Modulation of Wine Flavor using Hanseniaspora uvarum in Combination with Different Saccharomyces cerevisiae, Lactic Acid Bacteria Strains and Malolactic Fermentation Strategies
Abstract
1. Introduction
2. Materials and Methods
2.1. Cultivation and Enumeration of Micro-Organisms
2.2. Wine Production
2.3. Juice and Wine Analysis
2.4. Sensory Evaluation of Wines
2.5. Data and Statistical Analysis
2.6. Verification of H. uvarum Implantations
3. Results and Discussion
3.1. Yeast Development
3.2. Yeast Verification
3.3. LAB Development and Progression of MLF
3.4. Standard Oenological Parameters
3.4.1. Wines without MLF
3.4.2. Wines That Underwent MLF
3.5. Multivariate Data Analysis of Wines
3.6. Sensory Evaluation
3.6.1. Fresh Vegetative Aroma
3.6.2. Spicy
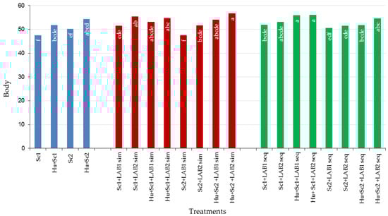
3.6.3. Body
3.7. Overall Effects
4. Conclusions
Supplementary Materials
Author Contributions
Acknowledgments
Conflicts of Interest
References
- Swiegers, J.H.; Bartowsky, E.J.; Henschke, P.A.; Pretorius, I.S. Yeast and bacterial modulation of wine aroma and flavour. Aust. J. Grape Wine Res. 2005, 11, 139–173. [Google Scholar] [CrossRef]
- Jolly, N.P.; Valera, C.; Pretorius, I.S. Not your ordinary yeast: Non-Saccharomyces yeasts in wine production uncovered. FEMS Yeast Res. 2014, 14, 215–237. [Google Scholar] [CrossRef] [PubMed]
- Fleet, G.H. Yeast interactions and wine flavour. Int. J. Food Microbiol. 2003, 86, 11–22. [Google Scholar] [CrossRef]
- Ribéreau-Gayon, P.; Dubourdieu, D.; Donéche, B.; Lonvaud, A. Handbook of Enology, Volume 1: The Microbiology of Wine and Vinifications, 2nd ed.; John Wiley & Sons Ltd.: London, UK, 2006. [Google Scholar]
- Hranilovic, A.; Li, S.; Boss, P.K.; Bindon, K.; Ristic, R.; Grbin, P.R.; Van der Westhuizen, T.; Jiranek, V. Chemical and sensory profiling of Shiraz wines co-fermented with commercial non-Saccharomyces inocula. Aust. J. Grape Wine Res. 2018, 24, 166–180. [Google Scholar] [CrossRef]
- Romano, P.; Capece, A.; Jespersen, L. Taxonomic and ecological diversity of food and beverage yeasts. In Yeasts in Food and Beverages; Querol, A., Fleet, G., Eds.; Springer: Berlin, Germany, 2006; pp. 13–54. [Google Scholar]
- Capozzi, V.; Garofalo, C.; Chiriatti, M.A.; Grieco, F.; Spano, G. Microbial terroir and food innovation: The case of yeast biodiversity in wine. Microbiol. Res. 2015, 181, 75–83. [Google Scholar] [CrossRef]
- Ye, D.Q.; Sun, Y.; Song, Y.Y.; Ma, X.L.; Ren, X.N.; Gong, X.; Liu, Y.L. Diversity and identification of yeasts isolated from tumultuous stage of spontaneous table grape fermentations in central China. S. Afr. J. Enol. Vitic. 2019, 40, 1–7. [Google Scholar] [CrossRef]
