Magnetic Field-Controlled Electrical Conductivity in AA Bilayer Graphene
Abstract
1. Introduction
2. Generalization of Hubbard Model for AA Bilayer Graphene
3. The Green-Kubo Formalism and Electrical Conductivity in AA Bilayer Graphene
3.1. The Electric Current Operator beyond Dirac Approximation
3.2. The Polarization Function and Electrical Conductivity
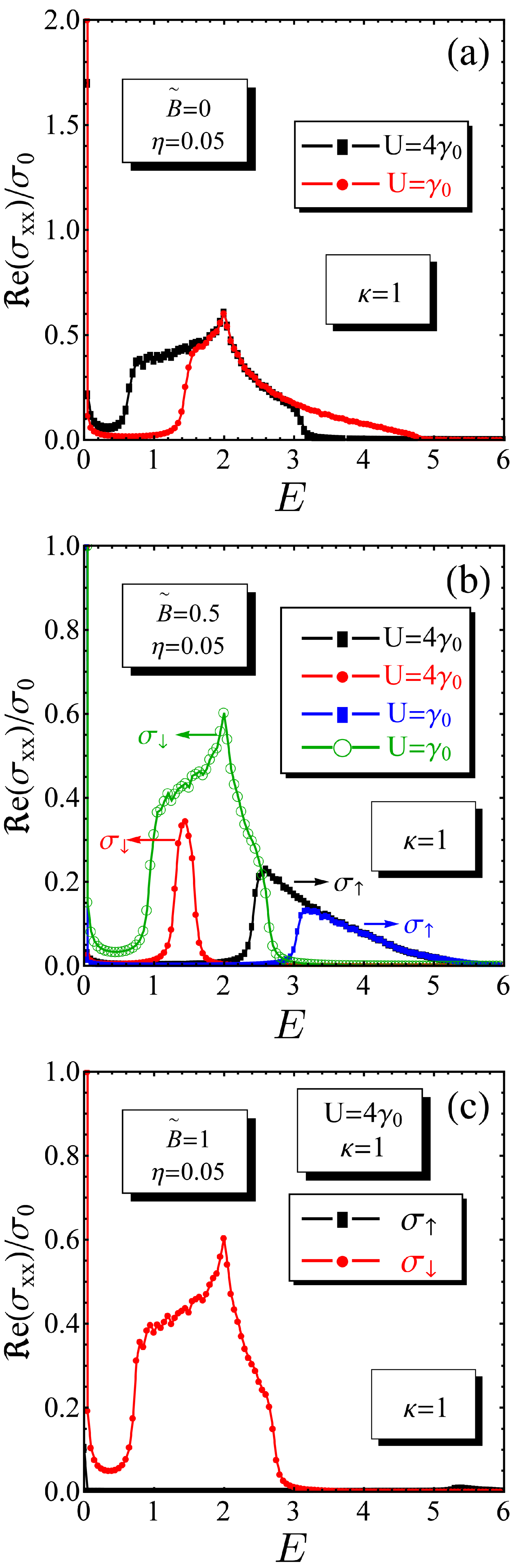
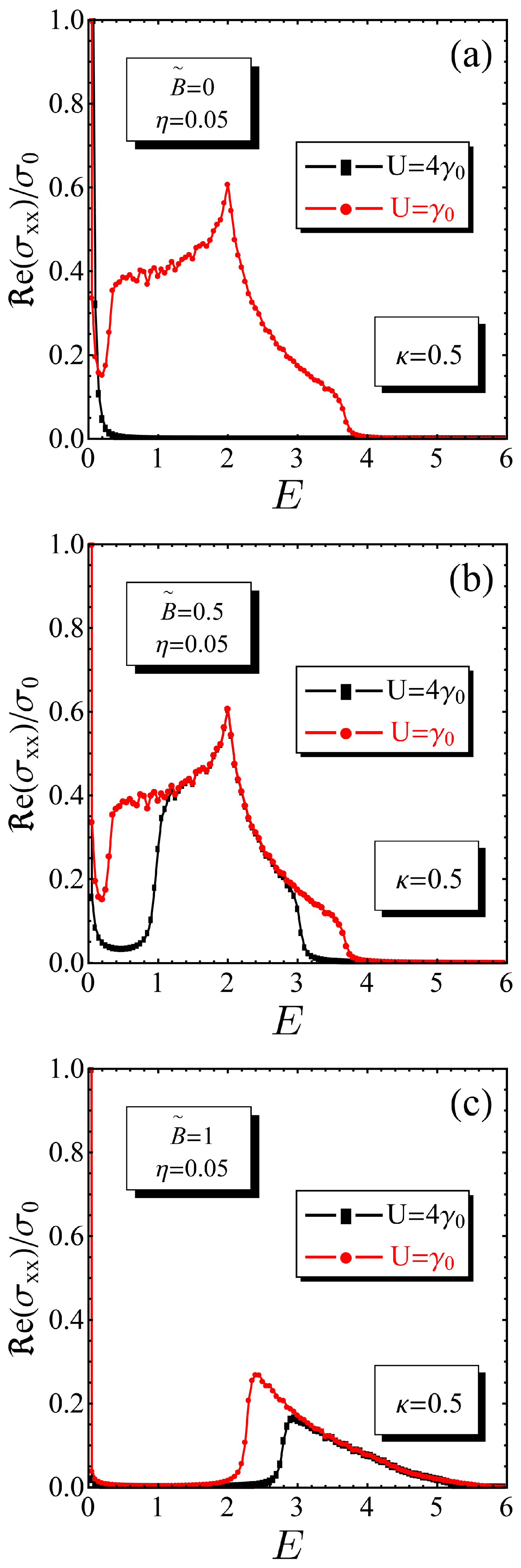
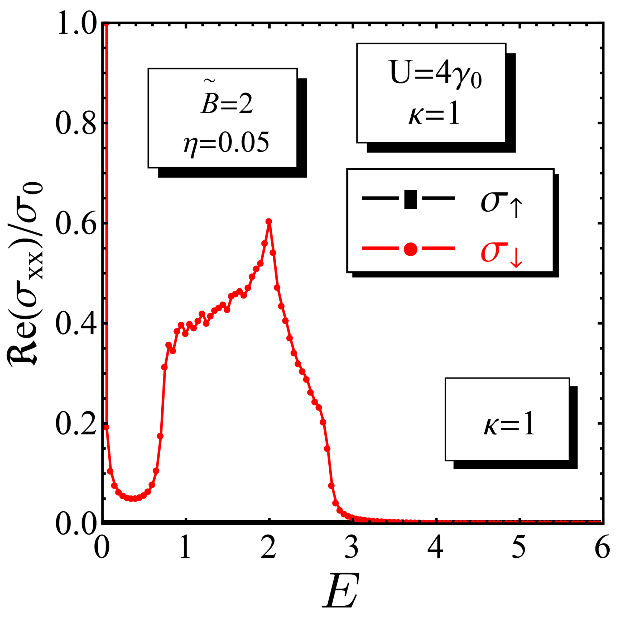
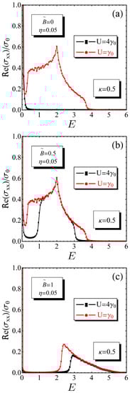
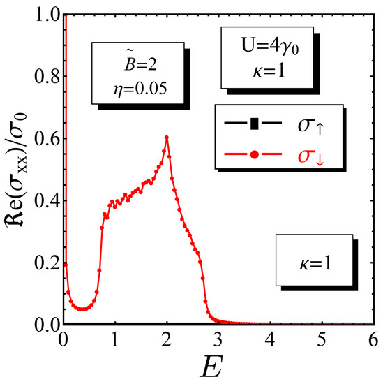
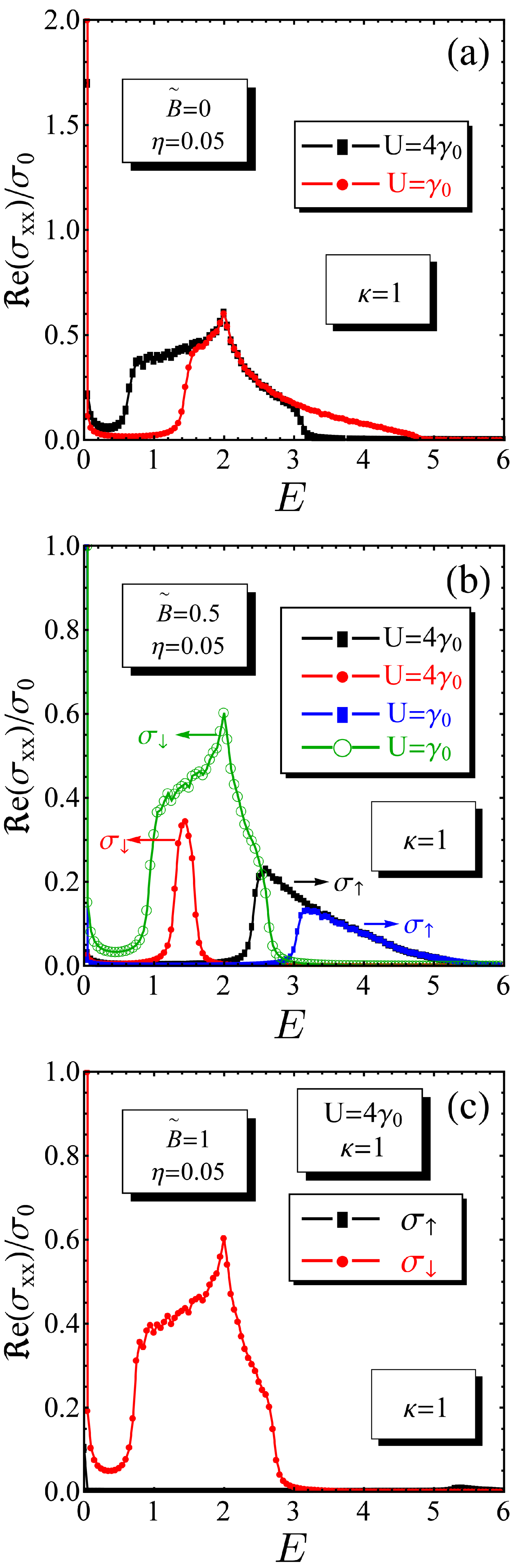
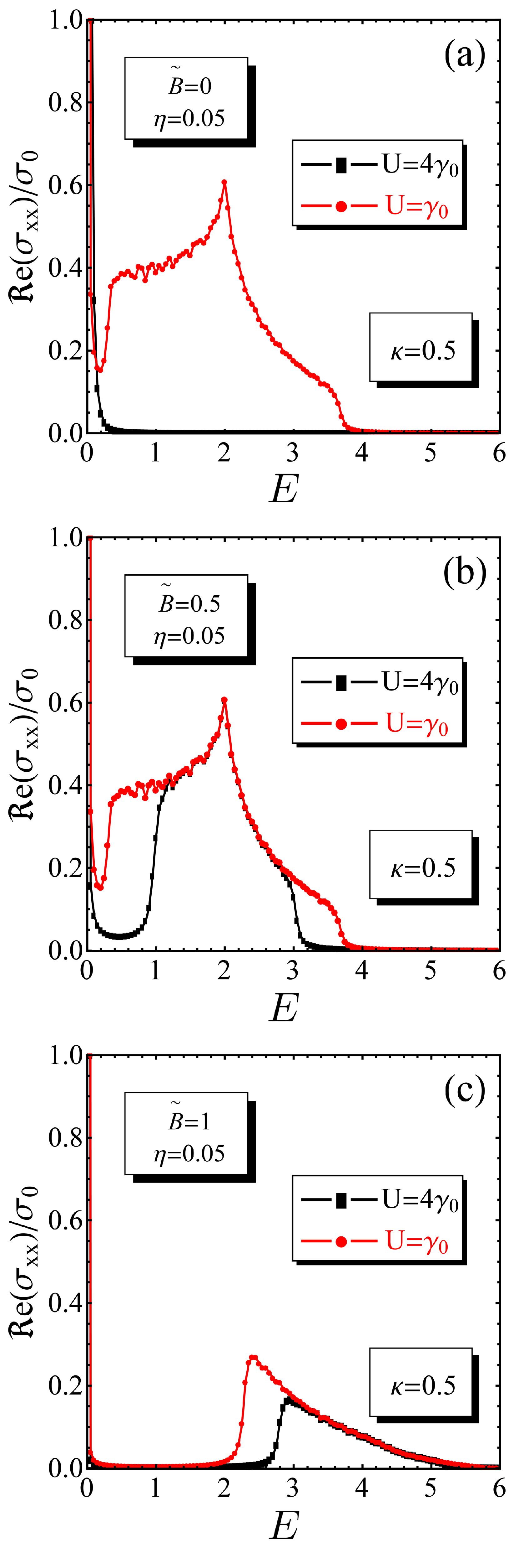
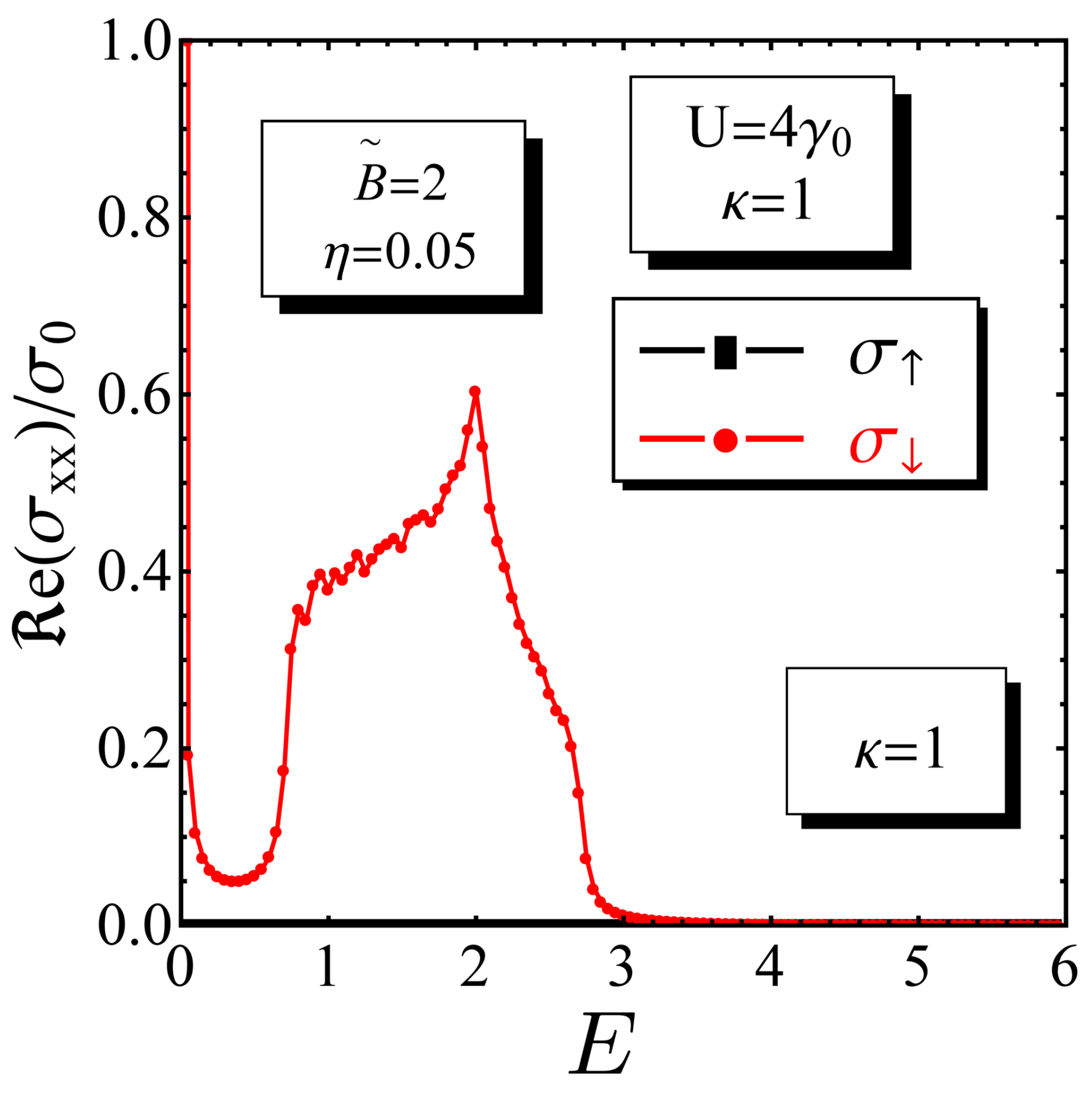
4. Results
5. Discussion
6. Conclusions
Author Contributions
Funding
Data Availability Statement
Conflicts of Interest
Abbreviations
| BLG | Bilayer Graphene |
Appendix A. Green’s Functions and Wick’s Average
References
- Kaushik, B.K. Nanoscale Devices: Physics, Modeling, and Their Application; Taylor & Francis Group: Boca Raton, FL, USA, 2019; ISBN 9781315163116. [Google Scholar]
- Castro, E.V.; Novoselov, K.S.; Morozov, S.V.; Peres, N.M.R.; Dos Santos, J.L.; Nilsson, J.; Guinea, F.; Geim, A.K.; Neto, A.C. Biased bilayer graphene: Semiconductor with a gap tunable by the electric field effect. Phys. Rev. Lett. 2007, 99, 216802. [Google Scholar] [CrossRef]
