Photocatalytic Purification of Orange-II-Dye-Polluted Wastewater Using TiO2-Modified g-C3N4 Composite
Abstract
1. Introduction
2. Materials and Methods
2.1. Materials
2.2. Synthesis
2.2.1. Preparation of g-C3N4
2.2.2. Synthesis of TC-g-C3N4
2.2.3. Composite Synthesis
2.2.4. Characterization Techniques
2.2.5. Photocatalytic Performance Test
3. Results and Discussion
3.1. Structural Analyses (XRD and XPS)
3.2. Morphological Analyses (SEM, TEM, and BET)
3.3. DRS Analysis
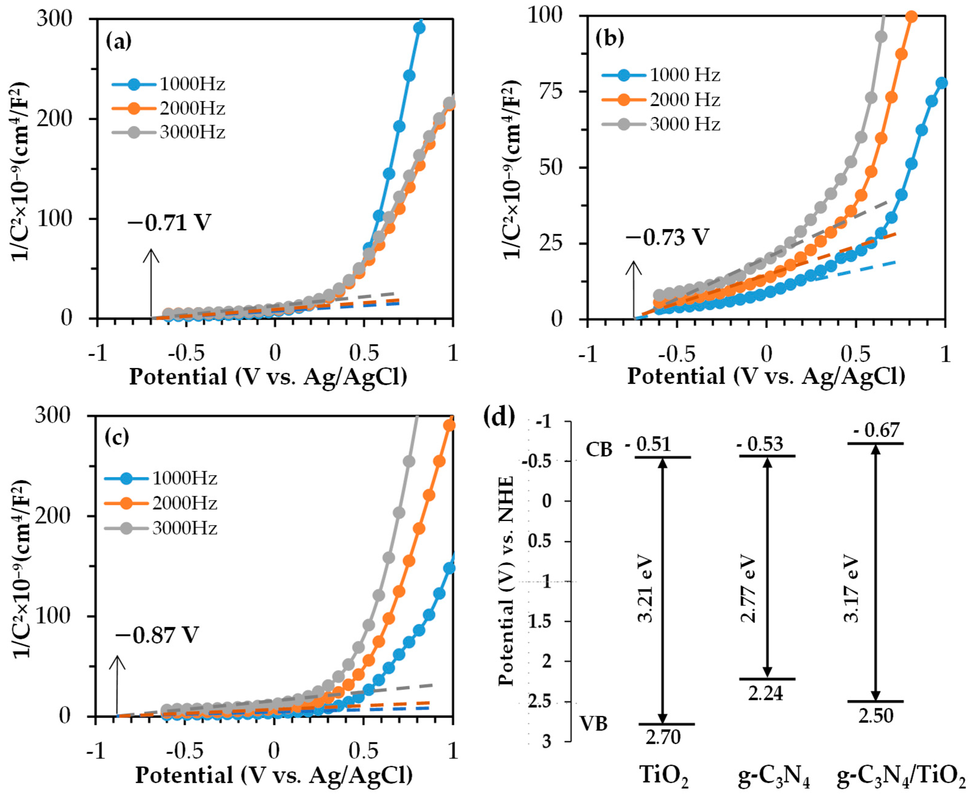
3.4. Mott–Schottky and Band Structure Analyses
3.5. PL and Electrochemical Analyses
3.6. Stability Test
3.7. Photocatalytic Degradation
3.7.1. Effect of g-C3N4 Addition
3.7.2. Effect of Photocatalyst Amount
3.7.3. Reaction Rate
3.8. Reaction Mechanism
4. Conclusions
Author Contributions
Funding
Data Availability Statement
Acknowledgments
Conflicts of Interest
References
- Islam, M.R.; Islam, J.B.; Furukawa, M.; Tateishi, I.; Katsumata, H.; Kaneco, S. Photocatalytic Degradation of a Systemic Herbicide: Picloram from Aqueous Solution Using Titanium Oxide (TiO2) under Sunlight. ChemEngineering 2020, 4, 58. [Google Scholar] [CrossRef]
- Choi, S.; Do, J.Y.; Lee, J.H.; Ra, C.S.; Kim, S.K.; Kang, M. Optical Properties of Cu-Incorporated ZnO (CuxZnyO) Nanoparticles and Their Photocatalytic Hydrogen Production Performances. Mater. Chem. Phys. 2018, 205, 206–209. [Google Scholar] [CrossRef]
- Chang, C.J.; Lin, Y.G.; Weng, H.T.; Wei, Y.H. Photocatalytic Hydrogen Production from Glycerol Solution at Room Temperature by ZnO-ZnS/Graphene Photocatalysts. Appl. Surf. Sci. 2018, 451, 198–206. [Google Scholar] [CrossRef]
- Wang, Z.; Huo, Y.; Fan, Y.; Wu, R.; Wu, H.; Wang, F.; Xu, X. Facile synthesis of carbon-rich g-C3N4 by copolymerization of urea and tetracyanoethylene for photocatalytic degradation of Orange II. J. Photochem. Photobiol. A Chem. 2018, 358, 61–69. [Google Scholar] [CrossRef]
- Xie, D.; Tang, C.; Li, D.; Yuan, J.; Xu, F. FeOCl/WS2 composite as a heterogeneous Fenton catalyst to efficiently degrade acid orange II. Inorg. Chem. Commun. 2023, 156, 111085. [Google Scholar] [CrossRef]
- Wang, J.; Wang, S. A critical review on graphitic carbon nitride (g-C3N4)-based materials: Preparation, modification and environmental application. Coord. Chem. Rev. 2022, 453, 214338. [Google Scholar] [CrossRef]
- Zhang, M.; Yang, Y.; An, X.; Hou, L.-A. A critical review of g-C3N4-based photocatalytic membrane for water purification. Chem. Eng. J. 2021, 412, 128663. [Google Scholar] [CrossRef]
