Next Article in Journal
Combination of Feed Additives in the Diet of Jersey Cows and Their Impacts on Production, Milk Quality and Rumen Environment
Next Article in Special Issue
Fermentation-Driven Biosynthesis of Natural Carotenoids in Rhodotorula glutinis P4M422: Evaluation of Culture Conditions
Previous Article in Journal
Effects of Plant Essential Oils and Their Combinations on In Vitro Ruminal Fermentation Characteristics
Previous Article in Special Issue
Enhancing the Nutritional Value of Foods Through Probiotics and Dietary Fiber from Fruit and Berry Pomace
 
 
Font Type:
Arial Georgia Verdana
Font Size:
Aa Aa Aa
Line Spacing:
Column Width:
Background:
Article

Fermentation-Driven Melon Waste Valorization to Diminish Enzymatic Browning in Spineless Cladodes by Kojic Acid Application

by
Erendida del Carmen López-Roblero
1,
Armando Robledo-Olivo
2,*,
Susana González-Morales
3,
Ana Verónica Charles-Rodríguez
2,
Héctor A. Ruiz
4 and
Alberto Sandoval-Rangel
5
1
Postgraduate Program in Horticulture, Universidad Autónoma Agraria Antonio Narro, Saltillo 25315, Coahuila, Mexico
2
Fermentations and Biomolecules Laboratory, Food Science and Technology Department, Universidad Autónoma Agraria Antonio Narro, Saltillo 25315, Coahuila, Mexico
3
Secretaría de Ciencia, Humanidades, Tecnología e Innovación (SECIHTI), Universidad Autónoma Agraria Antonio Narro, Saltillo 25315, Coahuila, Mexico
4
Biorefinery Group, Food Research Department, School of Chemistry, Universidad Autónoma de Coahuila, Saltillo 25280, Coahuila, Mexico
5
Department of Horticulture, Universidad Autónoma Agraria Antonio Narro, Saltillo 25315, Coahuila, Mexico
*
Author to whom correspondence should be addressed.
Fermentation 2026, 12(2), 117; https://doi.org/10.3390/fermentation12020117
Submission received: 17 January 2026 / Revised: 4 February 2026 / Accepted: 12 February 2026 / Published: 19 February 2026

Abstract

The valorization of agro-industrial residues through fermentation processes represents a sustainable approach to producing high-value bioproducts, such as microbial organic acids and fermentation-derived anti-browning agents, including kojic acid and kojic acid-rich fermented extracts. In this study, melon waste (non-commercial-quality or damaged fruit) was evaluated as an alternative carbon source (whole fruit) for kojic acid (KA) production by Aspergillus oryzae (ATCC 10124) under submerged fermentation. The effects of process variables such as pH, temperature, and nitrogen and carbon availability on KA synthesis were analyzed, and biomass growth and product formation were described using logistic and Luedeking–Piret kinetic models. Under optimal conditions (pH 5.5, 36 °C, 2.5 g/L melon dry matter, 2.5 g/L yeast extract, 100 rpm), KA production reached 1.64 g/L at a final time of 120 h. Kinetic analysis showed moderate fungal growth (μmax = 0.058 h−1; Xmax = 0.81 g/L), with KA formation following a mixed growth-associated pattern as described by the Luedeking–Piret model (α = 1.26 g KA/g X; β = 0.024 h−1), indicating sustained production during the stationary phase. The KA-rich fermented extract was subsequently applied as an anti-browning treatment on spineless prickly pear (Opuntia ficus-indica) cladodes. Short immersion times (0.5–1.0 min) in a 2 g/L KA solution significantly preserved luminosity (L*) and limited total color change (ΔE ≤ 5) during 4 days of storage at 28 °C, compared with water-treated controls, which exhibited accelerated darkening (ΔE ≈ 9–15). Prolonged immersion times induced tissue damage and color deterioration, indicating an optimal exposure window. These results demonstrate the feasibility of valorizing melon waste to obtain a KA-rich extract and support its potential application as a natural anti-browning agent in fresh-cut vegetables within a circular agrifood framework.

1. Introduction

In recent years, the consumption of prickly pear cladodes has increased worldwide, due to their antioxidant properties, protein, high dietary fiber content, and several nutritional qualities. In Mexico, prickly pear cladode production reached 844 thousand metric tons in 2024, generating earnings of around 167.4 million USD [1]. However, to commercialize this product fresh, the spines must be removed using a peeler or a knife. Cuts made during despining can lead to dark spots and loss of the bright-green color characteristic of the cladodes. Dark spots or enzymatic darkening occur on the surface of cuts and wounds and are mainly caused by the enzyme polyphenol oxidase (PPO) [2]. This enzyme, in the presence of oxygen, acts on phenolic substrates forming quinones, affecting the visual quality of the product, the consumer preference, and the economy of producers. Therefore, it is not possible to keep the spineless cladodes outdoors for a long time, because the shelf life for sale is reduced, the organoleptic properties are reduced, and therefore, the quality of the final product is reduced [3].
Uchino et al. [4] mentioned that kojic acid, due to its anti-stain effect, can be used to prevent the formation of browning during storage and processing of raw noodles. Kojic acid (KA) is a secondary metabolite produced by Aspergillus spp., through glucose metabolism in a fermentative process [5,6]. However, the use of pure glucose as the only carbon source during fermentation process increases the production costs of microbial metabolites. Therefore, to ensure bioprocess profitability, sustainable low-cost carbon sources are required. These low-cost carbon sources can be found in agro-industrial waste, such as melon. The chemical characterization of melon waste presents carbohydrate values between 8 and 13%, being ~97% of these carbohydrates’ soluble sugars, of which ~50% is sucrose [7], while glucose and fructose comprise the remaining fraction of soluble sugars [8]. The above makes melon waste an excellent source of glucose for the production of other value-added compounds through the fermentation process. Previous studies have reported KA production using refined sugars (glucose), often supplemented with complex nitrogen sources such as yeast extract and minerals to improve fermentative performance and reproducibility [9,10]. Similarly, agro-industrial by-products are increasingly investigated as cost-effective alternatives but often require preprocessing and/or supplementation to achieve consistent fermentability [11]. In contrast, melon waste is naturally rich in readily assimilable soluble sugars, enabling its direct use after simple drying and milling, without chemical or enzymatic pretreatment.
Previous postharvest work by Shah et al. [12] mentioned that the application of KA before storage delays the browning of the pericarp and maintains the antioxidant activities of the litchi fruit. Combined treatment of broccoli florets with KA and calcium chloride maintains postharvest quality and inhibits the production of bad odors [13]. KA has been used to induce resistance against Colletotrichum brevisporum and improve the antioxidant properties of papaya in postharvest [14]. Regarding the nopal product, conservation techniques have been applied to cladodes with spines in postharvest, finding that packing nopals with spines in polyethylene bags and storing them at 5 °C prolonged their shelf life for up to 9 days [15]. Another study on the conservation of the spineless ‘Milpa Alta’ prickly pear cactus (Opuntia ficus-indica Mill.) in modified-atmosphere containers showed quality conservation for up to 20 days [16]. However, studies on the conservation of spineless fresh cladodes are limited. A possible alternative to reduce the darkening of the spineless prickly pear cladodes would be the application of KA, as this compound acts by inhibiting the PPO enzyme, preventing undesirable browning or melanosis [17]. Therefore, the novelty of this study lies in demonstrating the feasibility of producing KA by submerged fermentation using whole melon waste as a low-input carbon source, and in further validating the functional applicability of the KA-rich fermented extract as an anti-browning treatment for fresh-cut produce within a circular agrifood framework.

2. Materials and Methods

The experimental phase was divided into two stages (Figure 1), where in the first stage the production of KA was conducted through submerged fermentation (SmF), using melon waste as a carbon source. In the second stage, the fermentation extract obtained was applied to peeled prickly pear cladodes, which were mainly evaluated for the color related to browning and shelf life.

2.1. Location

The present study was conducted in the Laboratory of Fermentations and Biomolecules, of the Department of Food Science and Technology, within the Antonio Narro Autonomous Agrarian University, in the city of Saltillo, Coahuila, México.

2.2. Procurement of Raw Materials for Fermentation

Cantaloupe melons (Cucumis melo var. reticulatus) that do not meet quality criteria or are damaged or rotten and are considered waste were used, collected from local self-service stores. Once the material was obtained, it was washed and cut into small pieces, using the whole fruit, including the peel. The cut material was oven-dried (Biobase Biodustry, model BOV-T70C, Monterrey, Mexico) at a temperature of 80 °C for 72 h. The samples were removed and ground in a commercial blender. The powder obtained was sieved to a 0.5 mm diameter and considered as raw material for the fermentation process. Melon waste was obtained from a single commercial batch and processed in one preparation step (cutting, drying, milling, and sieving) to obtain a homogeneous particle size fraction. The dried substrate was stored under controlled conditions, and subsamples were periodically collected from the same batch for proximate characterization. All fermentation experiments were conducted using this single standardized batch to avoid batch-to-batch compositional variability.

