Antioxidant Properties and Kidney Cell Protection by the Extracts of Curcuma longa, Artemisia princeps, Salicornia herbacea, and Schisandra chinesis
Abstract
1. Introduction
2. Materials and Methods
2.1. Preparation of Medicinal Plants
2.2. Microbes for Fermentation
2.3. Fermentation of Medicinal Plants
2.4. Extraction of Fermented Plant Products
2.5. Estimation of Total Polyphenol Contents
2.6. Estimation of Total Flavonoid Contents
2.7. Antioxidant Activity Assays
2.8. Determination of DPPH Radical Scavenging Activity
2.9. Determination of ABTS Radical Scavenging Activity
2.10. Cell Culture and Cell Viability of Rat Kidney LLC-PK1
2.11. Determination of Serum Creatinine and BUN Levels in Rats
2.12. Statistical Analysis
3. Results and Discussion
3.1. pH Changes in during Fermentation
3.2. Microbial Growth during Fermentation
3.3. Phenolic Compound Contents and Antioxidant Activities of Medicinal Plant Extracts
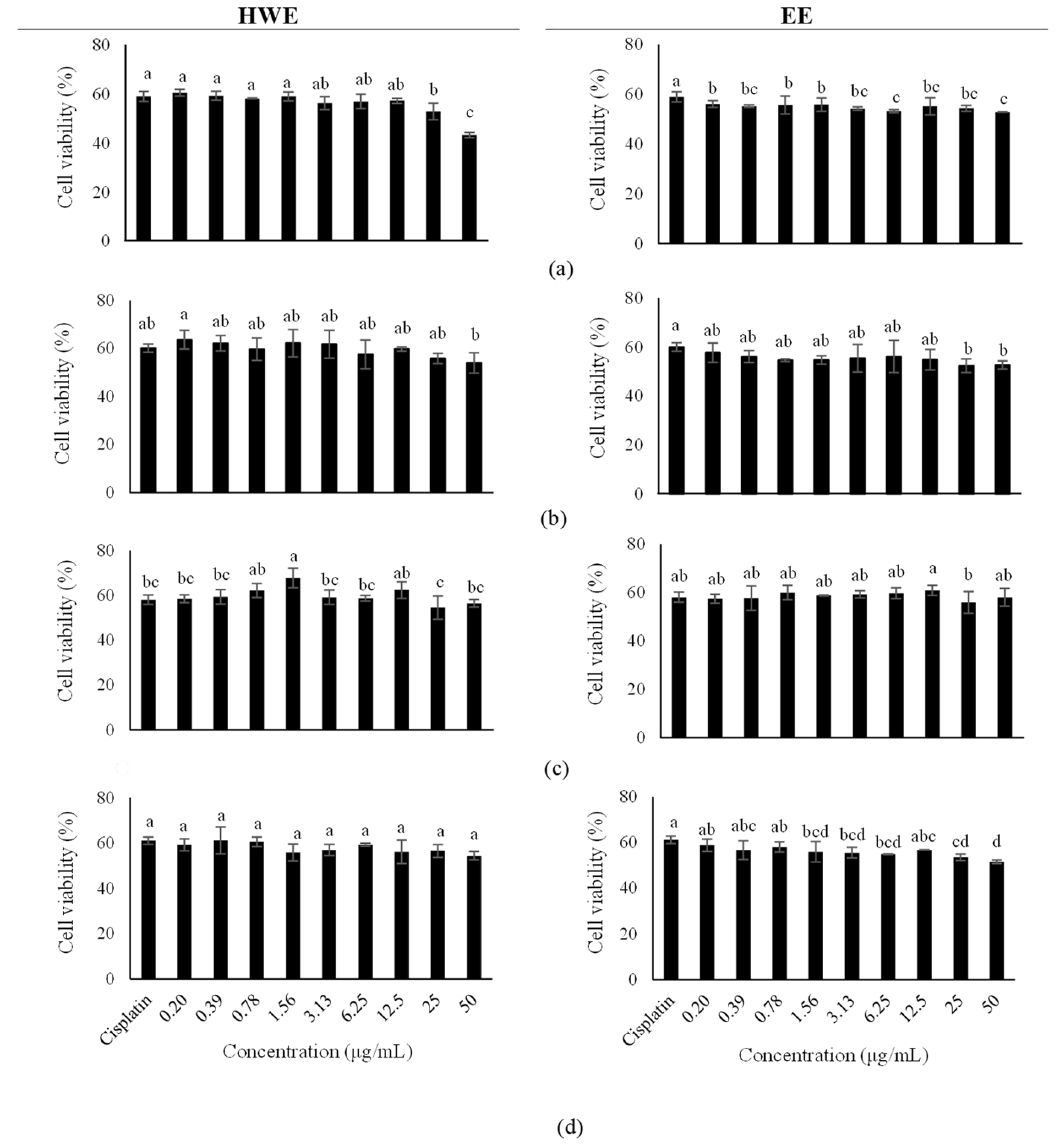
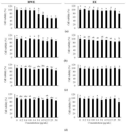
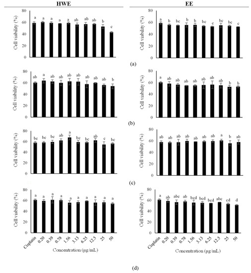
3.4. Cell Viability and Protective Effects of Medicinal Plants on Kidney Cells
3.5. Serum Creatinine and Blood Urea Level of the Medicinal Plant Extracts in Rats
4. Conclusions
Author Contributions
Funding
Institutional Review Board Statement
Informed Consent Statement
Data Availability Statement
Acknowledgments
Conflicts of Interest
References
- Vlase, L.; Parvu, M.; Parvh, E.A.; Toiu, A. Chemical constituents of three allium species from Romania. Molecules 2013, 18, 114–127. [Google Scholar] [CrossRef] [PubMed]
- Yuan, H.; Ma, Q.; Ye, L.; Piao, G. The traditional products. Molecules 2016, 21, 559. [Google Scholar] [CrossRef] [PubMed]
- Wink, M. Modes of action of herbal medicines and plant secondary metabolites. Medicines 2015, 2, 251–286. [Google Scholar] [CrossRef] [PubMed]
- Oh, J.H.; Lee, S.K.; Choi, S.W. Antioxidant activities of the ethanol extract of hamcho (Salicornia herbacea L.) cake prepared by enzymatic treatment. Food Sci. Biotechnol. 2017, 16, 90–98. [Google Scholar]
- Verma, R.K.; Kumari, P.; Verma, R.; Singh, R.K. Medicinal properties of turmeric (Curcuma longa L.): A review. Int. J. Chem. Stud. 2018, 6, 1354–1357. [Google Scholar]
- Fuloria, S.F.; Mehta, J.; Chandel, A.; Floria, N.K. A comprehensive review on the therapeutic potential of Curcuma longa Linn in relation to its major active constituents curcuma. Front. Pharmacol. 2022, 13, 1–27. [Google Scholar]
- Pal, P.; Ghosh, A.K. Antioxidant, anti-alzheimer and anti-parkinson activity of Artemisia nilagirica leaves with flowering tops. UK J. Pharm. Biosci. 2018, 6, 12–23. [Google Scholar]
- Shinde, S.; Sebastian, J.K.; Jain, J.R.; Murthy, H.N. Efficient in vitro propagation of Artemisia nilagirica var. nilagirica and assessment of genetic fidelity of micropropagated plants. Physiol. Mol. Biol. Plants 2016, 2, 595–603. [Google Scholar]
- Singh, D.; Buhmann, A.K.; Flowers, T.J. Salicornia as a crop plant in temperate regions: Selection of genetically characterizes ecotypes and optimization of their cultivation conditions. AoB Plants 2014, 6, plu071. [Google Scholar] [CrossRef]