- Shen, X.; Song, L.; Luo, L.; Zhang, Y.; Zhu, B.; Liu, J.; Chen, Z.; Zhang, L. Preparation of TiO2/C3N4 heterojunctions on carbon-fiber cloth as efficient filter-membrane-shaped photocatalyst for removing various pollutants from the flowing wastewater. J. Colloid Interface Sci. 2018, 532, 798–807. [Google Scholar] [CrossRef]
- Zhu, B.; Cheng, B.; Fan, J.; Ho, W.; Yu, J. g-C3N4-Based 2D/2D Composite Heterojunction Photocatalyst. Small Struct. 2021, 2, 2100086. [Google Scholar] [CrossRef]
- Chouchene, B.; Gries, T.; Balan, L.; Medjahdi, G.; Schneider, R. Graphitic carbon nitride/SmFeO3 composite Z-scheme photocatalyst with high visible light activity. Nanotechnology 2020, 31, 465704. [Google Scholar] [CrossRef]
- Acharya, R.; Parida, K. A review on TiO2/g-C3N4 visible-light-responsive photocatalysts for sustainable energy generation and environmental remediation. J. Environ. Chem. Eng. 2020, 8, 103896. [Google Scholar] [CrossRef]
- Kane, A.; Chafiq, L.; Dalhatou, S.; Bonnet, P.; Nasr, M.; Gaillard, N.; Dangwang Dikdim, J.M.; Monier, G.; Amine Assadi, A.; Zeghioud, H. g-C3N4/TiO2 S-scheme heterojunction photocatalyst with enhanced photocatalytic Carbamazepine degradation and mineralization. J. Photochem. Photobiol. A Chem. 2022, 430, 113971. [Google Scholar] [CrossRef]
- Fujita, S.; Kawamori, H.; Honda, D.; Yoshida, H.; Arai, M. Photocatalytic Hydrogen Production from Aqueous Glycerol Solution Using NiO/TiO2 Catalysts: Effects of Preparation and Reaction Conditions. Appl. Catal. B Environ. 2016, 181, 818–824. [Google Scholar] [CrossRef]
- Ismael, M. A review on graphitic carbon nitride (g-C3N4) based nanocomposites: Synthesis, categories, and their application in photocatalysis. J. Alloys Compd. 2020, 846, 156446. [Google Scholar] [CrossRef]
- Ouedraogo, S.; Chouchene, B.; Desmarets, C.; Gries, T.; Balan, L.; Fournet, R.; Medjahdi, G.; Bayo, K.; Schneider, R. Copper octacarboxyphthalocyanine as sensitizer of graphitic carbon nitride for efficient dye degradation under visible light irradiation. Appl. Catal. A Gen. 2018, 563, 127–136. [Google Scholar] [CrossRef]
- Zhang, Y.; Xu, J.; Mei, J.; Sarina, S.; Wu, Z.; Liao, T.; Yan, C.; Suna, Z. Strongly interfacial-coupled 2D-2D TiO2/g-C3N4 heterostructure for enhanced visible-light induced synthesis and conversion. J. Hazard. Mater. 2020, 394, 122529. [Google Scholar] [CrossRef]
- Jiang, Y.; Sun, Z.; Chen, Q.; Cao, C.; Zhao, Y.; Yang, W.; Zeng, L.; Huang, L. Fabrication of 0D/2D TiO2 Nanodots/g-C3N4 S-scheme heterojunction photocatalyst for efficient photocatalytic overall water splitting. Appl. Surf. Sci. 2022, 571, 151287. [Google Scholar] [CrossRef]
