Abstract
The main objective of this study is to demonstrate the active influence on the location of the bow shock wave, as well as on the parameters of an aerodynamic body, of a gas discharge organized near the frontal surface, between the body and the bow shock wave. The research is carried out using both experimental and numerical methods at the freestream Mach number M = 6.8. The working gas is xenon. It is shown that the location of the steady bow shock wave, along with the current and power of the discharge, is associated with the change in the adiabatic index of the plasma created by the discharge, which, in turn, is determined by plasma parameters such as the degrees of nonequilibrium and the degree of ionization. It is shown that the adiabatic index with the power supplied to the impact zone in the range of 30–120 kW can both increase and decrease in the range of 1.25–1.288. A study of the discharge-created plasma zone is conducted, and the correspondence between the gas discharge current and power and the average parameters in the plasma zone created by the discharge are presented. A good agreement between the numerical and experimental data is shown. The results obtained can be useful in the development of control systems for high-speed flows based not only on the effects of heating but also on the impact of plasma parameters.
1. Introduction
The issue of controlling the bow shock wave (BSW) represents a significant aspect of studies on high-speed flow control, as the stand-off distance (SD) of the bow shock directly affects the aerodynamic (AD) parameters of a streamlined body (see [1] by D. Knight). Surveys of research pertaining to energy deposition for flow/flight control were published by D. Knight [2], M. Ahmed and N. Qin [3], and S. Rashid et al. [4]. S. Leonov et al. provided an overview of studies devoted to the interaction of airflow with a range of surface-based gas discharges and discussed experiments concerning the control of supersonic flow structures through near-surface discharges [5,6]. I. Znamenskaya, in a review [7], discussed different visualization techniques such as refraction-based methods, electroluminescence, particle image velocimetry, and surface visualization techniques.
Theoretical aspects concerning the impact of energy release in a freestream flow on the BSW and the parameters of an AD body are discussed by P. Georgievsky and V. Levin in [8], V. Artem’ev et al. in [9], and D. Riggins et al. in [10]. Experimental investigations demonstrated the possibility of a significant influence on supersonic flow using a variety of methods, including microwave impulse (Y. Kolesnichenko et al. [11]), laser (P. Tretyakov et al. [12]), and electrical discharge (V. Bityurin et al. [13,14], N. Benard and E. Moreau [15]).
The dynamics of xenon plasma flow within a supersonic diffuser, influenced by external electric and magnetic fields, were investigated by T. Lapushkina et al. in [16]. Experimental results showed that during the heating of noble gas plasma in nonequilibrium conditions, the energy level, which determines the ionization rate, shifts toward a lower energy, which allows for the ionization of the expanding flow for subsequent magnetohydrodynamic (MHD) experiments. In [17,18], S. Bobashev et al. reveal that external electric and magnetic fields exert a significant influence on the structural transformations occurring in the supersonic flow of weakly ionized xenon, and MHD effects have a significant influence on the magnitude of the heat flux directed to the plate surface in the flow. The characteristics of the hydrodynamic phenomenon arising from high-speed flow over the surface of a blunt fin were considered by X. Zhao in [19]. It was shown that the generation of a shock wave by the rib leads to the early separation of the boundary layer in front of the rib, and the increase in pressure in the head part of the shock wave generated by the rib leads to the detachment of the boundary layer, resulting in the formation of a region of separated flow. Substantial research has been conducted to ascertain the influence of diverse energy sources, distinguished by their geometric configuration and placement, on the BSW. The influence of arc gas discharge on the position of an oblique shock wave was attributed to thermal effects and modeled by H. Yan et al. in [20]. Also, B. Tang et al. investigated how a cylindrical detached BSW is regulated and how the shock wave angle changes when a high-energy stimulation of surface arc discharge plasma is utilized [21]. These observations were explained by the heating of the gas, which then causes a deformation of the BSW.
It is notable that among the studies on BSW control by energy deposition, the influence of the degree of ionization and nonequilibrium has been studied relatively little. However, the introduction of charged particles such as electrons and ions into the gas flow around an aerodynamic body, along with thermodynamic nonequilibrium, characterized by a predominance of electron temperature over gas temperature, results in an additional displacement of the BSW compared with the consequence of purely thermal shifts. In [22], Azarova et al. compared experimental data on the thermal nonequilibrium flow of an AD body, with the results of modeling implying a thermal mechanism of the discharge action. The experiments showed that the influence of plasma on the dynamics of the BSW was associated with nonequilibrium ionization in the flow. Also, the relationship for the adiabatic index (isentropic index) and specific heat capacities depending on the degree of ionization and the degree of nonequilibrium for a monatomic plasma with local thermodynamic nonequilibrium is presented by K. Burm et al. in [23].