- McCann, E.; Koshino, M. The electronic properties of bilayer graphene. Rep. Prog. Phys. 2013, 76, 056503. [Google Scholar] [CrossRef]
- Rozhkov, A.V.; Sboychakov, A.O.; Rakhmanov, A.L.; Nori, F. Electronic properties of graphene-based bilayer systems. Phys. Rep. 2016, 648, 1. [Google Scholar] [CrossRef]
- Chiu, C.W.; Chen, S.C.; Huang, Y.C.; Shyu, F.L.; Lin, M.F. Critical optical properties of AA-stacked multilayer graphenes. Appl. Phys. Lett. 2013, 103, 041907. [Google Scholar] [CrossRef]
- Abdullah, H.M.; Al Ezzi, M.; Bahlouli, H. Electronic transport and klein tunneling in gapped AA-stacked bilayer graphene. J. Appl. Phys. 2018, 124, 204303. [Google Scholar] [CrossRef]
- Akzyanov, R.S.; Sboychakov, A.O.; Rozhkov, A.V.; Rakhmanov, A.L.; Nori, F. AA-stacked bilayer graphene in an applied electric field: Tunable antiferromagnetism and coexisting exciton order parameter. Phys. Rev. B 2014, 90, 155415. [Google Scholar] [CrossRef]
- Apinyan, V.; Kopeć, T.K. Antiferromagnetic ordering and excitonic pairing in AA-stacked bilayer graphene. Phys. Rev. B 2021, 104, 075426. [Google Scholar] [CrossRef]
