Co-Overexpression of RIB1 and RIB6 Increases Riboflavin Production in the Yeast Candida famata
Abstract
1. Introduction
2. Materials and Methods
2.1. Strains, Media, and Cultivation Conditions
2.2. Molecular Biology Techniques
2.3. Plasmid Construction
2.4. Quantitative Real-Time PCR
2.5. Biochemical Analysis
2.6. Statistical Analysis
3. Results
3.1. Construction of Riboflavin-Producing Strains
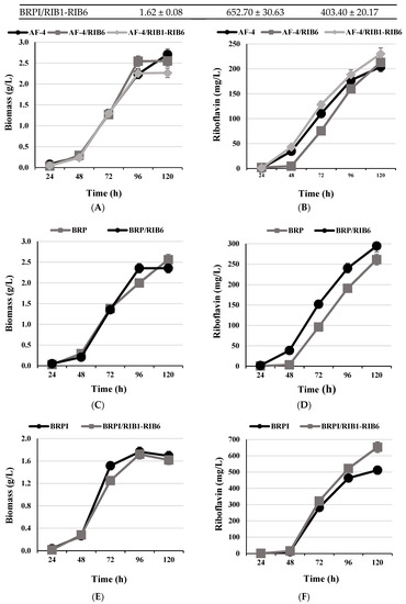
3.2. Biochemical Characteristics of Strains Producing Riboflavin
4. Discussion
5. Conclusions
Author Contributions
Funding
Institutional Review Board Statement
Informed Consent Statement
Data Availability Statement
Conflicts of Interest
References
- Suwannasom, N.; Kao, I.; Pruß, A.; Georgieva, R.; Bäumler, H. Riboflavin: The Health Benefits of a Forgotten Natural Vitamin. Int. J. Mol. Sci. 2020, 21, 950. [Google Scholar] [CrossRef]
- Dmytruk, K.V.; Yatsyshyn, V.Y.; Sybirna, N.O.; Fedorovych, D.V.; Sibirny, A.A. Metabolic engineering and classic selection of the yeast Candida famata (Candida flareri) for construction of strains with enhanced riboflavin production. Metab. Eng. 2011, 13, 82–88. [Google Scholar] [CrossRef] [PubMed]
- Abbas, C.A.; Sibirny, A.A. Genetic control of biosynthesis and transport of riboflavin and flavin nucleotides and construction of robust biotechnological producers. Microbiol. Mol. Biol. Rev. 2011, 75, 321–360. [Google Scholar] [CrossRef] [PubMed]
- Cardoso, D.R.; Libardi, S.H.; Skibsted, L.H. Riboflavin as a photosensitizer. Effects on human health and food quality. Food Funct. 2012, 3, 487–502. [Google Scholar] [CrossRef]
- Buehler, B.A. Vitamin B2: Riboflavin. J. Evid.-Based Integr. Med. 2011, 16, 88–90. [Google Scholar] [CrossRef]
- Lim, S.H.; Choi, J.S.; Park, E.Y. Microbial production of riboflavin using riboflavin overproducers, Ashbya gossypii, Bacillus subtilis, and Candida famata: An overview. Biotechnol. Bioprocess Eng. 2001, 6, 75–88. [Google Scholar] [CrossRef]
- Stahmann, K.-P.; Revuelta, J.L.; Seulberger, H. Three biotechnical processes using Ashbya gossypii, Candida famata, or Bacillus subtilis compete with chemical riboflavin production. Appl. Microbiolol. Biotechnol. 2000, 53, 509–516. [Google Scholar] [CrossRef] [PubMed]
- Vandamme, E.J. Production of vitamins, coenzymes and related biochemicals by biotechnological processes. J. Chem. Technol. Biotechnol. 1992, 53, 313–327. [Google Scholar] [CrossRef]
- Schwechheimer, S.K.; Park, E.Y.; Revuelta, J.L.; Becker, J.; Wittmann, C. Biotechnology of riboflavin. Appl. Microbiol. Biotechnol. 2016, 100, 2107–2119. [Google Scholar] [CrossRef]
- Burgess, C.M.; Smid, E.J.; van Sinderen, D. Bacterial vitamin B2, B11 and B12 overproduction: An overview. Int. J. Food Microbiol. 2009, 133, 1–7. [Google Scholar] [CrossRef]
- Lim, S.H.; Ming, H.; Park, E.Y.; Choi, J.S. Improvement of riboflavin production using mineral support in the culture of Ashbya gossypii. Food Technol. Biotechnol. 2003, 41, 137–144. [Google Scholar]
