Next Article in Journal
Enhanced Biohydrogen Production Through Continuous Fermentation of Thermotoga neapolitana: Addressing By-Product Inhibition and Cell Viability in Different Bioreactor Modes
Previous Article in Journal
The Effects of Pre-Fermentative Treatments on the Aroma of Krstač and Žižak Wines
Previous Article in Special Issue
Valorization of Mixed Lignocellulosic Biomass for Bioethanol Production Using Thermotolerant Yeast Saccharomyces cerevisiae SC90
 
 
Font Type:
Arial Georgia Verdana
Font Size:
Aa Aa Aa
Line Spacing:
Column Width:
Background:
Article

Enhancing Xylanase and Cellulase Production by Two Locally Isolated Fungal Strains Under Solid-State Fermentation of Water Hyacinth and Sugarcane Bagasse

by
Carlos Soltero-Sánchez
1,
Evelyn Romero-Borbón
2,
Nestor David Ortega-de la Rosa
3,
María Angeles Camacho-Ruiz
4 and
Jesús Córdova
2,*
1
Departamento de Ingeniería Química, Centro Universitario de Ciencias Exactas e Ingenierías, Universidad de Guadalajara, Blvd. Gral. Marcelino García Barragán 1421, Col. Olímpica, Guadalajara 44430, Jalisco, Mexico
2
Departamento de Química, Centro Universitario de Ciencias Exactas e Ingenierías, Universidad de Guadalajara, Blvd. Gral. Marcelino García Barragán 1421, Col. Olímpica, Guadalajara 44430, Jalisco, Mexico
3
Centro Universitario de Tlajomulco, Departamento de Ingeniería Biología, Sintética y de Materiales, Universidad de Guadalajara, Carretera Tlajomulco-Santa Fé Km. 3.5 No.595, Lomas de Tejeda, Tlajomulco de Zúniga 45641, Jalisco, Mexico
4
Centro Universitario del Norte, Departamento de Fundamentos del Conocimiento, Universidad de Guadalajara, Carretera Federal No. 23 Km. 191, Col. Santiago Tlatelolco, Colotlán 42600, Jalisco, Mexico
*
Author to whom correspondence should be addressed.
Fermentation 2025, 11(10), 578; https://doi.org/10.3390/fermentation11100578
Submission received: 11 September 2025 / Revised: 24 September 2025 / Accepted: 7 October 2025 / Published: 9 October 2025
(This article belongs to the Special Issue Lignocellulosic Biomass Valorisation, 2nd Edition)

Abstract

This study aimed to isolate and identify fungi capable of producing xylanases and cellulases. Thirty-eight fungal strains were isolated from decaying water hyacinth (WH), and two were selected based on their superior enzyme production under solid-state fermentation (SSF). The strains were identified through morphological, cultural, and molecular analyses as Aspergillus austwickii B6 and Trichoderma harzianum M7. Their ribosomal ITS sequences were deposited in GenBank under accession numbers PQ142799.1 for A. austwickii B6 and PQ007458.1 for T. harzianum M7. Enzyme production was evaluated under SSF using eight culture medium variants prepared with natural or pretreated biomasses of WH and sugarcane bagasse (SCB), combined with either NaNO3 or (NH4)2SO4 as nitrogen sources. The maximum xylanase and cellulase activities were 752 and 65 U/g dry matter (DM), respectively, for A. austwickii B6, and 1724 and 152 U/g DM for T. harzianum M7, when cultivated on a low-cost medium composed of pretreated WH, (NH4)2SO4, and a simple mineral salt solution. These findings highlight the potential of locally isolated fungal strains and lignocellulosic residues as cost-effective substrates and inducers of xylanase and cellulase production under SSF and underscore the importance of WH pretreatment to enhance substrate availability and maximize enzyme yields.

1. Introduction

The proper management of lignocellulosic residues from diverse sources, such as forest, agricultural, and aquatic biomass, represents a major environmental challenge. Global production of these residues exceeds the natural biodegradation capacity, often resulting in their accumulation, at best, near municipal dumpsites [1]. Water hyacinth (Eicchornia crassipes) is frequently regarded as an aquatic weed due to its aggressive invasive nature, its detrimental impact on aquatic ecosystems, and the high costs typically associated with its control [2]. Although it is native to the Amazon basin, it has spread extensively across tropical, subtropical, and even some temperate regions worldwide [3]. Sugarcane bagasse, on the other hand, is the fibrous byproduct obtained after the extraction of juice from sugarcane (Saccharum officinarum).
The utilization of lignocellulosic wastes as raw materials for producing value-added bioproducts is an attractive alternative because of their abundance, low cost, and potential environmental benefits [4]. Specifically, these residues can serve as supports, substrates, and inducers for the synthesis of lignocellulosic enzymes under solid-state fermentation (SSF). SSF is an effective strategy that has gained increasing attention for converting a wide variety of organic waste into high-value products [5]. It offers several advantages over submerged fermentation, including ease of operation, high product yields, reduced water requirements, and enhanced environmental sustainability [6]. Given the widespread availability of organic solid waste, comprehensive management strategies are essential on a global scale. Furthermore, the pressing demand for renewable raw materials to support sustainable development has highlighted SSF as a promising approach for the valorization of organic solid residues in an environmentally friendly manner [5].
Filamentous fungi are particularly well-suited for SSF because they grow in environments with low water activity, allowing selective cultivation under these conditions. Furthermore, they secrete lignocellulolytic enzymes, such as cellulases, xylanases, and ligninases, that depolymerize plant residues, enabling their use as carbon sources [7]. Cellulases (EC 3.2.1.4) and xylanases (EC 3.2.1.8) are key biocatalysts used to convert lignocellulosic materials into fuels and chemicals and are widely applied in the food and textile industries. Complete cellulose hydrolysis requires the synergistic action of three enzymes: endoglucanase, exoglucanase and β-glucosidase [8,9]. Meanwhile, xylanases catalyze the hydrolysis of β-1,4-xylopyranosyl linkages in xylan. They are used in hemicellulose degradation to produce xylooligosaccharides (XOS, valued as prebiotics), as feed additives to improve animal digestion, and as bleaching agents in the paper industry [10]. The most relevant xylanases belong to glycosyl hydrolase families GH10 (hydrolyzing internal β-1,4-xylosidic bonds in branched heteroxylans), GH11 (hydrolyzing β-1,4-xylosidic bonds in linear heteroxylans), GH30 (hydrolyzing β-1,4-xylosidic bonds in glucuronoxylan and XOS substituted with glucuronic or methylglucuronic acids), and GH5 (hydrolyzing β-1,4-xylosidic bonds of highly arabinose-substituted xylans) [11,12].
Despite extensive research on lignocellulosic biomass valorization, studies on the combined use of aquatic weeds such as water hyacinth (WH) and agro-industrial residues like sugarcane bagasse (SCB) as dual substrates and inducers for xylanase and cellulase production under SSF remain limited. Furthermore, the exploration of locally isolated fungal strains with high enzymatic potential is crucial to identify robust and cost-effective biocatalysts for industrial applications. In this context, the objective of this research was to isolate and screen filamentous fungi capable of producing xylanases and cellulases. Two promising strains were identified and evaluated using SSF with WH and SCB as supports, carbon sources, and inducers. The effects of carbon and nitrogen sources, as well as natural (untreated) and pretreated WH and SCB biomasses, were also assessed.

