Next Article in Journal
Gradient-Based Aero-Stealth Optimization of a Simplified Aircraft
Next Article in Special Issue
Impact of a Near-Surface Plasma Region on the Bow Shock Wave and Aerodynamic Characteristics of a High-Speed Model in Xenon
Previous Article in Journal
Numerical Solution of the Newtonian Plane Couette Flow with Linear Dynamic Wall Slip
Previous Article in Special Issue
A Numerical Approach and Study of the Shock-Wave Structure of Supersonic Jet Flow in a Nozzle
 
 
Font Type:
Arial Georgia Verdana
Font Size:
Aa Aa Aa
Line Spacing:
Column Width:
Background:
Article

Predicting Wall Pressure in Shock Wave/Boundary Layer Interactions with Convolutional Neural Networks

1
Hypervelocity Aerodynamics Institute, China Aerodynamics Research and Development Center, Mianyang 621000, China
2
National Key Laboratory of Aerospace Physics in Fluids, Mianyang 621000, China
*
Author to whom correspondence should be addressed.
Fluids 2024, 9(8), 173; https://doi.org/10.3390/fluids9080173
Submission received: 30 May 2024 / Revised: 15 July 2024 / Accepted: 26 July 2024 / Published: 29 July 2024
(This article belongs to the Special Issue High Speed Flows, 2nd Edition)

Abstract

Within the dynamic realm of variable-geometry shock wave/boundary layer interactions, the wall parameters of the flow field undergo real-time fluctuations. The conventional approach to sensing these changes in wall pressure through sensor measurements is encumbered by a cumbersome process, leading to diminished efficiency and an inability to provide swift predictions of wall parameters. This paper introduces a data-driven methodology that leverages non-contact schlieren imaging to predict wall pressure within the flow field, a technique that holds promise for informing the optimized design of variable-geometry systems. A sophisticated deep learning framework, predicated on Convolutional Neural Networks (CNN), has been engineered to anticipate alterations in wall pressure stemming from high-speed shock wave/boundary layer interactions. Utilizing an impulsive wind tunnel with a Mach number of 6, we have procured a sequence of schlieren images and corresponding wall pressure measurements, capturing the continuous variations induced by an attack angle from a shock wave generator. These data have been instrumental in compiling a comprehensive dataset for the training and evaluation of the CNN. The CNN model, once trained, has adeptly deduced the distribution of wall pressure from the schlieren imagery. Notwithstanding, it was observed that the CNN’s predictive prowess is marginally diminished in regions where pressure variations are most pronounced. To assess the model’s generalization capabilities, we have segmented the dataset according to different temporal intervals for network training. Our findings indicate that while the generalization of all models crafted was less than optimal, Model 4 demonstrated superior generalization. It is thus suggested that augmenting the training set with additional samples and refining the network architecture will be a worthwhile endeavor in subsequent research initiatives.