- Rakhmanov, A.L.; Rozhkov, A.V.; Sboychakov, A.O.; Nori, F. Instabilities of the AA-stacked graphene bilayer. Phys. Rev. Lett. 2012, 109, 206801. [Google Scholar] [CrossRef]
- Sboychakov, A.O.; Rakhmanov, A.L.; Rozhkov, A.V.; Nori, F. Metal-insulator transition and phase separation in doped aa-stacked graphene bilayer. Phys. Rev. B 2013, 87, 121401. [Google Scholar] [CrossRef]
- Hidenori, G.; Hidehiko, A.; Ritsuko, E.; Takao, N.; Hiroshi, O.; Yoshihiro, K.; Takak, U. Difference in gating and doping effects on the band gap in bilayer graphene. Sci. Rep. 2017, 7, 11322. [Google Scholar]
- Avsar, A.; Vera-Marun, I.J.; Tan, J.Y.; Koon, G.K.W.; Watanabe, K.; Taniguchi, T.; Shaffique, A.; Özyilmaz, B. Electronic spin transport in dual-gated bilayer graphene. NPG Asia Mater. 2016, 8, 274. [Google Scholar] [CrossRef]
- Apinyan, V.; Kopeć, T.K. Excitonic condensation and metal-semiconductor transition in AA bilayer graphene in an external magnetic field. Phys. Rev. B 2022, 105, 184503. [Google Scholar] [CrossRef]
- Tabert, C.J.; Nicol, E.J. Dynamical conductivity in AA-stacked bilayer graphene. Phys. Rev. B 2012, 86, 075439. [Google Scholar] [CrossRef]
- Nilsson, J.; Castro Neto, A.H.; Guinea, F.; Peres, N.M.R. Electronic properties of bilayer and multilayer graphene. Phys. Rev. B 2008, 78, 045405. [Google Scholar] [CrossRef]