In [24], V. Lago et al. investigated the influence of a gas discharge near the surface of a streamlined body on the BSW. The study involves the use of electrogasdynamic methods to adjust the position of the BSW. Experimental results for a Mach 2 flow showed that increasing the power of the gas discharge near the body surface leads to an increase in the BSW SD. Numerical simulations suggested that this shift in the bow shock position is influenced by both thermal effects and specific plasma properties like thermal nonequilibrium and ionization. The control of supersonic airflow at a Mach number of 4 past an AD body using energy supply to its surface via the organization of a gas discharge across the entire cylindrical frontal surface is described by O. Azarova et al. in [25]. It was shown that supplying energy to the surface flow area makes it possible to influence both the position of the steady BSW and the aerodynamic characteristics of the body.
The main objective of the present study is to demonstrate the possibility of actively influencing the position of the BSW and the main parameters of supersonic flow over a blunt body in xenon by organizing a gas discharge near the front surface of the body in the region between the body and the BSW. The study examines the impact of plasma parameters, specifically the degree of ionization and degree of nonequilibrium, along with the gas discharge current (GDC) and discharge power, on the bow shock position in the steady-flow mode. The research is carried out using both experimental and numerical methods.
2. Experimental Setup and Results Obtained
2.1. Experimental Arrangement
The experimental part of the research was carried out on a test bench created on the basis of a shock tube with a gas-dynamic tract diameter of 5 cm. Figure 1 shows the scheme of the experimental setup. The high-pressure chamber (HPC) (1), 1 m long, designed for the pressure of pushing gas up to 100 atm, is separated from the low-pressure chamber (LPC) (2), 4.5 m long, by a diaphragm block (3) with an aluminum diaphragm, 0.4 mm thick. The chambers are preliminarily pumped out by separate pumps to a pressure of 10−3 Torr, and then the working gas xenon is pumped into the LPC to an initial pressure of 30 Torr; the pushing gas is hydrogen in the HPC. The diaphragm ruptures when the pressure in the HPC reaches 27 atm, which leads to the formation of a shock wave with a Mach number M1 = 8, which, propagating along the LPC, compresses the working gas and creates a plug of shock-compressed gas. The LPC is connected to the working chamber (4), which contains a flat, reflective, wedge-shaped supersonic nozzle with a wall angle of 11° relative to the axis and a width of 36 mm. The working chamber is separated from the LPC by a thin lavsan diaphragm (5). The shock-compressed working gas is decelerated at the end of the LPC and is ionized. After the separating diaphragm breaks, it enters the nozzle through an inlet slit 5 mm high with braking parameters, where the supersonic flow is accelerated. The working chamber is connected to the damper tank (6), where the exhaust gas is discharged.
Figure 1.
Scheme of the experimental bench.
At a distance of 23 cm from the nozzle entrance, where the flow reaches the Mach number M∞ = 6.8, a blunt, semi-cylindrical model (7) with a blunting radius of 15 mm is located on its axis. The model is clamped between two viewing side glasses (8); the width of the model corresponds to the channel width of 36 mm. A photograph of the model in the nozzle is shown in Figure 2a. Copper electrodes 5 mm wide and 30 mm long are mounted in the model at the top and bottom in the transition area of the cylindrical part to the horizontal, as shown in Figure 2b. The electrodes are connected to an external voltage source that forms a GDC near the front blunt edge of the model. The value of the voltage supplied to the circuit can be changed, thereby changing the intensity of the gas discharge. The GDC is closed at the moment when ionized working gas enters the area between the electrodes.
Figure 2.
The location of the model in the nozzle (a) and the shape of the studied model (b).
The flow patterns around the model are visualized by a schlieren system (9), where a pulsed semiconductor laser with a wavelength of 656 nm and pulse duration of 30 ns (which is the exposure time of the pattern) is used as a light source (10). The source is located at a focal distance from the input lens (11), which creates a parallel beam of light shining through the working area with a diameter of 100 mm in the area of the model location. Then, the light is focused by the output lens (12), creating an image of the input slit in the area of the knife location (13), as well as an image of the model on the recording matrix of the digital camera (14). The knife blocks half of the transmitted light, which creates a background of illumination for the model image in the camera matrix. During the flow around body, the light from the source is refracted on density gradients, being blocked by the knife or passing over it, visualizing gas-dynamic discontinuities, including the BSW arising during supersonic flow around the model under study. A photograph of the experimental setup is shown in Figure 3.
Figure 3.
Photograph of the experimental bench.