1. Introduction

High-speed aircraft with variable configurations frequently encounter dynamic interactions between shock waves and boundary layers [1]. The resulting fluctuating forces and thermal loads have the potential to induce structural failures and erratic alterations in aerodynamic performance, thereby jeopardizing flight safety [2]. Consequently, the accurate forecasting of the unsteady thermal and force environment on the aircraft’s exterior is paramount. It serves as a critical component in the thermal structural optimization and design process, ensuring the development of robust and safe aerospace vehicles.
Wind tunnel testing stands as a dependable approach to acquiring pressure data from the surfaces of aircraft [3,4]. By strategically deploying a constellation of pressure sensors on the wall, we are able to precisely gauge the pressure conditions at critical areas. However, forecasting pressures across a spectrum of inflow conditions or mechanical configurations necessitates a significant investment in wind tunnel experiments, entailing adjustments to flow parameters and configurational changes, which can be resource intensive. The advent of machine learning within the realm of fluid dynamics has, in recent years, opened new avenues for research [5]. There is a growing trend towards leveraging machine learning algorithms to deliver dependable predictions of high-speed flow phenomena [6]. This shift has the potential to significantly curtail our dependence on traditional wind tunnel experiments and the extensive use of sensors, ushering in a more efficient era of aerodynamic research and design.
Over the past few years, the application of machine learning techniques in fluid dynamics research has flourished, encompassing a broad spectrum of applications. These include the super-resolution reconstruction of flow fields for enhanced clarity [7,8,9,10], refinement of aerodynamic models for improved accuracy, uncovering the underlying flow patterns for deeper insights, extraction of distinctive flow characteristics for detailed analysis, monitoring of flow environments for real-time assessment, and the optimization of aerodynamic shapes for superior performance. The integration of machine learning has proven to be a game-changer, notably elevating the precision of predictions and amplifying the efficiency of workflows. It has established itself as an indispensable asset across a diverse array of domains, propelling forward the frontiers of innovation and discovery within the field of fluid dynamics. For example, Bertrand et al. [11] investigate the use of deep learning for airfoil pressure calibration, employing both supervised and semi-supervised neural networks to generate pressure distributions that match target lift and pitching moment coefficients, thereby demonstrating the potential of AI to enhance aerodynamic modeling. Li and Tan [12] employ a cluster-based Markov model (CMM) to analyze the transition dynamics of a supersonic mixing layer, revealing two distinct flow regimes and their interactions, which are crucial for understanding turbulence and flow control in supersonic flows. Zhong et al. [13] present a novel optimization approach for high voltage circuit breaker nozzles that combines image recognition and deep learning, utilizing CNN and CRNN models to predict and optimize the nozzle’s gas flow state and geometry parameters, thereby enhancing the efficiency and reliability of the breaker’s design. Liu et al. [14] present a novel reduced-order model (ROM) named LSTM-ROM that combines proper orthogonal decomposition (POD) with a long short-term memory (LSTM) neural network to accurately predict compressible cavity flows, offering a computationally efficient alternative to direct numerical simulation (DNS) for understanding complex flow phenomena within cavities. The LSTM-ROM is demonstrated to effectively capture shock wave structures at supersonic speeds and is found to be more accurate and efficient than dynamic mode decomposition (DMD) and multilayer perceptron (MLP) methods, with the root mean square errors of density and normal velocity fields predicted by LSTM-ROM being smaller, and its calculation time significantly reduced compared to DNS.
In recent years, the field of intelligent flow sensing has gained significant traction as a cutting-edge research domain. This innovative approach harnesses state-of-the-art sensor technology coupled with sophisticated intelligent algorithms to meticulously track, dissect, and comprehend the intricate dynamics of fluid flow. It encompasses a range of critical parameters including flow velocity, directional vectors, fluid pressure, and temperature. Kong et al. [15] developed a deep learning model based on convolutional neural networks to predict the velocity field in a scramjet isolator using wall pressure measurements, offering a new method for accurate flow parameter prediction essential for hypersonic flight development. Rozov and Breitsamter [16] present a deep learning-based Reduced-Order Model (ROM) for predicting unsteady pressure distributions on a wing undergoing transonic flow, using synthetic data generated from Computational Fluid Dynamics (CFD) simulations, which achieves superior prediction accuracy with a significant computational speed-up compared to traditional CFD methods. The ROM is trained to capture the nonlinear aerodynamic behavior and can efficiently predict sequences of pressure distributions in a recurrent manner based on an excitation signal, demonstrating its potential for aeroelastic analysis and unsteady aerodynamic load prediction. Wu et al. [17] introduce a novel neural network, DTW-SLFN-KF, which integrates Dynamic Time Warping (DTW) and Kalman Filter (KF) into a single-hidden-layer neural network architecture for real-time monitoring of supersonic inlet flow patterns, demonstrating improved monitoring accuracy and real-time performance compared to existing methods. The proposed network automatically extracts robust features from dynamic sensor signals using DTW, maintains temporal continuity, and employs KF for post-processing to enhance classification performance. Ren et al. [18] present a deep learning-based method for predicting transition heat flux in hypersonic flows, using flight test data to train a DNN model that accurately forecasts complex transition modes and offers a high-precision, low-cost solution for hypersonic transition prediction.
The application of these advanced technologies extends to critical areas such as the monitoring of engine environments and the active control of fluid flows. By integrating intelligent flow sensing, there is a marked improvement in the overall efficiency and precision of fluid management systems. This not only propels the field forward but also opens up new possibilities for innovation in various industries where fluid dynamics play a pivotal role. An artificial neural network (ANN)-based method was introduced by Yu and Hesthaven [19] for flow field reconstruction that efficiently predicts complex aerodynamic solutions by mapping simplified problems to target problems, using a combination of proper orthogonal decomposition and neural network training. This approach is demonstrated to be effective for various test cases, including steady and unsteady flows, and is particularly adept at accurately capturing flow features like shocks. Li et al. [20] established a data-driven model that combines a transposed network and a residual network to predict the flow field structure of a supersonic cascade passage from wall pressure measurements, enhancing the mapping ability and laying a foundation for flow field stability margin determination. Li et al. [21] present a data-driven model using a symmetrical deep neural network to reconstruct and predict the flow field structure in a supersonic cascade channel by measuring discrete wall pressure values, demonstrating its effectiveness under complex and variable conditions. Kong et al. [22] introduce a deep learning-based method for shock train leading edge detection in scramjet isolators by reconstructing the flow field using a convolutional neural network model, which improves detection accuracy compared to traditional pressure-based methods. Li et al. [23] present an efficient deep learning framework that uses a hybrid neural network with embedded convolutional LSTM layers to reconstruct the flow field sequences of a supersonic cascade channel, providing a novel method for monitoring flow state and identifying flow separation areas. Chen et al. [24] present a deep learning architecture based on a multi-branch fusion convolutional neural network (MBFCNN) for intelligent reconstruction of the flow field in a supersonic combustor, which significantly improves the detection accuracy of wave system evolution and combustion state for active flow control in scramjet applications. The proposed MBFCNN model outperforms basic and symmetric CNN methods by providing the best reconstruction results with an average linear correlation coefficient of 0.952, effectively predicting the flow field wave system structure during hydrogen fuel self-ignition in supersonic combustors.
Historically, a substantial body of research has concentrated on utilizing sensor technology to reconstruct the flow field, thereby intelligently discerning its structural composition and its dynamic progression over time. Our objective is to forecast alterations in wall pressure instigated by the underlying flow structures, leveraging imagery of the flow field. This innovative method paves the way for the non-invasive sensing of wall pressure through flow field measurements, offering a viable solution for monitoring wall parameter fluctuations in scenarios where sensor installation is impractical. Moreover, it facilitates the acquisition of an enriched dataset of flow information, all with a modest investment of resources. In this paper, we introduce the development of a Convolutional Neural Network (CNN) designed to predict the wall pressure distribution induced by shock wave/boundary layer interactions, utilizing conventional schlieren imaging data. The primary emphasis of our study is on evaluating the predictive efficacy of the CNN and, through a comparative analysis of the performance of networks trained on varying datasets, we aim to assess the network’s ability to generalize its predictions across a spectrum of flow conditions. This research represents a significant step towards enhancing our understanding of complex flow phenomena and optimizing the design and operation of high-speed vehicles.

