Abstract
Steroids, the second largest drug category ranked after antibiotics, find widespread use in treatments for reproductive health, endocrine regulation, and inflammation. Advances in steroidal chemistry to date have led to the widespread use of sterols as starting substances in the development of environmentally friendly biotechnologies for steroid production, including biocatalysis, microbial transformations, and biosynthesis using engineered micro-organisms. In this review, we synthesize some of the recent advancements in steroid biocatalysis using the Mycolicibacterium species, including the identification and modification of crucial elements for enhanced production. We also delve into the detailed characterization and reconstruction of metabolic pathways in specific microbial strains, shedding light on their potential for steroid biosynthesis. Additionally, we highlight the development of innovative de novo biosynthesis pathways for steroids within engineered cell factories. These results collectively provide an overview of the current landscape and emerging trends in green steroid manufacturing within the steroidal pharmaceutical industry.
1. Introduction
Steroids, characterized by their perhydrocyclopentanophenanthrene structure (Figure 1a), are ubiquitous in the natural world, being found in animals, plants, fungi, and certain bacteria [1]. These small organic molecules play crucial roles in the normal growth and development of organisms. Natural steroids, exemplified by cholesterol, serve as essential components of cell membranes, contributing to their fluidity and stability. Additionally, steroids function as vital “hormones” [2,3], encompassing sex hormones in mammals, growth regulators like brassinolide in plants, and ecdysone in insects. Notably, steroids are integral to diverse human physiological processes, including reproduction (sex hormones), bone and brain development (anabolic steroids), and homeostasis regulation (adrenocorticoid hormones) [4,5] (Figure 1b). Consequently, steroids have found extensive applications as potent drugs with anti-inflammatory, contraceptive, anti-allergic, and immunomodulation properties, and for the treatment of endocrine disorders and senile diseases [6]. Furthermore, steroids exhibit non-hormonal functionalities, such as anti-viral, anti-depressant, and neuroprotective properties, and utility in treating cardiovascular and cerebrovascular diseases and promoting bone development [7,8,9]. Presently, steroids constitute a vital pharmaceutical class, with over 400 different types available [10,11]. Among these, dexamethasone and betamethasone stand out for their significant curative effects in critical conditions like cancer, severe infections, and organ transplantation. Intriguingly, steroids, regarded as strategic materials [12,13] in the basic healthcare system, have been harnessed for treating SARS and COVID-19 [14]. In October 2020, the World Health Organization identified dexamethasone as a unique specific drug for treating severely infected COVID-19 patients, reducing mortality rates by one-third with respiratory assistance [15,16,17]. Additionally, steroids hold immense potential in agriculture [18], environmental applications [19], and the chemical industry [20], further highlighting their significance in national economic development.
Figure 1.
Sterols and steroid compounds: (a) Sterol skeleton, cholesterol, and phytosterols. (b) Animal steroids derived from cholesterol. (c) Common C19 and C22 steroids.
In the 1940s, diosgenin was discovered as a precursor for steroid synthesis, and a semi-chemical synthetic technique known as Marker Degradation technology was gradually developed [21]. However, this synthesis route proved to be time-consuming, complex, and costly, and resulted in low yields. Furthermore, the Marker Degradation technique involved the use of large amounts of toxic reagents and heavy-metal catalysts, leading to the generation of excessive wastewater and toxic residues [22,23]. In today’s era, the field of chemistry has achieved remarkable feats. The advent of green synthesis methods has significantly alleviated environmental burdens while presenting novel methods for more efficient separation and purification of reaction products to achieve high reaction yields [24,25,26,27]. During the 1980s, the microbial transformation of sterols, which are by-products of mainly soy and paper production, gained rapid development and application, offering the advantages of reduced waste and increased productivity. Consequently, a series of techniques for steroid production, especially involving C19-steroids and C22-steroids (Figure 1c), were established [28,29]. These techniques primarily relied on engineered Mycolicibacterium species for steroid manufacturing, encompassing over 85% of steroids and active pharmaceutical ingredients, through biocatalysis or biotransformation strategies. This demonstrated the disruptive power of new technologies of the time over traditional methods in the steroid industry [30,31,32].
This paper aims to review the current production techniques of steroids using Mycolicibacterium species and the recent developments in the steroid industry. These include the identification and modification of elements for steroid biocatalysis, the characterization and reconstruction of the metabolic mechanisms of steroids in certain strains, and the development of de novo biosynthesis pathways of steroids in engineered mycolicibacterial cell factories. However, with the continuous development of new technology, the de novo synthesis of several steroids has begun to display its prospects and advantages; this would represent a significant breakthrough in the steroids industry.
2. Yesterday: Marker Degradation Technology
The discovery and synthesis of steroids represent one of the remarkable developments in medicine over the last century [33]. In the early 20th century, animal gland extracts were employed to treat various endocrine, cardiovascular, and other diseases. This led to the speculation that the chemical components within these animal glands might possess significant physiological and pharmacological activities. Subsequently, steroid hormones, including estrone, estradiol, estriol, testosterone, and corticosterone, were successfully isolated from animal tissues [34]. During this period of discovery, German scientists Wieland, Windaus, and Butenandt conducted pioneering work on identifying the activities of bile acids, vitamin D, and sex hormones, such as estrone, androsterone, and progesterone, respectively. Their contributions culminated in the prestigious Nobel Prize in Chemistry awards in 1927, 1928, and 1939. However, the complexity of animal gland composition and the extremely low steroid content posed challenges in isolating and purifying these compounds, thereby limiting their clinical application and widespread use.
As the chemical pharmaceutical industry advanced, efforts were made to produce steroids through chemical synthesis. In 1940, Russel Marker discovered that the steroid saponin diosgenin, extracted from Dioscorea plants, could serve as a precursor for pregnenolone synthesis through a three-step degradation process (Figure 2) [21]. This semi-chemical synthesis method was also employed for the production of other types of steroids. However, the rapid growth of the steroid pharmaceutical industry led to the depletion of wild diosgenin resources [23,35]. Consequently, the need for a more efficient and environmentally friendly biosynthesis technology for steroids became increasingly urgent.
Figure 2.
The semi-chemical synthesis of steroids based on Marker Degradation technology.
3. Today: Green Manufacturing of Steroids with Mycolicibacteria
Steroids, ubiquitous in animals, plants, and fungi, play crucial roles in various physiological processes. While most prokaryotes lack key enzymes like squalene mono-oxygenase and squalene cyclase for independent steroid biosynthesis, several prokaryotic micro-organisms exhibit the remarkable ability to completely degrade sterols, providing them with essential carbon sources and energy for autologous growth and physiological metabolism. Notable examples of such micro-organisms include Mycolicibacterium, Nocardia, Pseudomonas, and Rhodococcus species [36,37,38,39,40,41,42,43]. In the majority of instances, actinobacteria, with a particular focus on Myclicobacteria, rhodococci, gordonia, and related taxa, have demonstrated their capacity for the complete bioconversion of sterols [44]. Among them, Mycolicibacterium species stand out with the strongest sterol degradation capacity. Thus, a series of engineered Mycolicibacterium strains have been employed to accumulate steroids and intermediates by disrupting the steroid aliphatic side chain using specific steroid degradation pathways (Table 1) [45,46,47]. Moreover, various efficient heterologous enzymes, such as P450s, have been cloned and expressed in engineered Mycolicbacteria, enhancing the modification of sterol molecules and leading to a more efficient biomanufacturing technique for steroids.
Table 1.
Mycolicibacterial strains for steroid biosynthesis, focusing on engineering strategies, pathway elucidation, and optimization techniques to improve steroid production.
3.1. Analysis and Reconstruction of Steroids’ Metabolic Pathways
Sterol degradation pathways in micro-organisms can be classified into aerobic metabolism and anaerobic metabolism [48]. Among these, aerobic metabolism serves as the predominant industrial process for biotransforming sterols into steroids and intermediates due to the limited efficiency of anaerobic metabolism. In 2007, Geize et al. made a significant discovery by identifying the sterol degradation gene clusters in Rhodococcus sp. and Mycoibacterium tuberculosis [49]. These gene clusters consist of over 200 genes, approximately 50 of which are highly involved in sterol degradation. Such studies laid a strong foundation for comprehending the oxidative metabolism of sterols by micro-organisms and for the artificial design of Mycolicbacteria as efficient cell factories for sterol biotransformation [50,51]. Additionally, Yao et al. demonstrated the effectiveness of certain small gene clusters in sterol degradation, wherein they encode rate-limiting steps that significantly differ among Mycolicibacterium species. [52,53]. For instance, cholesterol degradation entails distinct processes, including nucleus cleavage and β-oxidation of the C17 side chain [54,55,56,57]. These pathways operate independently for efficient degradation.
