Enhanced Glutathione Production in Saccharomyces cerevisiae by High-Throughput Screening System Based on Atmospheric and Room Temperature Plasma (ARTP) Mutagenesis
Abstract
1. Introduction
2. Materials and Methods
2.1. Strain and Media
2.2. Integrated Procedure of the Stain Mutagenesis and Screening
2.2.1. Cultivation in Shake Flasks
2.2.2. ARTP Mutagenesis Procedure
2.2.3. High-Throughput Cultivation in Both 24-Deep MTPs and 48-Deep MTPs
2.2.4. High-Throughput Assay of GSH Concentrations
2.2.5. L Bioreactor Cultures
2.3. Analysis of Computational Fluid Dynamics (CFD)
2.4. Other Analytical Methods
2.4.1. DCW Determination
2.4.2. Sugar Determination
2.4.3. HPLC Assay of GSH Concentrations
2.4.4. Determination of Ethanol Concentration in Fermentation Broth
2.4.5. Analysis of Intracellular Metabolites and Enzyme Activity Assays
3. Results and Discussion
3.1. Establishment of a High-Throughput Culture Method for Saccharomyces Cerevisiae
3.2. High-Throughput Qualitative Analysis of GSH
3.3. High-Throughput Screening of High GSH-Producing Strains
3.4. Fermentation Verification of the High-Yield Mutant S-272 in 5 L Bioreactors
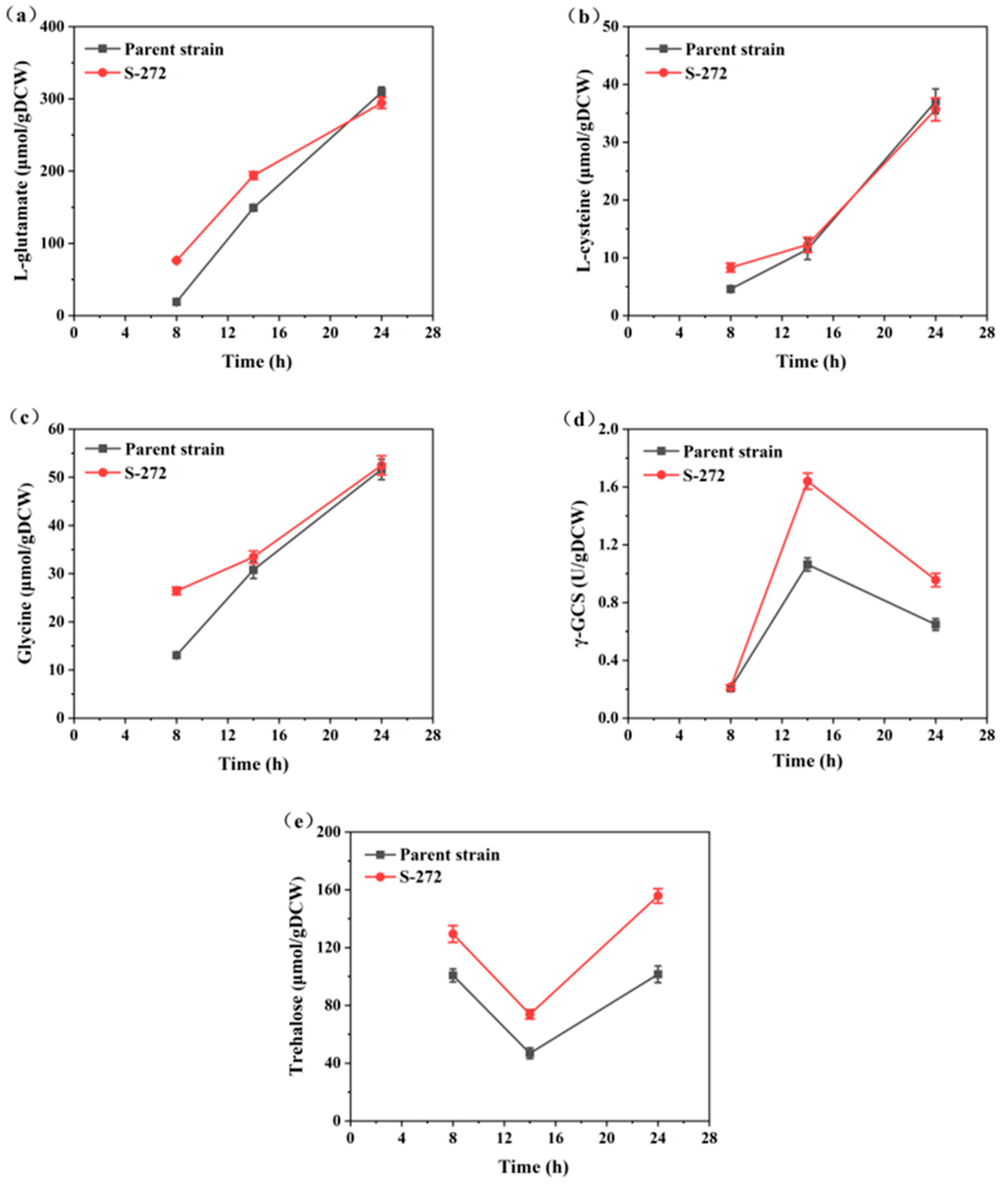
3.5. Exploration of the High GSH-Producing Mechanism in S-272
4. Conclusions
Author Contributions
Funding
Institutional Review Board Statement
Informed Consent Statement
Data Availability Statement
Acknowledgments
Conflicts of Interest
Abbreviations
| GSH | Glutathione |
| ARTP | Atmospheric and room temperature plasma |
| AC | Alternating current |
| rms | root mean square |
| MTPs | Microtiter plates |
| CFD | Computational fluid dynamics |
| HPC | High-performance liquid chromatography |
| OUR | Oxygen uptake rate |
| DO | Dissolved oxygen |
| MPMS | Multifunction plasma mutagenesis system |
| GC | Gas chromatography |
| GC/MS | Gas chromatography/mass spectrometry |
| ε | Energy dissipating rate |
| P/V | Volumetric power consumption |
| SSR | Shear strain rate |
| KLa | Oxygen volumetric mass transfer coefficient |
| DTNB | 2-nitrobenzoic acid |
References
- Schmacht, M.; Lorenz, E.; Senz, M. Microbial production of glutathione. World J. Microbiol. Biotechnol. 2017, 33, 106. [Google Scholar] [CrossRef] [PubMed]
- Do, D.; Fickers, P.; Ben, T.I. Improvement of glutathione production by a metabolically engineered Yarrowia lipolytica strain using a small-scale optimization approach. Biotechnol. Lett. 2021, 43, 407–414. [Google Scholar] [CrossRef] [PubMed]
- Lemos Junior, W.J.F.; Binati, R.L.; Bersani, N.; Torriani, S. Investigating the glutathione accumulation by non-conventional wine yeasts in optimized growth conditions and multi-starter fermentations. LWT 2021, 142, 110990. [Google Scholar] [CrossRef]
- Li, Y.; Wei, G.; Chen, J. Glutathione: A review on biotechnological production. Appl. Microbiol. Biotechnol. 2004, 66, 233–242. [Google Scholar] [CrossRef]