2. Constructing the Ground Test Dataset

2.1. Wind Tunnel and Test Models

Within the scope of this research, we have utilized wind tunnel experimentation as a means to procure a comprehensive dataset. This dataset is meticulously compiled from the schlieren imagery and pressure data, which serve as the foundational elements for our analysis. The experimental study was carried out in the 0.5 m diameter hypersonic wind tunnel facility at the Hypervelocity Aerodynamics Research Institute, China Aerodynamics Research and Development Center. This wind tunnel is characterized by its impulsive design, which is powered by a continuous resistance heater and employs a combination of high-pressure bottom-blowing and vacuum suction for operation. Utilizing pure air as the test medium, the wind tunnel features a Mach 6 nozzle with an exit diameter of 500 mm. The test section, designed as a cube, measures 2500 mm in length, width, and height. The supersonic free jet emanating from the nozzle traverses the test section and is subsequently captured by a diffuser before being directed into a vacuum sphere tank. The wind tunnel is capable of sustaining operations for a maximum duration of 60 s. The operational parameters for the wind tunnel experiments detailed in this paper are outlined in Table 1.
In the course of wind tunnel experimentation, precise target controls were meticulously executed in accordance with the stipulated total pressures and total temperatures detailed in Table 1. Concurrently, the actual values for the incoming total pressure and total temperature were ascertained and computed in real-time. Figure 1 delineates the temporal evolution of the total pressure and total temperature profiles throughout the wind tunnel’s operational cycle.
Upon commencement of the wind tunnel’s operation, the operational states of total pressure and total temperature are meticulously regulated by fine-tuning the throttle valve’s aperture and modulating the heater’s output power. The onset of a stable incoming flow is designated as the commencement of the wind tunnel’s effective operational period. Within this effective operational timeframe, the wind tunnel maintains a high degree of control precision, with the total pressure control accuracy exceeding 1.5% and the total temperature control accuracy surpassing 1%.
The experimental model is composed of a flat plate and a wedge plate, which together create a complex flow environment. The wedge plate generates an oblique shock wave that impacts the boundary layer on the upper surface of the flat plate. Subsequently, this wave is reflected as another oblique shock wave from the wall, which then interacts with the lower surface of the wedge plate. This interaction results in a series of shock wave/boundary layer interference patterns within the interstage region, as depicted in the schematic and photographic illustration of the model installed in the wind tunnel, presented in Figure 2.
The flat plate measures 510 mm in length and 240 mm in width. To counteract the upwash effect around the underside of the flat plate, deflectors with a downward angle of 15° and a width of 48.5 mm are strategically positioned on both sides. The wedge plate itself is an assembly that includes a wedge and a flat plate section, characterized by a 20° wedge angle and a base height of 30 mm. Spanning a total length of 300 mm and a width of 120 mm—equivalent to half the width of the flat plate—the wedge plate is positioned parallel and directly above the flat plate, maintaining symmetry on both the left and right sides. The flow path distance between the leading edge of the flat plate and that of the wedge plate is set at 210 mm.
The vertical distance from the upper surface of the flat plate to the corner of the wedge plate is precisely 23 mm. A coordinate system is affixed to the flat plate, with the x-axis, y-axis, and z-axis aligned with the flow direction, wall normal direction, and spanwise direction, respectively. The x-axis coincides with the centerline of the flat plate, and the origin (O) is defined at the leading edge of the flat plate. For adjustments in the angle of attack of the wedge plate through the model mechanism, the theoretical pivot point is situated at the coordinates (229 mm, 38 mm, 0 mm).
At a Mach number of 6, with a total pressure of 1.0 MPa and an inter-stage spacing (h = 23 mm), an experiment involving the continuous variation of the wedge plate’s angle of attack from −5° to 0° was performed. The model mechanism was designed to achieve a target angular velocity of 2° per second, with each experimental run lasting a total of 3 s. Given that the model mechanism undergoes an acceleration and deceleration phase before and after reaching the target angular velocity ω, and to ascertain the real-time angle of attack of the wedge plate, it is postulated that the model mechanism has an average angular acceleration ω ˙ when either reaching the target angular velocity or decelerating to a stop, over a period t a . This relationship is expressed as: ω ˙ t a = ω .
The angular displacement θ and the time t total required for the model mechanism to start and stop are related to ω ˙ and t a by the following equation:
ω ˙ t a 2 + ( t total 2 t a ) ω = θ
Using these two equations, along with the given conditions, it is determined that ω ˙ is 4 º/s2, and the time t a for acceleration (or deceleration) is approximately 0.5 s. Consequently, the angular velocity and the corresponding variation of the angle of attack over time throughout the experiment are illustrated in Figure 3.
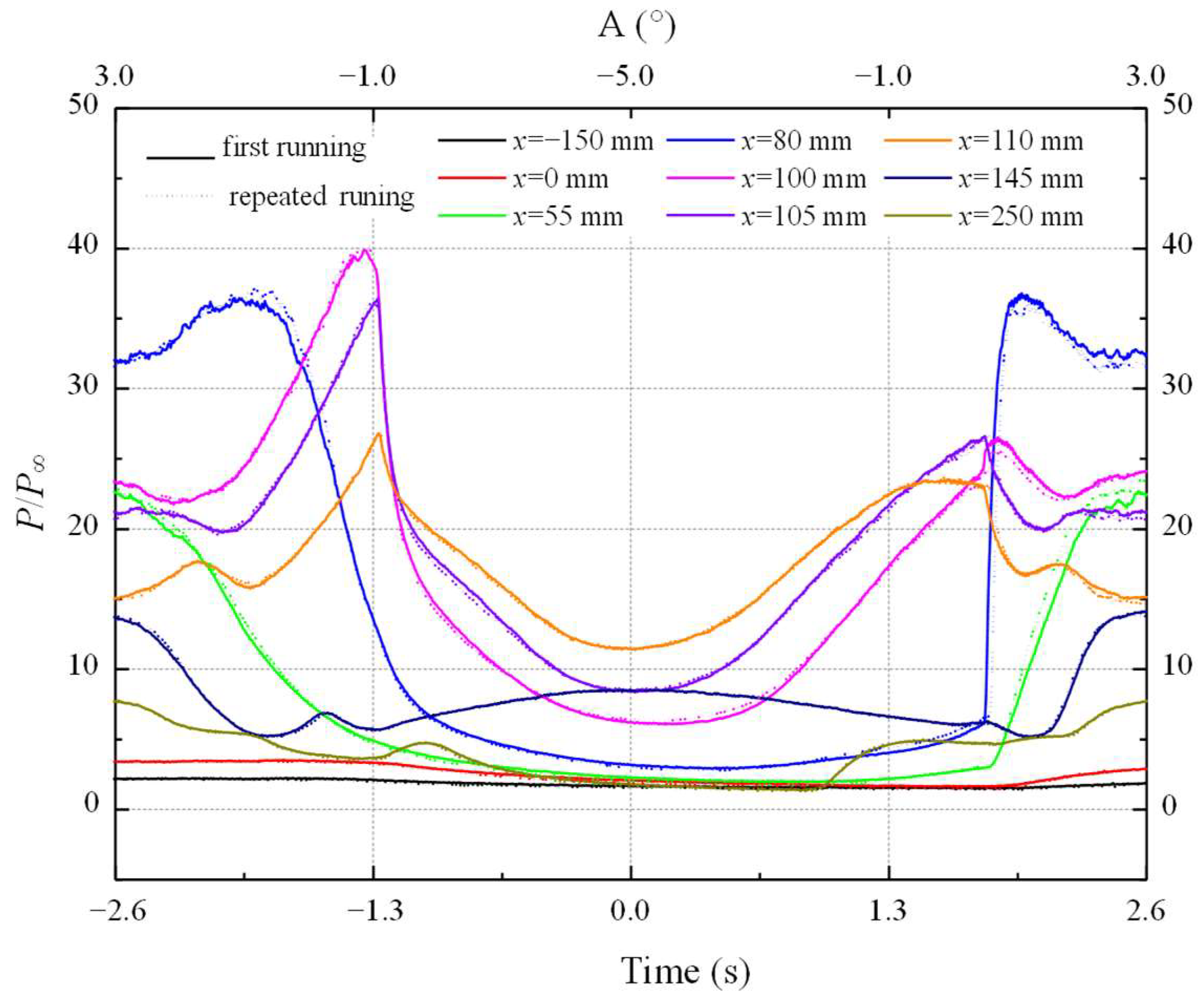
To ascertain the precision of our sensor measurements, we have previously undertaken a meticulous repeatability experiment on a flat plate within a Mach 5 flow environment. Throughout the course of this experiment, the orientation of the shock wave generator was systematically altered, transitioning smoothly from a 3-degree angle to a 5-degree position, and subsequently to the original position (3-degree angle). The pressure measurements along the wall centerline for the flat plate, derived from our series of repetitive experiments, are depicted in Figure 4. The pressure traces at equivalent positions on the models of the flat plate from these experiments correlate closely over the duration of the tests (that is, as the angle of attack varies). These traces adeptly capture the nuances of wall pressure fluctuations in response to the shifting intensity of the impinging shock wave, with particular emphasis on the pivotal moments when the inter-stage flow field shifts from a state of blockage to one of flow. It is also important to highlight that the most significant discrepancies in the pressure readings at various points tend to arise in the vicinity of the pressure curve peaks. On the flat plate, the greatest pressure deviation is observed at the measurement point located 500 mm from the reference point (exhibiting a local relative deviation of 4.3%), which coincides with the region near the shock wave’s impact in the inter-stage area where the flow is obstructed, and pressure pulsations are most pronounced. Given that these measurements stem from two separate dynamic experiments, the observed repeatability in the pressure measurements is deemed to fall within a satisfactory and acceptable range, underscoring the reliability of our experimental approach.