- Yang, J.; Wu, X.; Mei, Z.; Zhou, S.; Su, Y.; Wang, G. CVD Assisted Synthesis of Macro/Mesoporous TiO2/g-C3N4 S-Scheme Heterojunction for Enhanced Photocatalytic Hydrogen Evolution. Adv. Sustain. Syst. 2002, 6, 220005. [Google Scholar] [CrossRef]
- Zhang, X. Layered g-C3N4/TiO2 nanocomposites for efficient photocatalytic water splitting and CO2 reduction: A review. Mater. Today Energy 2022, 23, 100904. [Google Scholar] [CrossRef]
- Li, Y.; Zhou, M.; Cheng, B.; Shao, Y. Recent advances in g-C3N4-based heterojunction photocatalysts. J. Mater. Sci. Technol. 2020, 56, 1–17. [Google Scholar] [CrossRef]
- Ni, S.; Fu, Z.; Li, L.; Ma, M.; Liu, Y. Step-scheme heterojunction g-C3N4/TiO2 for efficient photocatalytic degradation of tetracycline hydrochloride under UV light. Colloids Surf. A Physicochem. Eng. 2022, 649, 129475. [Google Scholar] [CrossRef]
- Hossain, S.M.; Park, H.; Kang, H.-J.; Mun, J.S.; Tijing, L.; Rhee, I.; Kim, J.-H.; Jun, Y.-S.; Shon, H.K. Modified Hydrothermal Route for Synthesis of Photoactive Anatase TiO2/g-CN Nanotubes from Sludge Generated TiO2. Catalysts 2020, 10, 1350. [Google Scholar] [CrossRef]
- Muhammad, A.; Hassan, Z.; Mohammad, S.M.; Rajamanickam, S.; Shitu, I.G. Effect of trisodium citrate on morphological, structural, and optical properties of fluorine-doped ZnO structures. Ceram. Int. 2022, 48, 13431–13439. [Google Scholar] [CrossRef]
- Wang, W.; Liu, Y.; Qu, J.; Chen, Y.; Tad, M.O.; Zhou, W. Synthesis of Hierarchical TiO2–C3N4 Hybrid Microspheres with Enhanced Photocatalytic and Photovoltaic Activities by Maximizing the Synergistic Effect. ChemPhotoChem 2017, 1, 35–45. [Google Scholar] [CrossRef]
- Hao, R.; Wang, G.; Tang, H.; Sun, L.; Xu, C.; Han, D. Template-free preparation of macro/mesoporous g-C3N4/TiO2 heterojunction photocatalysts with enhanced visible light photocatalytic activity. Appl. Catal. B Environ. 2016, 187, 47–58. [Google Scholar] [CrossRef]
- Cao, Y.; Yuan, G.; Guo, Y.; Hu, X.; Fang, G.; Wang, S. Facile synthesis of TiO2/g-C3N4 nanosheet heterojunctions for efficient photocatalytic degradation of tartrazine under simulated sunlight. Appl. Surf. Sci. 2022, 600, 154169. [Google Scholar] [CrossRef]
- Rudzani, R.; Potlako, J.M.; Olayemi, J.F.; Ajay, K.M.; Alex, T.K. Ag doped TiO2 anchored on metal free g-C3N4 for enhanced solar light activated photodegradation of a dye. Opt. Mater. 2024, 157, 116125. [Google Scholar] [CrossRef]
- Hu, K.; Li, R.; Ye, C.; Wang, A.; Wei, W.; Hu, D.; Qiu, R.; Yan, K. Facile synthesis of Z-scheme composite of TiO2 nanorod/g-C3N4 nanosheet efficient for photocatalytic degradation of ciprofloxacin. J. Clean. Prod. 2020, 253, 120055. [Google Scholar] [CrossRef]