- Dmytruk, K.V.; Sibirny, A.A. Candida famata (Candida flareri). Yeast 2012, 29, 453–458. [Google Scholar] [CrossRef] [PubMed]
- Fischer, M.; Bacher, A. Biosynthesis of flavocoenzymes. Nat. Prod. Rep. 2005, 22, 324–350. [Google Scholar] [CrossRef] [PubMed]
- Voronovsky, A.A.; Abbas, C.A.; Fayura, L.R.; Kshanovska, B.V.; Dmytruk, K.V.; Sybirna, K.A.; Sibirny, A.A. Development of a transformation system for the flavinogenic yeast Candida famata. FEMS Yeast Res. 2002, 2, 381–388. [Google Scholar] [CrossRef][Green Version]
- Abbas, C.A.; Voronovsky, A.Y.; Fayura, L.R.; Kshanovska, B.V.; Dmytruk, K.V.; Sibirna, K.A.; Sibirny, A.A. Transformation Systems for Flavinogenic Yeast. U.S. Patent 7,009,045B2, 7 March 2006. [Google Scholar]
- Dmytruk, K.V.; Abbas, C.A.; Voronovsky, A.Y.; Kshanovska, B.V.; Sybirna, K.A.; Sibirny, A.A. Cloning of structural genes involved in riboflavin synthesis of the yeast Candida famata. Ukr. Biokhim. Zh. 2004, 76, 78–87. [Google Scholar]
- Voronovsky, A.Y.; Abbas, C.A.; Dmytruk, K.V.; Ishchuk, O.P.; Kshanovska, B.V.; Sybirna, K.A.; Gaillardin, C.; Sibirny, A.A. Candida famata (Debaryomyces hansenii) DNA sequences containing genes involved in riboflavin synthesis. Yeast 2004, 21, 1307–1316. [Google Scholar] [CrossRef]
- Dmytruk, K.V.; Voronovsky, A.Y.; Sibirny, A.A. Insertion mutagenesis of the yeast Candida famata (Debaryomyces hansenii) by random integration of linear DNA fragments. Curr. Genet. 2006, 50, 183–191. [Google Scholar] [CrossRef]
- Dmytruk, K.; Lyzak, O.; Yatsyshyn, V.; Kluz, M.; Sibirny, V.; Puchalski, C.; Sibirny, A. Construction and fed-batch cultivation of Candida famata with enhanced riboflavin production. J. Biotechnol. 2014, 172, 11–17. [Google Scholar] [CrossRef]
- Dmytruk, K.V.; Ruchala, J.; Fedorovych, D.V.; Ostapiv, R.D.; Sibirny, A.A. Modulation of the purine pathway for riboflavin production in flavinogenic recombinant strain of the yeast Candida famata. Biotechnol. J. 2020, 15, e1900468. [Google Scholar] [CrossRef]
- Sambrook, J.; Fritsh, E.F.; Maniatis, T. Molecular Cloning: A Laboratory Manual, 2nd ed.; Cold Spring Harbor Laboratory Press: Cold Spring Harbor, NY, USA, 1989. [Google Scholar]
- Millerioux, Y.; Clastre, M.; Simkin, A.J.; Courdavault, V.; Marais, E.; Sibirny, A.A.; Papon, N. Drug-resistant cassettes for the efficient transformation of Candida guilliermondii wild-type strains. FEMS Yeast Res. 2011, 11, 457–463. [Google Scholar] [CrossRef]
- Tsyrulnyk, A.O.; Fedorovych, D.V.; Dmytruk, K.V.; Sibirny, A.A. Overexpression of riboflavin excretase enhances riboflavin production in the yeast Candida famata. Methods Mol. Biol. 2021, 2280, 31–42. [Google Scholar] [CrossRef] [PubMed]
- Andreieva, Y.; Petrovska, Y.; Lyzak, O.; Liu, W.; Kang, Y.; Dmytruk, K.; Sibirny, A. Role of the regulatory genes SEF1, VMA1 and SFU1 in riboflavin synthesis in the flavinogenic yeast Candida famata (Candida flareri). Yeast 2020, 37, 497–504. [Google Scholar] [CrossRef] [PubMed]
- Heefner, D.L.; Boyts, A.; Burdzinski, L.; Yarus, M. Efficient Riboflavin Production with Yeast. U.S. Patent 5,231,007, 27 July 1993. [Google Scholar]