2. Materials and Methods

2.1. Isolation of Xylanase- and Cellulase-Producing Fungi

The isolation medium was prepared with the following composition (g/L): finely ground dry stems of water hyacinth (particle size 0.42–0.84 mm) 10, glucose 5, NaNO3 6.07, KH2PO4 1.98, MgSO4·7H2O 0.51, CaCl2 0.39, NaCl 0.13, FeSO4 0.05, agar 15, chloramphenicol 0.10, and 4 mL of a trace element solution containing (g/L): MnCl2·4H2O 1.98, CoCl2·6H2O 2.38, CuSO4·5H2O 0.25, ZnSO4·7H2O 0.29, and EDTA 10. The pH was brought to 6.5 before sterilization by autoclaving at 121 °C for 15 min.
Fungi were obtained from naturally decaying water hyacinth (WH) plants collected along the shoreline of Lake Chapala, Jalisco, Mexico (20°17′23.6″ N, 103°11′44.9″ W), following the methodology reported elsewhere [8]. Approximately 1 cm fragments of colonized tissue were aseptically transferred to Petri dishes containing the isolation medium. The cultures were incubated under two temperature conditions (30 °C and 45 °C) for 48 h, with two replicates per treatment. Colonies exhibiting different morphologies were purified by successive transfers until axenic isolates were achieved. In total, 38 fungal strains were isolated, comprising thirty-five mesophilic and three thermophilic strains. The fungal collection was preserved at 4 °C on agar slants and as spore suspensions in 50% (v/v) glycerol at −20 °C.

2.2. Sampling and Preparation of Water Hyacinth and Sugarcane Bagasse

WH (Eichhornia crassipes) plants were collected from Las Pintas Lagoon in Tlaquepaque, Jalisco, Mexico (20°34′43.7″ N, 103°19′50.2″ W) and separated into roots, stems, and leaves. Stems were selected as substrate, carbon source, and enzyme inducer for solid-state fermentation (SSF). Sugarcane bagasse (SCB) was obtained from Compañía azucarera del Ingenio Bellavista S.A. de C.V (Bellavista, Acatlán de Juárez, Jalisco, Mexico). Both materials were washed with tap water, dried in an oven (Terlab, Zapopan, Mexico) at 70 °C for 72 h, ground using a blade mill (Veyco, Ciudad de México, Mexico), and sieved to obtain two particle size fractions: medium (0.84–2 mm) used for SSF and fine (<0.42) used for the preparation of the isolation medium.

2.3. Screening of Fungal Strains Producing Xylanases and Cellulases

The 38 isolates were evaluated for xylanase and cellulase production under SSF using water hyacinth (WH) as support. The culture medium was prepared following the composition of the isolation medium, excluding WH, agar, and chloramphenicol. The pH was set to 6.5, and the medium was sterilized at 121 °C for 15 min. Spore suspensions at 7.5 × 106 spores/mL were used to achieve a final inoculum concentration of 3 × 107 spores per gram of dry matter.
Two grams of WH were dispensed into 125 mL Erlenmeyer flasks, sterilized at 121 °C for 15 min, and supplemented with 8 mL of the inoculated culture medium. The contents were thoroughly mixed with a spatula, resulting in a final moisture content of 80% (w/w). All experiments were performed in duplicate for each fungal strain. The flasks were incubated at 30 °C or 45 °C for 48 h. Following incubation, the fermented substrates were transferred into polyethylene bags and stored at −20 °C until enzymatic analysis.

2.4. Inoculum Preparation

Inoculum preparation was carried out as previously described [8]. Erlenmeyer flasks (250 mL) with 50 mL of isolation medium were autoclaved at 121 °C for 15 min, after cooling, inoculated with spore suspension obtained from the strain preserved at −20 °C. The flasks were maintained at 30 °C for a period of 5 days to allow abundant sporulation. Spores were then collected by incorporating 50 mL of an aqueous Tween 80 solution (0.01%, w/v) and homogenizing the suspension by magnetic agitation for 5 min. The spore concentration was quantified in a Neubauer chamber under an optical microscope at 40× magnification.

2.5. Molecular Identification of the Isolated Fungal Strains

Strains B6 and M7 were grown in 250 mL Erlenmeyer flasks containing 50 mL of potato dextrose broth (PDB) and incubated at 30 °C with orbital shaking at 170 rpm for a period of 48 h. The resulting mycelial biomass was separated by vacuum filtration through Whatman No. 1 filter paper, rinsed with sterile distilled water, and preserved at −20 °C until use. Genomic DNA was extracted using the GenEluteTM Plant Genomic DNA Miniprep Kit (Sigma-Aldrich, Naucalpan de Juárez, Mexico). The ITS region (ITS1-5.8S-ITS2 rDNA) was amplified via PCR using universal primers ITS1 and ITS4 [13]. The amplicons obtained were sequenced and subsequently compared against reference sequences available in the National Center for Biotechnology Information (NCBI) database using the Basic Local Alignment Search Tool (BLAST, http://www.ncbi.nlm.nih.gov, accessed on 10 June 2024).

2.6. Determination of Radial Growth Rate in Aspergillus austwickii B6 and Trichoderma harzianum M7

The radial growth of fungal strains was assessed on potato dextrose agar (PDA). Inoculation was performed by depositing spores at the center of each plate with a sterile toothpick. Plates were incubated at 5, 10, 15, 20, 25, 30, 35, 40, and 45 °C. Colony expansion was monitored at defined intervals by measuring diameters along two perpendicular axes drawn on the dish bottoms. Radial growth rates were expressed in µm/h, calculated from the linear increase in colony diameter over time. Each condition was tested in triplicate.