3.1.1. Reconstructing the Degradation Pathway of Steroid Nucleus
In Actinobacteria, the degradation of sterols begins with the oxidation of the β-hydroxyl group of cholesterol, catalyzed by either cholesterol oxidase (ChO) or 3-hydroxysteroid dehydrogenase (3-HSD), leading to the formation of cholest-4-en-3-one (Figure 3) [58,59,60]. Subsequently, through the combined action of 3-ketosteroid-Δ1-dehydrogenase (KstD) and 3-sterone-9α-hydroxylase (Ksh), the B-ring of the steroid nucleus undergoes cleavage, eventually resulting in the degradation of products into short-chain organic molecules like propionyl-CoA and propionate [50,61]. This degradation of the steroid nucleus enables engineered Mycolicbacteria to produce two types of steroids: (1) C19-type steroids, including androst-4-ene-3,17-dione (AD), androsta-1,4-diene-3,17-dione (ADD), and 9α-hydroxy-androst-4-ene-3,17-dione (9α-OHAD); and (2) B-ring degradation products, such as 3aα-H-4α-(3′-propionic acid)-5α-hydroxy-7aβ-methylhexahydro-1-indanone-δ-lactone (HIL), crucial intermediates for the production adrenal and sex hormones, and 19-nor- and retro-steroids [62,63]. Therefore, the reconstruction of the degradation pathway, encompassing the steps catalyzed by ChO, KstD, and Ksh, is essential for efficient steroid production.
Figure 3.
The catabolic pathway of sterols in Mycobacteria.
ChO is a critical secreted enzyme that typically works in conjunction with the coenzyme FAD. Based on their binding characteristics, ChO can be categorized into two types: FAD non-covalently binding enzyme (type I) [64,65,66] and FAD covalently binding enzyme (type II). In 2013, genomic analysis revealed the presence of putative oxidoreductases of the glucose–methanol–choline family (ChoM1 and ChoM2), located intracellularly and extracellularly, respectively, in Mycolicibacterium neoaurum ATCC 25795 [52]. The biochemically characterized extracellular cholesterol oxidase catabolizes and catalyzes extracellular sterols into cholest-4-en-3-one, which rapidly dissociates from the insoluble sterol particles.
In light of these findings, it is important to consider the functional diversity of oxidoreductases of the glucose–methanol–choline family and their role in microbial steroid transformations.
KstD serves as a pivotal enzyme that catalyzes the formation of 3-keto-1,4-diene steroids from 3-keto-4-ene steroids [53,67]. Mycobacteria typically possess more than three isozymes of KstD, contributing to their robust sterol degradation capacity and broader substrate applicability [68,69,70]. However, in the construction of production strains for androst-4-ene-3,17-dione (AD) and 9α-hydroxy-androst-4-ene-3,17-dione (9α-OHAD), all KstD isozymes are eliminated to reduce the generation of by-products [48]. Ksh, another key enzyme, is responsible for catalyzing the formation of 9α-hydroxylated products, which can be utilized independently for the preparation of steroid medications [71]. The low activity of Ksh also represents a bottleneck in 9α-OHAD production strains, leading to the formation of by-products like AD. Similar to KstD, Ksh is characterized by 2–5 isozymes in Mycobacteria [72], necessitating complete knockout in the construction of AD and androsta-1,4-diene-3,17-dione (ADD) production strains. However, Ksh should be overexpressed in the construction of 9α-OHAD production strains to entirely eliminate by-products. Furthermore, sitolactone is an important steroid produced during the degradation of the B-ring of the nucleus, and it finds application in the synthesis of 19-norsteroids, such as mifepristone and estrogen. To construct sitolactone production strains, the acyl-CoA dehydrogenases FadE30-33 should be disrupted to enhance the accumulation of sitolactone [62].
KstD and Ksh are pivotal enzymes that play a decisive role in determining the product types of C19-steroids. However, to achieve a specific product, at least one of these enzymes, KstD or Ksh, must be targeted for modification to reduce the yield of unwanted by-products (Figure 4). For instance, to construct a production strain for androst-4-ene-3,17-dione (AD), both KstD and Ksh, along with their isozymes, need to be simultaneously inactivated. On the other hand, for the generation of 9α-hydroxy-androst-4-ene-3,17-dione (9α-OHAD) as the specific C19-steroid product, genes coding for KstD and its isozymes should be disrupted, while ksh needs to be overexpressed. Similarly, for the formation of androsta-1,4-diene-3,17-dione (ADD) as the desired C19-steroid product, genes coding for Ksh and its isozymes should be targeted for destruction, whereas kstD should be overexpressed [73].
Figure 4.
The biotransformation of phytosterols to steroidal pharmaceuticals in Mycolicibacteria. Steroidal pharmaceuticals can be degraded to two major valuable intermediates, such as C19-steroids (AD, ADD, BD, and 9α-OHAD) and C22-steroids (4-HBC, 1,4-HBC, and 9α-OHHBC).
3.1.2. Reconstructing the Degradation Pathway of Steroid Side Chain
Genome editing has emerged as a powerful tool in the field of biotechnology, facilitating precise modifications of genetic material to enhance microbial capabilities for biomanufacturing. Mycobacteria, known for their remarkable ability to degrade sterols and produce valuable steroids, have garnered significant attention as versatile cell factories in the pharmaceutical industry. The integration of advanced genome-editing techniques has revolutionized the development of engineered Mycolicbacteria strains, enabling efficient and sustainable production of bioactive compounds.
The degradation of the steroid side chain initiates at either the C26 or C27 position of 4-cholesten-3-one, wherein cytochrome P450 mono-oxygenase in Mycobacteria oxidizes it to cholesten-3-on-C26-oic acid. Subsequently, the resulting oxide is esterified by acyl-CoA ligase to generate steroid-coenzyme A, which undergoes degradation reactions similar to the oxidation of fatty acids [55]. Given the unique structure of the steroid nucleus, the final round of β-oxidation of sterol side chains displays a much higher specificity compared to previous rounds [12,74]. Notably, the research efforts of Sampson’s group at Stony Brook University (Stony Brook, NY, USA) have been instrumental in identifying and characterizing key enzymes involved in the degradation pathway of the steroid side chain [75,76,77]. The operon igr, encompassing crucial genes related to the final round of β-oxidation of sterol side chains, was the first to be identified, thereby laying the groundwork for a deeper understanding of the mechanism behind this last round of β-oxidation and facilitating the reconstruction of the steroid side chain degradation pathway [78,79].
The complete degradation of the C17 side chain of sterols to generate a carbonyl group is a crucial step in facilitating the production of valuable compounds such as C19-steroids and B-ring degradants by blocking the degradation of the steroid nucleus. In Mycobacteria, this step is primarily catalyzed by CYP142 and CYP125, both of which can oxidize 4-cholesten-3-one to form 4-cholesten-3-on-C26-oic acid (Figure 3) [80]. Notably, CYP125 plays a more prominent role in this process. When CYP125 is knocked out, the expression of CYP142 can be up-regulated by the induction of cholest-4-en-3-one, leading to a significant improvement in the efficiency of sterol biotransformation [81,82]. However, in 2016, Xu et al. identified a bifunctional short-chain dehydrogenase, Hsd4A, in M. neoaurum (Figure 4) [83]. Acting as both a 17β-hydroxysteroid dehydrogenase and a β-hydroxyacyl-CoA dehydrogenase, Hsd4A catalyzes the conversion of androst-4-ene-3,17-dione (AD) to testosterone while being a key factor in the degradation pathway of the steroid side chain. The by-product 22-hydroxy-23,24-bisnorchol-4-ene-3-one (4HBC) is generated during the production of AD, making the efficient production of 4HBC challenging. However, through the reconstruction of key genes (hsd4A, kstDs, and kshAB) involved in the degradation of the steroid side chain, engineered Mycolicbacteria can efficiently accumulate valuable HBC products, including 4-HBC, 22-hydroxy-23,24-bisnorchola-1,4-dien-3-one (1,4-HBC), and 9,22-dihydroxy-23,24-bisnorchol-4-ene-3-one (9α-OHHBC). These compounds find wide applications in the production of essential steroids like progesterone and adrenal cortex hormones.