- Romano, P.; Fiore, C.; Paraggio, M.; Caruso, M.; Capece, A. Function of yeast species and strains in wine flavour. Int. J. Food Microbiol. 2003, 86, 169–180. [Google Scholar] [CrossRef]
- De Benedictis, M.; Bleve, G.; Grieco, F.; Tristezza, M.; Tufariello, M. An optimized procedure for the enological selection of non-Saccharomyces starter cultures. Antonie Leeuwenhoek 2011, 99, 189–200. [Google Scholar] [CrossRef]
- Tristezza, M.; Tufariello, M.; Capozzi, V.; Spano, G.; Mita, G.; Grieco, F. The oenological potential of Hanseniaspora uvarum in simultaneous and sequential co-fermentation with Saccharomyces cerevisiae for industrial wine production. Front. Microbiol. 2016, 7, 1–14. [Google Scholar] [CrossRef]
- Moreira, N.; Mendes, F.; de Pinho, R.G.; Hogg, T.; Vasconcelos, I. Heavy sulphur compounds, higher alcohols and esters production profile of Hanseniaspora uvarum and Hanseniaspora guilliermondii grown as pure and mixed cultures in grape must. Int. J. Food Microbiol. 2008, 124, 231–238. [Google Scholar] [CrossRef]
- Mendoza, L.M.; Merín, M.G.; Morata, V.I.; Farías, M.E. Characterization of wines produced by mixed culture of autochthonous yeasts and Oenococcus oeni from the northwest region of Argentina. J. Ind. Microbiol. Biotechnol. 2011, 38, 1777–1785. [Google Scholar] [CrossRef] [PubMed]
- Bartowsky, E.J.; Costello, P.; Henschke, P.A. Management of malolactic fermentation—Wine flavour manipulation. Aust. N. Z. Grapegrow. Winemak. 2002, 461, 7–8 and 10–12. [Google Scholar]
- Lerm, E.; Engelbrecht, L.; Du Toit, M. Malolactic fermentation: The ABC’s of MLF. S. Afr. J. Enol. Vitic. 2010, 31, 186–212. [Google Scholar] [CrossRef]
- Dimopoulou, M.; Raffenne, J.; Claisse, O.; Miot-Sertier, C.; Iturmendi, N.; Moine, V.; Coulon, J.; Dols-Lafargue, M. Oenococcus oeni exopolysaccharide biosynthesis, a tool to improve malolactic starter performance. Front. Microbiol. 2018, 9, 1276. [Google Scholar] [CrossRef] [PubMed]
- Grimaldi, A.; Bartowsky, E.; Jiranek, V. Screening of Lactobacillus spp. and Pediococcus spp. for glycosidase activities that are important in oenology. J. Appl. Microbiol. 2005, 99, 1061–1069. [Google Scholar] [CrossRef] [PubMed]
- Mtshali, P.S.; Divol, B.; Van Rensburg, P.; du Toit, M. Genetic screening of wine-related enzymes in Lactobacillus species isolated from South African wines. J. Appl. Microbiol. 2010, 108, 1389–1397. [Google Scholar] [CrossRef]
- Brizuela, N.; Tymczyszyn, E.E.; Semorile, L.C.; La Hens, D.V.; Delfederico, L.; Hollmann, A.; Bravo-Ferrada, B. Lactobacillus plantarum as a malolactic starter culture in winemaking: A new (old) player? Electron. J. Biotechnol. 2019, 38, 10–19. [Google Scholar] [CrossRef]