2.7. Xylanase and Cellulase Production by Aspergillus austwickii B6 and Trichoderma harzianum M7 Under Solid-State Fermentation Using Different Culture Media

Kinetic studies of xylanase and cellulase production under solid-state fermentation (SSF) were conducted to improve enzyme yields from Aspergillus austwickii B6 and Trichoderma harzianum M7. Sugarcane bagasse (SCB) and water hyacinth (WH) were evaluated as supports, substrates, and inducers, while NaNO3 and (NH4)2SO4 were tested as nitrogen sources. In addition, a thermal–acid pretreatment of WH and SCB was assessed. The combination of these factors resulted in eight culture medium formulations for each fungal strain (Table 1).
Depending on whether the supports were pretreated or not, two experimental strategies were established:
(1) SSF using non-pretreated support.
Natural WH and SCB were used as supports, carbon sources and enzyme inducers. The culture medium was prepared as described in Section 2.3, except that NaNO3 (6.07 g/L) was substituted by (NH4)2SO4 (4.73 g/L) in some treatments (combinations 1, 2, 5, and 6; Table 1).
(2) SSF using pretreated support.
When pretreated WH or SCB were used, a concentrated culture medium was prepared with the following composition (g/L): (NH4)2SO4 30.96, KH2PO4 12.92, and MgCl2 1.23. Depending on the treatment, (NH4)2SO4 was substituted with NaNO3 (39.83 g/L). The pH was adjusted to 6.5, the medium was autoclaved at 121 °C for 15 min, and inoculated with a sufficient spore suspension to reach 3 × 107 spores/mL (combinations 3, 4, 7, and 8; Table 1).
Supports were thermochemically pretreated as follows: WH or SCB was placed in a plastic bag, and 0.6 M H2SO4 was added at a ratio of 2 mL per gram of dry matter. The mixture was manually homogenized to ensure complete impregnation, then autoclaved at 121 °C for 20 min with sudden decompression. After cooling, the acid was neutralized by adding 2.4 M NaOH at a ratio of 1 mL per gram of dry matter, followed by manual mixing to homogenize. The concentrated and inoculated medium was then added at a ratio of 1 mL per gram of dry matter, resulting in a final inoculum concentration of 3 × 107 spores per gram of dry matter. This solid mixture was distributed at 10 g per 250 mL Erlenmeyer flask and incubated at 30 °C.
For both SSF strategies, duplicates were withdrawn at 24 h intervals for a total of 4 days. The fermented material was then packed into polyethylene bags and kept at −20 °C until subsequent analyses.

2.8. Analytical Assays

Moisture and dry matter contents were evaluated by placing 5 g of fermented material in a drying oven set at 100 °C until constant weight was reached (24 h).
For pH analysis, 1 g of fermented sample was mixed with 10 mL of distilled water inside a 50 mL centrifuge tube. The suspension was homogenized for 10 min and then measured with a pH meter (LAQUA, HORIBA Scientific, Kyoto, Japan).
Protein concentration of enzyme preparations was assessed using the Bradford method [14], with bovine serum albumin as the calibration standard.

2.9. Xylanase and Cellulase Activity Assays

Crude enzyme extracts were obtained by mixing 0.3 g of fermented material with 1 mL of 0.1 M citrate buffer (pH 5.3) in 2 mL microtubes. The suspensions were vortex-mixed for 1 h, centrifuged at 4500 rpm for 10 min, and the supernatants were recovered and used for enzymatic assays.
Activities of xylanase and cellulase were evaluated by quantifying reducing sugars (RS) generated from depolymerization of beechwood xylan and carboxymethyl cellulose (CMC), respectively, using the 3,5-dinitrosalicylic acid (DNS) procedure [15]. Xylose and glucose were employed as standards to construct calibration curves.
Each assay mixture was prepared with 20 µL of enzyme extract (appropriately diluted) and 180 µL of substrate solution (1% w/v beechwood xylan, Megazyme, or 1% w/v CMC, Sigma-Aldrich), both dissolved in 0.1 M citrate buffer (pH 5.3). The reactions were incubated at 50 °C for 10 min and then immediately chilled in an ice bath to halt enzymatic activity. Subsequently, 50 µL of 1.6 M NaOH and 250 µL of DNS reagent were added in sequence, with vortex mixing performed after each addition. The reaction mixtures were then heated in a boiling water bath for 5 min, cooled to room temperature, and diluted with 2 mL of distilled water. Absorbance was recorded at 540 nm using a spectrophotometer (DR/2010, HACH, Loveland, CO, USA). In all cases, a blank control prepared with distilled water instead of enzyme extract was analyzed under the same conditions. All determinations were carried out in three independent replicates.
One unit (U) of xylanase or cellulase activity was defined as the amount of enzyme required to release 1 µmol of reducing sugars (xylose or glucose equivalents, respectively) per minute under the assay conditions.

3. Results and Discussion

3.1. Isolation and Molecular Identification of Fungal Strains

The isolation of locally adapted fungal strains with high potential for xylanase and cellulase production is essential for improving enzyme titers and productivities on lignocellulosic substrates. Furthermore, newly explored fungal isolates may yield enzymes with distinctive properties of biotechnological relevance, such as novel substrate specificity, reduced product inhibition, or enhanced thermostability [16,17].
A total of 38 fungal strains were isolated from decaying water hyacinth (WH), comprising 35 mesophilic strains (isolated at 30 °C) and 3 thermophilic strains (isolated at 45 °C). All strains were screened for xylanase and cellulase production under solid-state fermentation (SSF) after 48 h. All isolates produced detectable enzyme activity, and two strains, designated B6 and M7, exhibited the highest levels and were selected for further studies.
Taxonomic identification of strains B6 and M7 was performed by sequencing the ITS region (ITS1-5.8S-ITS2 rDNA). The B6 sequence (516 bp) exhibited 100% identity with Aspergillus austwickii, while the M7 sequence (605 bp) showed 100% similarity with Trichoderma harzianum in the NCBI database. The sequences were deposited in GenBank under accession numbers PQ142799.1 (A. austwickii B6) and PQ007458.1 (T. harzianum M7).
Neighbor-joining phylogenetic trees were constructed for each strain, based on alignments with representative sequences of Aspergillus spp. (for A. austwickii B6, Figure 1a) and Trichoderma spp. (for T. harzianum M7, Figure 1b) retrieved from GenBank, using MEGA version 6.0.