- Patel, S. Salicornia: Evaluating the halophytic extremophile as a food and a pharmaceutical candidate. 3 Biotech 2016, 6, 104. [Google Scholar] [CrossRef]
- Essaidi, I.; Brahm, Z.; Snoussi, A. Phytochemical investigation of Tunisian Salicornia herbacea L., antioxidant, antimicrobial and cytochrom p450 inhibitory activities of its methanol extract. Food Control 2013, 32, 125–133. [Google Scholar] [CrossRef]
- Lee, J.H.; Lee, Y.Y.; Lee, J.; Jang, Y.J.; Jang, H.W. Chemical composition, antioxidant, and anti-inflammatory activity of essential oil from omija (Schisandra chinesis (Turcz.) Baillon.) produced by supercritical fluid extraction using CO2. Foods 2021, 10, 1619. [Google Scholar] [CrossRef] [PubMed]
- Kim, M.K.; Lee, Y.Y.; Lee, K.G.; Jung, H.W. Instrumental volatile flavor analyzer of omija using headspace stir-bar sorptive extraction GC/MS and its relationship to human sensory perceptions. Food Res. Int. 2019, 120, 650–655. [Google Scholar] [CrossRef] [PubMed]
- Joh, E.-H.; Trinh, H.J.; Kim, D.H.; Han, M.J. Anti-Inflammatory effect of fermented Artemisia princeps Pamp in mice. Biomol. Ther. 2010, 18, 308–315. [Google Scholar] [CrossRef]
- Hussein, H.J.; Hameed, I.H.; Hadi, M.Y. Using gas chromatography-mass spectrometry (GC-MS) technique for analysis of bioactive compounds of methanolic leaves extract of Lepidium Sativum. Res. J. Pharm. Technol. 2017, 10, 3981–3989. [Google Scholar] [CrossRef]
- Hur, S.J.; Lee, S.Y.; Kim, Y.C.; Choi, I.; Kim, G.B. Effect of fermentation on the antioxidant activity in plant-based foods. Food Chem. 2014, 160, 346–356. [Google Scholar] [CrossRef] [PubMed]
- Park, D.H.; Niu, K.M.; Han, S.G.; Yoon, J.E.; Lee, H.G.; Kim, S.K. Effect of fermented medicinal plants as dietary additives on food preference and fecal microbial quality in dogs. Animals 2019, 9, 690. [Google Scholar] [CrossRef]
- Chun, H.C. Dietary Effects on Egg Production by Fermented Schisandra chinensis Fruit Byproduct in Laying Hens. Ph.D. Thesis, Konkuk University, Seoul, Republic of Korea, 2011; pp. 1–114. [Google Scholar]
- Herigstad, B.; Hamilton, M.; Heersink, J. How to optimize the drop plate method for enumerating bacteria. J. Microbiol. Methods 2001, 44, 121–129. [Google Scholar] [CrossRef]
- Dudonne, S.; Vitrac, X.; Coutiere, P.; Woillez, M.; Merillon, J.M. Comparative study of antioxidant properties and total phenolic content of 30 plant extracts of industrial interest using DPPH, ABST, FRAP, SOD and ORA assays. J. Agric. Food Chem. 2009, 57, 1768–1774. [Google Scholar] [CrossRef]
- Kim, H.Y.; Jang, S.Y.; Choi, G.I.; Shin, H.C. The effect of patriniae radix on the oxidative stress and NF-KB signaling in mouse LLC-PK1 cell. Korean J. Orient. Med. 2010, 31, 153–165. [Google Scholar]
- Oh, D.Y.; Kang, D.S.; Lee, Y.G.; Kim, H.S. Effects of turmeric (Curcuma longa L.) supplementation on blood urea N and enzyme activities in dyslipidemic rats. J. Environ. Sci. Int. 2019, 28, 475–483. [Google Scholar]