2.3. Microorganism

The Aspergillus oryzae strain (ATCC 10124) from the collection of the Fermentations and Biomolecules Lab was used. The strain was preserved at −20 °C in a medium containing skimmed-milk powder (5% w/v) and glycerol (10% w/v). The reactivation of the fungus was conducted in Petri dishes containing potato dextrose agar (PDA, Bioxon Monterrey México), which were incubated for 7 days at 30 °C upside down to avoid condensation. For the inoculum preparation, the spores were collected using a sterile 0.1% Tween-80 solution (Hycel, Monterrey, Mexico). The spore count was determined using a Neubauer chamber (MARIENFELD, Monterrey, Mexico).

2.4. Submerged Fermentation

For the fermentation process, a 25 fractional factorial design was carried out, where pH, temperature, amount of melon, amount of yeast extract, and agitation (rpm) at two levels were evaluated (Table 1). A liquid fermentation process was conducted, using the A. oryzae strain. The liquid medium consisted of yeast extract as a nitrogen source and melon as a carbon source, supplemented with 1 g/L of KH2PO4 and 0.5 g/L of MgSO4, for all treatments.
Submerged fermentation (SmF) was conducted in 250 mL Erlenmeyer flasks, with 50 mL working volume, and 5% (v/v) A. oryzae spore suspension was added (1 × 106 spores/mL). Each treatment had 3 flasks (reactors), which were incubated according to their corresponding temperature and agitation (INNOVA 44 Orbital Incubator, Monterrey, Mexico). The evaluation period consisted of 120 h, sampling every 24 h for analytical determinations. Each flask was considered an experimental unit, and 24 h intervals were considered as the experimental period, which were conducted in triplicate for a total of 144 reactors evaluated.

2.5. Analytical Determinations in Fermentation

For the biomass quantification, the entire culture broth was collected at each sampling time and filtered (Whatman N°42, Monterrey, Mexico) using a Kitasato flask and a vacuum pump. The mycelium obtained was oven-dried (Biobase Biodustry, model BOV-T70C, Monterrey, Mexico) at a temperature of 80 °C for 24 h, to determine the biomass by dry-weight difference. The filtrate obtained was centrifuged (Hermle laborTechnik, model Z 32 HK, Monterrey, Mexico) at 4000 rpm for 15 min at 4 °C. The supernatant was filtered through a 0.45 µm membrane (Luzuren, Monterrey, Mexico) and stored at −20 °C for further analyses. All samples were analyzed in triplicate and the averages obtained from each treatment were determined.
Total sugars were determined by the DuBois et al. [18] method, placing 400 μL of the sample in test tubes. Afterward, 400 μL of 5% phenol in water was added, stirred, and left in an ice water bath for 5 min. Later 1 mL of concentrated sulfuric acid H2SO4 was added, and it was allowed to stand in a cold bath for 15 min. The mix was stirred slightly and heated in boiling water for 5 min, then allowed to cool at room temperature for 5 min. The spectrophotometer (Thermo Fisher Scientific, model G10S, Monterrey, Mexico) was set up with the blank-substrate, and it was read at an absorbance of 480 nm. The calibration curve was conducted with glucose at 100 ppm.
The quantification of KA was performed using the spectrophotometric technique described by Bentley [19] with slight modifications. The method consisted of adding 1 mL of the previously filtered sample (fermentation extract), and 2 mL of 1% (w/v) ferric chloride (FeCl3·6H2O) in a solution of hydrochloric acid HCl (0.1 N), diluting the mixture with 5 mL of distilled water. Sample readings were performed at 505 nm in spectrophotometer (Thermo Fisher Scientific, model G10S). The calibration curve was prepared using standard KA (Sigma-Aldrich, Monterrey, Mexico) at 1 g/L diluted 1:10 in water. The analyzed data were expressed in grams of KA per liter of fermentation (g KA/L).

2.6. Parameters Associated with the Fermentation Process

In order to evaluate the use of melon waste as a carbon source in a SmF process, the kinetic data of the best treatment for the production of the secondary metabolite was analyzed using the Simplex LP method in Solver-Excel. To obtain the theoretical values of the kinetics, the logistic growth model (Equation (1)) and the product equation (Equation (2)) were used [6]. Microbial growth was evaluated in terms of the number of cells (X) with respect to time (t), considering the maximum possible biomass (Xmax) and the maximum growth rate (µmax):
X ( t ) = X max X 0 ( X max X 0 ) e μ max t + X 0
The kinetics of the product (P) in terms of biomass (α and β) were determined following the Luedeking and Piret equation:
d P d t =   α · d X d t + β · X

2.7. Evaluation of Anti-Browning Agent

In this study, the term “anti-browning agent” refers to the cell-free fermented supernatant obtained after SmF, which contains KA and other soluble fermentation-derived compounds and was used as the active material for the anti-browning treatment. The application of the KA obtained in stage one was evaluated on the Atlixco variety prickly pear cactus, obtained from local retailers. Seven different concentrations were tested to evaluate the effect on the cladode and the shelf life performance. Cladodes were peeled manually with an appropriately sharp knife, and 7 samples of spineless cactus were taken for the shelf life analysis. For the treatments and assays, immersions were performed using water immersion (0 min) as a control, and a KA solution at a concentration of 2 g/L, with immersion times of 0, 0.5, 1.0, 2.0, 4.0, and 8.0 min (named t1, t2, t3, t4, t5, and t6, respectively). The samples were subsequently stored at 28 °C and evaluated after 48, 96, and 144 h of shelf life.

2.8. Analytical Determinations in Cladodes (Opuntia spp.)

To determine the color, the chroma meter CR-400 (portable version Konica Minolta, Monterrey, Mexico) colorimeter was used, measuring all treated cladodes. The colorimetry of the L*, a* and b* system was used, where L* means the luminosity, a* the color coordinate between green and red, and b* the color coordinate between yellow and blue [20]. For the h* (Hue) parameter, the obtained values from the following formulas were taken [21]: h* = arctan(b*/a*) and is expressed as degrees on a scale from 0 to 360°. The total color difference (ΔE) was calculated from the L*, a*, and b* coordinates and used as an objective quantitative measure of color variations between untreated spineless cladodes and the spineless cladodes with KA treatments, allowing the comparison of color changes over time or between treatments. The calculation of ΔE was made with the Euclidean distance between the L*, a*, and b* coordinates of two samples with the following equation:
E = L * 2 + a * 2 + b * 2

2.9. Statistical Analysis

The data reported are the mean ± their standard deviation (n = 3). The data were processed in the Minitab 19 statistical software. Tests of assumptions for normality, homoscedasticity, and independence of errors were performed using the Anderson–Darling, Levene, and Durbin–Watson tests, respectively, at p > 0.05. One-way analysis of variance (One-way ANOVA) for each response variable (pH, temperature, melon concentration, nitrogen concentration, and agitation rate), followed by Tukey’s post hoc test (p ≤ 0.05) were performed on the data. For the kinetic models, all experimental data were fitted to the corresponding models using the Excel Solver tool with the Simplex LP method by minimizing the sum of squared errors between experimental and predicted values. Model performance and goodness of fit were evaluated using the mean squared error (MSE) and the coefficient of determination (R2).