3.2. Radial Growth Rate of A. austwickii B6 and T. harzianum M7

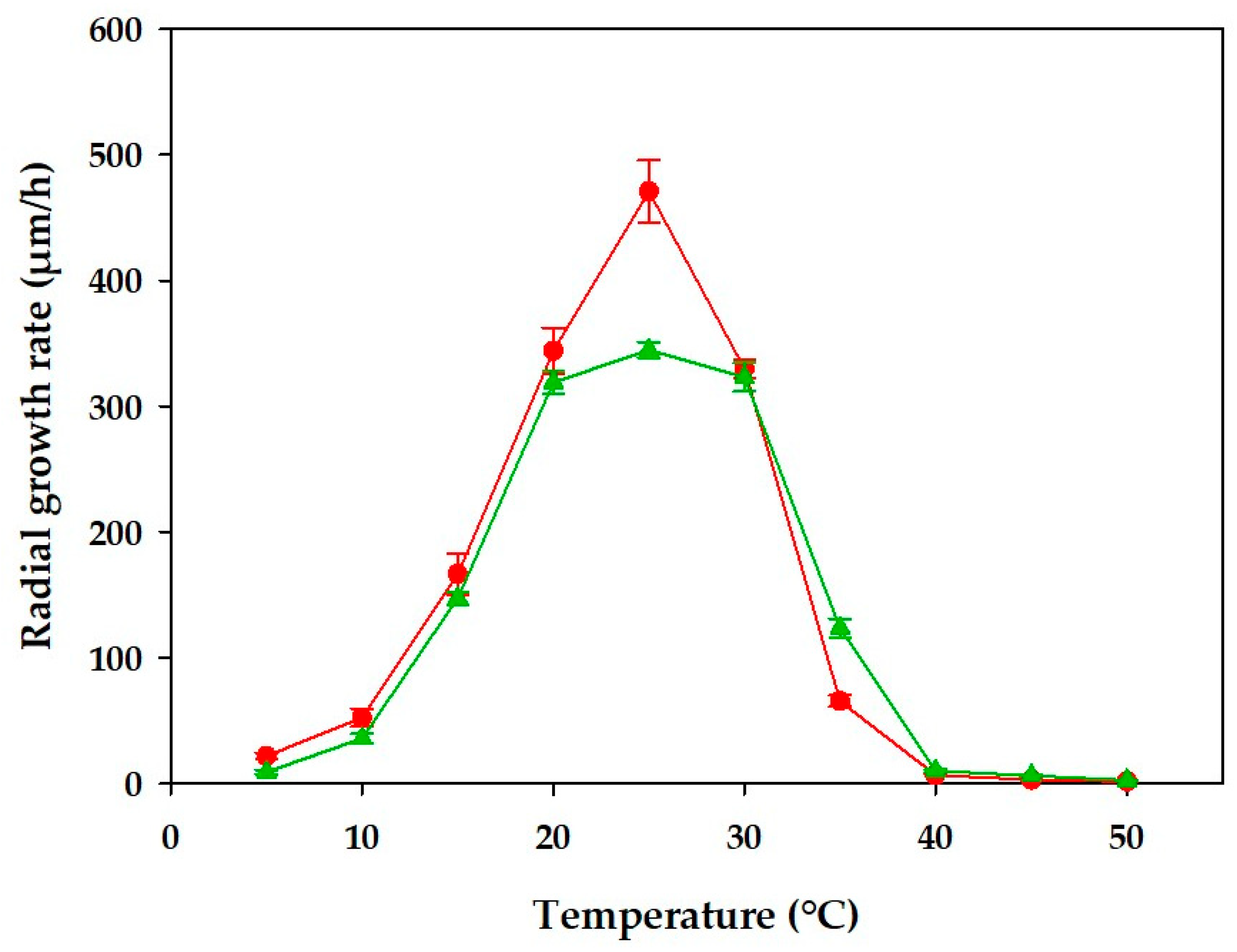
To assess the growth response of both fungal isolates to temperature, spores from each strain were inoculated at the center of PDA plates. The radial growth rate (hyphal extension) was monitored until the colonies reached the plate edges. Growth patterns at different temperatures revealed the mesophilic nature of A. austwickii B6 and T. harzianum M7, with maximal radial growth rates of 470.9 and 344.8 µm/h, respectively, at 25 °C (Figure 2).
In comparison, previous studies have reported maximal radial growth rates for T. harzianum of 887.5 and 952.5 µm/h (at 27 °C), and for Aspergillus niger of 1640 µm/h (at 27 °C) [18,19,20]. To our knowledge, no other studies have documented radial growth rates for A. austwickii. Differences between our results and those reported by other authors may be attributed to genetic variation among strains.

3.3. Effect of Culture Conditions on Xylanase and Cellulase Production by T. harzianum M7 and A. austwickii B6 Under Solid-State Fermentation