- Kang, S.; Kim, M.R.; Chiang, M.; Hoyo, J. Evaluation and comparison of functional properties of freshwater-cultivated glasswort (Salicornia herbacea L.) with naturally-grown glasswort. Food Sci. Biotechnol. 2015, 24, 2245–2250. [Google Scholar] [CrossRef]
- Min, S.H. Quality characteristics of omija (Schizandra chinesis Baillon) extracts under various conditions for beverage production. J. Korean Soc. Food Cult. 2013, 28, 320–327. [Google Scholar] [CrossRef]
- Ye, M.; Yue, T.; Yuan, Y. Effects of sequential mixed cultures of Wickerhamomyces anomalus and Saccharomyces cerevisiae on apple cider fermentation. FEMS Yeast Res. 2014, 14, 873–882. [Google Scholar] [CrossRef] [PubMed]
- Stefanello, R.F.; Nabeshima, E.H.; Lamanaka, B.T.; Copetti, M.V. Survival and stability of Lactobacillus fermentum and Wickerhamomyces anomalus strains upon lyophilisation with different cryoprotectant agents. Food Res. Int. 2019, 115, 90–94. [Google Scholar] [CrossRef]
- Vlase, L.; Benedec, D.; Hanganu, D.; Damian, G.; Csillag, I.; Sevastre, B.; Mot, A.C.; Silaghi-Dumitrescu, R.; Tilea, I. Evaluation of antioxidant and antimicrobial activities and phenolic profile for Hyssopus offininalis, Ocimum basilicum and Teucrium chamaedrys. Molecules 2014, 19, 5490–5507. [Google Scholar] [CrossRef]
- Libro, R.; Fiacoppo, S.; Mazzon, E. Natural phytochemicals in the treatment and prevention of dementia: An overview. Molecules 2016, 21, 518. [Google Scholar] [CrossRef]
- Dai, J.; Mumper, R.J. Plant phenolics: Extraction analysis and their antioxidant and anticancer properties. Molecules 2010, 15, 7313–7352. [Google Scholar] [CrossRef]
- Lee, C.Y. Challenges in providing credible scientific evidence of health benefits of dietary polyphenols. J. Funct. Foods 2013, 5, 524–526. [Google Scholar] [CrossRef]
- Popa, D.S.; Bolfa, P.; Kiss, B.; Vlase, L.; Pop, A.; Loghin, F. Influence of Genista tinctoria L. or methylparaben on subcronic toxicity of bisphenol A in rats. Biomed. Environ. Sci. 2014, 27, 85–96. [Google Scholar]
- Shahbazi, H.; Gahruie, H.H.; Gdmakani, M.T.; Eskandari, M.; Movahedi, M. Effect of medicinal plant type and concentration on physicochemical, antioxidant, antimicrobial, and sensorial properties of kombucha. Food Sci. Nutr. 2018, 6, 2568–2577. [Google Scholar] [CrossRef] [PubMed]
- Batiha, G.E.S.; Olatunde, A.; El-Mleeh, A.; Hetta, H.T.; Rivero-Perez, N. Bioactive compounds, pharmacological actions, and pharmacokinetics of wormwood (Artemisia absinthium). Antibiotics 2020, 9, 353. [Google Scholar] [CrossRef] [PubMed]
- Gouda, M.; Elsebaie, E. Glasswort (Salicornia spp.) as a source of bioactive compounds and its health benefits: A review. J. Food Sci. Technol. 2016, 13, 1–7. [Google Scholar]
- Kim, J.K.; Kim, J.H.; Woo, H.J. Antioxidant Activities of Water and Ethanol-Extracts of Glasswort (Salicornia hervacea). Korean Soc. Biotechnol. Bioeng. 2003, 525–525. Available online: http://www.koreascience.or.kr/article/CFKO200336037075463.page (accessed on 1 November 2022).