- Abrahamse, C.; Bartowsky, E. Timing of malolactic fermentation inoculation in Shiraz grape must and wine: influence on chemical composition. World J. Microbiol. Biot. 2012, 28, 255–265. [Google Scholar] [CrossRef]
- Bartowsky, E.J.; Costello, P.J.; Chambers, P.J. Emerging trends in the application of malolactic fermentation. Aust. J. Grape Wine Res. 2015, 21, 663–669. [Google Scholar] [CrossRef]
- Tristezza, M.; di Feo, L.; Tufariello, M.; Grieco, F.; Capozzi, V.; Spano, G.; Mita, G. Simultaneous inoculation of yeasts and lactic acid bacteria: Effects on fermentation dynamics and chemical composition of Negroamaro wine. LWT-Food Sci. Technol. 2016, 66, 406–412. [Google Scholar] [CrossRef]
- Lesschaeve, I. Sensory evaluation of wine and commercial realities: Review of current practices and perspectives. Am. J. Enol. Vitic. 2007, 58, 252–258. [Google Scholar]
- Du Plessis, H.; du Toit, M.; Nieuwoudt, H.; van der Rijst, M.; Kidd, M.; Jolly, N. Effect of Saccharomyces, non-Saccharomyces yeasts and malolactic fermentation strategies on fermentation kinetics and flavor of Shiraz wines. Fermentation 2017, 3, 64. [Google Scholar] [CrossRef]
- Minnaar, P.P.; Ntushelo, N.; Ngqumba, Z.; Van Breda, V.; Jolly, N.P. Effect of Torulaspora delbrueckii yeast on the anthocyanin and flavanol concentrations of Cabernet franc and Pinotage wines. S. Afr. J. Enol. Vitic. 2015, 36, 50–58. [Google Scholar] [CrossRef]
- Anonymous. Methods of analyses for wine laboratories. Compiled by the South African Wine Laboratories Association. South African Society for Viticulture and Oenology, P.O. Box 2092, Dennesig, Stellenbosch 7601, South Africa. 2003. Available online: http://www.sasev.org (accessed on 8 July 2019).
- Louw, L.; Roux, K.; Tredoux, A.; Tomic, O.; Naes, T.; Nieuwoudt, H.H.; Van Rensburg, P. Characterisation of selected South African cultivar wines using FTMIR spectroscopy, gas chromatography and multivariate data analysis. J. Agric. Food. Chem. 2009, 57, 2623–2632. [Google Scholar] [CrossRef] [PubMed]
- Lõoke, M.; Kristjuhan, K.; Kristjuhan, A. Extraction of genomic DNA from yeasts for PCR-based applications. BioTechniques 2011, 50, 325–328. [Google Scholar] [CrossRef] [PubMed]
- Esteve-Zarzoso, B.; Belloch, C.; Uruburu, F.; Querol, A. Identification of yeasts by RFLP analysis of the 5.8S rRNA gene and the two ribosomal internal transcribed spacers. Int. J. Syst. Bacteriol. 1999, 49, 329–337. [Google Scholar] [CrossRef] [PubMed]
- Pfliegler, W.P.; Horváth, E.; Kállai, Z.; Sipiczki, M. Diversity of Candida zemplinina isolates inferred from RAPD, micro/minisatellite and physiological analysis. Microbiol. Res. 2014, 169, 402–410. [Google Scholar] [CrossRef] [PubMed]