3. Results

3.1. Fermentation Process for Kojic Acid Production Using Melon Waste

The adaptability of A. oryzae for the production of secondary metabolites is related to its growth. In the production of KA, eight runs were evaluated and are shown in Figure 2. KA was detected in all treatments; however, treatments 2 and 3 presented the highest KA values. In the ANOVA conducted for the treatments, the analysis showed that pH, temperature and nitrogen content affect the production of KA (Table 2). Based on the statistical analysis, treatment 3 was selected because it required a lower substrate load and lower agitation rate for further analysis of production. Treatment 3, with a pH of 5.5, carbon source 2.5 g/L, nitrogen source 2.5 g/L, and temperature 36 °C, obtained a value of 1.64 g/L of KA; meanwhile, treatment 8 was the one with the lowest yield, with 0.13 g/L KA. The values of treatment 3 were related to the conditions of the medium and the nitrogen source. The induction of KA production in liquid medium by A. oryzae (Figure 3) was affected by the interaction that occurred between the temperature–nitrogen factor and melon–rpm.
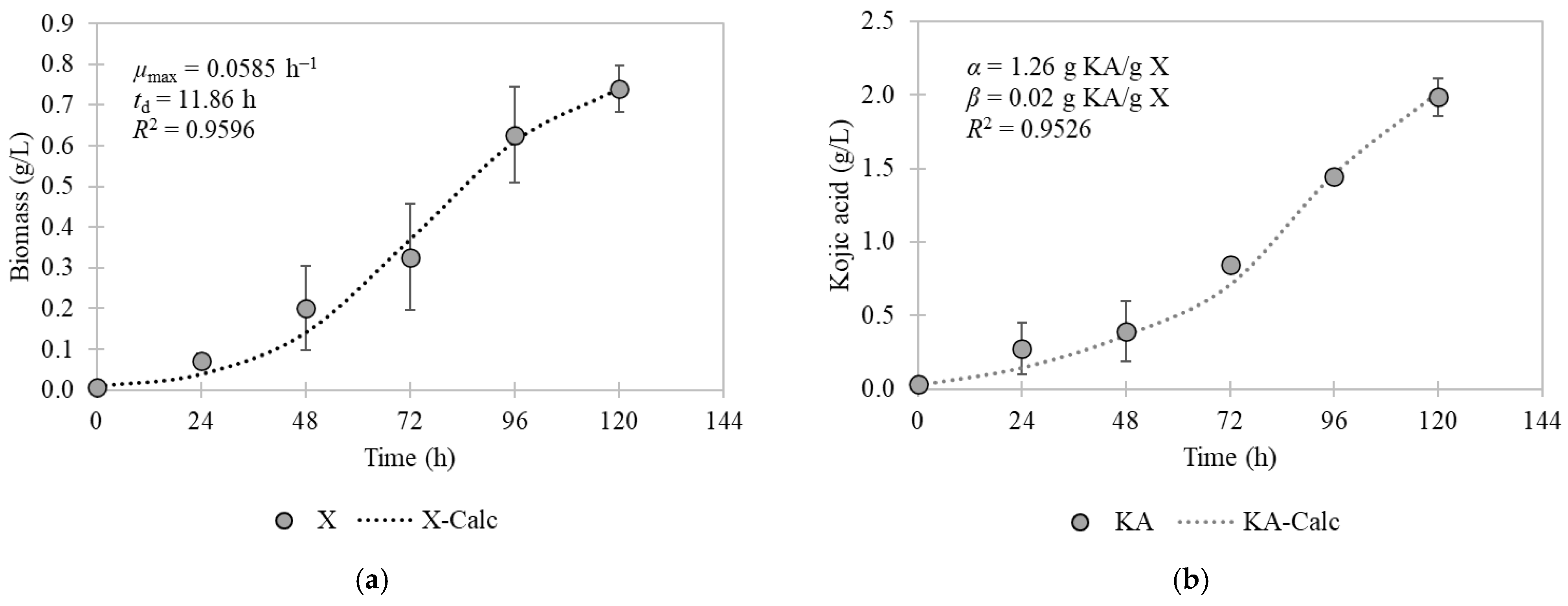
The results of this study showed that in terms of overall KA production by SmF, the best conditions are as follows: pH 5.5, temperature 36 °C, 2.5 g melon dry matter, 2.5 g of yeast, at 100 revolutions per minute in an orbital shaker. To validate the aforementioned conditions in the production of KA, fermentation kinetics were evaluated by monitoring the formation of biomass, total sugars, and the production of KA. The growth process of the microorganism reached a maximum at 120 h of fermentation (Figure 4a), which corresponds to the maximum fermentation time evaluated in this study, indicating the onset of the stationary phase. The maximum biomass (Xmax) reported represents the highest value attained during the evaluated timeframe. The exponential growth phase occurs between 48 and 96 h into the process, with a maximum growth rate of 0.0585 h−1 and a doubling time of 11.86 h, according to data obtained from the logistic equation (Equation (1)), with an adjustment of R2 = 0.9596.
For product formation, KA synthesis began after 24 h, reaching the maximum at 120 h (Figure 4b). Regarding KA synthesis, the parameters of the Luedeking–Piret model reveal a mixed production pattern. The α coefficient (1.26 g KA/g X) suggests a strong contribution of growth to metabolite formation, while the β coefficient (0.024 h−1) indicates that production continues during the stationary phase. During the bioprocess kinetics (Figure 5), the behavior of total sugar consumption began to decrease from the beginning of fermentation, following a decreasing trend. The microorganism begins to metabolize the carbon source from the first 24 h of the bioprocess, and when the glucose source in the medium is exhausted, growth reaches the stationary phase at 96 h.

3.2. Evaluation of Fermented Broth as Anti-Browning Agent

To evaluate the effect of KA application on cactus cladodes, the color and visual parameters were determined. The color was based on the parameters L* (luminosity), Hue (green tone change) and ΔE (global color change), obtained in nopal cladodes subjected to different immersion times in a 2 g/L kojic acid (KA) solution (Figure 6). Initial values showed the natural variability among cladodes before storage (Figure 6a). For L*, treatments t1–t3 exhibit higher luminosity than the control (54.38 ± 2.95), while t4 shows the lowest value (51.57 ± 1.90). The initial Hue (Figure 6b) remains within the green range (57–68°), and there are no significant differences between treatments (p > 0.05).
In the evaluation of day 2 of storage, the control showed a slight decrease in the luminosity (53.39 ± 2.43), corresponding to initial darkening (increase in ΔE = 4). For t2 and t3, the highest luminosity values (56.10 ± 1.29 and 55.31 ± 1.39, respectively) were observed, while t6 had the lowest lightness (50.96 ± 1.77). For the Hue values, they remained statistically the same across treatments (p > 0.05), indicating that the green Hue does not change significantly at this storage time evaluated. Regarding the global color change (ΔE) (Figure 6c), t1 showed the greatest perceptible change (ΔE = 11), followed by t3, t5, and t6 (ΔE = 3–4). Time t2 showed the lowest ΔEE = 3), similar to the control, suggesting greater color stability.
On day 4, the L* parameter for the control continued decreasing (51.05 ± 3.31), while t3 maintained the highest lightness (58.31 ± 2.84), followed by t2 (55.74 ± 2.19), indicating notable protection against darkening. Hue showed no significant differences between treatments (p > 0.05). In ΔE, control reached a highly perceptible change (ΔE = 9), while the KA treatments (t2–t6) showed lower values with no statistical difference against control (p > 0.05). Furthermore, t1 reached ΔE = 15, the highest value for day 4, with a statistical difference (p < 0.05) compared with the control and the rest of the treatments (t2–t6), indicating that the water treatment (t1) produced the greatest color deterioration.
Figure 6d reveals clear differences in the degree of surface deterioration, darkening, and preservation of the green color among the treatments, which is consistent with the results discussed previously. The control (C) showed more evident darkening and a greater presence of irregular necrotic areas, particularly at the edges, which is consistent with the progressive loss of luminosity (L*) and the increase in ΔE observed during storage. Treatment t1 (distilled water, 0.5 min) showed a marked deterioration compared with the control, with extensive dark spots and a notable loss of color uniformity. In contrast, treatments t2 and t3 (KA 0.5 and 1 min) showed a better preservation of the green color, with less extensive and less intense dark spots. Treatments t4 and t5 (KA 2 and 4 min) also showed intermediate preservation of color, although localized areas of deterioration began to appear. Nevertheless, the visual damage was less severe than that of the control and t1, indicating that KA continues to exert a protective effect. Otherwise, treatment t6 (8 min) showed more evident visual impairment, with extensive areas of darkening and an appearance of tissue damage. In this study, freshness evaluation was focused on instrumental color parameters, as enzymatic browning represents the primary and earliest quality-limiting factor in spineless prickly pear cladodes during short-term storage. Although microbiological analyses are relevant for extended storage or commercial validation, their inclusion was beyond the scope of the present work, which was designed as a proof-of-concept study to assess browning control. Future studies should integrate microbiological and physicochemical indicators to provide a more comprehensive assessment of product freshness.