2.2. Characteristics of the Surface Discharge
To create a gas discharge near the leading edge of the body during its flow, voltage from a specially made LC circuit is supplied to the electrode circuit before the experiment. As soon as the ionized gas, as a conducting medium, enters the area of the applied electric field, the GDC is closed in the interelectrode gap. The LC circuit is designed to form a rectangular current pulse with duration of 600 μs, corresponding to the duration of the ionized flow. The impact begins at the moment the flow begins, and the formation of the BSW occurs already in the presence of the gas discharge zone. Upon braking at the body surface, the kinetic energy of the flow is converted into thermal energy; behind the BSW, the gas is ionized, its density and temperature increase, and the temperature state reaches close to equilibrium. The gas discharge increases both the degree of ionization in the area between the shock wave and the model and the temperature of the electrons and gas as a whole, changing the degree of nonequilibrium. These processes will affect the adiabatic index of the medium and consequently the gas-dynamic parameters of the flow.
Figure 4a shows the volt-ampere characteristics of the surface gas discharge. The voltage Upl on the interelectrode gap changes in the range of 80–140 V, which creates a GDC I from 300 to 1200 A. The characteristic is almost linear; the extrapolation line intersects the voltage axis in the region of 60 V, which indicates the magnitude of the voltage drop when the current is closed, which occurs when electrons are emitted from the cathode surface. The power P input into the discharge depending on the resulting GDC is shown in Figure 4b. It is seen that the power supplied to the impact zone changes from 30 to 160 kW.
Figure 4.
Volt-ampere characteristics of a gas discharge at the surface of a model (a); power input into the discharge (b).
The average plasma conductivity <σ> determined by the volt-ampere characteristics in the impact zone is shown in Figure 5a; the conductivity increases proportionally with the GDC. The resulting average electron concentration <ne>, estimated by the value of the GDC and the values of electron mobility in the xenon gas discharge medium [26], is shown in Figure 5b. The electron concentration increases in the range of 1.5–6 × 1022 m−3 as the discharge intensity increases in the impact zone.
Figure 5.
Dependence of the average plasma conductivity in the discharge core on the GDC (a) and the average values of electron concentration obtained in the discharge (b).
Figure 6 shows a typical oscillogram of the current in the discharge area (red curve), and the same graph shows the plasma conductivity in the interelectrode gap corresponding to this current (blue curve). It is seen that the duration of the impact corresponds to a flow duration of about 500–600 μs, and the parameters in the impact zone change slightly during the steady-state flow. The red dotted line shows the average value of the GDC; the black dotted lines limit the possible error in measuring the current to about 10%. The lower curve (magenta curve) on the graph shows the time of switching on the laser pulse, i.e., the moment of fixing the schlieren flow pattern at the model; the flow pictures are taken at the stage of steady-state flow 350 μs after its start.
Figure 6.
Oscillograms of GDC and plasma conductivity in the area of the plasma impact (here, t is the time counted from the moment of the flow reaching the front surface of the body).
Schlieren flow patterns of the model, showing the position of the BSW at different discharge powers supplied to the area between the shock wave and the model, are shown in Figure 7. For clarity, the schlieren flow pattern in the absence of impact is shown at the bottom of the photographs. It is evident that with an increase in the discharge intensity, the position of the BSW changes; it moves away from the body, and the distance between it and the leading edge of the model increases, while both the shock wave configuration and the flow parameters, such as aerodynamic drag and dynamic load, change.
Figure 7.
Change in the flow pattern with increasing discharge intensity for a surface discharge in xenon; (a) I = 370 A, P = 35 kW; (b) I = 670 A, P = 66 kW; (c) I = 915 A, P = 125 kW.
The discharge zone localization area for further calculations was determined by the plasma’s own glow in the discharge. Figure 8 shows photographs of the discharge near the body taken through a red filter. In the numerical simulation, the discharge area was limited by a semi-cylinder with a radius of R = 18 mm, while the discharge zone width was x = 3 mm.
Figure 8.
Plasma’s own glow during surface discharge; (a) I = 0; (b) I = 370 A, P = 35 kW; (c) I = 915 A, P = 125 kW.
2.3. Calculation of Plasma Parameters in the Accelerating Nozzle
Xenon was chosen as the working gas because it is a heavy, easily ionized, and slowly relaxing gas. When calculating the parameters in the supersonic nozzle, the initial conditions were taken to be the values in the critical section equal to the braking parameters. When determining the initial conditions, it was assumed that there was ionization and thermodynamic equilibrium in the critical section, determined by the electron temperature Tecr, which was assumed to be 10% higher than the temperature of the heavy component Thcr. The supersonic flow in the nozzle was calculated in the approximation of a two-temperature plasma with nonequilibrium ionization during three-particle recombination. The kinetics of nonequilibrium ionization of a low-temperature plasma are developed in [16,27]. To determine the parameters in the nozzle, a system of equations was solved, including the equations for the conservation of mass, momentum, and energy; the equation for the state of the gas as a whole; and the equations for the balance of charged particles and balance of electron energy. Viscosity and thermal conductivity were not taken into account. A more detailed calculation of the nozzle parameters is provided in [28].