Different culture conditions were evaluated to improve xylanase and cellulase production by T. harzianum M7 and A. austwickii B6 under SSF. The factors studied included: (1) type of lignocellulosic support (water hyacinth, WH, or sugarcane bagasse, SCB), (2) pretreated or natural (non-pretreated) support, and (3) nitrogen source ((NH4)2SO4 or NaNO3) used in the culture medium. The combinations tested are listed in Table 1. It is worth noting that WH and SCB served as the main carbon sources, physical supports, and inducers of enzyme synthesis.
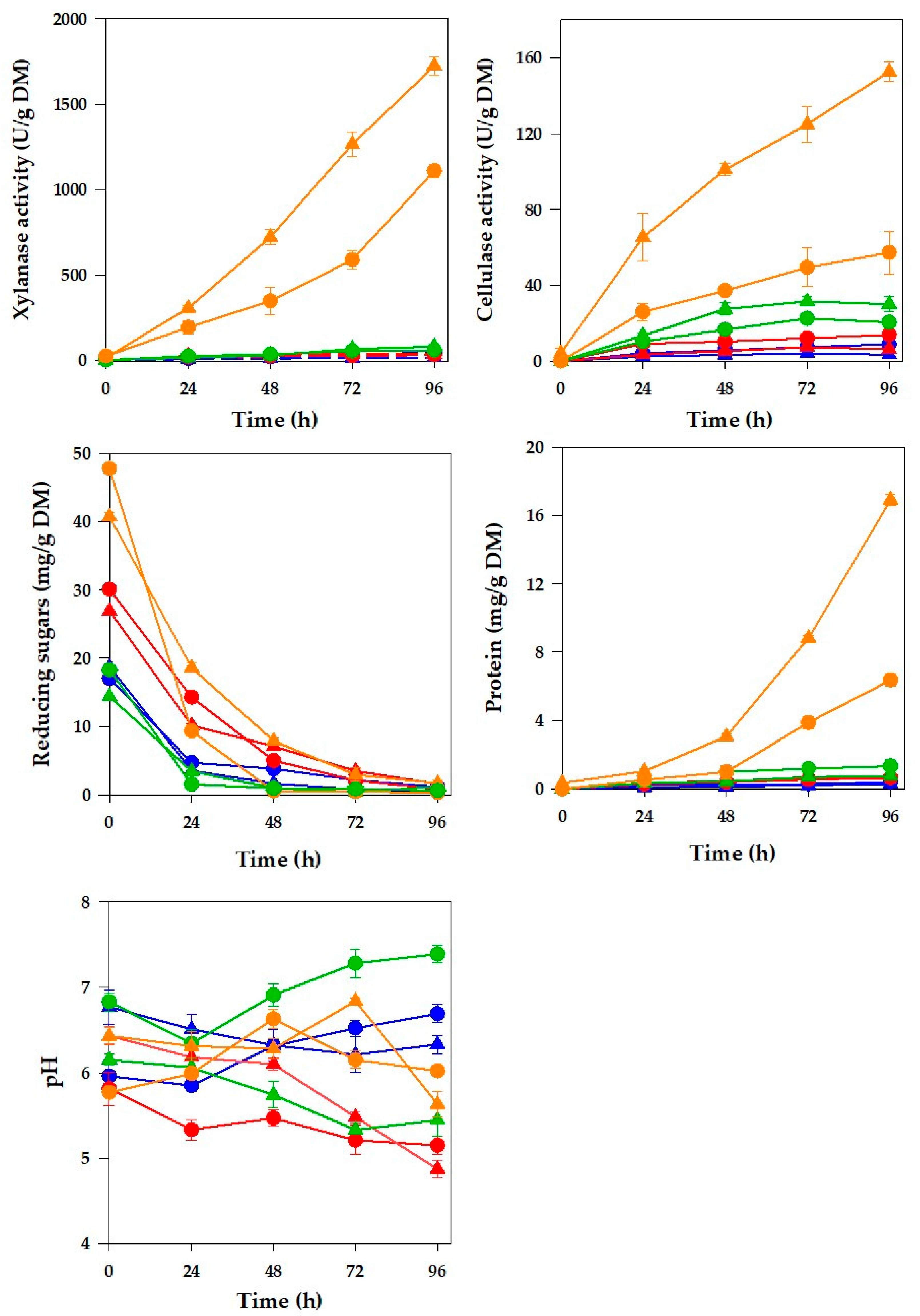
Xylanase and cellulase activities were simultaneously produced by both fungal strains under SSF (Figure 3 and Figure 4). T. harzianum M7 and A. austwickii B6 reached maximum xylanase titers of 1724 ± 53.5 and 727± 26.1 U/g dry matter (DM), respectively, and maximum cellulase titers of 152 ± 5.1 and 65 ± 6.2 U/g DM, respectively. These values were obtained using pretreated WH and (NH4)2SO4 as a nitrogen source, except for the maximum cellulase activity of A. austwickii B6, which was obtained with NaNO3 (Figure 3). These maximal enzyme productions occurred at 96 h for T. harzianum M7 and at 72 h for A. austwickii B6. It is important to note that WH consistently supported higher xylanase and cellulase productions than SCB, likely due to its lower lignin content and the presence of proteins, amino acids, and vitamins in its biomass [21].
The chemical–thermal pretreatment applied to WH biomass was another key factor in enhancing enzyme production under SFF. This pretreatment, adapted from Espinoza et al. [8], improved the accessibility and availability of lignocellulosic substrates, thereby stimulating fungal enzyme synthesis [8,22]. Indeed, pretreatment of WH biomass released reducing sugars (37 mg/g DM), including high concentrations of monosaccharides and oligosaccharides, which can act as carbon sources and inducers of lignocellulolytic enzymes in fungi [8,22]. Due to the more complex nature of SCB, chemical–thermal pretreatment released a slightly lower amount of reducing sugars (31 mg/g DM).
Notably, A. austwickii B6 also exhibited high enzyme production on non-pretreated supports (Figure 3). At 24 h, xylanase activities reached 594 U/g DM with WH + (NH4)2SO4 and 389 U/g DM with SCB + NaNO3. At 48 h, cellulase activity reached 59 U/g DM with SCB + NaNO3.
It is well established that NH4+ is the most readily assimilated nitrogen source by fungi, and it can even suppress the utilization of alternative nitrogen sources. However, its consumption frequently leads to acidification of the culture medium. In contrast, assimilation of NO3 generally results in medium alkalinization. It should be noted that, under SSF conditions, pH is difficult to control. One of the most common strategies is to select a nitrogen source that either acidifies or alkalinizes the system, depending on the metabolic activity of the microorganism and the fermentation process. The most favorable conditions for xylanase and cellulase production are slightly acidic to nearly neutral (pH 6–7) [8]. Cultures that exhibited pH profiles outside this optimal range produced only minimal xylanase and cellulase activities (Figure 3 and Figure 4).
At the onset of the fungal cultures with pretreated supports, reducing sugars (RS) were available because of the thermochemical pretreatment applied to the vegetal biomass. For fungal cultures with non-pretreated supports, 20 mg of glucose/g DM was added to the medium prior to impregnation onto the supports. Pretreatment released 31 mg RS/g DM from SCB and 37 mg RS/g DM from WH. During SSF, RS concentrations decreased rapidly to values close to zero, suggesting that the enzymatic hydrolysis of polysaccharides (cellulose and hemicellulose) in both pretreated and non-pretreated biomasses occurred at a slower rate than fungal consumption of RS (Figure 3 and Figure 4).
Extracellular protein concentration was also monitored as an indicator of fungal growth. Interestingly, protein production appeared to be correlated with enzyme production during cultivation (Figure 3 and Figure 4). This relationship suggests that extracellular protein concentration can serve as a reliable indirect marker of xylanase and cellulase production during SSF of A. austwickii B6 and T. harzianum M7.
By comparing our results with those reported in previous studies using lignocellulosic waste under SSF, it becomes evident that the xylanase and cellulase titers obtained in this work are among the highest reported. The maximum activities achieved with WH in this work (1724 U/g DM for xylanases and 152 U/g DM for cellulases) were substantially higher than those obtained with A. niger on WH (260 and 180 U/g DM, respectively) [23,24], although they remained lower than the exceptionally high values reported for P. crustosum on WH (4257.35 and 647.51 U/g DM, respectively) [8].
Regarding the use of SCB as the sole carbon source, Hassan, Keera and Fadel (2016) [25] reported 688.2 U/g DM of xylanase and 129.2 U/g DM of cellulase using pretreated SCB and optimized culture conditions with A. oryzae FK-923. In contrast, Rodríguez-Zúñiga et al. (2014) [26] reported considerably lower titers (26.1 and 14.9 U/g DM, respectively) with A. niger on pretreated SCB.
Higher enzyme yields have been reported when SCB is combined with other residues as co-substrates. For instance, a mixture of SCB (65%) and soybean meal (35%) supported the production of 3099 U/g DM of xylanase and 46 U/g DM of cellulase by A. niger [27], while a 50:50 mixture of SCB and wheat bran yielded 694 and 83.4 U/g DM, respectively, with Phomopsis stipata SC 04 [28].
Remarkably, other lignocellulosic residues have been successfully used as supports and substrates for SSF to produce xylanase and cellulase. For example, Paecilomyces themophila J18 produced 18,580 U/g of carbon source of xylanase from wheat straw, although no cellulase activity was detected [29]. Brewery spent grains yielded 1400 and 6.2 U/g DM of xylanase and cellulase, respectively, with A. niger, and 313 and 62 U/g DM, respectively, with A. ibericus [30,31]. Optimized culture conditions for A. niger on oil palm empty fruit bunches produced a xylanase activity of 3242 U/g DM [32].
Work is ongoing to use the endo-xylanase from T. harzianum M7 to produce xylo-oligosaccharides with prebiotic potential. In addition, purification and biochemical characterization of this enzyme have been completed. These results will be reported elsewhere.