3.2. Optimization of Mycolicibacterial Cell Factories for Steroidal Industry
In addition to the efficient degradation pathways of sterols, mycolicbacteria possess a unique envelope that improves the conversion efficiency of phytosterols. The core components of the mycobacterial envelope include mycolic acid, arabinogalactan, and peptidoglycan, enveloped by a polar lipid envelope consisting of trehalose monomycolate (TMM), trehalose dimycolate (TDM), and polysaccharide [76]. The unique components and structure of the envelope make Mycolicibacteria efficient cell factories for sterol uptake, but hinder their transfer into cells. Specifically, after excessive accumulation of steroids, such as AD, the thickness and density of the mycolicibacterial cell wall increase, resulting in a decrease in the efficiency of sterol transport into the cell. To address this issue, researchers attempted to add inhibitors to effectively inhibit cell membrane synthesis and significantly improve the uptake and conversion efficiency of sterols [84,85,86]. Xiong et al. found that the deletion of the trehalose transmembrane transporter MmpL3 in M. neoaurum significantly increased the cell permeability and uptake of sterols by 23.4% and 15.6%, respectively [82]. Next, genes of the key factors KasB and EmbC, responsible for mycolic acid and arabinogalactan biosynthesis in M. neoaurum, respectively, were inactivated, leading to an 11.2% to 34.5% increase in the yield of 9α-hydroxy-androst-4-ene-3,17-dione (9α-OHAD), respectively [87]. Additionally, FbpC3 was confirmed to be essential for the assembly of TDM in the M. neoaurum outer cell wall. A deficiency of FbpC3 increased cell permeability and enhanced the biotransformation of the 9α-OHAD by 21.3%, achieving 11.2 g/L from 20 g/L phytosterols.
The metabolic regulation of steroid biosynthesis is highly complex, involving adaptive changes in central metabolism, cell membrane synthesis, and energy metabolism. To gain insights into the physiological and metabolic changes in Mycolicbacteria and optimize sterol metabolic pathways, various omics analyses have been employed. Xiong et al. utilized transcriptome data and discovered that the sigma factor SigD was associated with steroid metabolism in M. neoaurum. Deletion of sigD led to significant increases in the yields of 9α-hydroxy-androst-4-ene-3,17-dione (9α-OHAD) and other intermediates [88]. Furthermore, the productivity of engineered Mycobacteria was further improved by disrupting the regulator Rip1 of SigD [89]. These findings highlight the potential of omics analysis for understanding and enhancing steroid biosynthesis in Mycolicbacteria.
The degradation pathway of sterols is known to be an energy-generating process. For instance, when 1 mole of sitosterol is degraded to 9α-hydroxy-androst-4-ene-3,17-dione (9α-OHAD) via Mycolicbacteria cell factories, approximately 10 moles of FADH2 and 16–18 moles of NADH are produced [64]. Su et al. demonstrated that the ratio of NAD+/NADH, which can be increased by overexpressing NADH oxidase, plays a crucial role in the conversion of sterols by Mycolicbacteria [90]. However, the process of cofactor oxidation and regeneration in sterol metabolism also generates a large number of oxygen free radicals (ROS), leading to serious cytotoxicity and significantly limiting the productivity of steroids and intermediates in engineered Mycolicbacteria. To address this issue, Sun et al. introduced a series of enzymes for the decomposition of hydrogen peroxide and the biosynthesis of mycothiol and ergothioneine in Mycobacteria. This strategy effectively eliminated excess ROS, resulting in a 54.2% increase in the survival rate and a 47.5% increase in the yield of 4-HBC, an important intermediate [91]. These studies emphasize the importance of managing energy and redox balance in Mycolicbacteria to enhance the production of steroids and intermediates through the degradation of sterols. By optimizing the NAD/NADH ratio and controlling ROS levels, the efficiency and viability of engineered Mycolicbacteria can be significantly improved for industrial applications.
In summary, the steroid productivity of Mycolicbacteria cell factories can be efficiently improved by optimizing the physiological and biological properties of engineered Mycolicbacteria. Although many more achievements in the optimization of Mycolicbacteria cell factories have been reported, the integration and synergy mechanisms of these strategies are complicated and unclear.
3.3. Production of Steroids via Mycolicbacteria Whole-Cell Biocatalysis
Biocatalysis has emerged as a promising approach in biochemistry and organic chemistry due to its potential for less toxic and more sustainable synthetic processes [92]. Engineered Mycobacteria have become the focus of research for steroid production via whole-cell biocatalysis [93,94]. For instance, Zhao et al. utilized engineered M. neoaurum to efficiently convert androst-4-ene-3,17-dione (AD) to 5α-androsta-3,17-dione (5α-AD) and achieved a 28% increase in 5α-AD yield by enhancing the NADPH/NADP+ ratio [95]. Zhu et al. developed a whole-cell catalysis system employing formate dehydrogenase (FDH), KshA, and toluene 2,3-dioxygenase (TDO) reductase mutant for biosynthesizing 9α-hydroxy-androst-4-ene-3,17-dione (9α-OHAD) from AD, achieving a production of 5.24 g/L 9α-OHAD with 99.3% theoretical yield and devoid of by-products [96]. Furthermore, our group successfully engineered a highly efficient cytochrome P450 mono-oxygenase from Bacillus megaterium mutant (mP450BM3) into an AD-producing Mycolicibacterium sp., enabling high-level commercial production of 7β-hydroxy-androst-4-ene-3,17-dione (7β-OHAD) [97].
These examples demonstrate the versatility of Mycolicbacteria as biocatalysts in steroid synthesis, with potential applications in the pharmaceutical and industrial sectors. The continuous advancements in biocatalytic processes using Mycolicbacteria hold promise for greener and more efficient steroid production, paving the way for sustainable and environmentally friendly manufacturing of valuable pharmaceutical compounds.
4. Tomorrow: De Novo Synthesis of Steroids
The current production of steroids heavily relies on semi-synthetic methods, leading to significant substrate dependence and limited sources [98,99]. As the next frontier in steroid production, de novo biosynthesis offers a multitude of advantages over traditional semi-synthetic approaches. Firstly, de novo biosynthesis eliminates the need to extract steroid skeletons from animals and plants, effectively addressing substrate scarcity issues. Furthermore, this novel approach reduces the reliance on overused metal catalysts and flammable organic solvents, thereby mitigating hazards and minimizing pollutant emissions during the production process. A simplification of the synthetic route and a reduction in production steps are additional merits associated with de novo biosynthesis. For instance, the synthesis of hydrocortisone necessitates more than ten conversion steps via semi-chemical techniques, whereas engineered micro-organisms through de novo biosynthesis theoretically achieve hydrocortisone production in a single step [100]. The transition towards de novo biosynthesis holds great promise for the sustainable and efficient production of steroids, offering opportunities for green and eco-friendly manufacturing processes. Continued research and development in this field are anticipated to revolutionize the steroid industry and enhance drug accessibility worldwide.
Steroids, vital components in various organisms, share highly conserved synthetic pathways derived from triterpenoid compounds, squalene, and 2,3-oxidosqualene, which undergo subsequent oxidation and saccharification processes. In animals, 2,3-oxidosqualene is converted into intermediate compounds, including lanosterol and zymosterol, which are further utilized in the synthesis of diverse endocrine steroid hormones to meet the body’s physiological demands. Similarly, in plants, 2,3-oxidosqualene follows a comparable synthetic route to produce intermediate compounds like brassicasterol, stigmasterol, sitosterol, and campesterol, which serve as precursors for various phytohormones. In eukaryotic micro-organisms, 2,3-oxidosqualene transforms into ergosterol, mirroring the cholesterol pathway in animals, leading to the production of an array of steroidal secondary metabolites [101,102]. Understanding the shared synthetic pathways of steroids in different organisms provides valuable insights into their diverse physiological functions and potential applications in medicine, agriculture, and biotechnology. Further investigations in this area are expected to uncover novel pathways and expand our knowledge of the intricate regulatory mechanisms governing steroid biosynthesis.