The results of calculations of the pressure p, gas temperature Th and electron temperature Te, conductivity σ, and degree of ionization α are shown in Figure 9. All values are given in relation to the corresponding values of these quantities in the critical section: Xcr = 1.42 × 10−2 m, Mcr = 1.01, Thcr = 7700 K, Tecr = 8700 K, σcr = 2500 S/m, αcr = 1.5 × 10−2, and nhcr = 0.9 × 1025 m−3. During expansion in the nozzle, which is about tnoz = 200 µs, a temperature separation occurs due to the relatively slow relaxation of xenon; the electron temperature drops much more slowly than the gas temperature, and the gas remains ionized with a nonequilibrium temperature distribution. A relaxation time of xenon plasma of about 4 ms was estimated using the momentum transfer cross section for the Maxwellian electron velocity distribution function. The data for xenon were taken from [26,29]. As a result, a supersonic flow of nonequilibrium ionized xenon plasma with the following parameters flows onto the model: X = 0.23 m, Th = 1200 K, Te = 3926 K, σ = 700 S/m, α = 0.0018, p = 3.1 × 103 Pa, nh = 1.87 × 1023 m−3, and ne = 3.37 × 1020 m−3. The glow of the xenon plasma is clearly visible in Figure 2a.
Figure 9.
Distribution of the main flow parameters along the nozzle axis.
In addition, according to the theory of K. Burm et al. [23], one of the main parameters that determines the nature of supersonic flow is the adiabatic index , which, in ionized nonequilibrium plasma, differs significantly from the ideal theory (γ = cp/cv) and depends on the degree of nonequilibrium θ = Th/Te and the degree of ionization α = ne/nh [23].
Figure 10 shows the dependence of the adiabatic index on the degree of nonequilibrium according to the theory [23] for the values of gas temperature and the degree of ionization corresponding to the calculated values in the flow at the nozzle exit in the region of the model location. The dashed lines show the value of the degree of nonequilibrium and the corresponding value γ = 1.217, which was taken as the value of the adiabatic index of the incoming supersonic flow on the body.
Figure 10.
Dependence of the adiabatic index on the degree of nonequilibrium at Th = 1200 K and α = 0.0018.
During braking near the leading edge of the model, the flow is additionally ionized, and its parameters approach thermodynamic equilibrium. As a result, the degree of nonequilibrium θ reaches the order of unity, and the degree of ionization α increases to 1.9 × 10−2, which leads to an increase in the adiabatic index in the region between the bow wave and the front surface of the body. The initial value of γ in the impact zone in the absence of a gas discharge was evaluated using the same approach as γs = 1.258.
3. Numerical Simulations of the Impact of a Surface Energy Deposition on the BSW and Aerodynamic Characteristics of a Model
3.1. Methodology and Statement of the Problem
In the experiment, the ionized flow moves out of the shock tube, reaches the body, and causes the ignition of a discharge between the electrodes located on the body, to which a voltage is applied. When the flow reaches the body, the formation of the BSW begins, and this passes through the gas discharge plasma impact zone. In this case, additional ionization occurs in front of the body due to an increase in temperature behind the shock wave front. It should be noted that this additional ionization is present in the steady flow in the absence of discharge action as well. In the calculations, it is assumed that the hot impact zone of ionized gas in front of the body occurs instantly, which is due to the difference in the time scales of discharge and gas-dynamic phenomena. Thus, the action of the discharge is modeled by the action of a volumetric gas region with increased energy and a changed adiabatic index. The scheme of the numerical approach to the study of the impact of a near-surface energy deposition on a supersonic flow past a plate blunted by a cylinder is shown in Figure 11. Here, the discharge action impact zone is marked in red.
Figure 11.
Statement of the problem (schematic).
The simulations are based on the Navier–Stokes equations for perfect viscous heat-conducting gas (xenon); the ratio of specific heats (adiabatic index) was a fitting parameter for different values of the specific discharge power q (power per unit of mass). The flow is supposed to be parallel to the axis of symmetry. The full Navier–Stokes system of equations in the divergence form for the dimensionless variables [30] is solved numerically:
The specific power in the area of higher gas energy formed by the discharge is q, and the specific internal energy is ε.
The freestream Mach number is M∞ = 6.8, and the Reynolds number is Re = 4559; the Prandtl number is Pr = 0.623.
The dependence of dynamic viscosity µ on temperature is calculated as follows:
The coefficient of heat conductivity k is modeled to depend on temperature in the same way:
According to estimates from [28], the energy consumption for the plasma’s own radiation is no more than a few percent. Therefore, this contribution was not taken into account in this study.