- Kim, H.T.; Kim, J.W.; Lim, M.K.; IM, T.W. Cytotoxic effect of Artemisia capillaris extracts on the cancer cells in vitro. J. Vet. Clin. 2001, 24, 367–371. [Google Scholar]
- Kang, S.; Hong, J. Antioxidant activities, production of reactive oxygen species, and cytotoxic properties of fractions from aerial parts of glasswort (Salicornia herbacea L.). Korean J. Food Sci. Technol. 2016, 48, 574–581. [Google Scholar] [CrossRef][Green Version]
- Ryu, J.H.; Lee, S.J.; Kim, M.J.; Shin, J.H.; Sung, N.J. Antioxidant and anticancer activities of Artemisia annua L. and determination of functional compounds. J. Korean Soc. Food Sci. Nutr. 2011, 40, 509–516. [Google Scholar] [CrossRef]
- Yoon, N.K.; Kim, B.K.; Ryu, H.Y.; Lee, H.J. In vitro neuroprotective effect of Aricumin (turmeric extract). J. Convergence Culture Technol. 2022, 8, 291–296. [Google Scholar]
- Kim, H.S.; Kim, M.A.; Duan, Y.; Jang, S.H.; Cho, H.J.; Kim, S.W. Influences of wild Haw (Crataegus pinnatifida) on lowering BUN and creatinine concentration in dyslipidemia. J. Environ. Sci. Int. 2014, 23, 1029–1035. [Google Scholar] [CrossRef][Green Version]






Publisher’s Note: MDPI stays neutral with regard to jurisdictional claims in published maps and institutional affiliations. |
© 2022 by the authors. Licensee MDPI, Basel, Switzerland. This article is an open access article distributed under the terms and conditions of the Creative Commons Attribution (CC BY) license (https://creativecommons.org/licenses/by/4.0/).
Share and Cite
On, J.-Y.; Kim, J.-M.; Kothari, D.; Kim, S.-K. Antioxidant Properties and Kidney Cell Protection by the Extracts of Curcuma longa, Artemisia princeps, Salicornia herbacea, and Schisandra chinesis. Fermentation 2022, 8, 702. https://doi.org/10.3390/fermentation8120702
On J-Y, Kim J-M, Kothari D, Kim S-K. Antioxidant Properties and Kidney Cell Protection by the Extracts of Curcuma longa, Artemisia princeps, Salicornia herbacea, and Schisandra chinesis. Fermentation. 2022; 8(12):702. https://doi.org/10.3390/fermentation8120702
Chicago/Turabian StyleOn, Jeong-Yeon, Jeong-Mee Kim, Damini Kothari, and Soo-Ki Kim. 2022. "Antioxidant Properties and Kidney Cell Protection by the Extracts of Curcuma longa, Artemisia princeps, Salicornia herbacea, and Schisandra chinesis" Fermentation 8, no. 12: 702. https://doi.org/10.3390/fermentation8120702
APA StyleOn, J.-Y., Kim, J.-M., Kothari, D., & Kim, S.-K. (2022). Antioxidant Properties and Kidney Cell Protection by the Extracts of Curcuma longa, Artemisia princeps, Salicornia herbacea, and Schisandra chinesis. Fermentation, 8(12), 702. https://doi.org/10.3390/fermentation8120702