- Rezania, H.; Yarmohammadi, M. Optical conductivity of AA-stacked bilayer graphene in presence of bias voltage beyond Dirac approximation. Indian J Phys. 2016, 90, 811. [Google Scholar] [CrossRef]
- Ando, T.; Zhang, Y.; Suzuura, H. Dynamical Conductivity and Zero-Mode Anomaly in Honeycomb Lattices. J. Phys. Soc. Jpn. 2002, 71, 1318. [Google Scholar] [CrossRef]
- Nair, R.R.; Blake, P.; Grigorenko, A.N.; Novoselov, K.S.; Booth, T.J.; Stauber, T.; Peres, N.M.R.; Geim, A.K. Fine Structure Constant Defines Visual Transparency of Graphene. Science 2008, 320, 1308. [Google Scholar] [CrossRef] [PubMed]
- Nicol, E.J.; Carbotte, J.P. Optical conductivity of bilayer graphene with and without an asymmetry gap. Phys. Rev. B 2008, 77, 155409. [Google Scholar] [CrossRef]
- Zhang, L.M.; Li, Z.Q.; Basov, D.N.; Fogler, M.M.; Hao, Z.; Martin, M.C. Determination of the electronic structure of bilayer graphene from infrared spectroscopy. Phys. Rev. B 2008, 78, 235408. [Google Scholar] [CrossRef]
- Xu, Y.; Li, X.; Dong, J. Infrared and Raman spectra of AA-stacking bilayer graphene. Nanotechnology 2010, 21, 065711. [Google Scholar] [CrossRef]
- Mahan, G.D. Many-Particle Physics; Plenum: New York, NY, USA, 1990. [Google Scholar]