- Costantini, A.; García-Moruno, E.; Moreno-Arribas, M.V. Biochemical transformations produced by malolactic fermentation. In Wine Chemistry and Biochemistry; Moreno-Arribas, M.V., Polo, M.C., Eds.; Springer: Berlin, Germany, 2009; pp. 27–57. [Google Scholar]
- Izquierdo-Cañas, P.M.; Romero, E.G.; Pérez-Martín, F.; Seseña, S.; Palop, M.L. Sequential inoculation versus co-inoculation in Cabernet Franc wine fermentation. Food Sci. Technol. Int. 2015, 21, 203–212. [Google Scholar] [CrossRef] [PubMed]
- Mendoza, L.M.; Manca de Nadra, M.C.; Farías, M.E. Kinetics and metabolic behaviour of a composite culture of Kloeckera apiculata and Saccharomyces cerevisiae wine related strains. Biotechnol. Lett. 2007, 29, 1057–1063. [Google Scholar] [CrossRef]
- Liu, P.T.; Lu, L.; Duan, C.Q.; Yan, G.L. The contribution of indigenous non-Saccharomyces wine yeast to improved aromatic quality of Cabernet Sauvignon wines by spontaneous fermentation. LWT-Food Sci. Technol. 2016, 71, 356–363. [Google Scholar] [CrossRef]
- Ciani, M.; Beco, L.; Comitini, F. Fermentation behaviour and metabolic interactions of multistarter wine yeast fermentations. Int. J. Food Microbiol. 2006, 108, 239–245. [Google Scholar] [CrossRef] [PubMed]
- Whitener, M.E.B.; Stanstrup, J.; Carlin, S.; Divol, B.; Du Toit, M.; Vrhovsek, U. Effect of non-Saccharomyces yeasts on the volatile chemical profile of Shiraz wine. Aust. J. Grape Wine Res. 2017, 23, 179–192. [Google Scholar] [CrossRef]
- Izquierdo-Cañas, P.M.; Mena-Morales, A.; García-Romero, E. Malolactic fermentation before or during wine aging in barrels. LWT-Food Sci. Technol. 2016, 66, 468–474. [Google Scholar] [CrossRef]
- Du Toit, M.; Engelbrecht, L.; Lerm, E.; Krieger-Weber, S. Lactobacillus: The next generation of malolactic fermentation starter cultures—an overview. Food Bioproc. Tech. 2010, 4, 876–906. [Google Scholar] [CrossRef]








| Reference Code | Species Name | Source |
|---|---|---|
| Sc1 | Saccharomyces cerevisiae | VIN 13, commercial strain, Anchor Wine Yeast, South Africa |
| Sc2 | Saccharomyces cerevisiae | NT 202, commercial strain, Anchor Wine Yeast |
| Hu | Hanseniaspora uvarum | Y0858, natural isolate, ARC Infruitec-Nietvoorbij culture collection |
| LAB1 | Oenococcus oeni | Viniflora® oenos, commercial malolactic fermentation starter, Chr. Hansen A/S, Denmark |
| LAB2 | Lactobacillus plantarum | Enoferm V22, commercial malolactic fermentation starter, Lallemand Inc., France |
| Treatment | Residual Sugar (g/L) | pH | Volatile Acidity (g/L) | Total Acidity (g/L) | Malic Acid (g/L) | Lactic Acid (g/L) | Alcohol (% v/v) | Glycerol (g/L) | MLF Duration (Days) |
|---|---|---|---|---|---|---|---|---|---|
| Sc1 | 1.70 cdefg 3 ± 0.22 | 3.61 g ± 0.00 | 0.24 k ± 0.01 | 6.16 a ± 0.07 | 2.81 a ± 0.08 | <0.20 j ± 0.00 | 13.65 bcdef ± 0.02 | 10.62 fg ± 0.03 | No MLF |
