; Russo, A.; Pisano, I.; Palmieri, L.; de Angelis, M.; Agrimi, G. Improved 1,3-propanediol synthesis from glycerol by the robust Lactobacillus reuteri strain DSM 20016. J. Microbiol. Biotechnol. 2015, 25, 893–902. [Google Scholar] [CrossRef]
- Kim, C.; Lee, J.H.; Baek, J.; Kong, D.S.; Na, J.G.; Lee, J.; Sundstrom, E.; Park, S.; Kim, J.R. Small current but highly productive synthesis of 1,3-propanediol from glycerol by an electrode-driven metabolic shift in Klebsiella pneumoniae L17. ChemSusChem 2020, 13, 564–573. [Google Scholar] [CrossRef]
- Fokum, E.; Zabed, H.M.; Yun, J.; Zhang, G.; Qi, X. Recent technological and strategical developments in the biomanufacturing of 1,3-propanediol from glycerol. Int. J. Environ. Sci. Technol. 2021, 18, 2467–2490. [Google Scholar] [CrossRef]
- Simões, A.N.; da Costa, T.B.; de Menezes, C.A.; Silva, E.L. One waste and two products: Choosing the best operational temperature and hydraulic retention time to recover hydrogen or 1,3-propanediol from glycerol fermentation. Bioproc. Biosyst. Eng. 2021, 44, 2491–2502. [Google Scholar] [CrossRef] [PubMed]









| Methods | Advantages | Disadvantages |
|---|---|---|
| Thermocatalytic conversion |
|
|
| Biocatalytic conversion |
|
|
| Feedstock | Reaction Conditions | Main Observations | Reference |
|---|---|---|---|
| Glycerol |
|
| Senseni et al. [28] |
| Kraft lignin |
|
| Bi et al. [29] |
| Metal soap |
|
| Melchor and Fortes [30] |
| Volatile fatty acids |
|
| Perez-Zabaleta et al. [31] |
| Waste cooking oil |
|
| Sadaf et al. [32] |
| Waste effluent |
|
| Huang et al. [33] |
| Catalyst | Preparation Method | Process Conditions | Main Observations | Reference |
|---|---|---|---|---|
| 10Nb/Pd-Zr-Al | Impregnation |
|
| Cai et al. [84] |
| 15Co0.5Cu/TiO2 | Co-impregnation |
|
| Mondach et al. [85] |
| Copper carbide composite | Co-precipitation |
|
| Liu et al. [83] |
| Cu/Al2O3 | Wet impregnation |
|
| Azri et al. [86] |
| Cu/Mg-supported SiO2 | Chemisorption-hydrolysis |
|
| Kumar et al. [87] |
| Cu-Al-Zn | Co-precipitation |
|
| Mishra et al. [88] |
| CuNi30MgAl | Wet impregnation |
|
| Mendonça et al. [89] |
| Ni/Dolomite | Impregnation |
|
| Azri et al. [90] |
| Pt/WO3/zirconium phosphate | Sequential wet impregnation |
|
| Bhowmik et al. [91] |
| Pt-In | Successive impregnation method |
|
| Zhang et al. [62] |
| Ru-Cu/CaO-ZrO2 | Successive incipient wetness impregnation |
|
| Salgado et al. [92] |
| Microorganisms | Process Conditions | Main Observations | Reference |
|---|---|---|---|
| Clostridium butyricum DL07 |
|
| Wang et al. [67] |
| Escherichia coli Rosetta-dhaB1-dhaB2 and Escherichia coli BL21-dhat co-culture |
|
| Yun et al. [111] |
| Klebsiella pneumoniae DSMZ 2026 |
|
| Laura et al. [112] |
| Klebsiella pneumoniae GEM167 ΔadhE/pBR-1,2-propanediol |
|
| Jo et al. [113] |
| Klebsiella pneumoniae ΔtpiA |
|
| Sun et al. [114] |
| Lactobacillus reuteri CH53 |
|
| Ju et al. [115] |
| Saccharomyces cerevisiae |
|
| Islam et al. [116] |
Disclaimer/Publisher’s Note: The statements, opinions and data contained in all publications are solely those of the individual author(s) and contributor(s) and not of MDPI and/or the editor(s). MDPI and/or the editor(s) disclaim responsibility for any injury to people or property resulting from any ideas, methods, instructions or products referred to in the content. |
© 2023 by the authors. Licensee MDPI, Basel, Switzerland. This article is an open access article distributed under the terms and conditions of the Creative Commons Attribution (CC BY) license (https://creativecommons.org/licenses/by/4.0/).
Share and Cite
Yahyazadeh, A.; Bot, A.; Nanda, S.; Dalai, A.K. Technological Insights on Glycerol Valorization into Propanediol through Thermocatalytic and Synthetic Biology Approaches. Fermentation 2023, 9, 894. https://doi.org/10.3390/fermentation9100894
Yahyazadeh A, Bot A, Nanda S, Dalai AK. Technological Insights on Glycerol Valorization into Propanediol through Thermocatalytic and Synthetic Biology Approaches. Fermentation. 2023; 9(10):894. https://doi.org/10.3390/fermentation9100894
Chicago/Turabian StyleYahyazadeh, Arash, Austin Bot, Sonil Nanda, and Ajay K. Dalai. 2023. "Technological Insights on Glycerol Valorization into Propanediol through Thermocatalytic and Synthetic Biology Approaches" Fermentation 9, no. 10: 894. https://doi.org/10.3390/fermentation9100894
APA StyleYahyazadeh, A., Bot, A., Nanda, S., & Dalai, A. K. (2023). Technological Insights on Glycerol Valorization into Propanediol through Thermocatalytic and Synthetic Biology Approaches. Fermentation, 9(10), 894. https://doi.org/10.3390/fermentation9100894