4. Discussion

The present study demonstrates that melon waste constitutes an effective and sustainable carbon source for KA production by A. oryzae under SmF, while simultaneously enabling the generation of a fermented extract with functional anti-browning properties for fresh-cut vegetables. The results highlight the strong dependence of KA biosynthesis on the balance between physicochemical conditions and nutrient availability, as well as the relevance of controlled application strategies during postharvest use.
The results showed a consistent relationship between KA production and the theoretical carbon-to-nitrogen (C/N) ratio of the fermentation media. Treatments 2 and 3, with a moderate C/N ratio, exhibited the highest KA concentrations (1.38 ± 0.00 and 1.64 ± 0.00 g/L, respectively). This behavior indicates that a balanced availability of carbon and nitrogen allows for the formation of functional biomass and the expression of key genes associated with the oxidative metabolism responsible for KA synthesis [22]. In contrast, treatments without a nitrogen source showed a marked decrease in KA production, even when other variables such as pH and temperature were favorable, showing that severe nitrogen limitation restricts the microorganism’s biosynthetic capacity. This indicates that nitrogen is necessary to maintain enzymatic activity and metabolic competence rather than acting solely as a growth promoter. Thus, high C/N ratios, resulting from excess carbon availability under nitrogen-limiting (but not nitrogen-free) conditions, favor the redirection of metabolic flux toward KA synthesis rather than biomass formation. This nutritional scenario generates elevated C/N ratios that reduce excessive biomass formation and redirect metabolic flux toward secondary metabolite biosynthesis. Similar behavior has been widely reported for filamentous fungi producing KA, where moderate nitrogen limitation promotes oxidative metabolism and activates biosynthetic pathways associated with KA formation rather than cellular growth [23,24,25,26]. In contrast, the complete absence of nitrogen restricts enzymatic activity and metabolic competence, resulting in diminished KA production despite excess carbon availability. Recent studies have further demonstrated that nutritional regulation influences the expression of genes involved in KA biosynthesis in A. oryzae, supporting the concept that metabolic flux control through nutrient availability is a key determinant of KA synthesis [22].
From an industrial perspective, the maximum KA concentration obtained in the present study (1.64 g/L at 120 h; 0.0137 g/L·h) is moderate when compared with fermentations performed on refined substrates under highly optimized conditions. In fact, glucose- or sucrose-based media operated with process intensification commonly report markedly higher titers and productivities, reaching 25–62 g/L (Table 3).
Conversely, residue-based substrates such as molasses have also supported high KA titers (53.5 g/L after 8 days) under controlled fermentation, supporting the feasibility of replacing refined sugars with complex industrial by-products. Our results should be interpreted primarily as proof of concept for producing KA directly from whole melon waste without pretreatment, reducing cost and environmental burden. Thus, the proposed approach provides a circular economy alternative and establishes a baseline for future intensification to increase yield and productivity.
Furthermore, the concentration of KA showed a strong positive correlation with pH (r = 0.64) and a mild correlation with temperature (r = 0.56), indicating that slightly acidic conditions and elevated temperatures favor the oxidative metabolism associated with the synthesis of this metabolite. Similarly, the nitrogen source showed a moderate positive correlation with KA production (r = 0.47), suggesting that, although nitrogen should not be in excess, its availability is necessary to sustain enzymatic activity and fungal growth. In contrast, increasing melon concentrations did not improve KA yields (r = −0.19), perhaps due to potential substrate inhibition effects or limitations in oxygen transfer caused by higher solids content. These findings reinforce that KA production depends not on substrate excess but on optimized metabolic balance. Finally, the stirring speed did not show a significant correlation with KA concentration (r = −0.02), so its effect depends on the interactions with other factors rather than a direct linear impact. Taken together, these correlations reinforce that the optimal conditions for KA production emerge from a balance between pH, temperature, and nitrogen availability, while excessive substrate concentrations can limit the process yield. Overall, the results support the concept that KA biosynthesis in A. oryzae is maximized under conditions that favor moderate growth rather than rapid biomass accumulation, a characteristic commonly observed in secondary metabolite-producing systems
Previous studies by Sanjotha et al. [30] mentioned that the secondary metabolites and enzymes produced by various species of fungi are subject to the cultivation conditions, the temperature and pH of the medium, the composition of the substrate, the types of inducers, and the inoculum used during the experiments. Another study carried out by Kwak Rhee [23] refers to the pH and temperature values, where the optimal temperature range for kojic fermentation is between 29 °C and 35 °C, and values used for A. oryzae species range around 30 °C to maximize KA production, and for optimal growth pH is close to 5.0. A study conducted by Promsang et al. [26] showed that the optimal pH for KA production by a strain of A. oryzae ranged between 3.0 and 5.0. Other studies by Rosfarizan Ariff [24] mentioned that the type of nitrogen source influences both the growth of the fungus and the production of KA, where organic nitrogen sources were preferable to inorganic nitrogen sources, as demonstrated in their work, in which 5 g/L of yeast extract resulted in the maximum concentration of KA (39.9 g/L). The work realized by El-Aasar [25] mentioned that the nitrogen source is one of the most effective factors for the production of KA; in their research, yeast extract and peptone nitrogen sources promoted KA production, compared to ammonium sulfate and ammonium nitrate; the use of 1% yeast extract resulted in the highest production of KA (28.41 g/L). Work carried out by El-Aasar [25] found that the differences in the production of KA and the mycelial layer can be attributed to the culture conditions or to differences between species, where the optimization of different conditions of the fermentation medium generates changes in the yield of KA in cultures with static and rotary agitation. Although higher KA values have been reported using elevated yeast extract concentrations, the present study prioritized a sustainable and circular bioprocessing approach rather than maximal production yields. Yeast extract was therefore applied at low to moderate levels to reduce dependence on costly refined inputs and to maintain nitrogen-limiting conditions compatible with agro-industrial waste valorization. Excessive nitrogen supplementation can favor biomass accumulation over secondary metabolite synthesis.
The rapid growth presented in the first 24 h is due to the consumption of easily assimilated sugars; in this case, the substrate carbon source was the melon, which contains 97% soluble sugars, of which 50% is sucrose [7]. The concentration of soluble sugars available in the medium enables the microorganism to duplicate its cells more rapidly, as glucose serves as an immediate energy source for biomass formation. Consequently, biomass accumulation increases during the initial hours of fermentation, reaching its maximum level at 48 h. Sauer et al. [31], reported that low concentrations of glucose are preferentially utilized for biomass synthesis, supporting the behavior observed in our study. The consumption of total sugars in the first 48 h has a very accelerated behavior in terms of consumption by the fungus A. oryzae, since, for its biomass formation and growth, it requires glucose as the carbon source. The highest growth rate for biomass also occurs at 48 h, while the production of KA prior to 48 h is extremely low.
The parameters obtained from the logistic model indicate that A. oryzae exhibited moderate growth in a liquid medium containing dried melon as a carbon source, reflected in a low μmax (0.06 h−1) and a reduced Xmax (0.81 g/L). These values are consistent with the use of a complex and poorly soluble substrate, where the induction of extracellular enzymes and the limited immediate availability of sugars slow down the growth rate. The estimated doubling time (≈11.86 h) coincides with ranges reported for filamentous fungi in media derived from agro-industrial waste [32,33], confirming that the system favors a metabolism oriented towards the production of secondary metabolites rather than biomass accumulation. On the other hand, a study carried out by Promsang et al. [26] reported that secondary metabolites are formed in the late logarithmic and stationary phases, during which the fermentation has already been acidified by primary metabolites.
The exponential growth phase occurred between 48 and 96 h, coinciding with accelerated sugar consumption, while growth stabilized thereafter as the readily available carbon sources were depleted. KA synthesis followed a mixed growth-associated pattern, as described by the Luedeking–Piret model. The positive α coefficient indicates that metabolite formation is partially linked to biomass generation, whereas the β coefficient confirms continued KA production during the stationary phase. This behavior is characteristic of secondary metabolite systems where KA biosynthesis persists during the stationary phase as the culture experiences carbon-related stress and metabolic redistribution. From a process standpoint, the magnitude of β implies that extending fermentation slightly beyond the end of exponential growth can still contribute to KA accumulation. A system dominated by α would benefit primarily from strategies that increase growth rate and biomass formation to enhance production, whereas a system with a significant β component suggests that maintaining a high and metabolically active biomass during the stationary phase can substantially increase final titers. Therefore, process intensification strategies (e.g., improved oxygen transfer, controlled pH) should focus on sustaining cellular activity after growth deceleration. Moreover, because KA biosynthesis is sensitive to the physiological state of the fungus, moderate nitrogen limitation is expected to support both the establishment of biosynthetic capacity (α contribution) and the maintenance of production during the stationary phase (β contribution). The presence of glucose acts as a precursor for KA synthesis [28,31].
This behavior is characteristic of secondary metabolite biosynthesis in Aspergillus spp., where limited carbon availability and moderate growth favor the deflection of the metabolic flux toward oxidative compounds such as kojic acid [34]. Overall, the kinetic parameters indicate a microbial physiology that efficiently supports the production of the target metabolite from a low-cost and structurally complex substrate. The fungus, when under growing conditions, will first produce primary metabolites for its biomass, and under stress conditions it will produce secondary metabolites such as KA. The temporal pattern of KA production observed in this study can be further explained by the sequential utilization of soluble sugars present in melon waste. During the early stages of fermentation (0–48 h), readily assimilable sugars (free glucose) are preferentially consumed to support biomass formation. As fermentation progresses, sucrose is gradually hydrolyzed and utilized, sustaining carbon availability during the middle and late stages of the process. The depletion of easily assimilable sugars after approximately 48 h likely imposes a mild carbon-related metabolic stress on the microorganism, which is known to favor the redirection of metabolic flux toward secondary metabolite biosynthesis. Under these conditions, A. oryzae shifts from growth-oriented metabolism to oxidative pathways associated with kojic acid synthesis, resulting in a marked increase in KA production. This behavior is consistent with the observed kinetic profile, where KA accumulation continued during the late exponential and stationary phases, reaching its highest values between 72 and 120 h (0.84 g KA/L and 1.64 g KA/L, respectively). Nuñez et al. [35] found that KA production and fungal biomass of A. oryzae increased as the fermentation progressed, reaching a maximum biomass value on day 12 (288 h), coincidentally reducing glucose by up to 42% with the production of KA.
The storage temperature used for the anti-browning evaluation (28 °C) was intentionally selected as an accelerated condition to promote rapid enzymatic browning and enable clear discrimination among treatments within a short storage period. This temperature also reflects practical scenarios in which spineless prickly pear cladodes may be exposed to ambient or near-ambient conditions during handling and retail in regions where cold-chain control is limited. Because browning kinetics and overall deterioration rates increase with temperature, the effectiveness observed at 28 °C provides a conservative stress-based validation of the anti-browning treatment. Under more typical postharvest conditions, browning development is expected to be slower. Therefore, the relative benefit of KA treatment would likely be maintained and potentially extended over a longer storage interval. Future studies should confirm treatment performance under refrigerated conditions and evaluate quality attributes beyond color for commercial validation. The application of the KA-rich fermented extract effectively delayed enzymatic browning in spineless prickly pear cladodes, particularly when short immersion times were applied. These results demonstrate that immersion in 2 g/L KA solution exerts a protective effect on the color of spineless cladodes during storage, particularly in terms of luminosity (L*) and global color change (ΔE). The control group exhibited progressive darkening, shown by a decrease in L* and an increase in ΔE, a typical pattern of enzymatic browning in plant tissues rich in PPO. In contrast, the KA treatments t2 (0.5 min KA) and t3 (1 min KA) showed greater L* stability, maintaining significantly higher levels than the control group. This indicates that KA partially inhibited the enzymatic oxidation of phenols, delaying the loss of lightness [36]. The immersion time t3 was the most effective treatment, maintaining the highest lightness until the end of the study and exhibiting one of the lowest ΔE values, indicating better visual preservation of color. It should be noted that KA is a water-soluble compound, and its application through short immersion treatments suggests that residual surface levels can be readily reduced or removed by subsequent washing. This characteristic is particularly advantageous for fresh-cut products, as it enables the use of KA as a temporary surface treatment aimed at browning control, without permanent incorporation into the plant tissue or alteration of its intrinsic properties. The Hue parameter showed no significant differences between treatments or time points, indicating that the characteristic green tone of the spineless cladodes remains relatively stable during the first few days of storage, so KA primarily affects the intensity of discoloration rather than altering the intrinsic green tone of the cladodes. The lack of surface deterioration observed in KA-treated cladodes suggests that the underlying tissue integrity was maintained during the evaluated storage period. Previous postharvest studies mentioned by Singh et al. [37] have shown that delaying enzymatic browning often correlates with better retention of freshness attributes, including texture and overall visual quality, particularly during short storage intervals. The ΔE analysis confirms that immersion in KA reduces the perceptible color change: while the control reached ΔE = 9 on day 4, the KA treatments (t2–t4) maintained ΔE values between 4 and 5, indicating better color preservation. Notably, t1 (water only) showed the highest ΔE values, both days 2 and 4, indicating that immersion in water without an inhibitor accelerated deterioration, attributed to increased exposure of phenolic substrates to oxidative enzymes following cell disruption. Immersion in water can cause surface rehydration and loss of cellular compartmentalization, facilitating contact between PPO and phenolic compounds, which enhances enzymatic browning reactions and leads to faster color degradation compared to treatments containing specific inhibitors [38,39]. This observation coincides with the higher ΔE values recorded for t1 and with the lower visual stability of the tissue. The results obtained were similar to those carried out by Rodríguez-Félix et al. [40], who evaluated the quality of the fresh-cut vegetable cladode, which showed an L* value of 52.2 to 55.3, a Hue angle between 123° and 124°, and a chroma, or color saturation, of 22.1 to 24.2, which represents a pale green color. Based on the CIELab parameters, the observed variability in luminosity and Hue helped explain the visually perceived darkening during storage [41].
On the other hand, the darkening that appears in the exposed tissues where the spines were eliminated is observed more intensely in the control sample. This result is similar to the conservation period found by Guevara et al. [42], who reported that the darkening in the prickly areas of the nopal was more severe in the control sample, which was not in containers with a modified atmosphere. Quality is one of the attributes used by the consumer, especially in the agrifood industry, as a selection criterion, and therefore, an indicator of the overall quality of fresh-cut products.
Visually, the KA-treated cladodes maintain a more homogeneous and brighter tone, which agrees with the higher L* values and lower ΔE values observed instrumentally. This suggests that short immersions in KA are sufficient to partially inhibit the enzymatic oxidation of phenols, delaying surface darkening. Immersion treatments with KA can reduce browning by decreasing the activity of browning-associated enzymes (PPO/POD), even with short contact times, as demonstrated in cut vegetable tissues (1 min immersion) where KA inhibited browning and reduced PPO/POD activity during storage [43,44]. Furthermore, postharvest studies reported that immersion applications of KA reduce the incidence of browning in fruit, reinforcing its role as an anti-browning agent [36,45]. In prickly pear cactus, browning has been directly linked to PPO and phenolic content, and it has also been documented that the use of inhibitors in postharvest treatments modulates the magnitude of browning during storage, which supports the interpretation that short immersions in KA may be sufficient to delay surface browning by partially limiting the enzymatic oxidation of phenols [3,46].
Moreover, prolonged immersion times in KA solutions resulted in increased tissue damage, likely due to excessive exposure leading to physiological stress, pigment leaching, or surface disruption. These results indicate the existence of an optimal exposure window in which enzymatic inhibition is maximized without compromising tissue integrity. This suggests that excessive immersion times may induce tissue stress, alter cellular integrity, or promote physiological damage processes that counteract the inhibitory effect of kojic acid. This observation is consistent with the increase in ΔE and the loss of visual uniformity recorded for this treatment. This visual pattern is characteristic of uncontrolled enzymatic browning in plant tissues rich in polyphenol oxidase [37]. Furthermore, immersion/washing treatments can promote the leaching of pigments and antioxidants or modify the tissue surface, which affects appearance and can make deterioration more evident despite the presence of an inhibitor [47]. It has been reported in other fresh-cut vegetables that overly intense anti-browning treatments (concentration or exposure) can cause chemical injury and compromise tissue integrity, counteracting expected benefits [48]. For prickly pear cladodes, sensitivity to postharvest conditions is also documented, with visual manifestations of deterioration and discoloration; thus, excessive contact with water can exacerbate defects in damaged areas [49]. These results could support the interpretation of an “optimum” of exposure rather than a linear relationship with the immersion time. Toxicological evaluations indicate that KA exhibits low acute oral toxicity, and adverse effects have generally been associated with prolonged exposure to high doses in animal models [50,51], far exceeding levels expected from incidental dietary intake. In the present study, KA was applied as a surface treatment at a concentration of 2 g/L for short immersion times (0.5–1.0 min), resulting in minimal contact time and limited potential for absorption. Moreover, KA is a water-soluble compound, suggesting that residual surface levels can be further reduced through washing prior to consumption. The absence of visible tissue damage under short-exposure conditions supports the notion that controlled KA application does not induce harmful interactions with plant tissues, while excessive exposure may cause localized physiological stress. Although comprehensive dietary exposure and toxicological assessments were beyond the scope of this work, the use of low-contact, short-duration treatments aligns with existing evidence supporting its safe use at low levels in food-related applications.
From a practical perspective, the results obtained by this study demonstrate that short immersion treatments with a fermentation-derived KA solution are sufficient to achieve meaningful browning control. This finding is particularly relevant for fresh-cut products, where minimal processing and visual quality are critical determinants of consumer acceptance. Furthermore, the integration of agro-industrial waste valorization with postharvest quality preservation exemplifies a circular approach to agrifood systems. By converting melon waste into a functional bioproduct with demonstrated efficacy, this strategy simultaneously addresses waste reduction, cost efficiency, and food quality preservation