- Santos, L.O.; Silva, P.G.P.; Lemos Junior, W.J.F.; de Oliveira, V.S.; Anschau, A. Glutathione production by Saccharomyces cerevisiae: Current state and perspectives. Appl. Microbiol. Biot. 2022, 106, 1879–1894. [Google Scholar] [CrossRef]
- Malairuang, K.; Krajang, M.; Sukna, J.; Rattanapradit, K.; Chamsart, S. High cell density cultivation of Saccharomyces cerevisiae with intensive multiple sequential batches together with a novel technique of fed-batch at cell level (FBC). Processes 2020, 8, 1321. [Google Scholar] [CrossRef]
- Zhong, L.; Carere, J.; Mats, L.; Lu, Z.; Lu, F.; Zhou, T. Formation of glutathione patulin conjugates associated with yeast fermentation contributes to patulin reduction. Food Control 2021, 123, 107334. [Google Scholar] [CrossRef]
- Lv, X.; Song, J.; Yu, B.; Liu, H.; Li, C.; Zhuang, Y.; Wang, Y. High-throughput system for screening of high l-lactic acid-productivity strains in deep-well microtiter plates. Bioprocess. Biosyst. Eng. 2016, 39, 1737–1747. [Google Scholar] [CrossRef]
- Wang, S.; Hou, Y.; Chen, X.; Liu, L. Kick-starting evolution efficiency with an autonomous evolution mutation system. Metab. Eng. 2019, 54, 127–136. [Google Scholar] [CrossRef]
- Wen, Y.; Zang, R.; Zhang, X.; Yang, S. A 24-microwell plate with improved mixing and scalable performance for high throughput cell cultures. Process Biochem. 2012, 47, 612–618. [Google Scholar] [CrossRef]
- Ottenheim, C.; Nawrath, M.; Wu, J.C. Microbial mutagenesis by atmospheric and room-temperature plasma (ARTP): The latest development. Bioresour. Bioprocess. 2018, 5, 12. [Google Scholar] [CrossRef]
- Zhang, X.; Zhang, C.; Zhou, Q.Q.; Zhang, X.F.; Wang, L.Y.; Chang, H.B.; Li, H.P.; Oda, Y.; Xing, X.H. Quantitative evaluation of DNA damage and mutation rate by atmospheric and room-temperature plasma (ARTP) and conventional mutagenesis. Appl. Microbiol. Biotechnol. 2015, 99, 5639–5646. [Google Scholar] [CrossRef] [PubMed]
- Zhang, X.; Zhang, X.F.; Li, H.P.; Wang, L.Y.; Zhang, C.; Xing, X.H.; Bao, C.Y. Atmospheric and room temperature plasma (ARTP) as a new powerful mutagenesis tool. Appl. Microbiol. Biotechnol. 2014, 98, 5387–5396. [Google Scholar] [CrossRef] [PubMed]
- Song, X.; Zhang, Y.; Xue, J.; Li, C.; Wang, Z.; Wang, Y. Enhancing nemadectin production by Streptomyces cyaneogriseus ssp. Noncyanogenus through quantitative evaluation and optimization of dissolved oxygen and shear force. Bioresour. Technol. 2018, 255, 180–188. [Google Scholar] [CrossRef]
- Tan, J.; Chu, J.; Hao, Y.; Guo, Y.; Zhuang, Y.; Zhang, S. High-throughput system for screening of Cephalosporin C high-yield strain by 48-deep-well microtiter plates. Appl. Biochem. Biotechnol. 2013, 169, 1683–1695. [Google Scholar] [CrossRef]
- Yu, L.; Li, F.; Ni, J.; Qin, X.; Lai, J.; Su, X.; Li, Z.; Zhang, M. UV-ARTP compound mutagenesis breeding improves macrolactins production of Bacillus siamensis and reveals metabolism changes by proteomic. J. Biotechnol. 2024, 381, 36–48. [Google Scholar] [CrossRef]