- Reli, M.; Huo, P.; Sihor, M.; Ambrozova, N.; Troppova, I.; Matejova, L.; Lang, J.; Svoboda, L.; Kustrowski, P.; Ritz, M.; et al. Novel TiO2/C3N4 Photocatalysts for Photocatalytic Reduction of CO2 and for Photocatalytic Decomposition of N2O. J. Phys. Chem. A 2016, 120, 8564–8573. [Google Scholar] [CrossRef]
- Liu, X.; Chen, N.; Li, Y.; Deng, D.; Xing, X.; Wang, Y. A general nonaqueous sol-gel route to g-C3N4-coupling photocatalysts: The case of Z-scheme g-C3N4/TiO2 with enhanced photodegradation toward RhB under visible-light. Sci. Rep. 2016, 6, 39531. [Google Scholar] [CrossRef]
- Ting, T.L.; Meng, M.X.; Wang, H.-Y.; Wang, J.-S.; Lin, J.-H.; Lou, C.-W. An S-scheme TiO2/g-C3N4 nanocomposite effectively degrades phenanthrene under visible light. Colloids Surf. A Physicochem. Eng. Asp. 2025, 705, 135554. [Google Scholar]
- Dahiya, S.; Shoran, S.; Sharma, D.; Rao, V.; Chaudhary, S.; Nehra, S.; Sharma, A. Bioengineered sustainable phytofabrication of anatase TiO2-adorned g-C3N4 nanocomposites and unveiling their photocatalytic potential towards advanced environmental remediation. Chemosphere 2024, 362, 142456. [Google Scholar] [CrossRef] [PubMed]
- Pal, D.B.; Singh, A.; Bhatnagar, A. A Review on Biomass Based Hydrogen Production Technologies. Int. J. Hydrogen Energy 2022, 47, 1461–1480. [Google Scholar] [CrossRef]
- Zhang, B.; He, X.; Ma, X.; Chen, Q.; Liu, G.; Zhou, Y.; Ma, D.; Cui, C.; Ma, J.; Xin, Y. In situ synthesis of ultrafine TiO2 nanoparticles modified g-C3N4 heterojunction photocatalyst with enhanced photocatalytic activity. Sep. Purif. Technol. 2020, 247, 116932. [Google Scholar] [CrossRef]
- Takahashi, J.-I. In-situ evaluation of the carrier mobility using Mott-Schottky-equivalent analysis in organic light emitting diodes. J. Appl. Phys. 2020, 59, 071005. [Google Scholar] [CrossRef]
- Uzzaman, M.; Afrin, M.F.; Furukawa, M.; Tateishi, I.; Katsumata, H.; Kaneco, S. Visible Light-Driven Photocatalytic CH4 Production from an Acetic Acid Solution with Cetyltrimethylammonium Bromide-Assisted ZnIn2S4. ChemEngineering 2024, 8, 75. [Google Scholar] [CrossRef]
- Priti, R.; Bonamali, P.; Raj, K.D. Bi-doped g-C3N4/Bi2WO6 ternary composites for superior photocatalytic degradation of reactive orange 16 under visible light irradiation. J. Ind. Eng. Chem. 2025, 141, 456–467. [Google Scholar] [CrossRef]
- Liu, S.; Bu, Y.; Cheng, S.; Tao, Y.; Hong, W. Preparation of g-C3N5/g-C3N4 heterojunction for methyl orange photocatalytic degradation: Mechanism analysis. J. Water Process Eng. 2023, 54, 104019. [Google Scholar] [CrossRef]