2.2. Experimental Measurement Methods

Along the centerline of the plate’s upper surface, a total of 38 static pressure measurement points are strategically positioned, spanning a flow direction range from 100 mm to 500 mm (as illustrated in Figure 2b). These measurements are crucial for mapping the wall pressure distribution, which in turn allows for the identification of the wave structures impacting the wall. The precision of these static pressure readings is ensured by an electronic pressure scanning system, equipped with a scanner module that has a range of 69 kPa and an accuracy level of 0.2% of the full scale (FS).
For capturing the subtleties of the flow dynamics, a schlieren imaging system with a 500 mm diameter observation window is employed, featuring a “Z”-shaped optical path configuration. This system is particularly instrumental during dynamic state experiments, where an NAC ACS-3 M16 high-speed camera is utilized. This camera is capable of recording high-speed schlieren image sequences at an impressive 4000 frames per second, with an image resolution of 1280 × 720 pixels, translating to an approximate resolution of 0.4 mm/pixel. This level of detail enables the capture of intricate flow phenomena with remarkable clarity.

2.3. Characteristics of the Shock Wave/Boundary Layer Interaction

Initially, we delve into the intricacies of the flow characteristics associated with shock boundary layer interaction (SBLI), as shown in Figure 5. The alteration of the attack angle of the shock generator precipitates a cascade of different flow states between the generator and the lower wall panel. With a diminishing angle of the shock generator, the intensity of the leading edge shock wave escalates, concomitant with an amplified reverse pressure gradient upon the shock’s impact with the plate. Consequently, the smaller the angle of the shock generator, the more pronounced the boundary layer separation zone becomes.
At an angle of 5 degrees, the impinging shock and the plate’s boundary layer interact, resulting in the formation of a separation zone, a separation shock, and a reattachment shock. Our observations reveal that the separation shock and the reattachment shock coalesce into a reflected shock, which, upon encountering the lower wall of the shock generator, gives rise to a secondary reflected shock. The corresponding pressure distribution along the wall exhibits an initial increase followed by a decrease along the x-axis. The pressure peaks at the inception point, or reattachment point, of the reattachment shock wave, aligning with the expected wall pressure signature of SBLI.
As the angle of attack is further reduced (A = −3 and A = 0 degrees), the pressure at the shock reattachment point continues to peak, with the maximum value escalating due to the enhanced intensity of the incident shock wave and the expanded size of the separation zone. With the reflection angle of the primary reflected shock diminishing, a shock train structure emerges between the shock generator and the plate, characterized by a sequence of continuous multiple reflections. Notably, a second pressure peak emerges at the point of shock wave emission, indicating the complex interplay between shock waves and boundary layers in the flow field.
The Root Mean Square (RMS) images illustrating the oscillations within the flow field, as presented in Figure 6, distinctly reveal a heightened intensity of flow perturbations with the reduction of the shock generator’s angle. The impact is notably pronounced in regions where the separation shock, reattachment shock, and separation bubble occur. This escalation can be attributed to the stronger impingement of the incident shock wave, coupled with the expansion in the dimensions of the separation bubble. These visual representations underscore the direct correlation between the generator’s angle and the resultant flow dynamics, offering a nuanced perspective on the complex interplay of forces within the flow field.

2.4. Dataset Construction for the CNN

To construct a convolutional neural network (CNN) capable of forecasting wall pressures within a flow field, we have assembled a comprehensive dataset for the network’s training regimen. This dataset encompasses a collection of wall pressure measurements and corresponding schlieren imagery, captured across 31 discrete measurement points that span the axial direction of the flow. Given the disparity in sampling rates between pressure transduction and schlieren visualization, we have synchronized the schlieren imagery with the pressure data by sampling the imagery at select intervals, ensuring temporal alignment. Figure 7 illustrates the temporal evolution of wall pressures at various measurement points along the flow direction (x = 100~500), encompassing a total of 800 temporal data points. It is observable that at the 0.8 s mark, coincident with the initiation of the shock generator, there is a detectable alteration in pressures at specific measurement points.
Each schlieren image within our dataset is rendered at a resolution of 1224 × 156 pixels, with pixel grayscale values ranging from 0 to 255. To enhance the convergence velocity of the neural network during training, we have implemented a normalization process for both the wall pressure values and the pixel grayscale values, scaling them to a uniform range of 0 to 1. Post-normalization, the dataset was meticulously partitioned into a training set and a test set, adhering to an 8:2 ratio. This segmentation allocates 160 data sets to the test set, with the remaining 640 comprising the training set. A subset of 64 data sets from the training group was earmarked for validation purposes, serving to assess the general performance of the model after training. This subset was instrumental in the refinement of the network’s parameters.