- Gao, S.; Li, L.; Wei, Y.; Wen, L.; Shao, S.; Wu, J.; Zong, X. Research progress of ARTP mutagenesis technology based on citespace visualization analysis. Mol. Biotechnol. 2024, 1–11, online ahead of print. [Google Scholar] [CrossRef]
- Zhang, N.; Jiang, J.; Yang, J.; Wei, M.; Zhao, J.; Xu, H.; Xie, J.; Tong, Y.; Yu, L. Citric acid production from acorn starch by tannin tolerance mutant Aspergillus niger AA120. Appl. Biochem. Biotech. 2019, 188, 1–11. [Google Scholar] [CrossRef]
- Zhang, T.; Wen, S.; Tan, T. Optimization of the medium for glutathione production in Saccharomyces cerevisiae. Process Biochem. 2007, 42, 454–458. [Google Scholar] [CrossRef]
- Li, C.; Xia, J.; Chu, J.; Wang, Y.; Zhuang, Y.; Zhang, S. CFD analysis of the turbulent flow in baffled shake flasks. Biochem. Eng. J. 2013, 70, 140–150. [Google Scholar] [CrossRef]
- Wang, P.; Yin, Y.; Wang, X.; Wen, J. Enhanced ascomycin production in Streptomyces hygroscopicus var. Ascomyceticus by employing polyhydroxybutyrate as an intracellular carbon reservoir and optimizing carbon addition. Microb. Cell Fact. 2021, 20, 70. [Google Scholar] [CrossRef]
- Liu, Z.; Cai, M.; Zhou, S.; You, J.; Zhao, Z.; Liu, Z.; Xu, M.; Rao, Z. High-efficient production of l-homoserine in Escherichia coli through engineering synthetic pathway combined with regulating cell division. Bioresour. Technol. 2023, 389, 129828. [Google Scholar] [CrossRef]
- Singh, N.; Akhtar, M.; Anchliya, A. Development and validation of HPLC method for simultaneous estimation of reduced and oxidized glutathione in bulk pharmaceutical formulation. Austin J. Anal. Pharm. Chem. 2021, 8, 1129. [Google Scholar]
- Mohammed, A.H.; Mohammed, A.K.; Kamar, F.H.; Abbas, A.A.; Nechifor, G. Determination of ethanol in fermented broth by headspace gas chromatography using capillary column. Rev. Chim. - Buchar. 2018, 69, 2969–2972. [Google Scholar] [CrossRef]
- de Jonge, L.; Buijs, N.A.; Heijnen, J.J.; van Gulik, W.M.; Abate, A.; Wahl, S.A. Flux response of glycolysis and storage metabolism during rapid feast/famine conditions in Penicillium chrysogenum using dynamic (13)C labeling. Biotechnol. J. 2014, 9, 372–385. [Google Scholar] [CrossRef]
- Wang, D.H.; Zhang, J.L.; Dong, Y.Y.; Wei, G.Y.; Qi, B. Glutathione is involved in physiological response of Candida utilis to acid stress. Appl. Microbiol. Biotechnol. 2015, 99, 10669–10679. [Google Scholar] [CrossRef]
- Zhang, H.; Williams-Dalson, W.; Keshavarz-Moore, E.; Shamlou, P.A. Computational-fluid-dynamics (CFD) analysis of mixing and gas-liquid mass transfer in shake flasks. Biotechnol. Appl. Biochem. 2005, 41, 1–8. [Google Scholar] [CrossRef]
- Luo, Z.; Zeng, W.; Du, G.; Liu, S.; Fang, F.; Zhou, J.; Chen, J. A high-throughput screening procedure for enhancing pyruvate production in Candida glabrata by random mutagenesis. Bioprocess. Biosyst. Eng. 2017, 40, 693–701. [Google Scholar] [CrossRef]