4. Conclusions

In the present work, 38 fungal strains were isolated from decaying water hyacinth plants and screened for their ability to produce xylanases and cellulases. Two strains with the highest activities were selected and identified as Trichoderma harzianum M7 and Aspergillus austwickii B6. To enhance enzyme production under solid-state fermentation (SSF), eight culture conditions were evaluated by varying the following factors: (1) the lignocellulosic support-substrate (water hyacinth or sugarcane bagasse); (2) the application of chemical–thermal pretreatment to the lignocellulosic materials; and (3) the nitrogen source (NaNO3 or (NH4)2SO4).
The results confirmed the importance of pretreating lignocellulosic residues to enhance their effectiveness as supports, substrates, and inducers in SSF. Maximum enzyme activities were achieved using pretreated water hyacinth and ammonium sulfate as the nitrogen source, yielding 1724 U/g DM of xylanase and 152 U/g DM of cellulase with T. harzianum M7, and 752 U/g DM of xylanase and 65 U/g DM of cellulase with A. austwickii B6.
These findings highlight the potential of locally isolated fungi and readily available lignocellulosic residues as cost-effective resources for enzyme production. Furthermore, they lay the groundwork for future studies of fungal xylanases and encourage the valorization of agricultural and aquatic plant biomass within a circular economy framework.

Author Contributions

Conceptualization, C.S.-S. and J.C.; methodology, C.S.-S.; validation, C.S.-S.; formal analysis, C.S.-S. and N.D.O.-d.l.R.; investigation, C.S.-S., E.R.-B. and J.C.; resources, J.C.; data curation, C.S.-S.; writing—original draft preparation, C.S.-S., E.R.-B. and M.A.C.-R.; writing—review and editing, E.R.-B., N.D.O.-d.l.R., M.A.C.-R. and J.C.; visualization, C.S.-S., E.R.-B. and M.A.C.-R.; supervision, J.C.; project administration, J.C. All authors have read and agreed to the published version of the manuscript.

Funding

This research received no external funding.

Institutional Review Board Statement

Not applicable.

Informed Consent Statement

Not applicable.

Data Availability Statement

The data presented in this study are available upon request from the corresponding author. The data are not publicly available due to the large amount of information that needed to be synthesized to be presented in this paper.

Conflicts of Interest

The authors declare no conflicts of interest.