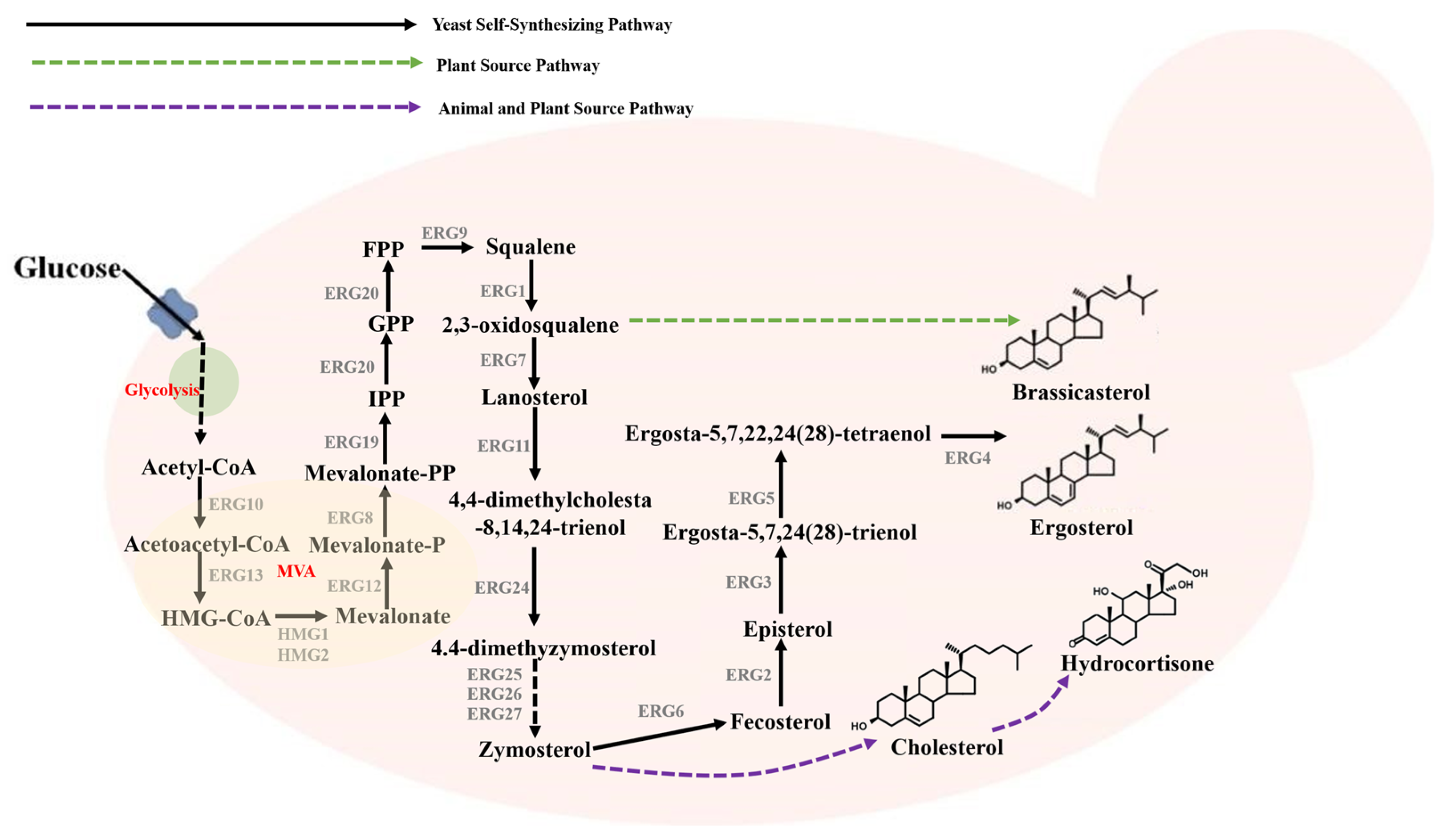
Recent advancements in de novo biosynthesis of steroids have demonstrated the potential of engineered micro-organisms as promising platforms for sustainable steroid production. Saccharomyces cerevisiae, with its complete metabolic pathway for ergosterol synthesis, serves as an ideal chassis cell for steroid biomanufacturing (Figure 5). Early breakthroughs in this field involved knocking out the sterol C22 dehydrogenase gene (erg5) in S. cerevisiae to halt ergosterol synthesis, followed by a successful introduction of heterologous genes encoding the sterol C7 dehydrogenase from Arabidopsis thaliana and P450 enzymes from bovines, resulting in the production of pregnenolone [103]. Subsequently, Dumas et al. achieved the de novo biosynthesis of hydrocortisone by introducing over ten heterologous genes into engineered S. cerevisiae, further validating the feasibility of green steroid biomanufacturing [100,104,105]. While engineered micro-organisms have been effectively utilized for the synthesis of various natural products, the complexity of synthetic steroid routes and the low productivity arising from multi-step P450 enzymatic oxidation reactions have posed challenges for steroid drug synthesis. However, these pioneering studies have laid the foundation for future research, bringing us closer to a more efficient and sustainable de novo biosynthesis of steroids using engineered micro-organisms. Continued advancements in this area hold the potential to revolutionize steroid drug production, offering greener alternatives to traditional chemical synthesis methods.
Figure 5.
De novo synthesis of steroids in yeast.
Significant progress has been made in overcoming bottlenecks in the de novo biosynthesis of steroids, propelling the field towards efficient and sustainable steroid production in engineered micro-organisms [106]. In recent years, several groundbreaking studies have showcased successful strategies for synthesizing steroids through genetic engineering. In 2016 and 2017, Yuan’s group demonstrated the potential of Yarrowia lipolytica as a chassis cell by disrupting the sterol C-22 desaturase (ERG5) gene and introducing highly efficient 7-dehydrocholesterol reductase (DHCR7) genes from Xenopus laevis and zebrafish, leading to the production of brassicasterol. The artificial micro-organisms achieved impressive yields of 453 mg/L and 942 mg/L, respectively [107,108,109]. Building upon earlier work by Dumas et al., Corinne et al. achieved a remarkable increase in hydrocortisone production, reaching 120 mg/L. This achievement was realized through multi-copy gene integration and the expression of functional genes such as P450scc, ADX, P450c11, and 3β-HSD. As a result, this approach has emerged as the main route for hydrocortisone production in Europe [110].
5. Conclusions and Prospects
These achievements have sparked widespread interest in environmentally friendly chemical approaches, providing more sustainable solutions for our society and environment. However, high technology has transcended the boundaries of the chemical field, extending into various sectors, including production, science, and technology. Modern society is deeply influenced by high technology, relying on advanced techniques to address complex issues and tackle ever-emerging challenges. Areas such as automated production, big data analysis, and artificial intelligence play pivotal roles in driving societal progress.
Simultaneously, despite the significant influence of chemistry in modern technology, the rise of biotechnology cannot be overlooked. Biotechnology plays a crucial role in combined chemical–microbiological syntheses, offering an innovative approach to synthesizing complex organic molecules while reducing reliance on harmful chemicals. This synergy between chemistry and biotechnology has given rise to the development of emerging fields, providing new opportunities to address global challenges.
Therefore, the proliferation of high technology and the synergy between chemistry and biotechnology will continue to shape our path forward. In this era filled with opportunities and challenges, we must continually explore, innovate, and engage in interdisciplinary collaboration to create a more sustainable and prosperous future. The application of high technology and interdisciplinary cooperation will be key factors in achieving this goal, opening new possibilities for advancements in chemistry and related fields.
Author Contributions
Conceptualization, M.Z., Y.L. and X.L.; methodology, R.H. and K.L.; software, M.Z.; validation, R.H., Z.X. and M.Z.; formal analysis, M.Z.; investigation, M.Z., X.L., L.X., R.H. and K.L.; writing—original draft preparation, M.Z., R.H. and X.L.; writing—review and editing, M.Z., Y.L., Z.X. and R.H.; visualization, Y.L.; supervision, M.Z.; project administration, M.Z. All authors have read and agreed to the published version of the manuscript.
Funding
This work was financially supported by the National Natural Science Foundations of China (No. 32300059), the Science Foundation for The Excellent Youth Scholars of Anhui Provincial Education Department (2022AH030097), the Science and Technology Plan Project of Wuhu (2022jc19), and the Scientific Research Start-up Fund for Introduced Talents of Anhui Polytechnic University (2022YOO068).
Institutional Review Board Statement
Not applicable.
Informed Consent Statement
Not applicable.
Data Availability Statement
Not applicable.
Conflicts of Interest
The authors declare no conflict of interest.
Abbreviations
AD: androst-4-ene-3,17-dione; 9α-OHAD: 9α-hydroxy-androst-4-ene-3,17-dione; ADD: androsta-1,4-diene-3,17-dione; 9α-OHADD: 9α-hydroxy-androsta-1,4-diene-3,17-dion; HBC: 21-hydroxy-23,24-bisnorchol-4-ene-3-one; 1,4-HBC: 22-hydroxy-23,24-bisnorchol-1,4-dien-3-one; 4-HBC: 22-hydroxy-23,24-bisnorchol-4-ene-3-one; BD: boldenone, 1(2)-dehydrotestosterone; 9α-OHHBC: 9,22-dihydroxy-23,24-bisnorchol-4-ene-3-one; HIP: 3aα-H-4α(3′-propanoate)-7aβ- methylhexahydro-1,5-indanedione; HIL: 3aα-H-4α-(3′-propionic acid)-5α-hydroxy-7aβ- methylhexahydro-1-indanone-δ-lactone; 3-HSA: 3-hydroxy-9,10-seconandrost-1,3,5(10)-triene-9,17 -dione; 3,4-DHSA: 3,4-dihydroxy-9,10-secoandrosten-1,3,5(10)-trien-9,17-dione.