3. Convolutional Neural Network Development

Convolutional Neural Network (CNN) is an important component of deep learning research. With the emergence of deep learning theory and the improvement of numerical computing devices, convolutional neural networks have experienced rapid development. He et al. [25] present a residual learning framework and reformulate the layers as learning residual functions with reference to the layer inputs. Their empirical evidence showing that the ResNet eases the optimization by providing faster convergence at the early stage when the net is “not overly deep”. Furthermore, the ResNets overcome the optimization difficulty and demonstrate accuracy gains when the depth increases. The degradation problem is well addressed in this setting. Yang et al. [26] developed an HCGNet based on the Hybrid Connectivity (nested combination of global dense and local residual) and Gated mechanisms. The HCGNet is more prominently efficient than DenseNet and can also significantly outperform state-of-the-art networks with less complexity. Moreover, HCGNet also shows the remarkable interpretability and robustness by network dissection and adversarial defense, respectively. On MS-COCO, HCGNet can consistently learn better features than popular backbones. Liu et al. [27] gradually “modernize” a standard ResNet toward the design of a vision Transformer, and propose a ConvNeXts, which is constructed entirely from standard ConvNet modules. ConvNeXts compete favorably with Transformers in terms of accuracy and scalability. Moreover, ConvNeXt maintains the efficiency of standard ConvNets, and the fully convolutional nature for both training and testing makes it extremely simple to implement.
In this study, we have developed a Convolutional Neural Network (CNN) to forecast the distribution of wall pressure, as depicted in Figure 8. The grayscale values from schlieren images are fed into the network as inputs, with the resulting wall pressure distribution of the flat plate serving as the desired output. The architecture of the CNN is composed of convolutional layers, max pooling layers, and fully connected layers, designed to harness the rich information encoded in the schlieren imagery and to facilitate the extraction of multi-scale flow characteristics through three dedicated convolutional layers. A precise one-to-one correspondence is formulated between the lower wall pressures of the flat plate and the flow field, which is articulated in the subsequent equation:
p = u ( f , h )
Here, p signifies the pressure on the lower wall as measured by the pressure sensor and corresponds to the output of the network. f denotes the flow field parameter, represented by each pixel value of the input schlieren image. u is a function that encapsulates the entire network structure, and h encompasses all the learnable parameters within the network, which are optimized during the training process to achieve the mapping from the flow field to the wall pressure distribution.
In this research, we employ the open-source software framework Tensorflow 2.0 for training our network model. The loss function is pivotal in gauging the discrepancy between the model’s output and the actual values. To enhance the precision of the model training, the loss function is articulated by the equation presented below:
L o s s = 1 N i = 1 N   ( p i   p i t   ) 2 + λ Ω ( h )
In this equation, p i t denotes the actual pressure measurements; p i signifies the pressure estimates provided by the neural network. N is the total count of pressure data points. The equation is bifurcated into an empirical risk minimization component, which is the first half focusing on the mean squared error, and a regularization term encapsulated by the second half, which includes an L2 penalty. This regularization term, represented by Ω ( h ) , is crucial for avoiding overfitting and is controlled by the hyperparameter λ.
The backpropagation algorithm is engaged to refine the network parameters. Selecting the right optimizer is essential for effective model training. We have chosen the Adaptive Moment Estimation (Adam) optimizer, which is renowned for its adaptive learning rate based on the low-order moments. Adam is particularly adept at converging to the global minimum of the loss function. A comprehensive outline of the parameters utilized for network training is delineated in Table 2, providing a clear view of the configuration that guides the training process.
The descent curves of the loss functions for the trio of model are elegantly captured in Figure 9. These curves demonstrate a steady decline in loss values, culminating in convergence after a predefined number of epochs. Notably, the model exhibits compelling performance, with its loss achieving a minimal value of 0.01. Upon reaching convergence, the network parameters of the model are meticulously saved. This preservation of the optimized parameters is a critical step, as it allows for the subsequent evaluation and validation of the model’s predictive capabilities in the testing phase. This approach ensures that the model’s learned behavior is retained and can be harnessed for further analysis, thereby solidifying the reliability and robustness of our predictive framework.

4. Results and Analysis

In order to assess the efficacy of our developed neural network, a comparative analysis was conducted between the actual experimental data from six pressure measurement points within the test set and the corresponding predictions made by the network, as depicted in Figure 10. The findings from this figure indicate that the neural network demonstrates a generally robust predictive performance across the test set. However, discrepancies are noted where certain predicted values significantly diverge from their actual counterparts. Specifically, at the locations x = 305 mm (adjacent to the first disturbance zone) and x = 420 mm (adjacent to the second disturbance zone), the network’s predictive accuracy is marginally less satisfactory, with maximum deviations peaking at 19.3% and 33.4% respectively. These discrepancies can be attributed to the substantial pressure variations that occur at these points in response to changes in the angle of the shock generator. Additionally, at the position x = 225 mm, the flow undergoes a transition from a laminar boundary layer to the boundary of flow separation within the first disturbance zone as the shock generator’s angle varies. This transition is accompanied by significant pressure fluctuations, leading to a notable divergence between the predicted and actual data points.
To assess the accuracy with which our constructed neural network predicts the distribution of wall pressures, we analyzed the pressure distributions at eight distinct time points, spanning the transition from the initial disturbance zone to the presence of two such zones. Figure 11 illustrates a comparison between the experimentally obtained and the network’s predicted pressure distributions. Upon examination of the figure, it is evident that there is a remarkable alignment between the experimental and predicted data across these time points, indicating a high level of predictive accuracy. The neural network has, in essence, successfully achieved the reliable forecasting of wall pressure distributions utilizing image grayscale data. Furthermore, it has demonstrated the ability to accurately identify and capture the pressure peaks at the reattachment point within the first disturbance zone, as well as at the shock entry point within the second disturbance zone.
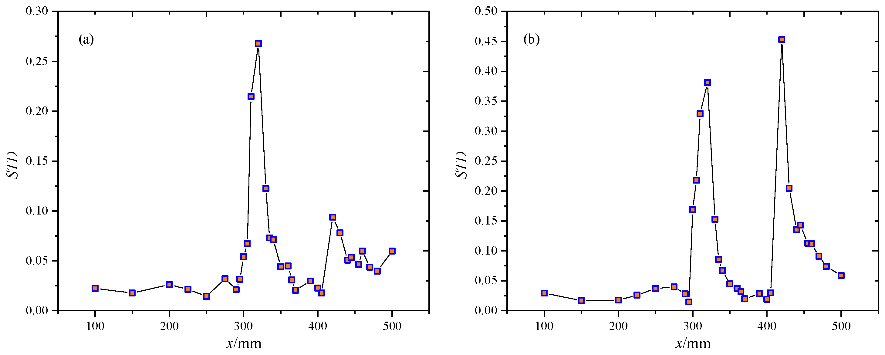
In order to analyze the forecast discrepancies, the standard deviation of each monitoring point was calculated in the early phase dataset (t = 0 to 0.3 s) and the late phase dataset (t = 0.7 to 5 s), and the distribution of these standard deviations was compiled, as shown in Figure 12. Notably, substantial prediction errors are observed in the vicinity of the primary and secondary disturbance zones, particularly at the reattachment and shock impingement sites. This discrepancy is attributed to substantial variations in pressure and pronounced pulsations within the flow field at these specific locations, which negatively impact the stability of the forecasted values. Nevertheless, the standard deviation for the pressure prediction errors at the majority of the monitoring points remains below 0.1, which is indicative of a robust overall predictive performance. Furthermore, the pressure distribution curves derived from the forecasts are found to align closely with the actual measurements, underscoring the superior predictive capabilities of the trained network.
Subsequently, we trained the network using different datasets to enhance our prediction modeling. Dataset 1 contains the top 25% of the data, which forms Model 1. Expanding Dataset 2 to include the top 50% of the data forms Model 2. Expanding the dataset to include the top 75% of the data resulted in Model 3. Model 4 was developed from a composite dataset that includes 25% of the initial and final parts of the data, as shown in Figure 7. These four different dataset models were used to train the network and enhance our prediction modeling. Throughout the training process, it was observed that the losses for both the training and validation sets reached convergence at equivalent levels, as depicted in Figure 13, indicating the absence of overfitting within the models.
We undertook a comparative analysis of actual versus forecasted pressure values across eight distinct time frames (0.5 s, 1.0 s, 1.5 s, 2.0 s, 2.5 s, 3.0 s, 3.5 s, and 4 s) at each measurement point, as depicted in Figure 14. The findings from the figure suggest that at the 0.5 s and 1.0 s marks, all four models exhibited commendable predictive accuracy, with the projected pressure distributions closely aligning with the empirical data. At the 1.5 s mark, Models 2 and 3 outperformed the others in predictive accuracy, whereas Model 1, while capable of forecasting the general shape of the pressure distribution, notably diverged from the actual measurements, particularly at the pressure peak within the first disturbance zone. Model 4 exhibited diminished predictive performance within the second disturbance zone. By the 2.0 s mark, Model 3 had improved predictive outcomes, contrasting with Model 2, which saw a decline in performance. At the 2.5 s mark, Model 3 maintained satisfactory predictive performance despite a slight underestimation of the pressure peaks, whereas Models 1 and 2 demonstrated diminished predictive accuracy in the vicinity of the first disturbance zone, and Model 4 underperformed at both disturbance locations. At the 3.0 s mark, Model 4 achieved the most accurate predictions, whereas Model 3, despite minor inaccuracies in peak pressure predictions, still performed credibly. Models 1 and 2, however, struggled to precisely forecast the pressure peaks in the second disturbance zone and encountered larger prediction discrepancies in the first. For the 3.5 s and 4.0 s time frames, Model 4 continued to show superior predictive performance, in contrast to Models 1, 2, and 3, which exhibited relatively weaker predictive capabilities. A thorough examination indicates that Models 1, 2, and 3 possess limited generalization abilities, with Model 4 showing marginally better performance, albeit with continued challenges in accurately predicting pressures near the second disturbance zone. This suggests that models developed using conventional convolutional neural networks excel on the data they were trained on but falter when confronted with novel data, thereby highlighting their lack of robust generalization potential.