- Heefner, D.L.; Weaver, C.A.; Yarus, M.J.; Burdzinski, L.A. Method for Producing Riboflavin with Candida famata. U.S. Patent 5,164,303, 17 November 1992. [Google Scholar]
- Palma, M.; Mondo, S.; Pereira, M.; Vieira, E.; Grigoriev, I.V.; Sá-Correia, I. Genome Sequence and Analysis of the Flavinogenic Yeast Candida membranifaciens IST 626. J. Fungi 2022, 8, 254. [Google Scholar] [CrossRef]
- Duan, Y.X.; Chen, T.; Chen, X.; Zhao, X.M. Overexpression of glucose-6-phosphate dehydrogenase enhances riboflavin production in Bacillus subtilis. Appl. Microbiol. Biotechnol. 2010, 85, 1907–1914. [Google Scholar] [CrossRef] [PubMed]
- Yang, B.; Sun, Y.; Fu, S.; Xia, M.; Su, Y.; Liu, C.; Zhang, C.; Zhang, D. Improving the Production of Riboflavin by Introducing a Mutant Ribulose 5-Phosphate 3-Epimerase Gene in Bacillus subtilis. Front. Bioeng. Biotechnol. 2021, 9, 704650. [Google Scholar] [CrossRef] [PubMed]
- Ladenstein, R.; Fischer, M.; Bacher, A. The lumazine synthase/riboflavin synthase complex: Shapes and functions of a highly variable enzyme system. FEBS J. 2013, 280, 2537–2563. [Google Scholar] [CrossRef]




| Strain | Biomass (g/L) | Riboflavin (mg/L) | Riboflavin Yield (mg/g CDW) |
|---|---|---|---|
| AF-4 | 2.71 ± 0.13 | 204.00 ± 9.80 | 75.28 ± 3.57 |
| AF-4/RIB6 | 2.55 ± 0.09 | 213.00 ± 10.24 | 83.53 ± 4.18 |
| AF-4/RIB1-RIB6 | 2.26 ± 0.10 | 230.32 ± 10.85 | 101.69 ± 4.85 |
| BRP | 2.56 ± 0.14 | 261.20 ± 12.46 | 102.03 ± 5.10 |
| BRP/RIB6 | 2.35 ± 0.16 | 295.00 ± 13.95 | 125.53 ± 6.28 |
| BRPI | 1.69 ± 0.07 | 511.26 ± 24.10 | 302.34 ± 14.96 |
| BRPI/RIB1-RIB6 | 1.62 ± 0.08 | 652.70 ± 30.63 | 403.40 ± 20.17 |
Publisher’s Note: MDPI stays neutral with regard to jurisdictional claims in published maps and institutional affiliations. |
© 2022 by the authors. Licensee MDPI, Basel, Switzerland. This article is an open access article distributed under the terms and conditions of the Creative Commons Attribution (CC BY) license (https://creativecommons.org/licenses/by/4.0/).
Share and Cite
Petrovska, Y.; Lyzak, O.; Ruchala, J.; Dmytruk, K.; Sibirny, A. Co-Overexpression of RIB1 and RIB6 Increases Riboflavin Production in the Yeast Candida famata. Fermentation 2022, 8, 141. https://doi.org/10.3390/fermentation8040141
Petrovska Y, Lyzak O, Ruchala J, Dmytruk K, Sibirny A. Co-Overexpression of RIB1 and RIB6 Increases Riboflavin Production in the Yeast Candida famata. Fermentation. 2022; 8(4):141. https://doi.org/10.3390/fermentation8040141
Chicago/Turabian StylePetrovska, Yana, Oleksii Lyzak, Justyna Ruchala, Kostyantyn Dmytruk, and Andriy Sibirny. 2022. "Co-Overexpression of RIB1 and RIB6 Increases Riboflavin Production in the Yeast Candida famata" Fermentation 8, no. 4: 141. https://doi.org/10.3390/fermentation8040141
APA StylePetrovska, Y., Lyzak, O., Ruchala, J., Dmytruk, K., & Sibirny, A. (2022). Co-Overexpression of RIB1 and RIB6 Increases Riboflavin Production in the Yeast Candida famata. Fermentation, 8(4), 141. https://doi.org/10.3390/fermentation8040141