References

  1. Reena, R.; Alphy, M.P.; Reshmy, R.; Thomas, D.; Madhavan, A.; Chaturvedi, P.; Pugazhendhi, A.; Awasthi, M.K.; Ruiz, H.; Kumar, V.; et al. Sustainable Valorization of Sugarcane Residues: Efficient Deconstruction Strategies for Fuels and Chemicals Production. Bioresour. Technol. 2022, 361, 127759. [Google Scholar] [CrossRef]
  2. Wu, X.X.; Zhang, Z.Y.; Jin, Y.G. Physiological Mechanism of Eichhornia crassipes in Inhibiting the Growth of Microcytisaeruginosa. Russ. J. Plant Physiol. 2019, 66, 433–439. [Google Scholar] [CrossRef]
  3. Nompumelelo, S.; Oziniel, R.; Cuthbert, J.Z.; Arnold, B.M.; Chrispen, M. Exploring for the Possibility of Utilizing Pleurotus ostreatus to Manage Eichhornia crassipes in Zimbabwe. J. Yeast Fungal Res. 2019, 10, 1–14. [Google Scholar] [CrossRef]
  4. Díez, D.; Urueña, A.; Piñero, R.; Barrio, A.; Tamminen, T. Determination of Hemicellulose, Cellulose, and Lignin Content in Different Types of Biomasses by Thermogravimetric Analysis and Pseudocomponent Kinetic Model (TGA-PKM Method). Processes 2020, 8, 1048. [Google Scholar] [CrossRef]
  5. Abu Yazid, N.; Barrena, R.; Komilis, D.; Sánchez, A. Solid-State Fermentation as a Novel Paradigm for Organic Waste Valorization: A Review. Sustainability 2017, 9, 224. [Google Scholar] [CrossRef]
  6. Soccol, C.R.; Costa, E.S.F.D.; Letti, L.A.J.; Karp, S.G.; Woiciechowski, A.L.; Vandenberghe, L.P.D.S. Recent Developments and Innovations in Solid State Fermentation. Biotechnol. Res. Innov. 2017, 1, 52–71. [Google Scholar] [CrossRef]
  7. Abdul Manan, M.; Webb, C. Modern Microbial Solid State Fermentation Technology for Future Biorefineries for the Production of Added-Value Products. Biofuel Res. J. 2017, 4, 730–740. [Google Scholar] [CrossRef]
  8. Espinoza-Abundis, C.; Soltero-Sánchez, C.; Romero-Borbón, E.; Córdova, J. Cellulase and Xylanase Production by a Newly Isolated Penicillium crustosum Strain under Solid-State Fermentation, Using Water Hyacinth Biomass as Support, Substrate, and Inducer. Fermentation 2023, 9, 660. [Google Scholar] [CrossRef]
  9. Acheampong, N.A.; Akanwariwiak, W.G.; Mensah, M.; Fei-Baffoe, B.; Offei, F.; Bentil, J.A.; Borquaye, L.S. Optimization of Hydrolases Production from Cassava Peels by Trametes polyzona BKW001. Sci. Afr. 2021, 12, e00835. [Google Scholar] [CrossRef]
  10. Bhardwaj, N.; Kumar, B.; Verma, P. A Detailed Overview of Xylanases: An Emerging Biomolecule for Current and Future Prospective. Bioresour. Bioprocess. 2019, 6, 40. [Google Scholar] [CrossRef]
  11. Nordberg Karlsson, E.; Schmitz, E.; Linares-Pastén, J.A.; Adlercreutz, P. Endo-Xylanases as Tools for Production of Substituted Xylooligosaccharides with Prebiotic Properties. Appl. Microbiol. Biotechnol. 2018, 102, 9081–9088. [Google Scholar] [CrossRef]
  12. Linares-Pasten, J.A.; Aronsson, A.; Karlsson, E.N. Structural Considerations on the Use of Endo-Xylanases for the Production of Prebiotic Xylooligosaccharides from Biomass. CPPS Curr. Protein Pept. Sci. 2017, 19, 48–67. [Google Scholar] [CrossRef]
  13. White, T.J.; Bruns, T.; Lee, S.; Taylor, J. Amplification and Direct Sequencing of Fungal Ribosomal RNA Genes for Phylogenetics. In PCR Protocols; Academic Press: New York, NY, USA, 1990; pp. 315–322. ISBN 978-0-12-372180-8. [Google Scholar] [CrossRef]
  14. Bradford, M.M. A Rapid and Sensitive Method for the Quantitation of Microgram Quantities of Protein Utilizing the Principle of Protein-Dye Binding. Anal. Biochem. 1976, 72, 248–254. [Google Scholar] [CrossRef] [PubMed]
  15. Miller, G.L. Use of Dinitrosalicylic Acid Reagent for Determination of Reducing Sugar. Anal. Chem. 1959, 31, 426–428. [Google Scholar] [CrossRef]
  16. Ravichandra, K.; Yaswanth, V.V.N.; Nikhila, B.; Ahmad, J.; Srinivasa Rao, P.; Uma, A.; Ravindrababu, V.; Prakasham, R.S. Xylanase Production by Isolated Fungal Strain, Aspergillus fumigatus RSP-8 (MTCC 12039): Impact of Agro-Industrial Material as Substrate. Sugar Tech 2016, 18, 29–38. [Google Scholar] [CrossRef]
  17. Yadav, P.; Maharjan, J.; Korpole, S.; Prasad, G.S.; Sahni, G.; Bhattarai, T.; Sreerama, L. Production, Purification, and Characterization of Thermostable Alkaline Xylanase From Anoxybacillus kamchatkensis NASTPD13. Front. Bioeng. Biotechnol. 2018, 6, 65. [Google Scholar] [CrossRef]
  18. Sinha, A.; Singh, R.; Rao, S.G.; Verma, A. Comprehensive Evaluation of Trichoderma harzianum and Trichoderma viride on Different Culture Media & at Different Temperature and pH. Pharma Innov. J. 2018, 7, 193–195. [Google Scholar]
  19. Jahan, N.; Sultana, S.; Adhikary, S.K. Sanzida Rahman Evaluation Of The Growth Performance Of Trichoderma harzianum (Rifai.) On Different Culture Media. IOSR-JAVS 2013, 3, 44–50. [Google Scholar] [CrossRef]
  20. Rabab, A.M.; Asmaa, S.T.; Asmaa, H.M.; Shereen, A.S. Adaptability Assessment of Aspergillus niger and Aspergillus terreus Isolated from Long-Term Municipal/Industrial Effluent-Irrigated Soils to Cadmium Stress. BMC Microbiol. 2025, 25, 297. [Google Scholar] [CrossRef]
  21. Belete, K.; Getu, E.; Mekonnen, A. Investigation on Suitability and Safeness of Water Hyacinth for Animal Feed, from Lake Ziway. SEJS 2022, 45, 283–295. [Google Scholar] [CrossRef]
  22. Romero-Borbón, E.; Oropeza-González, A.E.; González-García, Y.; Córdova, J. Thermochemical and Enzymatic Saccharification of Water Hyacinth Biomass into Fermentable Sugars. Processes 2022, 10, 210. [Google Scholar] [CrossRef]
  23. Arana-Cuenca, A.; Tovar-Jiménez, X.; Favela-Torres, E.; Perraud-Gaime, I.; González-Becerra, A.E.; Martínez, A.; Moss-Acosta, C.L.; Mercado-Flores, Y.; Téllez-Jurado, A. Use of Water Hyacinth as a Substrate for the Production of Filamentous Fungal Hydrolytic Enzymes in Solid-State Fermentation. 3 Biotech 2019, 9, 21. [Google Scholar] [CrossRef]
  24. Singh, A.; Bishnoi, N.R. Comparative Study of Various Pretreatment Techniques for Ethanol Production from Water Hyacinth. Ind. Crops Prod. 2013, 44, 283–289. [Google Scholar] [CrossRef]
  25. Hassan, H.M.; Keera, A.A.; Fadel, M. High-Yield Cellulases and Xylanase Production from Sugar-Cane Bagasse Pith by Aspergillus oryzae FK-923 Cultivated under Solid State Fermentation. Int. J. Curr. Res. Acad. Rev. 2016, 4, 1–13. [Google Scholar] [CrossRef]
  26. Rodríguez-Zúñiga, U.F.; Neto, V.B.; Couri, S.; Crestana, S.; Farinas, C.S. Use of Spectroscopic and Imaging Techniques to Evaluate Pretreated Sugarcane Bagasse as a Substrate for Cellulase Production Under Solid-State Fermentation. Appl. Biochem. Biotechnol. 2014, 172, 2348–2362. [Google Scholar] [CrossRef] [PubMed]
  27. Maciel, G.M.; Haminiuk, I.; Fendrich, R.C.; Bianca, B.E.D. Xylanase Production by Aspergillus niger LPB 326 in Solid-State Fermentation Using Statistical Experimental Designs. Food Technol. Biotechnol. 2008, 46, 183–189. [Google Scholar]
  28. Marques, N.P.; De Cassia Pereira, J.; Gomes, E.; Da Silva, R.; Araújo, A.R.; Ferreira, H.; Rodrigues, A.; Dussán, K.J.; Bocchini, D.A. Cellulases and Xylanases Production by Endophytic Fungi by Solid State Fermentation Using Lignocellulosic Substrates and Enzymatic Saccharification of Pretreated Sugarcane Bagasse. Ind. Crops Prod. 2018, 122, 66–75. [Google Scholar] [CrossRef]
  29. Yang, S.Q.; Yan, Q.J.; Jiang, Z.Q.; Li, L.T.; Tian, H.M.; Wang, Y.Z. High-Level of Xylanase Production by the Thermophilic Paecilomyces themophila J18 on Wheat Straw in Solid-State Fermentation. Bioresour. Technol. 2006, 97, 1794–1800. [Google Scholar] [CrossRef] [PubMed]
  30. Moran-Aguilar, M.G.; Costa-Trigo, I.; Calderón-Santoyo, M.; Domínguez, J.M.; Aguilar-Uscanga, M.G. Production of Cellulases and Xylanases in Solid-State Fermentation by Different Strains of Aspergillus niger Using Sugarcane Bagasse and Brewery Spent Grain. Biochem. Eng. J. 2021, 172, 108060. [Google Scholar] [CrossRef]
  31. Leite, P.; Silva, C.; Salgado, J.M.; Belo, I. Simultaneous Production of Lignocellulolytic Enzymes and Extraction of Antioxidant Compounds by Solid-State Fermentation of Agro-Industrial Wastes. Ind. Crops Prod. 2019, 137, 315–322. [Google Scholar] [CrossRef]
  32. Ajijolakewu, A.K.; Leh, C.P.; Wan Abdullah, W.N.; Lee, C.K. Optimization of Production Conditions for Xylanase Production by Newly Isolated Strain Aspergillus niger through Solid State Fermentation of Oil Palm Empty Fruit Bunches. Biocatal. Agric. Biotechnol. 2017, 11, 239–247. [Google Scholar] [CrossRef]
Figure 1. Neighbor-joining phylogenetic trees (a) Aspergillus austwickii B6 and (b) Trichoderma harzianum M7, based on ITS1-5.8S-ITS2 rDNA sequences. Reference sequences (scientific name followed by GenBank accession number) were obtained from the NCBI GenBank database. Saccharomyces cerevisiae and Aspergillus niger were used as outgroups for A. austwickii and T. harzianum, respectively. The scale bar represents 0.01 substitutions per nucleotide position. Bootstrap values are based on 500 replicates.
Figure 1. Neighbor-joining phylogenetic trees (a) Aspergillus austwickii B6 and (b) Trichoderma harzianum M7, based on ITS1-5.8S-ITS2 rDNA sequences. Reference sequences (scientific name followed by GenBank accession number) were obtained from the NCBI GenBank database. Saccharomyces cerevisiae and Aspergillus niger were used as outgroups for A. austwickii and T. harzianum, respectively. The scale bar represents 0.01 substitutions per nucleotide position. Bootstrap values are based on 500 replicates.
Fermentation 11 00578 g001
Figure 2. Radial growth rates of Trichoderma harzianum M7 (Fermentation 11 00578 i001) and Aspergillus austwickii B6 (Fermentation 11 00578 i002) grown on PDA. Data represent the mean and standard deviation of three independent experiments.
Figure 2. Radial growth rates of Trichoderma harzianum M7 (Fermentation 11 00578 i001) and Aspergillus austwickii B6 (Fermentation 11 00578 i002) grown on PDA. Data represent the mean and standard deviation of three independent experiments.
Fermentation 11 00578 g002
Figure 3. Kinetics of xylanase and cellulase production by Aspergillus austwickii B6 under different solid-state fermentation conditions. Eight culture conditions were tested: (1) non-pretreated SCB + NaNO3 (Fermentation 11 00578 i003), (2) non-pretreated SCB + (NH4)2SO4 (Fermentation 11 00578 i004), (3) pretreated SCB + NaNO3 (Fermentation 11 00578 i005), (4) pretreated SCB + (NH4)2SO4 (Fermentation 11 00578 i006), (5) non-pretreated WH + NaNO3 (Fermentation 11 00578 i007), (6) non-pretreated WH + (NH4)2SO4 (Fermentation 11 00578 i008), (7) pretreated WH + NaNO3 (Fermentation 11 00578 i009), and (8) pretreated WH + (NH4)2SO4 (Fermentation 11 00578 i010). Error bars represent the standard deviation (n = 3) but are not shown when smaller than the symbols.
Figure 3. Kinetics of xylanase and cellulase production by Aspergillus austwickii B6 under different solid-state fermentation conditions. Eight culture conditions were tested: (1) non-pretreated SCB + NaNO3 (Fermentation 11 00578 i003), (2) non-pretreated SCB + (NH4)2SO4 (Fermentation 11 00578 i004), (3) pretreated SCB + NaNO3 (Fermentation 11 00578 i005), (4) pretreated SCB + (NH4)2SO4 (Fermentation 11 00578 i006), (5) non-pretreated WH + NaNO3 (Fermentation 11 00578 i007), (6) non-pretreated WH + (NH4)2SO4 (Fermentation 11 00578 i008), (7) pretreated WH + NaNO3 (Fermentation 11 00578 i009), and (8) pretreated WH + (NH4)2SO4 (Fermentation 11 00578 i010). Error bars represent the standard deviation (n = 3) but are not shown when smaller than the symbols.
Fermentation 11 00578 g003
Figure 4. Kinetics of xylanase and cellulase production by Trichoderma harzianum M7 under different solid-state fermentation conditions. Eight culture conditions were tested: (1) non-pretreated SCB + NaNO3 (Fermentation 11 00578 i011), (2) non-pretreated SCB + (NH4)2SO4 (Fermentation 11 00578 i012), (3) pretreated SCB + NaNO3 (Fermentation 11 00578 i013), (4) pretreated SCB + (NH4)2SO4 (Fermentation 11 00578 i014), (5) non-pretreated WH + NaNO3 (Fermentation 11 00578 i015), (6) non-pretreated WH + (NH4)2SO4 (Fermentation 11 00578 i016), (7) pretreated WH + NaNO3 (Fermentation 11 00578 i017), and (8) pretreated WH + (NH4)2SO4 (Fermentation 11 00578 i018). Error bars represent the standard deviation (n = 3) but are not shown when smaller than the symbols.
Figure 4. Kinetics of xylanase and cellulase production by Trichoderma harzianum M7 under different solid-state fermentation conditions. Eight culture conditions were tested: (1) non-pretreated SCB + NaNO3 (Fermentation 11 00578 i011), (2) non-pretreated SCB + (NH4)2SO4 (Fermentation 11 00578 i012), (3) pretreated SCB + NaNO3 (Fermentation 11 00578 i013), (4) pretreated SCB + (NH4)2SO4 (Fermentation 11 00578 i014), (5) non-pretreated WH + NaNO3 (Fermentation 11 00578 i015), (6) non-pretreated WH + (NH4)2SO4 (Fermentation 11 00578 i016), (7) pretreated WH + NaNO3 (Fermentation 11 00578 i017), and (8) pretreated WH + (NH4)2SO4 (Fermentation 11 00578 i018). Error bars represent the standard deviation (n = 3) but are not shown when smaller than the symbols.
Fermentation 11 00578 g004
Table 1. Culture media used for xylanase and cellulase production under solid-state fermentation.
Table 1. Culture media used for xylanase and cellulase production under solid-state fermentation.
CombinationSupport and SubstrateThermal–Acid PretreatmentNitrogen Source
1SCBNoNaNO3
2SCBNo(NH4)2SO4
3SCBYesNaNO3
4SCBYes(NH4)2SO4
5WHNoNaNO3
6WHNo(NH4)2SO4
7WHYesNaNO3
8WHYes(NH4)2SO4
Disclaimer/Publisher’s Note: The statements, opinions and data contained in all publications are solely those of the individual author(s) and contributor(s) and not of MDPI and/or the editor(s). MDPI and/or the editor(s) disclaim responsibility for any injury to people or property resulting from any ideas, methods, instructions or products referred to in the content.