| Sc1 + LAB1 sim MLF 2 | 1.60 fg ± 0.22 | 3.75 cd ± 0.01 | 0.38 hi ± 0.01 | 5.36 defg ± 0.03 | <0.20 d ± 0.00 | 1.33 fg ± 0.01 | 13.80 abcde ± 0.05 | 11.00 bcd ± 0.06 | 10 |
| Sc1 + LAB1 seq MLF | 1.69 defg ± 0.16 | 3.80 ab ± 0.02 | 0.45 def ± 0.01 | 5.39 cde ± 0.04 | <0.20 d ± 0.00 | 1.35 ef ± 0.04 | 13.99 a ± 0.09 | 11.13 b ± 0.01 | 34 |
| Sc1 + LAB2 sim MLF | 1.63 efg ± 0.11 | 3.81 a ± 0.01 | 0.46 de ± 0.01 | 5.43 cd ± 0.03 | <0.20 d ± 0.00 | 1.39 de ± 0.03 | 13.92 ab ± 0.02 | 11.13 b ± 0.02 | 34 |
| Sc1 + LAB2 seq MLF | 1.47 g ± 0.18 | 3.77 bc ± 0.01 | 0.43 efg ± 0.01 | 5.50 c ± 0.05 | <0.20 d ± 0.00 | 1.40 de ± 0.02 | 13.87 abc ± 0.11 | 11.09 bc ± 0.09 | 34 |
| Hu+Sc1 | 1.81 abcdef ± 0.07 | 3.60 g ± 0.00 | 0.29 j ± 0.01 | 6.17 a ± 0.02 | 1.82 c ± 0.11 | 0.24 ij ± 0.03 | 13.52 efg ± 0.04 | 10.27 h ± 0.06 | No MLF |
| Hu + Sc1 + LAB1 sim MLF | 1.97 abc ± 0.27 | 3.70 f ± 0.01 | 0.41 gh ± 0.01 | 5.35 defg ± 0.03 | <0.20 d ± 0.00 | 1.50 a ± 0.02 | 13.61 cdefg ± 0.06 | 10.75 efg ± 0.08 | 10 |
| Hu + Sc1 + LAB1 seq MLF | 1.87 abcde ± 0.19 | 3.75 cd ± 0.02 | 0.44 ef ± 0.02 | 5.27 fg ± 0.02 | <0.20 d ± 0.00 | 1.40 cde ± 0.04 | 13.66 bcdef ± 0.08 | 10.77 defg ± 0.04 | 22 |
| Hu + Sc1 + LAB2 sim MLF | 1.93 abcd ± 0.14 | 3.73 de ± 0.02 | 0.41 gh ± 0.01 | 5.29 efg ± 0.02 | <0.20 d ± 0.00 | 1.42 bcd ± 0.03 | 13.61 cdefg ± 0.01 | 10.82 defg ± 0.02 | 19 |
| Hu + Sc1 + LAB2 seq MLF | 1.74 bcdef ± 0.32 | 3.76 cd ± 0.03 | 0.43 fg ± 0.02 | 5.25 g ± 0.05 | <0.20 d ± 0.00 | 1.46 abc ± 0.02 | 13.66 bcdef ± 0.10 | 10.86 cdef ± 0.04 | 22 |
| Sc2 | 1.78 abcdef ± 0.23 | 3.58 g ± 0.03 | 0.35 I ± 0.01 | 6.04 b ± 0.21 | 2.11 b ± 0.43 | <0.20 j ± 0.00 | 13.65 bcdef ± 0.64 | 11.11 b ± 0.46 | No MLF |
| Sc2 + LAB1 sim MLF | 2.03 a ± 0.20 | 3.68 f ± 0.02 | 0.51 b ± 0.03 | 5.36 defg ± 0.04 | <0.20 d ± 0.00 | 1.24 h ± 0.01 | 13.87 abc ± 0.08 | 11.70 a ± 0.09 | 10 |
| Sc2 + LAB1 seq MLF | 1.98 ab ± 0.10 | 3.74 cde ± 0.01 | 0.51 b ± 0.02 | 5.26 fg ± 0.04 | <0.20 d ± 0.00 | 1.22 h ± 0.08 | 13.99 a ± 0.11 | 11.74 a ± 0.05 | 22 |
| Sc2 + LAB2 sim MLF | 1.99 ab ± 0.24 | 3.68 f ± 0.02 | 0.48 cd ± 0.02 | 5.35 defg ± 0.02 | <0.20 d ± 0.00 | 1.19 h ± 0.02 | 13.95 a ± 0.12 | 11.60 a ± 0.17 | 20 |
| Sc2 + LAB2 seq MLF | 1.95 abcd ± 0.08 | 3.68 f ± 0.02 | 0.50 bc ± 0.03 | 5.34 defg ± 0.02 | <0.20 d ± 0.00 | 1.2 h ± 0.00 | 13.82 abcd ± 0.23 | 11.73 a ± 0.12 | 22 |
| Hu+Sc2 no MLF | 1.91 abcd ± 0.25 | 3.58 g ± 0.01 | 0.43 efg ± 0.01 | 6.08 ab ± 0.05 | 1.69 c ± 0.00 | 0.26 I ± 0.02 | 13.60 cdefg ± 0.06 | 10.60 g ± 0.05 | No MLF |
| Hu+Sc2 + LAB1 sim MLF | 1.94 abcd ± 0.09 | 3.71 ef ± 0.04 | 0.57 a ± 0.03 | 5.37 def ± 0.12 | <0.20 d ± 0.00 | 1.49 a ± 0.07 | 13.35 g ± 0.11 | 11.16 b ± 0.07 | 10 |