References
- Donova, M. Microbial steroid production technologies: Current trends and prospects. Microorganisms 2022, 10, 53. [Google Scholar] [CrossRef]
- Vladimir, K.; Vladimir, Z.; Aede, D.G. Twenty years of brassinosteroids: Steroidal plant hormones warrant better crops for the XXI century. Ann. Bot. 2000, 86, 441–447. [Google Scholar]
- Tuckey, R.C. Progesterone synthesis by the human placenta. Placenta 2005, 26, 273–281. [Google Scholar] [CrossRef]
- Dufourc, E.J. Sterols and membrane dynamics. J. Chem. Biol. 2008, 1, 63–77. [Google Scholar] [CrossRef]
- Weete, J.D.; Parish, E.J.; Nes, W.D. Chemistry, biochemistry, and function of sterols. Lipids 2000, 35, 241. [Google Scholar] [CrossRef]
- Wollam, J.; Antebi, A. Sterol regulation of metabolism, homeostasis, and development. Annu. Rev. Biochem. 2011, 80, 885–916. [Google Scholar] [CrossRef]
- Vallée, M.; Vitiello, S.; Bellocchio, L.; Hebert-Chatelain, E.; Monlezun, S.; Martin-Garcia, E.; Kasanetz, F.; Baillie, G.; Panin, F.; Cathala, A.; et al. Pregnenolone can protect the brain from cannabis intoxication. Science 2014, 343, 94–98. [Google Scholar] [CrossRef]
- He, Y.Z.; Shi, J.J.; Nguyen, Q.T.; You, E.; Liu, H.B.; Ren, X.; Wu, Z.S.; Li, J.S.; Qiu, W.L.; Khoo, S.K. Development of highly potent glucocorticoids for steroid–resistant severe asthma. Proc. Natl. Acad. Sci. USA 2019, 116, 6932–6937. [Google Scholar] [CrossRef]
- Ahmed, M.H.; Hassan, A. Dexamethasone for the treatment of coronavirus disease (COVID-19): A review. SN Compr. Clin. Med. 2020, 2, 2637–2646. [Google Scholar] [CrossRef]
- Fernández-Cabezón, L.; Galán, B.; García, J.L. New insights on steroid biotechnology. Front. Microbiol. 2018, 9, 958. [Google Scholar] [CrossRef]
- Fragkaki, A.; Angelis, Y.; Koupparis, M.; Tsantili-Kakoulidou, A.; Kokotos, G.; Georgakopoulos, C. Structural characteristics of anabolic androgenic steroids contributing to binding to the androgen receptor and to their anabolic and androgenic activities: Applied modifications in the steroidal structure. Steroids 2009, 74, 172–197. [Google Scholar] [CrossRef] [PubMed]
- Donova, M.V.; Egorova, O.V. Microbial steroid transformations: Current state and prospects. Appl. Microbiol. Biotechnol. 2012, 94, 1423–1447. [Google Scholar] [CrossRef] [PubMed]
- Wang, X.X.; Ke, X.; Liu, Z.Q.; Zheng, Y.G. Rational development of mycobacteria cell factory for advancing the steroid biomanufacturing. World J. Microbiol. Biotechnol. 2022, 38, 191. [Google Scholar] [CrossRef] [PubMed]
- Barnes, P.J. Corticosteroids: The drugs to beat. Eur. J. Pharmacol. 2006, 533, 2–14. [Google Scholar] [CrossRef]
- Ledford, H. Steroid is first drug shown to prevent deaths from COVID-19. Nature 2020, 582, 469. [Google Scholar] [CrossRef]
- Mahase, E. COVID-19: Low dose steroid cuts death in ventilated patients by one third, trial finds. BMJ 2020, 369, 2422. [Google Scholar] [CrossRef]
- Lu, C.Y.; Liu, Y.; Chen, B.; Yang, H.; Hu, H.F.; Liu, Y.; Zhao, Y. Prognostic value of lymphocyte count in severe COVID-19 patients with corticosteroid treatment. Signal Transduct. Target. Ther. 2021, 6, 106. [Google Scholar] [CrossRef]
- Stong, R.A.; Kolodny, E.; Kelsey, R.G.; González-Hernández, M.P.; Vivanco, J.M.; Manter, D.K. Effect of plant sterols and tannins on Phytophthora ramorum growth and sporulation. J. Chem. Ecol. 2013, 39, 733–743. [Google Scholar] [CrossRef]
- Chiang, Y.R.; Wei, S.T.; Wang, P.H.; Wu, P.H.; Yu, C.P. Microbial degradation of steroid sex hormones: Implications for environmental and ecological studies. Microb. Biotechnol. 2020, 13, 926–949. [Google Scholar] [CrossRef]
- Rowland, S.J.; West, C.E.; Jones, D.; Scarlett, A.G.; Frank, R.A.; Hewitt, L.M. Steroidal aromatic “naphthenic acids” in oil sands process-affected water: Structural comparisons with environmental estrogens. Environ. Sci. Technol. 2011, 45, 9806–9815. [Google Scholar] [CrossRef]
- Marker, R.E.; Krueger, J. Sterols. CXII. sapogenins. XLI. the preparation of trillin and its conversion to progesterone. J. Am. Chem. Soc. 1940, 62, 3349–3350. [Google Scholar] [CrossRef]
- Johnson, A.C.; Williams, R.J.; Matthiessen, P. The potential steroid hormone contribution of farm animals to freshwaters, the United Kingdom as a case study. Sci. Total Environ. 2006, 362, 166–178. [Google Scholar] [CrossRef] [PubMed]
- Gupta, P.; Mahajan, A. Sustainable approaches for steroid synthesis. Environ. Chem. Lett. 2018, 17, 879–895. [Google Scholar] [CrossRef]
- Mancino, V.; Cerra, B.; Piccinno, A.; Gioiello, A. Continuous Flow Synthesis of 16-Dehydropregnenolone Acetate, a Key Synthon for Natural Steroids and Drugs. Org. Process Res. Dev. 2018, 22, 600–607. [Google Scholar] [CrossRef]
- Chowdhury, P.; Borah, J.M.; Bordoloi, M.; Goswami, K.P. A Simple Efficient Process for the Synthesis of 16-Dehydropregnenolone Acetate(16-Dpa)–A Key Steroid Drug Intermediate from Diosgenin. J. Chem. Eng. Process Technol. 2011, 2, 1–7. [Google Scholar] [CrossRef]
- Baruah, D.; Das, R.N.; Konwar, D. Facile green synthesis of 16-dehydropregnenolone acetate (16-DPA) from diosgenin. Synth. Commun. 2016, 46, 79–84. [Google Scholar] [CrossRef]
- Zhang, Y.; Xiao, P.; Pan, D.; Zhou, X. New Insights into the Modification of the Non-Core Metabolic Pathway of Steroids in Mycolicibacterium and the Application of Fermentation Biotechnology in C-19 Steroid Production. Int. J. Mol. Sci. 2023, 24, 5236. [Google Scholar] [CrossRef]
- Sedlaczek, L. Biotransformations of steroids. Crit. Rev. Biotechnol. 1988, 7, 187–236. [Google Scholar] [CrossRef]
- Ahmad, S.; Garg, S.K.; Johri, B.N. Biotransformation of sterols: Selective cleavage of the side chain. Biotechnol. Adv. 1992, 10, 1–67. [Google Scholar] [CrossRef]
- Sultana, N. Microbial biotransformation of bioactive and clinically useful steroids and some salient features of steroids and biotransformation. Steroids 2018, 136, 76–92. [Google Scholar] [CrossRef]
- Faramarzi, M.A.; Adrangi, S.; Yazdi, M.T. Microalgal biotransformation of steroids. J. Phycol. 2008, 44, 27–37. [Google Scholar] [CrossRef] [PubMed]
- Marques, M.P.C.; Fernandes, P.; Cabral, J.M.S.; Žnidaršič-Plazl, P.; Plazl, I. Continuous steroid biotransformations in microchannel reactors. New Biotechnol. 2012, 29, 227–234. [Google Scholar] [CrossRef] [PubMed]
- Tong, W.Y.; Dong, X. Microbial biotransformation: Recent developments on steroid drugs. Recent Pat. Biotechnol. 2009, 3, 141–153. [Google Scholar] [CrossRef] [PubMed]
- Nicolaou, K.C.; Montagnon, T. Molecules that Changed the World; Wiley-VCH: Hoboken, NJ, USA, 2008; p. 286. [Google Scholar]