- Mucha-Kruczyński, M.; McCann, E.; Falko, V.I. Electron–hole asymmetry and energy gaps in bilayer graphene. Semicond. Sci. Technol. 2010, 25, 033001. [Google Scholar] [CrossRef]
- Volkov, A.V.; Shylau, A.A.; Zozoulenko, I.V. Interaction-induced enhancement of g factor in graphene. Phys. Rev. B 2012, 86, 155440. [Google Scholar] [CrossRef]
- Baeriswyl, D.; De Giorgi, L. Strong Interactions in Low Dimensions; Kluwer Academic: Berlin, Germany, 2003; Chapter 7. [Google Scholar]
- Wannier, G. Dynamics of band electrons in electric and magnetic field. Rev. Mod. Phys. 1962, 34, 645. [Google Scholar] [CrossRef]
- Negele, J.W.; Orland, H. Quantum Many-Particle Systems; Westview Press: Boulder, CO, USA, 1998. [Google Scholar]
- Ohta, T.; Bostwick, A.; Seyller, T.; Horn, K.; Rotenberg, E. Controlling the Electronic Structure of Bilayer Graphene. Science 2006, 313, 951–954. [Google Scholar] [CrossRef] [PubMed]
- Cheng, C.-M.; Xie, L.F.; Pachoud, A.; Moser, H.O.; Chen, W.; Wee, A.T.S.; Castro Neto, A.H.; Tsuei, K.-D.; Özyilmaz, B. Anomalous Spectral Features of a Neutral Bilayer Graphene. Sci. Rep. 2015, 5, 10025. [Google Scholar] [CrossRef]
- Yan, J.; Henriksen, E.A.; Kim, P.; Pinczuk, A. Observation of Anomalous Phonon Softening in Bilayer Graphene. Phys. Rev. Lett. 2008, 101, 136804. [Google Scholar] [CrossRef]