The problem is solved in dimensionless variables, which are expressed through dimensional variables (designated by the index “dim”) as follows:
The following scaling coefficients were used in the calculations:
where the index ∞ defines the freestream parameters. In the following figures, where not specifically stated, the values on the axes are taken in dimensionless form.
Initial conditions are the freestream flow parameters: density , pressure , and velocity According to the evaluation of the experimental data, we calculate that the adiabatic index in the oncoming flow is γ = 1.217, and the adiabatic index in the area in front of the body is γs = 1.258. Therefore, the problem is solved taking into account the initial gas ionization.
At the boundaries of the body, the absence of normal flow is assumed:
Non-reflecting boundaries are prescribed at the exit:
The stationary domain with higher gas energy models the near-surface energy release with the use of the right-hand side of the energy equation in Equation (1), where q is the specific power in this region (this area is noted by red in Figure 11). The width of this area in the x-direction is assumed to equal to 0.1 D, which is in accordance with the experimental schlieren images (see Figure 8). We assumed that this area arises instantly and is determined via the initial conditions and the value of q.
The simulations are performed using a computational code that employs complex conservative difference schemes [31], which have the second order of accuracy in space time. The five-point stencil from Lax’s scheme is used for scheme construction, resulting in staggered and uniform grids throughout the computational domain. To increase the order of approximation in the development of the schemes, the differential consequences of system (1) are utilized for partial spatial derivatives in x and y. Thus, in addition to the main conservative variables, their first derivatives in x and y are used, which are considered unknown functions and calculated using the same stencil. The necessary second derivatives are calculated using the values of these first derivatives at the stencil nodes. The boundaries of an AD body are introduced into the calculation area without violating the conservation laws in it. The curvilinear boundary is inscribed into a rectangular staggered numerical grid by constructing difference schemes in the vicinity of the boundary using new types of stencils based on 1/4, 1/2, and 3/4 parts of a cell. Such incomplete cells are adjacent to full standard cells, ensuring that conservation laws are satisfied in the entire computational domain, including regions adjacent to the body boundaries. The construction details of these schemes within the computational domain and in the vicinity of the AD body boundaries are presented in [31].
In an enlarged format, Figure 12 illustrates the position of the body’s front part on the computational grid. The staggered numerical grids employed in the calculations have a node spacing of 2hx and 2hy (where hx and hy denote the spatial steps in the x- and y-directions, respectively). The selection of the time step is performed using the Courant–Friedrichs–Levy criterion. It should be noted that a number of test cases pertaining to the numerical methods employed, a comparison with the experimental results, and the developed software are presented in [31].
Figure 12.
The position of a part of the front surface of the body on a computational grid (enlarged, every forth node is shown).
3.2. Analysis of the Grid Convergence
A study of the grid convergence of the difference method used was conducted. The results were obtained on three different grids. The characteristics of these grids are presented together with the relative errors in the stagnation parameters (at the stagnation point, the center of the cylinder surface) related to the theoretical values (Table 1). The theoretical values of density and pressure at the stagnation point, ρt and pt, were obtained using the constancy of entropy behind the front of the BSW and the preservation of the Bernoulli integral during the flow transition through it (all of the listed relationships used the parameters on the axis of symmetry). In Table 1, the grid sizes are specified counting the middle node of the stencil.
Table 1.
Grid convergence analysis *.
Figure 13 shows a comparison of the density fields in isochores obtained on three grids Grid1, Grid2, and Grid3. From the analysis of the presented fields, we can conclude that there is grid convergence in the position and shape of the BSW, as well as in the flow structure inside the shock layer.
Figure 13.
Density fields in isochores obtained on the three difference grids.
Figure 14 shows the dynamics of density and pressure at the stagnation point, ρt and pt (at the center of the cylindrical surface of the body) (Figure 14a,b), as well as the x-coordinates of the BSW Xbsw and the drag force of the frontal surface F (Figure 14c,d), in the process of establishing a steady-state flow regime. Relative errors for the stagnation parameters are presented in Table 2. These results also confirm the presence of grid convergence for the employed configuration of the numerical experiment. In the calculations, Grid1 (hx = hy = 0.001) is used.

Figure 14.
Dynamics of flow parameters during the establishment of a steady-state flow regime, obtained on three difference grids: (a,b) density and pressure at the central point of the cylindrical surface of the body; (c) x-coordinate of the BSW; (d) drag force of the frontal surface of the body.
Table 2.
Defining parameters of the oncoming flow and normalizing coefficients.
3.3. Results of the Simulations
The defining flow parameters used in the experiments and simulations are presented in Table 2.