- Giorgi, V.; Menendez, P.; Garcia-Carnelli, C. Microbial transformation of cholesterol: Reactions and practical aspects-an update. World J. Microbiol. Biotechnol. 2019, 35, 131. [Google Scholar] [CrossRef] [PubMed]
- Mahato, S.B.; Garai, S. Advances in microbial steroid biotransformation. Steroids 1997, 62, 332–345. [Google Scholar] [CrossRef]
- Fernandes, P.; Cruz, A.; Angelova, B. Microbial conversion of steroid compounds: Recent developments. Enzym. Microb. Technol. 2003, 32, 688–705. [Google Scholar] [CrossRef]
- Feller, F.M.; Holert, J.; Yücel, O.; Philipp, B. Degradation of bile acids by soil and water bacteria. Microorganisms 2021, 9, 1759. [Google Scholar] [CrossRef]
- Dhar, A.; Samantha, T.B. Novel oxidative cleavage of C17-C20 bond in pregnane by a Pseudomonas sp. J. Steroid Biochem. Mol. Biol. 1993, 44, 101–104. [Google Scholar] [CrossRef]
- Tenneson, M.E.; Baty, J.D.; Bilton, R.F.; Mason, A.N. The degradation of cholic acid by Pseudomonas sp. N.C.I.B. 10590. Biochem. J. 1979, 184, 613–618. [Google Scholar] [CrossRef]
- Horvath, J.; Kramli, A. Microbiological oxidation of cholesterol with Azotobacter. Nature 1947, 160, 639. [Google Scholar] [CrossRef]
- Drzyzga, O.; Llorens, J.M.N.; Heras, L.F.D.L.; Fernández, E.G.; Perera, J. Gordonia cholesterolivorans sp. nov., a cholesterol-degrading actinomycete isolated from sewage sludge. Int. J. Syst. Evol. Microbiol. 2009, 59, 1011–1015. [Google Scholar] [CrossRef] [PubMed]
- Ferreira, N.P.; Tracey, R.P. Numerical taxonomy of cholesterol-degrading soil bacteria. J. Appl. Bacteriol. 1984, 57, 429–446. [Google Scholar] [CrossRef]
- Olivera, E.R.; Luengo, J.M. Steroids as Environmental Compounds Recalcitrant to Degradation: Genetic Mechanisms of Bacterial Biodegradation Pathways. Genes 2019, 10, 512. [Google Scholar] [CrossRef] [PubMed]
- Galán, B.; Uhía, I.; García-Fernández, E.; Martínez, I.; Bahíllo, E.; Fuente, J.L.D.; Barredo, J.L.; Fernández-Cabezón, L.; García, J.L. Mycobacterium smegmatis is a suitable cell factory for the production of steroidic synthons. Microb. Biotechnol. 2017, 10, 138–150. [Google Scholar] [CrossRef]
- Li, M.; Zhu, Z.T.; Ta, X.Y.; Wang, F.Q.; Wei, D.Z. RNA-Seq analysis uncovers non-coding small RNA system of Mycobacterium neoaurum in the metabolism of sterols to accumulate steroid intermediates. Microb. Cell Fact. 2016, 15, 64. [Google Scholar] [CrossRef]
- Wang, H.W.; Song, S.K.; Peng, F.; Yang, F.; Chen, T.; Li, X.; Cheng, X.Y.; He, Y.J.; Huang, Y.Q.; Su, Z.D. Whole-genome and enzymatic analyses of an androstenedione-producing Mycobacterium strain with residual phytosterol-degrading pathways. Microb. Cell Fact. 2020, 19, 187. [Google Scholar] [CrossRef]
- Lin, C.W.; Wang, P.H.; Ismail, W.; Tsai, Y.W.; Nayal, A.E.; Yang, C.Y.; Yang, F.C.; Wang, C.H.; Chiang, Y.R. Substrate uptake and subcellular compartmentation of anoxic cholesterol catabolism in Sterolibacterium denitrificans. J. Biol. Chem. 2015, 290, 1155–1169. [Google Scholar] [CrossRef]
- Geize, R.V.D.; Yam, K.; Heuser, T.; Wilbrink, M.H.; Hara, H.; Anderton, M.C.; Sim, E.; Dijkhuizen, L.; Davies, J.E.; Mohn, W.W.; et al. A gene cluster encoding cholesterol catabolism in a soil actinomycete provides insight into Mycobacterium tuberculosis survival in macrophages. Proc. Natl. Acad. Sci. USA 2007, 104, 1947–1952. [Google Scholar] [CrossRef]
- Ouellet, H.; Johnston, J.B.; Ortiz de Montellano, P.R. Cholesterol catabolism as a therapeutic target in Mycobacterium tuberculosis. Trends Microbiol. 2011, 19, 530–539. [Google Scholar] [CrossRef]
- Fernández-Cabezón, L.; García-Fernández, E.; Galán, B.; García, J.L. Molecular characterization of a new gene cluster for steroid degradation in Mycobacterium smegmatis. Environ. Microbiol. 2017, 19, 2546–2563. [Google Scholar] [CrossRef]
- Yao, K.; Wang, F.Q.; Zhang, H.C.; Wei, D.Z. Identification and engineering of cholesterol oxidases involved in the initial step of sterols catabolism in Mycobacterium neoaurum. Metab. Eng. 2013, 15, 75–87. [Google Scholar] [CrossRef] [PubMed]
- Yao, K.; Xu, L.Q.; Wang, F.Q.; Wei, D.Z. Characterization and engineering of 3-ketosteroid-△1-dehydrogenase and 3-ketosteroid-9α-hydroxylase in Mycobacterium neoaurum ATCC 25795 to produce 9α-hydroxy-4-androstene-3,17-dione through the catabolism of sterols. Metab. Eng. 2014, 24, 181–191. [Google Scholar] [CrossRef] [PubMed]
- Atrat, P.G.; Koch, B.; Szekalla, B.; Hörhold-Schubert, C. Application of newly synthesized detergents in the side chain degradation of plant sterols by Mycobacterium fortuitum. J. Basic Microbiol. 1992, 32, 147–157. [Google Scholar] [CrossRef] [PubMed]
- Xu, X.W.; Gao, X.Q.; Feng, J.X.; Wang, X.D.; Wei, D.Z. Influence of temperature on nucleus degradation of 4-androstene-3,17-dione in phytosterol biotransformation by Mycobacterium sp. Lett. Appl. Microbiol. 2015, 61, 63–68. [Google Scholar] [CrossRef]
- Gilbert, S.; Hood, L.; Seah, S.Y.K. Characterization of an aldolase involved in cholesterol side chain degradation in Mycobacterium tuberculosis. J. Bacteriol. 2017, 200, 512–517. [Google Scholar] [CrossRef]
- Wrońska, N.; Brzostek, A.; Szewczyk, R.; Soboń, A.; Dziadek, J.; Lisowska, K. The role of fadD19 and echA19 in sterol side chain degradation by Mycobacterium smegmatis. Molecules 2016, 21, 598. [Google Scholar] [CrossRef]
- Yang, X.X.; Dubnau, E.; Smith, I.; Sampson, N.S. Rv1106c from Mycobacterium tuberculosis is a 3β-hydroxysteroid dehydrogenase. Biochemistry 2007, 46, 9058–9067. [Google Scholar] [CrossRef]
- Uhía, I.; Galán, B.; Medrano, F.J.; García, J.L. Characterization of the KstR-dependent promoter of the gene for the first step of the cholesterol degradative pathway in Mycobacterium smegmatis. Microbiology 2011, 157, 2670–2680. [Google Scholar] [CrossRef]
- Wang, D.; Zhang, J.; Cao, D.D.; Wang, X.D.; Wei, D.Z. Identification and in situ removal of an inhibitory intermediate to develop an efficient phytosterol bioconversion process using a cyclodextrin-resting cell system. RSC Adv. 2021, 11, 24787–24793. [Google Scholar] [CrossRef]
- Dresen, C.; Lin, L.Y.C.; Angelo, I.D.; Tocheva, E.I.; Strynadka, N.; Eltis, L.D. A flavin-dependent monooxygenase from Mycobacterium tuberculosis involved in cholesterol catabolism. J. Biol. Chem. 2010, 285, 22264–22275. [Google Scholar] [CrossRef]
- Liu, N.; Feng, J.; Zhang, R.; Chen, X.; Li, X.; Yao, P.; Wu, Q.; Ma, Y.; Zhu, D. Efficient microbial synthesis of key steroidal intermediates from bio-renewable phytosterols by genetically modified Mycobacterium fortuitum strains. Green Chem. 2019, 21, 4076–4085. [Google Scholar] [CrossRef]