5. Conclusions

This study presents a pioneering data-driven approach that employs non-contact schlieren imaging to predict wall pressures in fluid dynamics, specifically within the context of high-speed shock wave/boundary layer interactions. The deployment of a Convolutional Neural Network (CNN) has been notably successful, providing a robust framework for the analysis and prediction of wall pressure changes. Our methodology utilizes an impulsive wind tunnel facility operating at a Mach number of 6 to generate a rich dataset of schlieren images and synchronized wall pressure measurements across varying attack angles.
The trained CNN model has demonstrated exceptional predictive accuracy, surpassing the 95% threshold, which underscores its reliability and potential utility in the optimization of variable-geometry systems. However, it is noteworthy that the model’s performance experiences a slight decrease in areas with the most significant pressure fluctuations, indicating room for improvement.
To probe the model’s generalization capabilities, the dataset was divided according to various temporal segments, revealing that while the generalization across models was not uniformly excellent, Model 4 stood out with its superior generalization. This insight suggests that the incorporation of an expanded training dataset and the enhancement of the network’s architecture are promising directions for future research.
Overall, the success of this CNN-based predictive model marks a significant advancement in the field of fluid dynamics, offering a viable alternative to traditional measurement techniques. It paves the way for more efficient and precise methods of flow field analysis and design optimization, contributing to the broader application of machine learning in complex scientific domains.

Author Contributions

Methodology, H.W., X.F. and F.X.; Validation, G.W. and F.X.; Investigation, H.W., X.F. and F.X.; Resources, X.F.; Data curation, G.W.; Writing—original draft, H.W.; Supervision, Y.Y. and G.W.; Funding acquisition, Y.Y. All authors have read and agreed to the published version of the manuscript.

Funding

This research was funded by the National Key Research and Development Program of China (No. 2019YFA0405300) and the National Natural Science Foundation of China (Nos. U2341277, 12002363, 12202473, 12102449 and 52007187).

Data Availability Statement

The data that support the findings in this study are available from the corresponding author upon reasonable request.

Conflicts of Interest

The authors declare no conflicts of interest.