5. Conclusions

This study demonstrates the technical feasibility of using melon waste as a low-cost and sustainable carbon source for kojic acid (KA) production through submerged fermentation by Aspergillus oryzae. KA biosynthesis was strongly influenced by pH, temperature, and nitrogen availability, with moderate growth conditions and nitrogen-limiting media favoring secondary metabolite formation over biomass accumulation. Kinetic analysis confirmed a mixed growth-associated production pattern, with sustained KA synthesis during the stationary phase as carbon availability decreased. The KA-rich fermented extract showed clear functional potential as an anti-browning agent when applied to spineless prickly pear cladodes. Short immersion treatments (0.5–1.0 min) in a 2 g/L KA solution effectively delayed enzymatic browning and preserved visual quality during short-term storage, whereas prolonged exposure caused tissue damage, highlighting the importance of controlled application conditions.
The integration of agro-industrial waste valorization with postharvest quality preservation exemplifies a circular and sustainable agrifood strategy. The results support the use of fermentation-derived KA as a functional, low-input solution for browning control in fresh vegetables. Future studies addressing residue levels, long-term quality, and comprehensive safety assessments would further strengthen its practical applicability.

Author Contributions

E.d.C.L.-R.: Investigation; Methodology, Writing—original draft; A.R.-O.: Conceptualization; Data curation, Funding acquisition, Project administration, Writing—review and editing; S.G.-M.: Data curation, Supervision, Writing—review and editing; A.V.C.-R.: Resources, Supervision, Writing—review and editing; H.A.R.: Data curation, Resources; A.S.-R.: Conceptualization, Resources. All authors have read and agreed to the published version of the manuscript.