- Ma, X.; Zhang, K.; Liu, Y.; Xu, J.; Yang, Y.; Liu, J.; Hu, X. A three-step synthesis of estra-4,9-diene-3,17-dione. Can. J. Chem. 2018, 97, 267–269. [Google Scholar] [CrossRef]
- Szentirmai, A. Microbial physiology of sidechain degradation of sterols. J. Ind. Microbiol. 1990, 6, 101–115. [Google Scholar] [CrossRef]
- Lario, P.I.; Sampson, N.; Vrielink, A. Sub-atomic resolution crystal structure of cholesterol oxidase: What atomic resolution crystallography reveals about enzyme mechanism and the role of the FAD cofactor in redox activity. J. Mol. Biol. 2003, 326, 1635–1650. [Google Scholar] [CrossRef] [PubMed]
- Vrielink, A.; Lloyd, L.F.; Blow, D.M. Crystal structure of cholesterol oxidase from Brevibacterium sterolicum refined at 1.8 A resolution. J. Mol. Biol. 1991, 219, 533–554. [Google Scholar] [CrossRef]
- Zhang, R.J.; Liu, X.C.; Wang, Y.S.; Han, Y.C.; Sun, J.S.; Shi, J.P.; Zhang, B.G. Identification, function, and application of 3-ketosteroid Δ1-dehydrogenase isozymes in Mycobacterium neoaurum DSM 1381 for the production of steroidic synthons. Microb. Cell Fact. 2018, 17, 77. [Google Scholar] [CrossRef]
- Wang, X.J.; Feng, J.H.; Zhang, D.L.; Wu, Q.Q.; Zhu, D.M.; Ma, Y.H. Characterization of new recombinant 3-ketosteroid-Δ1-dehydrogenases for the biotransformation of steroids. Appl. Microbiol. Biotechnol. 2017, 101, 6049–6060. [Google Scholar] [CrossRef]
- Guevara, G.; Fernández de Las, H.L.; Perera, J.; Llorens, J.M.N. Functional differentiation of 3-ketosteroidΔ1-dehydrogenase isozymes in Rhodococcus ruber strain Chol-4. Microb. Cell Fact. 2017, 16, 42. [Google Scholar] [CrossRef]
- Zhang, R.J.; Xu, X.X.; Cao, H.J.; Yuan, C.Y.; Yuminaga, Y.K.; Zhao, S.W.; Shi, J.P.; Zhang, B.G. Purification, characterization, and application of a high activity 3-ketosteroid-Δ1-dehydrogenase from Mycobacterium neoaurum DSM 1381. Appl. Microbiol. Biotechnol. 2019, 103, 6605–6616. [Google Scholar] [CrossRef]
- Zhang, X.; Zhu, M.C.; Han, R.M.; Zhao, Y.X.; Chen, K.W.; Qian, K.; Shao, M.L.; Yang, T.W.; Xu, M.J.; Xu, J.Z.; et al. A novel 3-phytosterone-9α-hydroxylase oxygenation component and its application in bioconversion of 4-androstene-3,17-dione to 9α-hydroxy-4-androstene-3,17-dione coupling with A NADH regeneration formate dehydrogenase. Molecules 2019, 24, 2534. [Google Scholar] [CrossRef]
- Bragin, E.Y.; Shtratnikova, V.Y.; Schelkunov, M.I.; Dovbnya, D.V.; Donova, M.V. Genome-wide response on phytosterol in 9-hydroxyandrostenedione-producing strain of Mycobacterium sp. VKM Ac-1817D. BMC Biotechnol. 2019, 19, 39. [Google Scholar] [CrossRef] [PubMed]
- Liu, H.H.; Xu, L.Q.; Yao, K.; Xiong, L.B.; Tao, X.Y.; Liu, M.; Wang, F.Q.; Wei, D.Z. Engineered 3-ketosteroid 9α-hydroxylases in Mycobacterium neoaurum: An efficient platform for production of steroid drugs. Appl. Environ. Microbiol. 2018, 84, e02777-17. [Google Scholar] [CrossRef] [PubMed]
- García, J.L.; Uhía, I.; Galán, B. Catabolism and biotechnological applications of cholesterol degrading bacteria. Microb. Biotechnol. 2012, 5, 679–699. [Google Scholar] [CrossRef] [PubMed]
- Draper, P. The outer parts of the mycobacterial envelope as permeability barriers. Front. Biosci. 1998, 3, 1253–1261. [Google Scholar] [CrossRef] [PubMed]
- Tahlan, K.; Wilson, R.; Kastrinsky, D.B.; Arora, K.; Nair, V.; Fischer, E.; Barnes, S.W.; Walker, J.R.; Alland, D.; Barry, C.E., III; et al. SQ109 targets MmpL3, a membrane transporter of trehalose monomycolate involved in mycolic acid donation to the cell wall core of Mycobacterium tuberculosis. Antimicrob. Agents Chemother. 2012, 56, 1797–1809. [Google Scholar] [CrossRef]
- Yuan, T.N.; Werman, J.M.; Yin, X.Y.; Yang, M.; Garcia-Diaz, M.; Sampson, N.S. Enzymatic β-oxidation of the cholesterol side chain in Mycobacterium tuberculosis bifurcates stereospecifically at hydration of 3-oxo-cholest-4,22-dien-24-oyl-CoA. ACS Infect. Dis. 2021, 7, 1739–1751. [Google Scholar] [CrossRef]
- Thomas, S.T.; Vanderven, B.C.; Sherman, D.R.; Russell, D.G.; Sampson, N.S. Pathway profiling in Mycobacterium tuberculosis: Elucidation of cholesterol-derived catabolite and enzymes that catalyze its metabolism. J. Biol. Chem. 2011, 286, 43668–43678. [Google Scholar] [CrossRef]
- Thomas, S.T.; Sampson, N.S. Mycobacterium tuberculosis utilizes a unique heterotetrameric structure for dehydrogenation of the cholesterol side chain. Biochemistry 2013, 52, 2895–2904. [Google Scholar] [CrossRef]
- Ouellet, H.; Guan, S.H.; Johnston, J.B.; Chow, E.D.; Kells, P.M.; Burlingame, A.L.; Cox, J.S.; Podust, L.M.; Ortiz de Montellano, P.R. Mycobacterium tuberculosis CYP125A1, a steroid C27 monooxygenase that detoxifies intracellularly generated cholest-4-en-3-one. Mol. Microbiol. 2010, 77, 730–742. [Google Scholar] [CrossRef]
- García-Fernández, E.; Frank, D.J.; Galán, B.; Kells, P.M.; Podust, L.M.; García, J.L.; Ortiz de Montellano, P.R. A highly conserved mycobacterial cholesterol catabolic pathway. Environ. Microbiol. 2013, 15, 2342–2359. [Google Scholar] [CrossRef]
- Xiong, L.B.; Liu, H.H.; Xu, L.Q.; Sun, W.J.; Wang, F.Q.; Wei, D.Z. Improving the production of 22-hydroxy-23,24-bisnorchol-4-ene-3-one from sterols in Mycobacterium neoaurum by increasing cell permeability and modifying multiple genes. Microb. Cell Fact. 2017, 16, 89. [Google Scholar] [CrossRef] [PubMed]
- Xu, L.Q.; Liu, Y.J.; Yao, K.; Liu, H.H.; Tao, X.Y.; Wang, F.Q.; Wei, D.Z. Unraveling and engineering the production of 23,24-bisnorcholenic steroids in sterol metabolism. Sci. Rep. 2016, 6, 21928. [Google Scholar] [CrossRef] [PubMed]
- Lisowska, K.; Korycka, M.; Hadław-Klimaszewska, O.; Ziółkowski, A.; Sedlaczek, L. Permeability of mycobacterial cell envelopes to sterols: Peptidoglycan as the diffusion barrier. J. Basic Microbiol. 1996, 36, 407–419. [Google Scholar] [CrossRef]
- Rumijowska, A.; Lisowska, K.; Ziótkowski, A.; Sedlaczek, L. Transformation of sterols by Mycobacterium vaccae: Effect of lecithin on the permeability of cell envelopes to sterols. World J. Microbiol. Biotechnol. 1997, 13, 89–95. [Google Scholar] [CrossRef]
- Sedlaczek, L.; Lisowska, K.; Korycka, M.; Rumijowska, A.; Ziółkowski, A.; Długoński, J. The effect of cell wall components on glycine-enhanced sterol side chain degradation to androstene derivatives by Mycobacteria. Appl. Microbiol. Biotechnol. 1999, 52, 563–571. [Google Scholar] [CrossRef] [PubMed]