- Li, D.; Shen, J.; Ding, Q.; Wu, J.; Chen, X. Recent progress of atmospheric and room-temperature plasma as a new and promising mutagenesis technology. Cell Biochem. Funct. 2024, 42, e3991. [Google Scholar] [CrossRef]
- Kalogerakis, G.C.; Boparai, H.K.; Yang, M.I.; Sleep, B.E. A high-throughput and cost-effective microplate reader method for measuring persulfates (peroxydisulfate and peroxymonosulfate). Talanta 2022, 240, 123170. [Google Scholar] [CrossRef]
- Ellman, G.L. Reprint of: Tissue sulfhydryl groups. Arch. Biochem. Biophys. 2022, 726, 109245. [Google Scholar] [CrossRef]
- Gao, Q.; Gao, S.; Zeng, W.; Li, J.; Zhou, J. Enhancing (2s)-naringenin production in Saccharomyces cerevisiae by high-throughput screening method based on ARTP mutagenesis. 3 Biotech. 2024, 14, 85. [Google Scholar] [CrossRef]
- Sarnaik, A.; Liu, A.; Nielsen, D.; Varman, A.M. High-throughput screening for efficient microbial biotechnology. Curr. Opin. Biotechnol. 2020, 64, 141–150. [Google Scholar] [CrossRef]
- Yao, Z.; Fan, J.; Dai, J.; Yu, C.; Zeng, H.; Li, Q.; Hu, W.; Yan, C.; Hao, M.; Li, H.; et al. A high-throughput method based on microculture technology for screening of high-yield strains of tylosin-producing Streptomyces fradiae. J. Microbiol. Biotechnol. 2023, 33, 831–839. [Google Scholar] [CrossRef]
- Zeng, W.; Guo, L.; Xu, S.; Chen, J.; Zhou, J. High-throughput screening technology in industrial biotechnology. Trends Biotechnol. 2020, 38, 888–906. [Google Scholar] [CrossRef]
- Cai, M.; Wu, Y.; Qi, H.; He, J.; Wu, Z.; Xu, H.; Qiao, M. Improving the level of the tyrosine biosynthesis pathway in Saccharomyces cerevisiae through htz1 knockout and atmospheric and room temperature plasma (ARTP) mutagenesis. ACS Synth. Biol. 2021, 10, 49–62. [Google Scholar] [CrossRef]
- Jin, J.; Wang, Y.; Yao, M.; Gu, X.; Li, B.; Liu, H.; Ding, M.; Xiao, W.; Yuan, Y. Astaxanthin overproduction in yeast by strain engineering and new gene target uncovering. Biotechnol. Biofuels 2018, 11, 230. [Google Scholar] [CrossRef]
- Li, H.P.; Wang, L.Y.; Li, G.; Jin, L.H.; Le, P.S.; Zhao, H.X.; Xing, X.H.; Bao, C.Y. Manipulation of lipase activity by the helium radio-frequency, atmospheric-pressure glow discharge plasma jet. Plasma Process. Polym. 2011, 8, 224–229. [Google Scholar] [CrossRef]
- Liu, Y.; Li, S. Breeding of high-yield alkaline protease producing strain by atmospheric and room temperature plasma mutagenesis. IOP Conf. Ser. Earth Environ. Sci. 2020, 453, 12089. [Google Scholar] [CrossRef]
- Hu, X.; Shen, X.; Zhu, S.; Zeng, H.; Shuai, Y. Optimization of glutathione production in Saccharomyces cerevisiae HBSD-W08 using plackett-burman and central composite rotatable designs. BMC Microbiol. 2023, 23, 11. [Google Scholar] [CrossRef]
- Griffith, O.W. Biologic and pharmacologic regulation of mammalian glutathione synthesis. Free Radic. Biol. Med. 1999, 27, 922–935. [Google Scholar] [CrossRef]