In Figure 15, isochores of the numerical solution of the flow for a steady flow regime in the absence of discharge action are superimposed on the experimental image for comparison. The calculations are conducted taking into account the initial ionization of the flow near the body behind the BSW, γ = 1.217 and γs = 1.258 (Figure 15, Figure 16, Figure 17 and Figure 18). The difference between the theoretical values and the numerical solution at the stagnation point is 2.476% for density and 0.014% for pressure.
Figure 15.
A comparison between the experimental and numerical flow pictures; γ = 1.217, γs = 1.258, and q = 0.

Figure 16.
Fields of density (a), pressure (b), temperature (c), and local Mach number (d) in the absence of a discharge; q = 0, steady flow mode, t = 2.0, γ = 1.217, and γs = 1.258.
Figure 17.
(a) Density fields in isochores for different values of specific power q; (b) relative BSW SD vs. specific power; t = 2.0, γ = 1.217, and γs = 1.258.

Figure 18.
Dynamics of (a) density, (b) pressure, (c) temperature at the stagnation point of the cylinder, (d) relative drag force, and (e) the x-coordinate of the bow shock front for different values of q during steady flow establishment; t = 2.0, γ = 1.217, and γs = 1.258.
We used the criterion for the evaluation of the relative errors in a form:
where ft and ft theor are the calculated value at the stagnation point of a cylinder surface and the theoretical one.
The difference between the experimental and numerical values for the relation of the body radius to the SD (at the axis of symmetry), 0.5D/d, is 15.8%. This difference, especially at the periphery, is related to the flow behavior in the expanding nozzle (and the approximately defined Mach number in the experiment). In this regard, in what follows, we consider not the absolute but the relative stand-off of the BSW from the body, focusing on the parameters on the axis of symmetry.
In Figure 16, numerical solutions of the steady-state flow regime for density, pressure, temperature, and local Mach number are given at time t = 2.0 at q = 0 (without discharge). It can be seen that the initial ionization in front of the body affects the flow temperature to a greater extent than the other parameters.
Figure 17 illustrates steady-state calculations of the influence of the area of impact of the energy of the near-surface discharge on the position of the BSW at time t = 2.0. Here, we consider a case with the influence of the changed adiabatic index in the discharge plasma region, γ = 1.217 and γs = 1.258. In Figure 17a, the steady density fields are shown as functions of the specific power. Moreover, the higher the value of the specific power q, the further the BSW moves away in the steady state. Figure 17b shows the dependence of the relative BSW distance on the specific discharge power q. The mechanism of such a phenomenon is described in [25] for an air flow. This influence is connected with the fact that the BSW, during its formation, is moving through an already-existing discharge plasma heated area (due to the difference in time scales of the discharge plasma zone formations and gas-dynamic processes). Thus, the parameters of the discharge zone influence the parameters of the forming BSW in the unsteady stage and, as the result, in the steady stage as well.
Figure 18 illustrates the dynamics of density, pressure, temperature, and the relative drag force F/F0 during the establishment of their stagnation values at the central point of the semi-cylinder for various values of q. It is seen in Figure 18a–c that, at this point, pressure exhibits only slight changes with an increase in specific power q, whereas the gas rarefaction significantly increases, resulting in a substantial rise in temperature. It should be highlighted that the relative drag force F/F0 acting on the front surface decreases overall with the increase in the SD of the steady BSW; this force is greater for higher values of q, as shown in Figure 18d.
Here, the drag force is
where pb is the pressure value at the cylindrical part of the body’s surface, and F0 is the value of the drag force F without energy deposition.
Figure 18e illustrates the dynamics of the bow shock front position for varying values of q during the establishment of a steady flow. The position of the BSW was determined by identifying the x-coordinate that corresponded to the maximum value of px at its front. Note that the fluctuations in the dependencies are due to the discreteness of the representation of the wave front in the difference cell, associated with the construction of the algorithm for tracking the front of the BSW. Thus, when the BSW passes through the plasma discharge region, the higher the specific power value, the further the BSW moves away from the body, which affects the position of the BSW in the steady-state flow mode.
In Figure 19, the fields of determining flow parameters (density, pressure, temperature, and local Mach number) are presented at q = 200 and γs = 1.29 for the steady flow mode. This case corresponds to the strongest influence of the discharge plasma zone on the flow. Behind the front of the BSW, as for the case of the absence of an energy source, a region of compressed gas with increased pressure and temperature is formed. However, due to the deposition of energy, an adjacent region of less dense gas is created in the vicinity of the front surface of the body, resulting in the formation of a layer with an elevated gas temperature. Also, high-temperature subsonic zones are formed near the horizontal boundaries. These zones are also observable in the schlieren images, as illustrated in Figure 7.

Figure 19.
Fields of density (a), pressure (b), temperature (c), and local Mach number (d) for q = 200, γ∞ = 1.217, γs = 1.29, steady flow mode, and t = 2.0.