Funding

This research was funded by Universidad Autónoma Agraria Antonio Narro, grant number 30-38111-425204001-2274.

Institutional Review Board Statement

Not applicable.

Informed Consent Statement

Not applicable.

Data Availability Statement

Data are unavailable due to privacy statements from the funder institution.

Acknowledgments

Student Erendida del Carmen López Roblero acknowledges CONAHCYT for the grant during her master’s studies.

Conflicts of Interest

The authors declare no conflicts of interest. The funders had no role in the design of the study; in the collection, analysis, or interpretation of data; in the writing of the manuscript; or in the decision to publish the results.

Abbreviations

The following abbreviations are used in this manuscript:
KAKojic acid
L*Luminosity
ΔETotal color change
PPOPolyphenol oxidase
PODPeroxidase
SmFSubmerged fermentation
rpmRevolutions per minute
XBiomass
ttime
XmaxTheoretical maximum biomass
µmaxTheoretical maximum growth rate
PProduct
αGrowth-associated production
βNon-growth-associated production
h*Hue
a*Green–red axis
b*Blue–yellow axis
ΔL*Luminosity change
Δa*Green–red axis change
Δb*Blue–yellow axis change
tdMicroorganism cell duplication time
C/NCarbon-to-nitrogen ratio

References

  1. DGSIAP. Anuario Estadístico de la Producción Agrícola; Secretaria de Agricultura y Desarrollo Rural: Mexico City, Mexico, 2024.
  2. Denoya, G.I.; Ardanaz, M.; Sancho, A.M.; Benítez, C.E.; González, C.; Guidi, S. Efecto de la aplicación de tratamientos combinados de aditivos sobre la inhibición del pardeamiento enzimático en manzanas cv. Granny Smith mínimamente procesadas. Rev. Investig. Agropecu. 2012, 38, 263–267. [Google Scholar]
  3. Apodaca-Pérez, J.M.; Martínez-Miranda, M.d.l.L.; Robles-Burgueño, M.d.R.; Rodríguez Félix, A.; Apodaca-Pérez, J.M.; Martínez-Miranda, M.d.l.L.; Robles-Burgueño, M.d.R.; Rodríguez Félix, A. Polifenoloxidasa, fenoles totales y oscurecimiento de nopal verdura. Rev. Mex. Cienc. Agrícolas 2016, 7, 531–543. [Google Scholar]
  4. Uchino, K.; Nagawa, M.; Tonosaki, Y.; Oda, M.; Fukuchi, A. Kojic acid as an anti-speck agent. Agric. Biol. Chem. 1988, 52, 2609–2610. [Google Scholar] [CrossRef][Green Version]
  5. Chávez García, M.; González Morales, S.; Charles Rodríguez, A.V.; Robledo Olivo, A. Efecto de la agitación en la producción de ácido kójico mediante hongos filamentosos. J. CIM Coloq. Investig. Multidiscip. 2018, 6, 6. [Google Scholar]
  6. Soberón-Nakasima-Cerda, J.F.; Robledo-Olivo, A.; Charles-Rodríguez, A.V.; Ruiz, H.A.; González-Morales, S.; Benavides-Mendoza, A. Study and effect of agitation on kojic acid production by Aspergillus oryzae in liquid fermentation. Processes 2025, 13, 1341. [Google Scholar] [CrossRef]
  7. Bouzo, C.; Lavanderos Becerra, D.; Ceccoli, G.; Gariglio, N. Cociente fototermal en melón y su relación con la concentración de azúcares en los frutos. Sci. Agropecu. 2015, 6, 217–221. [Google Scholar] [CrossRef][Green Version]
  8. Tzuri, G.; Dafna, A.; Itzhaki, B.; Halperin, I.; Oren, E.; Isaacson, T.; Faigenboim, A.; Yeselson, Y.; Paris, H.S.; Mazourek, M.; et al. Meta genetic analysis of melon sweetness. Theor. Appl. Genet. 2025, 138, 68. [Google Scholar] [CrossRef]
  9. Felipe, M.T.d.C.; Barbosa, R.d.N.; Bezerra, J.D.P.; Souza-Motta, C.M.d. Production of kojic acid by Aspergillus species: Trends and applications. Fungal Biol. Rev. 2023, 45, 100313. [Google Scholar] [CrossRef]
  10. Chib, S.; Jamwal, V.L.; Kumar, V.; Gandhi, S.G.; Saran, S. Fungal production of kojic acid and its industrial applications. Appl. Microbiol. Biotechnol. 2023, 107, 2111–2130. [Google Scholar] [CrossRef]
  11. Adedayo, M.R.; Adesokan, T.E. Production of kojic acid by Aspergillus niger (PP330720) and Penicillium digitatum (PP892864) grown on guinea corn (Sorghum bicolor) sheaf. J. Appl. Biol. Sci. 2025, 19, 13–22. [Google Scholar]
  12. Shah, H.M.S.; Khan, A.S.; Ali, S. Pre-storage kojic acid application delays pericarp browning and maintains antioxidant activities of litchi fruit. Postharvest Biol. Technol. 2017, 132, 154–161. [Google Scholar] [CrossRef]
  13. Yan, Z.; Shi, J.; Gao, L.; Wang, Q.; Zuo, J. The combined treatment of broccoli florets with kojic acid and calcium chloride maintains post-harvest quality and inhibits off-odor production. Sci. Hortic. 2020, 262, 109019. [Google Scholar] [CrossRef]
  14. Wang, Y.-X.; Wang, S.-Y.; Beta, T.; Shahriar, M.; Laborda, P.; Herrera-Balandrano, D.D. Kojic acid induces resistance against Colletotrichum brevisporum and enhances antioxidant properties of postharvest papaya. Food Control 2023, 144, 109405. [Google Scholar] [CrossRef]
  15. Guevara, J.; Yahia, E. Pre-and postharvest technology of cactus stems, the nopal. In Crops: Growth, Quality and Biotechnology; Dris, R., Ed.; WFL Publisher Ltd.: Helsinki, Finland, 2005; pp. 592–617. [Google Scholar]
  16. Osorio-Córdoba, J.; Pelayo-Zaldívar, C.; Verde-Calvo, J.R.; Ponce-Valadez, M.; Díaz de León-Sánchez, F.; Bosquez-Molina, E.; Rodríguez Huezo, M.E. Conservación de nopal verdura ‘Milpa Alta’ (Opuntia ficus indica Mill.) desespinado en envases con atmósfera modificada. Rev. Mex. Ing. Química 2011, 10, 93–104. [Google Scholar]
  17. Chen, J.S.; Wei, C.I.; Rolle, R.S.; Otwell, W.S.; Balaban, M.O.; Marshall, M.R. Inhibitory effect of kojic acid on some plant and crustacean polyphenol oxidases. J. Agric. Food Chem. 1991, 39, 1396–1401. [Google Scholar] [CrossRef]
  18. DuBois, M.; Gilles, K.A.; Hamilton, J.K.; Rebers, P.A.; Fred, S. Colorimetric method for determination of sugars and related substances. Anal. Chem. 1956, 28, 350–356. [Google Scholar] [CrossRef]
  19. Bentley, R. Preparation and analysis of Kojic acid. In Methods Enzymol; Academic Press: Cambridge, MA, USA, 1957; pp. 238–241. [Google Scholar]
  20. Moritsuka, N.; Kawamura, K.; Tsujimoto, Y.; Rabenarivo, M.; Andriamananjara, A.; Rakotoson, T.; Razafimbelo, T. Comparison of visual and instrumental measurements of soil color with different low-cost colorimeters. Soil Sci. Plant Nutr. 2019, 65, 605–615. [Google Scholar] [CrossRef]
  21. McGuire, R.G. Reporting of objective color measurements. HortScience 1992, 27, 1254–1255. [Google Scholar] [CrossRef]
  22. Qiu, T.; Zhang, H.; Li, Y.; Yao, L.; Zhang, Z. Aokap9 gene knockout contributes to kojic acid synthesis in Aspergillus oryzae. Microb. Cell Factories 2025, 24, 221. [Google Scholar] [CrossRef]
  23. Kwak, M.Y.; Rhee, J.S. Cultivation characteristics of immobilized Aspergillus oryzae for kojic acid production. Biotechnol. Bioeng. 1992, 39, 903–906. [Google Scholar] [CrossRef]
  24. Rosfarizan, M.; Ariff, A.B. Kinetics of kojic acid fermentation by Aspergillus flavus using different types and concentrations of carbon and nitrogen sources. J. Ind. Microbiol. Biotechnol. 2000, 25, 20–24. [Google Scholar] [CrossRef]
  25. El-Aasar, S.A. Cultural conditions studies on kojic acid production by Aspergillus parasiticus. Int. J. Agric. Biol. 2006, 8, 468–473. [Google Scholar]
  26. Promsang, A.; Rungsardthong, V.; Thumthanaruk, B.; Puttanlek, C.; Uttapap, D.; Foophow, T.; Phalathanaporn, V.; Vatanyoopaisarn, S. Effect of culture conditions and medium compositions on kojic acid production by Aspergillus oryzae ATCC 10124. Conf. Ser. Earth Environ. Sci. 2019, 346, 012047. [Google Scholar] [CrossRef]
  27. El-Kady, I.A.; Zohri, A.N.A.; Hamed, S.R. Kojic Acid Production from Agro-Industrial By-Products Using Fungi. Biotechnol. Res. Int. 2014, 2014, 1–10. [Google Scholar] [CrossRef]
  28. Wu, L.; Zhang, L.; Li, X.; Lv, R.; Cao, W.; Gao, W.; Liu, J.; Xie, Z.; Liu, H. Effective production of kojic acid in engineered Aspergillus niger. Microb. Cell Factories 2023, 22, 40. [Google Scholar] [CrossRef] [PubMed]
  29. Rasmey, A.-H.M.; Abdel-Kareem, M. Optimization of culture conditions for kojic acid production in surface fermentation by Aspergillus oryzae isolated from wheat grains. Bull. Pharm. Sci. Assiut Univ. 2021, 44, 201–211. [Google Scholar] [CrossRef]
  30. Sanjotha, G.; Shivasharana, C.T.; Manawadi, S. An in vitro approach for evaluating antimicrobial activity and production of kojic acid by Aspergillus flavus isolated from Karwar region. J. Pure Appl. Microbiol. 2019, 13, 2261–2272. [Google Scholar] [CrossRef]
  31. Sauer, M.; Mattanovich, D.; Marx, H. 12—Microbial production of organic acids for use in food. In Microbial Production of Food Ingredients, Enzymes and Nutraceuticals; McNeil, B., Archer, D., Harvey, I.G.L., Eds.; Woodhead Publishing: Cambridge, UK, 2013; pp. 288–320. [Google Scholar]
  32. Abdullah, N.A.H.; Nayan, N.A.; Kamaludin, N.H.I.; Idris, Z.M.; Tompang, M.F. Cell growth kinetics of Aspergillus oryzae in industrial natural rubber effluent serum. ARPN J. Eng. Appl. Sci. 2006, 11, 2687–2692. [Google Scholar]
  33. Lu, Z.; Chen, Z.; Liu, Y.; Hua, X.; Gao, C.; Liu, J. Morphological engineering of filamentous fungi: Research, progress and perspectives. J. Microbiol. Biotechnol. 2024, 34, 1197–1205. [Google Scholar] [CrossRef]
  34. Jia, X.; Song, J.; Wu, Y.; Feng, S.; Sun, Z.; Hu, Y.; Yu, M.; Han, R.; Zeng, B. Strategies for the enhancement of secondary metabolite production via biosynthesis gene cluster regulation in Aspergillus oryzae. J. Fungi 2024, 10, 312. [Google Scholar] [CrossRef]
  35. Nuñez, W.; Sotomayor, D.; Ballardo, C.; Herrera, E. Potencial de la biomasa fúngica: Producción y mecanismos de biorremediación de metales pesados del compost de residuos sólidos orgánicos municipales. Sci. Agropecu. 2023, 14, 79–91. [Google Scholar] [CrossRef]
  36. Ayyub, S.; Khan, A.S.; Anwar, R.; Rehman, A.; Shah, H.M.S.; Ali, S. Kojic acid suppresses browning incidence, maintains quality and sensory attributes of harvested loquat fruit by upregulating enzymatic and non-enzymatic antioxidants. Postharvest Biol. Technol. 2025, 226, 113560. [Google Scholar] [CrossRef]
  37. Singh, B.; Suri, K.; Shevkani, K.; Kaur, A.; Kaur, A.; Singh, N. Enzymatic browning of fruit and vegetables: A review. In Enzymes in Food Technology: Improvements and Innovations; Kuddus, M., Ed.; Springer: Singapore, 2018; pp. 63–78. [Google Scholar]
  38. Faisal, M.; Arshad, N.; Wang, H.; Li, C.; Ma, J.; Kong, X.; Luo, H.; Yu, L. Recent advances in technologies for preserving fresh-cut fruits and vegetables. Foods 2025, 14, 2769. [Google Scholar] [CrossRef] [PubMed]
  39. Rojas-Graü, M.A.; Oms-Oliu, G.; Soliva-Fortuny, R.; Martín-Belloso, O. The use of packaging techniques to maintain freshness in fresh-cut fruits and vegetables: A review. Int. J. Food Sci. Technol. 2009, 44, 875–889. [Google Scholar] [CrossRef]