References

  1. Dou, L.; Su, P.; Ding, Z. Modeling and nonlinear control for air-breathing hypersonic vehicle with variable geometry inlet. Aerospace. Sci. Technol. 2017, 67, 422–432. [Google Scholar]
  2. Huang, W.; Wu, H.; Yang, Y.; Yan, L.; Li, S. Recent advances in the shock wave/boundary layer interaction and its control in internal and external flows. Acta Astronaut. 2020, 174, 103–122. [Google Scholar] [CrossRef]
  3. Fan, X.H.; Wang, G.; Lin, J.Z.; Yang, Y.G.; Tang, Z.G. Effects of expansion waves on incident shock-wave/boundary-layer interactions in hypersonic flows. Phys. Fluids 2023, 35, 056121. [Google Scholar] [CrossRef]
  4. Liu, X.; Zhong, J.; Dong, Z.; Fan, X.; Zou, D.; Liu, Y.; Peng, D. Low-frequency large-scale unsteadiness analysis of lateral jet interactions on a slender cylinder in hypersonic flows using fast-responding pressure-sensitive paint. Exp. Therm. Fluid Sci. 2024, 152, 111113. [Google Scholar] [CrossRef]
  5. Li, Y.F.; Chang, J.T.; Kong, C.; Bao, W. Recent progress of machine learning in flow modeling and active flow control. Chin. J. Aeronaut. 2022, 35, 14–44. [Google Scholar] [CrossRef]
  6. Hemming, N. A Methodology for Rapid Hypersonic Flow Predictions via Surrogate Modeling with Machine Learning and Deep Learning. Master’s Thesis, Lowa State University ProQuest Dissertations & Theses, Ames, IA, USA, 2018. [Google Scholar]
  7. Fukami, K.; Fukagata, K.; Taira, K. Super-resolution reconstruction of turbulent flows with machine learning. J. Fluid Mech. 2019, 870, 106–120. [Google Scholar] [CrossRef]
  8. Fukami, K.; Fukagata, K.; Taira, K. Machine-learning-based spatio-temporal super resolution reconstruction of turbulent flows. J. Fluid Mech. 2021, 909, A9. [Google Scholar] [CrossRef]
  9. Kong, C.; Chang, J.T.; Wang, Z.A.; Li, Y.F.; Bao, W. Data-driven super-resolution reconstruction of supersonic flow field by convolutional neural networks. AIP Adv. 2021, 11, 065321. [Google Scholar] [CrossRef]
  10. Wang, Z.B.; Li, X.R.; Liu, L.H.; Wu, X.C.; Hao, P.F.; Zhang, X.W.; He, F. Deep-learning-based super-resolution reconstruction of high-speed imaging in fluids. Phys. Fluids 2022, 34, 037107. [Google Scholar] [CrossRef]
  11. Bertrand, X.; Tost, F.; Champagneux, S. Wing Airfoil Pressure Calibration with Deep Learning. In Proceedings of the AIAA Aviation 2019 Forum, Dallas, TX, 17–21 June 2019; p. 3066. [Google Scholar]
  12. Li, H.; Tan, J.G. Cluster-based Markov model to understand the transition dynamics of a supersonic mixing layer. Phys. Fluids 2020, 32, 056104. [Google Scholar] [CrossRef]
  13. Zhong, J.Y.; Wang, Z.J.; Zhang, B.; Yao, Y.Q.; Liu, Y.P. Research on parameters optimization of high voltage circuit breaker nozzle based on image recognition and deep learning. IEEJ Trans. Electr. Electron. Eng. 2021, 16, 496–504. [Google Scholar]
  14. Liu, Z.; Ning, F.L.; Zhai, Q.B.; Ding, H.; Wei, J. A novel reduced-order model for predicting compressible cavity flows. J. Aircr. 2022, 59, 58–72. [Google Scholar] [CrossRef]
  15. Kong, C.; Chang, J.T.; Li, Y.F.; Wang, Z.A. A deep learning approach for the velocity field prediction in a scramjet isolator. Phys. Fluids 2021, 33, 026103. [Google Scholar] [CrossRef]
  16. Rozov, V.; Breitsamter, C. Data-driven prediction of unsteady pressure distributions based on deep learning. J. Fluids Struct. 2021, 104, 103316. [Google Scholar] [CrossRef]
  17. Wu, H.; Zhao, Y.P.; Tan, H.J. A novel neural network based on dynamic time warping and Kalman filter for real-time monitoring of supersonic inlet flow patterns. Eng. Appl. Artif. Intell. 2021, 102, 104258. [Google Scholar] [CrossRef]
  18. Ren, H.J.; Wang, S.; Yuan, X.X.; Chen, J.Q.; Zhang, Y.F.; Xiang, X.H. A flight test based deep learning method for transition heat flux prediction in hypersonic flow. Phys. Fluids 2022, 34, 054106. [Google Scholar] [CrossRef]
  19. Yu, J.; Hesthaven, J.S. Flowfield reconstruction method using artificial neural network. AIAA J. 2019, 57, 482–498. [Google Scholar] [CrossRef]
  20. Li, Y.F.; Chang, J.T.; Wang, Z.A.; Kong, C. Inversion and reconstruction of supersonic cascade passage flow field based on a model comprising transposed network and residual network. Phys. Fluids 2019, 31, 126102. [Google Scholar] [CrossRef]
  21. Li, Y.F.; Chang, J.T.; Kong, C.; Wang, Z.A. Flow field reconstruction and prediction of the supersonic cascade channel based on a symmetry neural network under complex and variable conditions. AIP Adv. 2020, 10, 065116. [Google Scholar] [CrossRef]
  22. Kong, C.; Chang, J.T.; Li, Y.F.; Li, N. Flowfield reconstruction and shock train leading edge detection in scramjet isolators. AIAA J. 2020, 58, 4068–4080. [Google Scholar] [CrossRef]
  23. Li, Y.F.; Chang, J.T.; Wang, Z.A.; Kong, C. An efficient deep learning framework to reconstruct the flow field sequences of the supersonic cascade channel. Phys. Fluids 2021, 33, 056106. [Google Scholar] [CrossRef]
  24. Chen, H.; Guo, M.M.; Tian, Y.; Le, J.L.T.; Zhang, H.; Zhong, F.Y. Intelligent reconstruction of the flow field in a supersonic combustor based on deep learning. Phys. Fluids 2022, 34, 035128. [Google Scholar] [CrossRef]
  25. He, K.; Zhang, X.; Ren, S.; Sun, J. Deep residual learning for image recognition. In Proceedings of the IEEE Conference on Computer Vision and Pattern Recognition, Las Vegas, NY, USA, 10–17 June 2016; pp. 770–778. [Google Scholar]
  26. Yang, C.; An, Z.; Zhu, H.; Zhang, K.; Xu, K.; Li, C.; Xu, Y. Gated Convolutional Networks with Hybrid Connectivity for Image Classification. In Proceedings of the AAAI Conference on Artificial Intelligence, New York, NY, USA, 7–12 February 2020; Volume 34, pp. 12581–12588. [Google Scholar]
  27. Liu, Z.; Mao, H.; Wu, C.Y.; Feichtenhofer, C. A Convnet for the 2020s. In Proceedings of the IEEE/CVF Conference on Computer Vision and Pattern Recognition, New Orleans, LA, USA, 18–24 June 2022; pp. 11976–11986. [Google Scholar]
Figure 1. The chronological progression of total pressure and total temperature throughout the wind tunnel’s operation.
Figure 1. The chronological progression of total pressure and total temperature throughout the wind tunnel’s operation.
Fluids 09 00173 g001