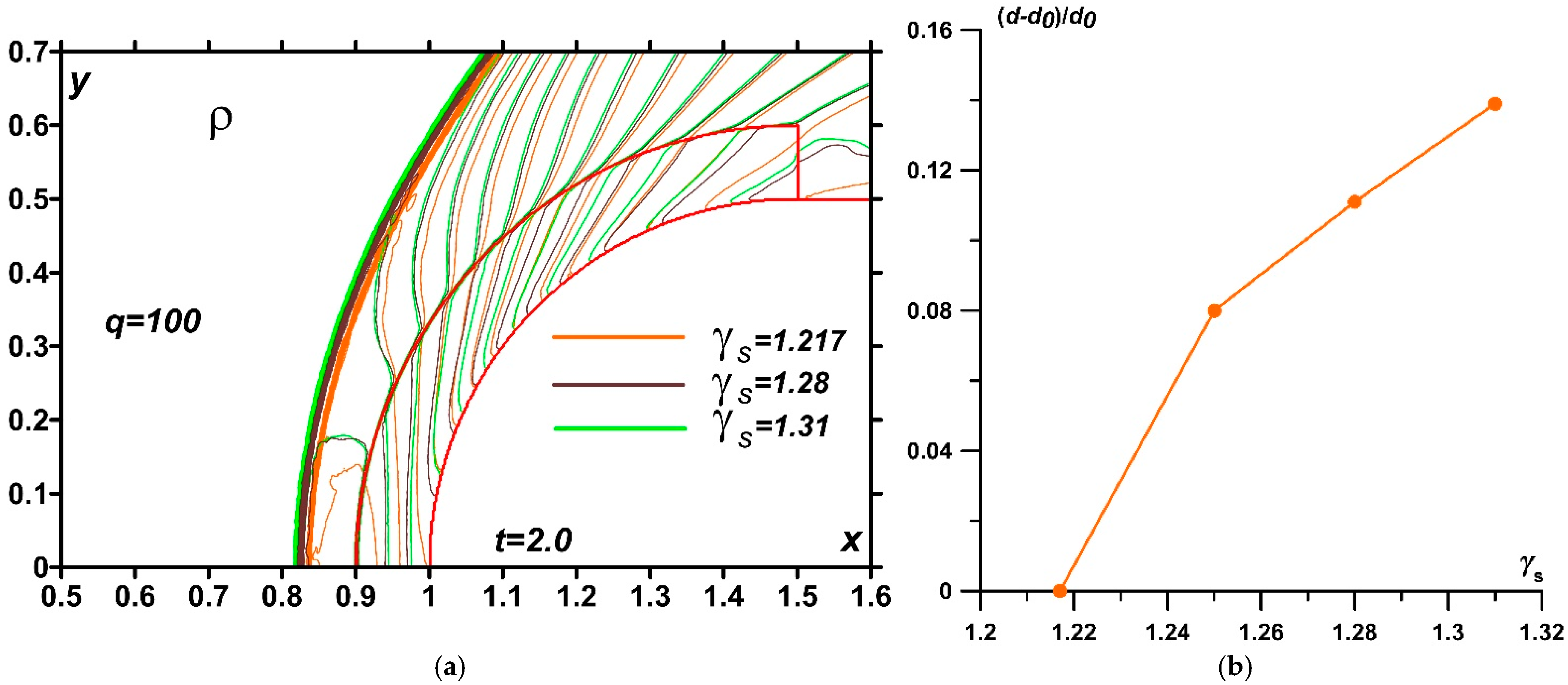
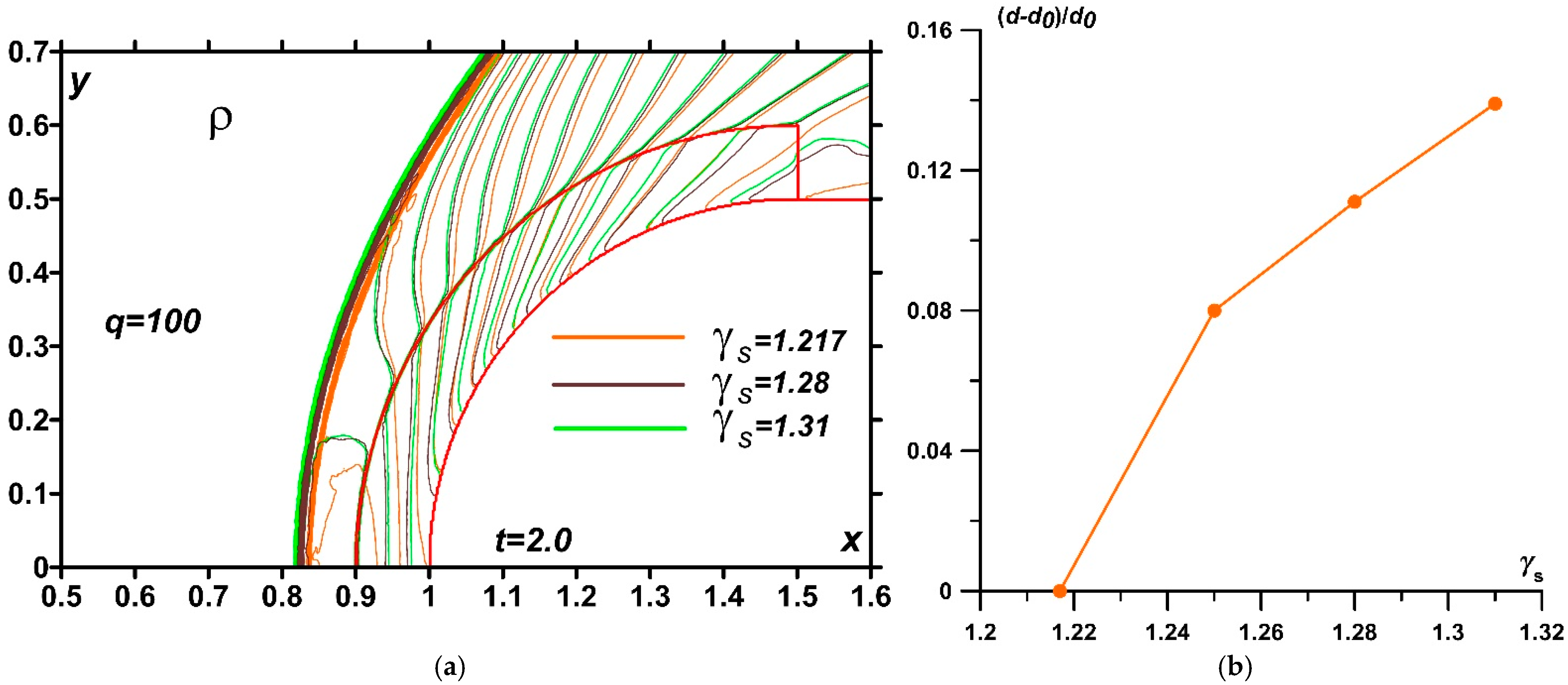
Calculations reveal that significant changes in temperature and density occur in the near-surface region due to the discharge energy release. It is also established that the position of the BSW in the steady state depends on the adiabatic index γs. The density fields for steady-state flow modes at q = 100 and varying values of γs are presented in Figure 20a, illustrating that a higher γs corresponds to a larger stationary BSW SD. Figure 20b shows the dependence of the relative steady BSW SD on γs for q = 100, indicating that changes in γs have a significant impact on the relative SD value of the steady BSW. It should be noted that a constant value of the specific discharge power means a constant Joule heating provided by the discharge, and the dynamics of γs are defined by the degree of ionization and the degree of nonequilibrium in the plasma zone [23]. Therefore, Figure 20 reflects the impact of the pure plasma parameters on the steady position of the BSW.
Figure 20.
Density fields in isochores for different values of the adiabatic index in the xenon plasma area γs (overlay of enlarged images) (a) and relative BSW SD vs. γs (b); steady flow mode, t = 2.0, q = 100, and γ = 1.217.
4. Quantitative Comparison of the Experimental and Numerical Results