- Wright, A.J.; Erickson, M.J.; Bromley, D.; Crowell, P.A.; Leighton, C.; O’Brien, L. Origin of the magnetic field enhancement of the spin signal in metallic nonlocal spin transport devices. Phys. Rev. B 2021, 104, 014423. [Google Scholar] [CrossRef]
- Zhao, B.; Ngaloy, R.; Hoque, A.M.; Karpiak, B.; Khokhriakov, D.; Dash, S.P. Van der Waals magnet based spin-valve devices at room temperature. arXiv 2021, arXiv:2107.00310. [Google Scholar]
- Jedema, F.; Filip, A.; van Wees, B. Electrical spin injection and accumulation at room temperature in an all-metal mesoscopic spin valve. Nature 2001, 410, 345–348. [Google Scholar] [CrossRef]
- Karimi, S.; Rezania, H. Effect of magnetic field on specific heat and magnetic susceptibility of biased bilayer graphene: A full band approach. Chem. Phys. 2019, 525, 110417. [Google Scholar] [CrossRef]
- Rezania, H.; Abdi, M. Longitudinal magnetic field effects on thermal transport in of doped bilayer graphene. J. Supercond. Nov. Magn. 2018, 31, 3995. [Google Scholar] [CrossRef]
- Apinyan, V.; Kopeć, T.K. High energy shift in the optical conductivity spectrum of the bilayer graphene. Eur. Phys. J. B 2018, 91, 310. [Google Scholar] [CrossRef]