Figure 2. Experimental model layout. (a) Side view schematic. (b) Top view schematic. (c) Physical photograph.
Figure 2. Experimental model layout. (a) Side view schematic. (b) Top view schematic. (c) Physical photograph.
Fluids 09 00173 g002
Figure 3. (a) The rotational angular velocity of the shock generator and (b) the variation of the angle of attack.
Figure 3. (a) The rotational angular velocity of the shock generator and (b) the variation of the angle of attack.
Fluids 09 00173 g003
Figure 4. Temporal variation of pressure on the flat plate during wind tunnel operations.
Figure 4. Temporal variation of pressure on the flat plate during wind tunnel operations.
Fluids 09 00173 g004
Figure 5. Schlieren images of the flow field at different shock generator angles of attack and the corresponding pressure distributions. (a) A = −5°; (b) A = −2°; and (c) A = 0.
Figure 5. Schlieren images of the flow field at different shock generator angles of attack and the corresponding pressure distributions. (a) A = −5°; (b) A = −2°; and (c) A = 0.
Fluids 09 00173 g005
Figure 6. RMS images of flow field oscillations at different shock generator angles of attack. (a) A = −5°; (b) A = 0.
Figure 6. RMS images of flow field oscillations at different shock generator angles of attack. (a) A = −5°; (b) A = 0.
Fluids 09 00173 g006
Figure 7. Pressure variations at different measurement points with respect to time or changes in angle of attack (A).
Figure 7. Pressure variations at different measurement points with respect to time or changes in angle of attack (A).
Fluids 09 00173 g007
Figure 8. The architecture of the Convolutional Neural Network (CNN) for predicting wall pressure.
Figure 8. The architecture of the Convolutional Neural Network (CNN) for predicting wall pressure.
Fluids 09 00173 g008
Figure 9. The computation of loss for the network during training.
Figure 9. The computation of loss for the network during training.
Fluids 09 00173 g009
Figure 10. An assessment of the concordance between actual and projected pressure values within the test dataset, alongside an analysis of predictive deviation. (a) x = 250 mm; (b) x = 295 mm; (c) x = 310 mm; (d) x = 330 mm; (e) x = 350 mm; and (f) x = 430 mm.
Figure 10. An assessment of the concordance between actual and projected pressure values within the test dataset, alongside an analysis of predictive deviation. (a) x = 250 mm; (b) x = 295 mm; (c) x = 310 mm; (d) x = 330 mm; (e) x = 350 mm; and (f) x = 430 mm.
Fluids 09 00173 g010
Figure 11. Comparison of pressure actual measurements and predictions at different time points. (a) t = 0.5 s; (b) t = 1 s; (c) t = 1.5 s; (d) t = 2 s; (e) t = 2.5 s; (f) t = 3 s; (g) t = 3.5 s; and (h) t = 4.0 s.
Figure 11. Comparison of pressure actual measurements and predictions at different time points. (a) t = 0.5 s; (b) t = 1 s; (c) t = 1.5 s; (d) t = 2 s; (e) t = 2.5 s; (f) t = 3 s; (g) t = 3.5 s; and (h) t = 4.0 s.
Fluids 09 00173 g011
Figure 12. Variability in pressure prediction discrepancies across measurement points. (a) Standard deviation of prediction errors for the early phase dataset (t = 0 to 0.3 s). (b) Standard deviation of prediction errors for the later phase dataset (t = 0.7 to 5 s).
Figure 12. Variability in pressure prediction discrepancies across measurement points. (a) Standard deviation of prediction errors for the early phase dataset (t = 0 to 0.3 s). (b) Standard deviation of prediction errors for the later phase dataset (t = 0.7 to 5 s).
Fluids 09 00173 g012
Figure 13. The computation of loss for the network during training. (a) Model 1; (b) Model 2; (c) Model 3; and (d) Model 4.
Figure 13. The computation of loss for the network during training. (a) Model 1; (b) Model 2; (c) Model 3; and (d) Model 4.
Fluids 09 00173 g013
Figure 14. Predicted pressure distributions across time intervals utilizing diverse models. (a) t = 0.5 s; (b) t = 1 s; (c) t = 1.5 s; (d) t = 2 s; (e) t = 2.5 s; (f) t = 3 s; (g) t = 3.5 s; and (h) t = 4.0 s.
Figure 14. Predicted pressure distributions across time intervals utilizing diverse models. (a) t = 0.5 s; (b) t = 1 s; (c) t = 1.5 s; (d) t = 2 s; (e) t = 2.5 s; (f) t = 3 s; (g) t = 3.5 s; and (h) t = 4.0 s.
Fluids 09 00173 g014
Table 1. Free stream parameters.
Table 1. Free stream parameters.
MaP0 (KPa)T0 (K)P (Pa)T (K)Rel (×107 m−1)
61030446652.454.41.045
Table 2. Outline of the hyperparameters utilized for network training.
Table 2. Outline of the hyperparameters utilized for network training.
Layer (Type)Output ShapeParam #
conv2d (Conv2D) (None, 76, 610, 32)832
max_pooling2d (MaxPooling 2D)(None, 38, 305, 32)0
conv2d_1 (Conv2D) (None, 18, 152, 64)18,496
max_pooling2d_1 (MaxPooling 2D)(None, 9, 76, 64)0
conv2d_2 (Conv2D)(None, 4, 37, 128)73,856
max_pooling2d_2 (MaxPooling 2D)(None, 1, 9, 128)0
flatten (Flatten)(None, 1152)0
dense (Dense)(None, 128)147,584
dense_1 (Dense)(None, 31)3999
Disclaimer/Publisher’s Note: The statements, opinions and data contained in all publications are solely those of the individual author(s) and contributor(s) and not of MDPI and/or the editor(s). MDPI and/or the editor(s) disclaim responsibility for any injury to people or property resulting from any ideas, methods, instructions or products referred to in the content.

Share and Cite

MDPI and ACS Style

Wang, H.; Fan, X.; Yang, Y.; Wang, G.; Xie, F. Predicting Wall Pressure in Shock Wave/Boundary Layer Interactions with Convolutional Neural Networks. Fluids 2024, 9, 173. https://doi.org/10.3390/fluids9080173

AMA Style

Wang H, Fan X, Yang Y, Wang G, Xie F. Predicting Wall Pressure in Shock Wave/Boundary Layer Interactions with Convolutional Neural Networks. Fluids. 2024; 9(8):173. https://doi.org/10.3390/fluids9080173

Chicago/Turabian Style

Wang, Hongyu, Xiaohua Fan, Yanguang Yang, Gang Wang, and Feng Xie. 2024. "Predicting Wall Pressure in Shock Wave/Boundary Layer Interactions with Convolutional Neural Networks" Fluids 9, no. 8: 173. https://doi.org/10.3390/fluids9080173

APA Style

Wang, H., Fan, X., Yang, Y., Wang, G., & Xie, F. (2024). Predicting Wall Pressure in Shock Wave/Boundary Layer Interactions with Convolutional Neural Networks. Fluids, 9(8), 173. https://doi.org/10.3390/fluids9080173

Article Metrics

Back to TopTop