Share and Cite

MDPI and ACS Style

Soltero-Sánchez, C.; Romero-Borbón, E.; Ortega-de la Rosa, N.D.; Camacho-Ruiz, M.A.; Córdova, J. Enhancing Xylanase and Cellulase Production by Two Locally Isolated Fungal Strains Under Solid-State Fermentation of Water Hyacinth and Sugarcane Bagasse. Fermentation 2025, 11, 578. https://doi.org/10.3390/fermentation11100578

AMA Style

Soltero-Sánchez C, Romero-Borbón E, Ortega-de la Rosa ND, Camacho-Ruiz MA, Córdova J. Enhancing Xylanase and Cellulase Production by Two Locally Isolated Fungal Strains Under Solid-State Fermentation of Water Hyacinth and Sugarcane Bagasse. Fermentation. 2025; 11(10):578. https://doi.org/10.3390/fermentation11100578

Chicago/Turabian Style

Soltero-Sánchez, Carlos, Evelyn Romero-Borbón, Nestor David Ortega-de la Rosa, María Angeles Camacho-Ruiz, and Jesús Córdova. 2025. "Enhancing Xylanase and Cellulase Production by Two Locally Isolated Fungal Strains Under Solid-State Fermentation of Water Hyacinth and Sugarcane Bagasse" Fermentation 11, no. 10: 578. https://doi.org/10.3390/fermentation11100578

APA Style

Soltero-Sánchez, C., Romero-Borbón, E., Ortega-de la Rosa, N. D., Camacho-Ruiz, M. A., & Córdova, J. (2025). Enhancing Xylanase and Cellulase Production by Two Locally Isolated Fungal Strains Under Solid-State Fermentation of Water Hyacinth and Sugarcane Bagasse. Fermentation, 11(10), 578. https://doi.org/10.3390/fermentation11100578

Note that from the first issue of 2016, this journal uses article numbers instead of page numbers. See further details here.

Article Metrics

Back to TopTop