Disclaimer/Publisher’s Note: The statements, opinions and data contained in all publications are solely those of the individual author(s) and contributor(s) and not of MDPI and/or the editor(s). MDPI and/or the editor(s) disclaim responsibility for any injury to people or property resulting from any ideas, methods, instructions or products referred to in the content. |
© 2023 by the authors. Licensee MDPI, Basel, Switzerland. This article is an open access article distributed under the terms and conditions of the Creative Commons Attribution (CC BY) license (https://creativecommons.org/licenses/by/4.0/).
Share and Cite
Apinyan, V.; Kopeć, T. Magnetic Field-Controlled Electrical Conductivity in AA Bilayer Graphene. C 2023, 9, 42. https://doi.org/10.3390/c9020042
Apinyan V, Kopeć T. Magnetic Field-Controlled Electrical Conductivity in AA Bilayer Graphene. C. 2023; 9(2):42. https://doi.org/10.3390/c9020042
Chicago/Turabian StyleApinyan, Vardan, and Tadeusz Kopeć. 2023. "Magnetic Field-Controlled Electrical Conductivity in AA Bilayer Graphene" C 9, no. 2: 42. https://doi.org/10.3390/c9020042
APA StyleApinyan, V., & Kopeć, T. (2023). Magnetic Field-Controlled Electrical Conductivity in AA Bilayer Graphene. C, 9(2), 42. https://doi.org/10.3390/c9020042