  40. Rodríguez-Félix, A.; Fortiz-Hernández, J.; Rodríguez-Félix, A.; Fortiz-Hernández, J. Calidad de nopal fresco cortado envasado con películas plásticas durante el almacenamiento a baja temperatura. Rev. Mex. Cienc. Agrícolas 2016, 7, 793–807. [Google Scholar] [CrossRef][Green Version]
  41. Solano-Doblado, L.G.; Heredia, F.J.; Gordillo-Arrobas, B.; Davila-Ortiz, G.; Alamilla-Beltran, L.; Maciel-Cerda, A.; Jiménez-Martínez, C. pH-indicating properties and storage stability of a smart edible film based on nopal-mucilage/gellan gum and red cabbage anthocyanins. Rev. Mex. Ing. Química 2020, 19, 363–374. [Google Scholar] [CrossRef]
  42. Guevara, J.C.; Yahia, E.M.; Brito de la Fuente, E.; Biserka, S.P. Effects of elevated concentrations of CO2 in modified atmosphere packaging on the quality of prickly pear cactus stems (Opuntia spp.). Postharvest Biol. Technol. 2003, 29, 167–176. [Google Scholar] [CrossRef]
  43. Moon, K.M.; Kwon, E.-B.; Lee, B.; Kim, C.Y. Recent trends in controlling the enzymatic browning of fruit and vegetable products. Molecules 2020, 25, 2754. [Google Scholar] [CrossRef]
  44. Zeng, S.-X.; Zhao, X.-L.; Zuo, J.-H.; Yan, Z.-C.; Shi, J.-Y.; Wang, Q.; Cui, J.-C.; Sui, Y. Effect of kojic acid treatment on postharvest browning of baby cabbages. Shipin Kexue/Food Sci. 2021, 42, 241–247. [Google Scholar]
  45. Navina, B.; Keshav Huthaash, K.; Velmurugan, N.K.; Korumilli, T. Insights into recent innovations in anti browning strategies for fruit and vegetable preservation. Trends Food Sci. Technol. 2023, 139, 104128. [Google Scholar] [CrossRef]
  46. Quevedo-Preciado, K.L.; Villegas-Ochoa, M.A.; González-Ríos, H.; Rodríguez-Félix, A. Calidad de nopal verdura mínimamente procesado. Efecto de temperatura e inhibidores del oscurecimiento. Rev. Fitotec. Mex. 2005, 28, 261. [Google Scholar] [CrossRef]
  47. Kenny, O.; O’Beirne, D. The effects of washing treatment on antioxidant retention in ready-to-use iceberg lettuce. Int. J. Food Sci. Technol. 2009, 44, 1146–1156. [Google Scholar] [CrossRef]
  48. Wang, B.; Wang, Y.; Huang, Y.; Jiang, Y.; He, J.; Xiao, Y. Anti-browning effects of citronellal on fresh-cut taro (Colocasia esculenta) slices under cold storage condition. Front. Sustain. Food Syst. 2022, 6, 1001362. [Google Scholar] [CrossRef]
  49. Rodríguez-Verástegui, L.L.; Osorio-Córdoba, J.; Díaz de León-Sánchez, F.; Pelayo-Zaldívar, C.; Díaz-Pontones, D.M.; Bosquez-Molina, E.; Márquez-Guzmán, G.J.; Escalona-Buendía, H.B.; Verde-Calvo, J.R.; Pérez-Flores, L.J. Biochemical and visual changes in cactus stems (Opuntia ficus-indica Mill.) stored at 4°, 12° and 26 °C. J. Food Biochem. 2015, 39, 449–461. [Google Scholar] [CrossRef]
  50. Nohynek, G.J.; Kirkland, D.; Marzin, D.; Toutain, H.; Leclerc-Ribaud, C.; Jinnai, H. An assessment of the genotoxicity and human health risk of topical use of kojic acid [5-hydroxy-2-(hydroxymethyl)-4H-pyran-4-one]. Food Chem. Toxicol. 2004, 42, 93–105. [Google Scholar] [CrossRef]
  51. Bernauer, U.; Bodin, L.; Chaudhry, Q.; Coenraads, P.; Dusinska, M.; Ezendam, J.; Gaffet, E.; Galli, C.; Granum, B.; Panteri, E. SCCS Opinion on Kojic Acid–SCCS/1637/21–Final Version and Corrigendum; Scientific Committee for Consumer Safety (European Commission): Luxembourg, 2023. [Google Scholar]
Figure 1. Schematic representation of the two-stage experimental approach used in this study. In the first stage, melon waste was valorized as a carbon source for kojic acid (KA) production through submerged fermentation (SmF). In the second stage, the KA-rich fermentation extract was applied by immersion to peeled prickly pear (Opuntia ficus-indica) cladodes, and its effectiveness in delaying enzymatic browning was evaluated through color parameters (CIELab and ΔE) and shelf life assessment.
Figure 1. Schematic representation of the two-stage experimental approach used in this study. In the first stage, melon waste was valorized as a carbon source for kojic acid (KA) production through submerged fermentation (SmF). In the second stage, the KA-rich fermentation extract was applied by immersion to peeled prickly pear (Opuntia ficus-indica) cladodes, and its effectiveness in delaying enzymatic browning was evaluated through color parameters (CIELab and ΔE) and shelf life assessment.
Fermentation 12 00117 g001
Figure 2. Treatments evaluated for the induction of kojic acid production in liquid medium by A. oryzae, using powdered melon waste as a carbon source. The means ± their standard deviation are shown. Different lowercase letters indicate statistically significant differences between treatments (Tukey p ≤ 0.05).
Figure 2. Treatments evaluated for the induction of kojic acid production in liquid medium by A. oryzae, using powdered melon waste as a carbon source. The means ± their standard deviation are shown. Different lowercase letters indicate statistically significant differences between treatments (Tukey p ≤ 0.05).
Fermentation 12 00117 g002
Figure 3. Treatment interactions evaluated for the induction of kojic acid production in liquid medium by A. oryzae, using powdered melon waste as a carbon source.
Figure 3. Treatment interactions evaluated for the induction of kojic acid production in liquid medium by A. oryzae, using powdered melon waste as a carbon source.
Fermentation 12 00117 g003
Figure 4. Kinetic parameters of fermentation in liquid medium by A. oryzae, at 120 h using 2.5 g/L of yeast extract as a nitrogen source, and 2.5 g/L of melon as the only carbon source. (a) Biomass formation, (b) Kojic acid production. The means ± their standard deviation are shown. The dotted line represents the biomass values modeled with the logistic equation, and kojic acid values modeled with the Luedeking–Piret equation, respectively.
Figure 4. Kinetic parameters of fermentation in liquid medium by A. oryzae, at 120 h using 2.5 g/L of yeast extract as a nitrogen source, and 2.5 g/L of melon as the only carbon source. (a) Biomass formation, (b) Kojic acid production. The means ± their standard deviation are shown. The dotted line represents the biomass values modeled with the logistic equation, and kojic acid values modeled with the Luedeking–Piret equation, respectively.
Fermentation 12 00117 g004
Figure 5. Consumption kinetics of kojic acid (KA ○) production, total sugar (TS ■) consumption, and biomass (X Δ) formation in liquid medium by A. oryzae, at 120 h using 2.5 g/L of yeast extract as a nitrogen source, and 2.5 g/L of melon as the only carbon source. The means ± their standard deviation are shown.
Figure 5. Consumption kinetics of kojic acid (KA ○) production, total sugar (TS ■) consumption, and biomass (X Δ) formation in liquid medium by A. oryzae, at 120 h using 2.5 g/L of yeast extract as a nitrogen source, and 2.5 g/L of melon as the only carbon source. The means ± their standard deviation are shown.
Fermentation 12 00117 g005
Figure 6. Color data of (a) luminosity (L*), (b) Hue angle (h), and (c) global color change (ΔE) in cladodes immersed in 2 g/L kojic acid solution for different times (control for 0 min; t1 water immersion for 0 min; t2-KA for 0.5 min; t3-KA for 1.0 min; t4-KA for 2.0 min; t5-KA for 4.0 min; t6-KA for 8.0 min) on the CIELab scale. (d) Images of all treatments on day 4. The means ± their standard deviation are shown. Different lowercase letters indicate statistically significant differences between treatments (Tukey p < 0.05). Letter “ns” means no significance (Tukey p < 0.05).
Figure 6. Color data of (a) luminosity (L*), (b) Hue angle (h), and (c) global color change (ΔE) in cladodes immersed in 2 g/L kojic acid solution for different times (control for 0 min; t1 water immersion for 0 min; t2-KA for 0.5 min; t3-KA for 1.0 min; t4-KA for 2.0 min; t5-KA for 4.0 min; t6-KA for 8.0 min) on the CIELab scale. (d) Images of all treatments on day 4. The means ± their standard deviation are shown. Different lowercase letters indicate statistically significant differences between treatments (Tukey p < 0.05). Letter “ns” means no significance (Tukey p < 0.05).
Fermentation 12 00117 g006
Table 1. Fermentation treatments with different conditions according to the experimental design conducted.
Table 1. Fermentation treatments with different conditions according to the experimental design conducted.
TreatmentspHTemperature (°C)(Melon)
Carbon (g/L)
(Yeast)
Nitrogen (g/L)
rpm
13.5282.52.5200
25.5365.02.5200
35.5362.52.5100
43.5285.02.5100
53.5362.50.0200
65.5282.50.0100
75.5285.00.0200
83.5365.00.0100
Table 2. Analysis of variance for the factors evaluated in the fractional factorial design, which affect the production of KA (p ≤ 0.05).
Table 2. Analysis of variance for the factors evaluated in the fractional factorial design, which affect the production of KA (p ≤ 0.05).
SourceDFSum SqMean SqF-Valuep-Value
Model52.340980.46819738.510.026
  Lineal52.340980.46819738.510.026
  pH10.982330.98233580.800.012
  Temperature10.750310.75031261.720.016
  Melon10.082010.0820136.750.122
  Nitrogen10.525310.52531243.210.022
  rpm10.001010.0010120.080.800
Error20.024310.012157
Total72.36530
Table 3. Representative literature benchmarks for kojic acid (KA) production: titers and volumetric productivities using conventional substrates and selected agro-industrial residues.
Table 3. Representative literature benchmarks for kojic acid (KA) production: titers and volumetric productivities using conventional substrates and selected agro-industrial residues.
Substrate
Category
MicroorganismCarbon Source/
Notes
KA (g/L)Time to Max (h)Volumetric Productivity (g/L·h) *Reference
Whole agro-residueA. oryzaeWhole melon waste, no pretreatment1.641200.014This study
Agro-industrial residueA. flavusMolasses medium; 1.5 L fermentor53.51920.279[27]
Refined substrateA. niger
(Engineered)
10% glucose; pH-controlled bioreactor25.711920.134[28]
Refined substrateA. flavus100 g/L glucose; 50 L STR with pH control62.02800.220[24]
Refined substrateA. oryzae 1034Glucose medium69.92640.265[29]
Refined substrateA. oryzaeGlucose (100 g/L) + low yeast extract; agitation study7.861440.055[6]
* Volumetric productivity was calculated as KA/time-to-max.
Disclaimer/Publisher’s Note: The statements, opinions and data contained in all publications are solely those of the individual author(s) and contributor(s) and not of MDPI and/or the editor(s). MDPI and/or the editor(s) disclaim responsibility for any injury to people or property resulting from any ideas, methods, instructions or products referred to in the content.