- Dong, Y.; Yang, Q.; Jia, S.; Qiao, C. Effects of high pressure on the accumulation of trehalose and glutathione in the Saccharomyces cerevisiae cells. Biochem. Eng. J. 2007, 37, 226–230. [Google Scholar] [CrossRef]
- Camara, A.J.; Marechal, P.A.; Tourdot-Marechal, R.; Husson, F. Dehydration stress responses of yeasts Torulaspora delbrueckii, Metschnikowia pulcherrima and Lachancea thermotolerans: Effects of glutathione and trehalose biosynthesis. Food Microbiol. 2019, 79, 137–146. [Google Scholar] [CrossRef]








| Bioreactor Type | Filling Volume | Filling Height | KLa | ε | P/V | SSR |
|---|---|---|---|---|---|---|
| (mL) | (mm) | (h−1) | (m2·s−3) | (W·m−3) | (s−1) | |
| 500 mL flask | 50 | 8.33 | 72.1 | 1.349 | 1 348.9 | 36.8 |
| 24-deep MTPs | 2 | 8.33 | 105.5 | 0.079 | 79.1 | 46.1 |
| 48-deep MTPs | 1 | 10.00 | 189.7 | 0.074 | 73.8 | 59.7 |
| Strain | μ | qethanol | qp | GSH | GSH Content |
|---|---|---|---|---|---|
| (1/h) | (g/g DCW/h) | (g/g DCW/h) | (g/L) | (%) | |
| Parent strain | 0.040 ± 0.002 | 0.025 ± 0.017 | 0.003 ± 0.001 | 0.482 ± 0.015 | 6.42 ± 0.10 |
| S-272 | 0.038 ± 0.013 | 0.046 ± 0.013 | 0.004 ± 0.002 | 0.553 ± 0.015 | 7.68 ± 0.12 |
Disclaimer/Publisher’s Note: The statements, opinions and data contained in all publications are solely those of the individual author(s) and contributor(s) and not of MDPI and/or the editor(s). MDPI and/or the editor(s) disclaim responsibility for any injury to people or property resulting from any ideas, methods, instructions or products referred to in the content. |
© 2025 by the authors. Licensee MDPI, Basel, Switzerland. This article is an open access article distributed under the terms and conditions of the Creative Commons Attribution (CC BY) license (https://creativecommons.org/licenses/by/4.0/).
Share and Cite
Li, L.; Wang, Z.; Mohsin, A.; Zhuang, Y. Enhanced Glutathione Production in Saccharomyces cerevisiae by High-Throughput Screening System Based on Atmospheric and Room Temperature Plasma (ARTP) Mutagenesis. Fermentation 2025, 11, 220. https://doi.org/10.3390/fermentation11040220
Li L, Wang Z, Mohsin A, Zhuang Y. Enhanced Glutathione Production in Saccharomyces cerevisiae by High-Throughput Screening System Based on Atmospheric and Room Temperature Plasma (ARTP) Mutagenesis. Fermentation. 2025; 11(4):220. https://doi.org/10.3390/fermentation11040220
Chicago/Turabian StyleLi, Lan, Zejian Wang, Ali Mohsin, and Yingping Zhuang. 2025. "Enhanced Glutathione Production in Saccharomyces cerevisiae by High-Throughput Screening System Based on Atmospheric and Room Temperature Plasma (ARTP) Mutagenesis" Fermentation 11, no. 4: 220. https://doi.org/10.3390/fermentation11040220
APA StyleLi, L., Wang, Z., Mohsin, A., & Zhuang, Y. (2025). Enhanced Glutathione Production in Saccharomyces cerevisiae by High-Throughput Screening System Based on Atmospheric and Room Temperature Plasma (ARTP) Mutagenesis. Fermentation, 11(4), 220. https://doi.org/10.3390/fermentation11040220