| Hu+Sc2 + LAB1 seq MLF | 1.88 abcde ± 0.07 | 3.71 ef ± 0.03 | 0.58 a ± 0.01 | 5.26 fg ± 0.06 | <0.20 d± 0.00 | 1.37 def ± 0.04 | 13.47 fg ± 0.05 | 10.97 bcde ± 0.12 | 18 |
| Hu+Sc2 + LAB2 sim MLF | 1.82 abcdef ± 0.16 | 3.76 ad ± 0.03 | 0.57 a ± 0.01 | 5.26 fg ± 0.06 | <0.20 d ± 0.00 | 1.47 ab ± 0.06 | 13.55 defg ± 0.12 | 11.19 b ± 0.02 | 15 |
| Hu+Sc2 + LAB2 seq MLF | 1.93 abcd ± 0.20 | 3.71 ef ± 0.02 | 0.53 b ± 0.05 | 5.27 fg ± 0.09 | <0.20 d ± 0.00 | 1.30 g ± 0.03 | 13.56 defg ± 0.04 | 10.99 bcde ± 0.33 | 18 |
| Descriptor | Treatment | ||
|---|---|---|---|
| Yeast | LAB Strain × MLF Strategy | Yeast × LAB Strain × MLF Strategy | |
| Berry | 0.3042 | 0.0004 | 0.8400 |
| Fruity | 0.7647 | 0.0191 | 0.9095 |
| Sweet associated | 0.4417 | 0.0023 | 0.5761 |
| Fresh vegetative | 0.0001 | 0.1245 | 0.0418 |
| Cooked vegetative | 0.5094 | 0.2079 | 0.0420 |
| Spicy | 0.0165 | 0.0009 | 0.0548 |
| Floral | 0.0602 | 0.5104 | 0.0159 |
| Acid balance | 0.0905 | 0.0001 | 0.3488 |
| Body | 0.0001 | 0.0020 | 0.1454 |
| Astringency | 0.0010 | 0.0876 | 0.1182 |
| Bitterness | 0.7069 | 0.2683 | 0.0800 |
© 2019 by the authors. Licensee MDPI, Basel, Switzerland. This article is an open access article distributed under the terms and conditions of the Creative Commons Attribution (CC BY) license (http://creativecommons.org/licenses/by/4.0/).
Share and Cite
Du Plessis, H.; Du Toit, M.; Nieuwoudt, H.; Van der Rijst, M.; Hoff, J.; Jolly, N. Modulation of Wine Flavor using Hanseniaspora uvarum in Combination with Different Saccharomyces cerevisiae, Lactic Acid Bacteria Strains and Malolactic Fermentation Strategies. Fermentation 2019, 5, 64. https://doi.org/10.3390/fermentation5030064
Du Plessis H, Du Toit M, Nieuwoudt H, Van der Rijst M, Hoff J, Jolly N. Modulation of Wine Flavor using Hanseniaspora uvarum in Combination with Different Saccharomyces cerevisiae, Lactic Acid Bacteria Strains and Malolactic Fermentation Strategies. Fermentation. 2019; 5(3):64. https://doi.org/10.3390/fermentation5030064
Chicago/Turabian StyleDu Plessis, Heinrich, Maret Du Toit, Hélène Nieuwoudt, Marieta Van der Rijst, Justin Hoff, and Neil Jolly. 2019. "Modulation of Wine Flavor using Hanseniaspora uvarum in Combination with Different Saccharomyces cerevisiae, Lactic Acid Bacteria Strains and Malolactic Fermentation Strategies" Fermentation 5, no. 3: 64. https://doi.org/10.3390/fermentation5030064
APA StyleDu Plessis, H., Du Toit, M., Nieuwoudt, H., Van der Rijst, M., Hoff, J., & Jolly, N. (2019). Modulation of Wine Flavor using Hanseniaspora uvarum in Combination with Different Saccharomyces cerevisiae, Lactic Acid Bacteria Strains and Malolactic Fermentation Strategies. Fermentation, 5(3), 64. https://doi.org/10.3390/fermentation5030064