Share and Cite

MDPI and ACS Style

López-Roblero, E.d.C.; Robledo-Olivo, A.; González-Morales, S.; Charles-Rodríguez, A.V.; Ruiz, H.A.; Sandoval-Rangel, A. Fermentation-Driven Melon Waste Valorization to Diminish Enzymatic Browning in Spineless Cladodes by Kojic Acid Application. Fermentation 2026, 12, 117. https://doi.org/10.3390/fermentation12020117

AMA Style

López-Roblero EdC, Robledo-Olivo A, González-Morales S, Charles-Rodríguez AV, Ruiz HA, Sandoval-Rangel A. Fermentation-Driven Melon Waste Valorization to Diminish Enzymatic Browning in Spineless Cladodes by Kojic Acid Application. Fermentation. 2026; 12(2):117. https://doi.org/10.3390/fermentation12020117

Chicago/Turabian Style

López-Roblero, Erendida del Carmen, Armando Robledo-Olivo, Susana González-Morales, Ana Verónica Charles-Rodríguez, Héctor A. Ruiz, and Alberto Sandoval-Rangel. 2026. "Fermentation-Driven Melon Waste Valorization to Diminish Enzymatic Browning in Spineless Cladodes by Kojic Acid Application" Fermentation 12, no. 2: 117. https://doi.org/10.3390/fermentation12020117

APA Style

López-Roblero, E. d. C., Robledo-Olivo, A., González-Morales, S., Charles-Rodríguez, A. V., Ruiz, H. A., & Sandoval-Rangel, A. (2026). Fermentation-Driven Melon Waste Valorization to Diminish Enzymatic Browning in Spineless Cladodes by Kojic Acid Application. Fermentation, 12(2), 117. https://doi.org/10.3390/fermentation12020117

Note that from the first issue of 2016, this journal uses article numbers instead of page numbers. See further details here.

Article Metrics

Back to TopTop