- Xiong, L.B.; Liu, H.H.; Song, X.W.; Meng, X.G.; Liu, X.Z.; Ji, Y.Q.; Wang, F.Q.; Wei, D.Z. Improving the biotransformation of phytosterols to 9α-hydroxy-4-androstene-3,17-dione by deleting embC associated with the assembly of cell envelope in Mycobacterium neoaurum. J. Biotechnol. 2020, 323, 341–346. [Google Scholar] [CrossRef]
- Xiong, L.B.; Liu, H.H.; Xu, L.Q.; Wei, D.Z.; Wang, F.Q. Role identification and application of SigD in the transformation of soybean phytosterol to 9α-hydroxy-4-androstene-3,17-dione in Mycobacterium neoaurum. J. Agric. Food Chem. 2017, 65, 626–631. [Google Scholar] [CrossRef] [PubMed]
- Xiong, L.B.; Sun, W.J.; Liu, Y.J.; Wang, F.Q.; Wei, D.Z. Enhancement of 9α-hydroxy-4-androstene-3,17-dione production from soybean phytosterols by deficiency of a regulated intramembrane proteolysis metalloprotease in Mycobacterium neoaurum. J. Agric. Food Chem. 2017, 65, 10520–10525. [Google Scholar] [CrossRef]
- Su, L.; Shen, Y.; Zhang, W.; Gao, T.; Shang, Z.; Wang, M. Cofactor engineering to regulate NAD+/NADH ratio with its application to phytosterols biotransformation. Microb. Cell Fact. 2017, 16, 182. [Google Scholar] [CrossRef]
- Sun, W.J.; Wang, L.; Liu, H.H.; Liu, Y.J.; Ren, Y.H.; Wang, F.Q.; Wei, D.Z. Characterization and engineering control of the effects of reactive oxygen species on the conversion of sterols to steroid synthons in Mycobacterium neoaurum. Metab. Eng. 2019, 56, 97–110. [Google Scholar] [CrossRef]
- Zhao, A.Q.; Zhan, X.Q.; Li, Y.M.; Wang, Z.; Lv, Y.K.; Liu, J.L.; Alam, M.A.; Xiong, W.L.; Xu, J.L. Mycolicibacterium cell factory for the production of steroid-based drug intermediates. Biotechnol. Adv. 2021, 53, 107860. [Google Scholar] [CrossRef] [PubMed]
- Sun, C.; Peng, H.; Zhang, W.; Zheng, M.; Tian, W.; Zhang, Y.; Liu, H.; Lin, Z.; Deng, Z.; Qu, X. Production of heterodimeric diketopiperazines employing a Mycobacterium-based whole-cell biocatalysis system. J. Org. Chem. 2021, 86, 11189–11197. [Google Scholar] [CrossRef] [PubMed]
- Shan, S.A.A.; Sultan, A.; Adnan, H.S. A whole-cell biocatalysis application of steroidal drugs. Orient. J. Chem. 2013, 29, 389–403. [Google Scholar]
- Zhao, Y.Q.; Shen, Y.B.; Ma, S.; Luo, J.M.; Ouyang, W.; Zhou, H.J.; Tang, R.; Wang, M. Production of 5α-androstene-3,17-dione from phytosterols by co-expression of 5α-reductase and glucose-6-phosphate dehydrogenase in engineered Mycobacterium neoaurum. Green Chem. 2019, 21, 1809–1815. [Google Scholar] [CrossRef]
- Zhu, Z.L.; Gao, X.; Song, Z.; Li, C.; Lu, F.P.; Tanokura, M.; Qin, H.M. Development of engineered ferredoxin reductase systems for the efficient hydroxylation of steroidal substrates. ACS Sustain. Chem. Eng. 2020, 8, 16720–16730. [Google Scholar] [CrossRef]
- Zhao, Y.Q.; Liu, Y.J.; Ji, W.T.; Liu, K.; Gao, B.; Tao, X.Y.; Zhao, M.; Wang, F.Q.; Wei, D.Z. One-pot biosynthesis of 7β-hydroxyandrost-4-ene-3,17-dione from phytosterols by cofactor regeneration system in engineered Mycolicibacterium neoaurum. Microb. Cell Fact. 2022, 21, 59. [Google Scholar] [CrossRef]
- Gu, Y.H.; Jiao, X.; Ye, L.D.; Yu, H.W. Metabolic engineering strategies for de novo biosynthesis of sterols and steroids in yeast. Bioresour. Bioprocess. 2021, 8, 1. [Google Scholar] [CrossRef]
- Prasad, B.D.; Sahni, S.; Krishna, P.; Kumari, D.; Mahato, A.K.; Jambhulkar, S.J.; Kumar, P.; Ranjan, T.; Kumar, A. De novo transcriptome assembly and identification of brassinosteroid biosynthetic pathway in safflower. J. Plant Growth Regul. 2022, 41, 1854–1870. [Google Scholar] [CrossRef]
- Szczebara, F.M.; Chandelier, C.; Villeret, C.; Masurel, A.; Bourot, S.; Duport, C.; Blanchard, S.; Groisillier, A.; Testet, E.; Costaglioli, P.; et al. Total biosynthesis of hydrocortisone from a simple carbon source in yeast. Nat. Biotechnol. 2003, 21, 143–149. [Google Scholar] [CrossRef]
- Russell, D.W. Cholesterol biosynthesis and metabolism. Cardiovasc. Drugs Ther. 1992, 6, 103–110. [Google Scholar] [CrossRef]
- Sonawane, P.D.; Pollier, J.; Panda, S.; Szymanski, J.; Massalha, H.; Yona, M.; Unger, T.; Malitsky, S.; Arendt, P.; Pauwels, L.; et al. Plant cholesterol biosynthetic pathway overlaps with phytosterol metabolism. Nat. Plants 2016, 3, 16205. [Google Scholar] [CrossRef] [PubMed]
- Duport, C.; Spagnoli, R.; Degryse, E.; Pompon, D. Self-sufficient biosynthesis of pregnenolone and progesterone in engineered yeast. Nat. Biotechnol. 1998, 16, 186–189. [Google Scholar] [CrossRef] [PubMed]
- Costa, J.A.V.; Cassuriaga, A.P.A.; Moraes, L.; Greque de Morais, M. Biosynthesis and potential applications of terpenes produced from microalgae. Bioresour. Technol. Rep. 2022, 19, 101166. [Google Scholar] [CrossRef]
- Eichenberger, M.; Hansson, A.; Fischer, D.; Dürr, L.; Naesby, M. De novo biosynthesis of anthocyanins in Saccharomyces cerevisiae. FEMS Yeast Res. 2018, 18, 46. [Google Scholar] [CrossRef]
- Sun, J.C.; Sun, W.T.; Zhang, G.L.; Lv, B.; Li, C. High efficient production of plant flavonoids by microbial cell factories: Challenges and opportunities. Metab. Eng. 2022, 70, 143–154. [Google Scholar] [CrossRef] [PubMed]
- Tran, V.G.; Zhao, H.M. Engineering robust microorganisms for organic acid production. J. Ind. Microbiol. Biotechnol. 2022, 49, 67. [Google Scholar] [CrossRef] [PubMed]
- Du, H.X.; Xiao, W.H.; Wang, Y.; Zhou, X.; Zhang, Y.; Liu, D.; Yuan, Y.J. Engineering Yarrowia lipolytica for campesterol overproduction. PLoS ONE 2016, 11, e0146773. [Google Scholar] [CrossRef]
- Zhang, Y.; Wang, Y.; Yao, M.D.; Liu, H.; Zhou, X.; Xiao, W.H.; Yuan, Y.J. Improved campesterol production in engineered Yarrowia lipolytica strains. Biotechnol. Lett. 2017, 39, 1033–1039. [Google Scholar] [CrossRef]
- Brocard-Masson, C.; Bonnin, I.; Dumas, B. Process for Preparing Genetically Transformed Yeasts Capable of Producing a Molecule of Interest at a High Titre. U.S. Patent WO2012175453, 27 December 2012. [Google Scholar]
Disclaimer/Publisher’s Note: The statements, opinions and data contained in all publications are solely those of the individual author(s) and contributor(s) and not of MDPI and/or the editor(s). MDPI and/or the editor(s) disclaim responsibility for any injury to people or property resulting from any ideas, methods, instructions or products referred to in the content. |
© 2023 by the authors. Licensee MDPI, Basel, Switzerland. This article is an open access article distributed under the terms and conditions of the Creative Commons Attribution (CC BY) license (https://creativecommons.org/licenses/by/4.0/).




