Synthesis of Graphene Quantum Dots Coupled to Au Nanoparticles: A Facile and Versatile Route Using Different Carbon Sources
Abstract
1. Introduction
2. Materials and Methods
2.1. Sample Preparation
2.2. Characterization
3. Results
3.1. Chemical and Structural Characterization of N-GQD
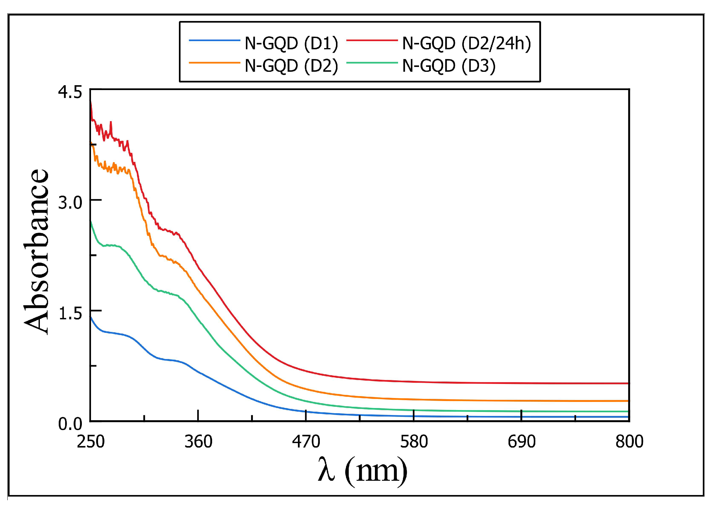
3.2. Optical Properties of N-GQD
3.3. Chemical and Structural Characterization of N-GQD@AuNP
4. Conclusions
Author Contributions
Funding
Data Availability Statement
Conflicts of Interest
Abbreviations
| AuNP | Gold NanoParticles |
| GQD | Graphene Quantum Dots |
| N-GQD | Nitrogen-Graphene Quantum Dots |
| N-GQD@AuNP | Nitrogen-Graphene Quantum Dots coupled to Gold NanoParticles |
| FE-SEM | Field Emission-Scanning Electron Microscopy |
| TEM | Transmition Electron Microscopy |
| UV-Vis | Ultra-Violet spectroscopy |
| FT-IR | Fourier transform infrared |
| PL | photoluminisence |
| MWCNT-OH | Multi-Walled Carbon NanoTubes OH terminations |
References
- Frank, J.; Owens, C.P.P. Introduction to Nanotechnology; Wiley: Hoboken, NJ, USA, 2003. [Google Scholar]
- Geim, A.K. Graphene: Status and Prospects. Science 2009, 324, 1530–1534. [Google Scholar] [CrossRef] [PubMed]
- Sun, X.; Liu, Z.; Welsher, K.; Robinson, J.T.; Goodwin, A.; Zaric, S.; Dai, H. Nano-graphene oxide for cellular imaging and drug delivery. Nano Res. 2008, 1, 203–212. [Google Scholar] [CrossRef] [PubMed]
- Jariwala, D.; Sangwan, V.K.; Lauhon, L.J.; Marks, T.J.; Hersam, M.C. Carbon nanomaterials for electronics, optoelectronics, photovoltaics, and sensing. Chem. Soc. Rev. 2013, 42, 2824–2860. [Google Scholar] [CrossRef] [PubMed]
- Chen, W.; Lv, G.; Hu, W.; Li, D.; Chen, S.; Dai, Z. Synthesis and applications of graphene quantum dots: A review. Nanotechnol. Rev. 2018, 7, 157–185. [Google Scholar] [CrossRef]
- Aparicio, J.A.C.; Ponce, H.; Rudamas, C. Interlayer transition in graphene carbon quantum dots. MRS Adv. 2020, 5, 3345–3352. [Google Scholar] [CrossRef]
- Tabish, T.A.; Scotton, C.J.; Ferguson, D.C.J.; Lin, L.; van der Veen, A.; Lowry, S.; Ali, M.; Jabeen, F.; Ali, M.; Winyard, P.G.; et al. Biocompatibility and toxicity of graphene quantum dots for potential application in photodynamic therapy. Nanomedicine 2018, 13, 1923–1937. [Google Scholar] [CrossRef] [PubMed]
- Campuzano, S.; Yáñez-Sedeño, P.; Pingarrón, J.M. Carbon Dots and Graphene Quantum Dots in Electrochemical Biosensing. Nanomaterials 2019, 9, 634. [Google Scholar] [CrossRef] [PubMed]
- Das, S.K.; Luk, C.M.; Martin, W.E.; Tang, L.; Kim, D.Y.; Lau, S.P.; Richards, C.I. Size and Dopant Dependent Single Particle Fluorescence Properties of Graphene Quantum Dots. J. Phys. Chem. 2015, 119, 17988–17994. [Google Scholar] [CrossRef]
- Zheng, P.; Wu, N. Fluorescence and Sensing Applications of Graphene Oxide and Graphene Quantum Dots: A Review. Chem.–Asian J. 2017, 12, 2343–2353. [Google Scholar] [CrossRef] [PubMed]
- Ju, J.; Chen, W. In Situ Growth of Surfactant-Free Gold Nanoparticles on Nitrogen-Doped Graphene Quantum Dots for Electrochemical Detection of Hydrogen Peroxide in Biological Environments. Anal. Chem. 2015, 87, 1903–1910. [Google Scholar] [CrossRef] [PubMed]
- Hai, X.; Lin, X.; Chen, X.; Wang, J. Highly selective and sensitive detection of cysteine with a graphene quantum dots-gold nanoparticles based core-shell nanosensor. Sens. Actuators B Chem. 2018, 257, 228–236. [Google Scholar] [CrossRef]
- Zhang, Y.; Chu, W.; Foroushani, A.; Wang, H.; Li, D.; Liu, J.; Barrow, C.; Wang, X.; Yang, W. New Gold Nanostructures for Sensor Applications: A Review. Materials 2014, 7, 5169–5201. [Google Scholar] [CrossRef] [PubMed]