- Liu, S.; Wang, X.; Wang, K.; Lv, R.; Xu, Y. ZnO/ZnS-PdS Core/Shell Nanorods: Synthesis, Characterization and Application for Photocatalytic Hydrogen Production from a Glycerol/Water Solution. Appl. Surf. Sci. 2013, 283, 732–739. [Google Scholar] [CrossRef]
- Deluga, G.A.; Salge, J.R.; Schmidt, L.D.; Verykios, X.E. Renewable Hydrogen from Ethanol by Autothermal Reforming. Science 2004, 303, 993–997. [Google Scholar] [CrossRef]
- Zhou, C.H.; Beltramini, J.N.; Fan, Y.X.; Lu, G.Q. Chemoselective Catalytic Conversion of Glycerol as a Biorenewable Source to Valuable Commodity Chemicals. Chem. Soc. Rev. 2008, 37, 527–549. [Google Scholar] [CrossRef] [PubMed]
- Davda, R.R.; Shabaker, J.W.; Huber, G.W.; Cortright, R.D.; Dumesic, J.A. A Review of Catalytic Issues and Process Conditions for Renewable Hydrogen and Alkanes by Aqueous-Phase Reforming of Oxygenated Hydrocarbons over Supported Metal Catalysts. Appl. Catal. B Environ. 2005, 56, 171–186. [Google Scholar] [CrossRef]
- Byrd, A.J.; Pant, K.K.; Gupta, R.B. Hydrogen Production from Glycerol by Reforming in Supercritical Water over Ru/Al2O3 Catalyst. Fuel 2008, 87, 2956–2960. [Google Scholar] [CrossRef]
- Dauenhauer, P.J.; Salge, J.R.; Schmidt, L.D. Renewable Hydrogen by Autothermal Steam Reforming of Volatile Carbohydrates. J. Catal. 2006, 244, 238–247. [Google Scholar] [CrossRef]
- Keskin, T.; Hallenbeck, P.C. Hydrogen Production from Sugar Industry Wastes Using Single-Stage Photofermentation. Bioresour. Technol. 2012, 112, 131–136. [Google Scholar] [CrossRef] [PubMed]
- Lyubina, T.P.; Markovskaya, D.V.; Kozlova, E.A.; Parmon, V.N. Photocatalytic Hydrogen Evolution from Aqueous Solutions of Glycerol under Visible Light Irradiation. Int. J. Hydrogen Energy 2013, 38, 14172–14179. [Google Scholar] [CrossRef]
- Hashaikeh, R.; Butler, I.S.; Kozinski, J.A. Selective Promotion of Catalytic Reactions during Biomass Gasification to Hydrogen. Energy Fuels 2006, 20, 2743–2747. [Google Scholar] [CrossRef]
- Yildiz, T.; Yatmaz, H.C.; Öztürk, K. Anatase TiO2 powder immobilized on reticulated Al2O3 ceramics as a photocatalyst for degradation of RO16 azo dye. Ceram. Int. 2020, 46, 8651–8657. [Google Scholar] [CrossRef]
- Rajachandrasekar, T.; Abina, K.; Subramaniyan, R.; Sakthivel, K.; Mohammad, A.; Tae, H.O.; Srishankar, J.; Sobana, N.; Thirunarayanan, G.; Muthuvel, I. Radiant synergy: Illuminating methyl orange dye removal with g-C3N4/ZnO heterojunction photocatalyst. Diam. Relat. Mater. 2024, 147, 111325. [Google Scholar] [CrossRef]
- Yuan, X.; Yi, J.; Wang, H.; Yu, H.; Zhang, S.; Peng, F. New route of fabricating BiOI and Bi2O3 supported TiO2 nanotube arrays via the electrodeposition of bismuth nanoparticles for photocatalytic degradation of acid orange II. Mater. Chem. Phys. 2017, 196, 237–244. [Google Scholar] [CrossRef]