- Wilson, R. The use of gold nanoparticles in diagnostics and detection. Chem. Soc. Rev. 2008, 37, 2028. [Google Scholar] [CrossRef] [PubMed]
- Lu, F.; Zhou, Y.H.; Wu, L.H.; Qian, J.; Cao, S.; Deng, Y.F.; Chen, Y. Highly Fluorescent Nitrogen-Doped Graphene Quantum Dots Synthesis and Their Applications as Fe(III) Ions Sensor. Int. J. Opt. 2019, 2019, 8724320. [Google Scholar] [CrossRef]
- Lu, Q.; Wu, C.; Liu, D.; Wang, H.; Su, W.; Li, H.; Zhang, Y.; Yao, S. A facile and simple method for synthesis of graphene oxide quantum dots from black carbon. Green Chem. 2017, 19, 900–904. [Google Scholar] [CrossRef]
- Saito, Y.; Ashizawa, M.; Matsumoto, H. Mesoporous Hydrated Graphene Nanoribbon Electrodes for Efficient Supercapacitors: Effect of Nanoribbon Dispersion on Pore Structure. Bull. Chem. Soc. Jpn. 2020, 93, 1268–1274. [Google Scholar] [CrossRef]
- Su, J.; Zhang, X.; Tong, X.; Wang, X.; Yang, P.; Yao, F.; Guo, R.; Yuan, C. Preparation of graphene quantum dots with high quantum yield by a facile one-step method and applications for cell imaging. Mater. Lett. 2020, 271, 127806. [Google Scholar] [CrossRef]
- Sands, D.E. Introduction to Crystallography; Guilford Publications: New York, NY, USA, 2012. [Google Scholar]
- Gray, D.; McCaughan, A.; Mookerji, B. Crystal structure of graphite, graphene and silicon. Phys. Solid State Appl. 2009, 6, 730. [Google Scholar]
- Bruice, P.Y. Essential Organic Chemistry; Pearson Education: Upper Saddle River, NJ, USA, 2006. [Google Scholar]
- Kairi, M.I.; Dayou, S.; Kairi, N.I.; Bakar, S.A.; Vigolo, B.; Mohamed, A.R. Toward high production of graphene flakes—A review on recent developments in their synthesis methods and scalability. J. Mater. Chem. A 2018, 6, 15010–15026. [Google Scholar] [CrossRef]
- Kauling, A.P.; Seefeldt, A.T.; Pisoni, D.P.; Pradeep, R.C.; Bentini, R.; Oliveira, R.V.B.; Novoselov, K.S.; Neto, A.H.C. The Worldwide Graphene Flake Production. Adv. Mater. 2018, 30, 1803784. [Google Scholar] [CrossRef] [PubMed]










| Carbon Source | Quantity | Label |
|---|---|---|
| Black carbon | 0.0367 g | D1 |
| MWCNT-OH | 0.0328 g | D2 |
| Graphene | 0.0305 g | D3 |
Disclaimer/Publisher’s Note: The statements, opinions and data contained in all publications are solely those of the individual author(s) and contributor(s) and not of MDPI and/or the editor(s). MDPI and/or the editor(s) disclaim responsibility for any injury to people or property resulting from any ideas, methods, instructions or products referred to in the content. |
© 2023 by the authors. Licensee MDPI, Basel, Switzerland. This article is an open access article distributed under the terms and conditions of the Creative Commons Attribution (CC BY) license (https://creativecommons.org/licenses/by/4.0/).
Share and Cite
Ibarra, D.; Kharissova, O.; Gomez, I. Synthesis of Graphene Quantum Dots Coupled to Au Nanoparticles: A Facile and Versatile Route Using Different Carbon Sources. C 2023, 9, 45. https://doi.org/10.3390/c9020045
Ibarra D, Kharissova O, Gomez I. Synthesis of Graphene Quantum Dots Coupled to Au Nanoparticles: A Facile and Versatile Route Using Different Carbon Sources. C. 2023; 9(2):45. https://doi.org/10.3390/c9020045
Chicago/Turabian StyleIbarra, David, Oxana Kharissova, and Idalia Gomez. 2023. "Synthesis of Graphene Quantum Dots Coupled to Au Nanoparticles: A Facile and Versatile Route Using Different Carbon Sources" C 9, no. 2: 45. https://doi.org/10.3390/c9020045
APA StyleIbarra, D., Kharissova, O., & Gomez, I. (2023). Synthesis of Graphene Quantum Dots Coupled to Au Nanoparticles: A Facile and Versatile Route Using Different Carbon Sources. C, 9(2), 45. https://doi.org/10.3390/c9020045