| Photocatalyst | Surface Area (m2/g) | Pore Volume (cm3/g) |
|---|---|---|
| TiO2 | 253 | 0.6841 |
| g-C3N4 | 824 | 0.9362 |
| g-C3N4/TiO2 | 244 | 0.8294 |
| kobs (min−1) | R2 | t1/2 (min) | |
|---|---|---|---|
| 1 wt% g-C3N4/TiO2 | 0.0213 | 0.994 | 32.5 |
| TiO2 | 0.0085 | 0.978 | 81.5 |
| Photocatalyst (mg/mL) | Dye | Light Source (nm) | Irrad. Time (min) | Decoloration Rate (%) | Ref. |
|---|---|---|---|---|---|
| g-C3N4/TCNE-40 (0.5) | OR II | Visible (≥420) | 60 | 90.16 | [4] |
| FeOCl/WS2 (F1W2) (0.6) | OR II | Visible (≥420) | 150 | 93.4 | [5] |
| Bi-doped g-C3N4/Bi2WO6 (20 GBW) | RO-16 | Visible (≥420) | 300 | 89 | [37] |
| g-C3N5/g-C3N4 (0.4) | MO | Visible (≥420) | 30 | 99.6 | [38] |
| TiO2/Al2O3 (0.2) | RO-16 | UV (365/254) | 225 | 85 | [48] |
| 10 wt% g-C3N4/ZnO (2) | MO | Solar Light | 120 | 98 | [49] |
| BiOI/TiO2 | OR II | Visible (<400 nm) | 120 | 60 | [50] |
| 1 wt% g-C3N4/TiO2 (0.3) | OR II | UV (352) | 60 | 92.1 | This work |
Disclaimer/Publisher’s Note: The statements, opinions and data contained in all publications are solely those of the individual author(s) and contributor(s) and not of MDPI and/or the editor(s). MDPI and/or the editor(s) disclaim responsibility for any injury to people or property resulting from any ideas, methods, instructions or products referred to in the content. |
© 2024 by the authors. Licensee MDPI, Basel, Switzerland. This article is an open access article distributed under the terms and conditions of the Creative Commons Attribution (CC BY) license (https://creativecommons.org/licenses/by/4.0/).
Share and Cite
Guo, B.; Uzzaman, M.; Furukawa, M.; Tateishi, I.; Katsumata, H.; Kaneco, S. Photocatalytic Purification of Orange-II-Dye-Polluted Wastewater Using TiO2-Modified g-C3N4 Composite. C 2024, 10, 103. https://doi.org/10.3390/c10040103
Guo B, Uzzaman M, Furukawa M, Tateishi I, Katsumata H, Kaneco S. Photocatalytic Purification of Orange-II-Dye-Polluted Wastewater Using TiO2-Modified g-C3N4 Composite. C. 2024; 10(4):103. https://doi.org/10.3390/c10040103
Chicago/Turabian StyleGuo, Bin, Monir Uzzaman, Mai Furukawa, Ikki Tateishi, Hideyuki Katsumata, and Satoshi Kaneco. 2024. "Photocatalytic Purification of Orange-II-Dye-Polluted Wastewater Using TiO2-Modified g-C3N4 Composite" C 10, no. 4: 103. https://doi.org/10.3390/c10040103
APA StyleGuo, B., Uzzaman, M., Furukawa, M., Tateishi, I., Katsumata, H., & Kaneco, S. (2024). Photocatalytic Purification of Orange-II-Dye-Polluted Wastewater Using TiO2-Modified g-C3N4 Composite. C, 10(4), 103. https://doi.org/10.3390/c10040103