The calculated and experimental dependences of the relative distance of the stationary BSW from the AD body depending on the discharge power in the case of initially increased ionization in front of the body and without it are shown in Figure 21. Here, in the simulation, we used the calculated value of average density in the discharge plasma zone. From Figure 21, one can see that at approximately 0 < P < 125 kW (which corresponds to 0 < I < 915 A), the values of relative SD obtained experimentally and in the simulations are consistent. So, it is evident that the steady-state relative values of the SD are determined by two parameters, q and γs, and with an increase in the current and discharge power, the adiabatic index tends to increase. It can be seen that at the beginning stage, 0 < P < 54.2 kW (which is corresponded to 0 < I < 600 A), the dependence of the relative SD on the discharge power is close to linear. In addition, the oscillation of the relative SD was observed at 54.2 kW < P < 86.6 kW (600 A < I < 800 A). This oscillation can be explained by the fact that the adiabatic index γs is strongly dependent on the degree of ionization in this range of the GDC, which can lead to both its increase and decrease (see also Section 5).
Figure 21.
Dependence of the relative value of the steady BSW SD on the discharge power; here the points defined a), b), c) are related to Figure 7a–c.
Moreover, in Figure 21, a comparison is presented for the results obtained with consideration of the initial ionization ahead of the model (ruby red curve) and without it (orange curve). It can be concluded that when taking into account the initial ionization before the model, the obtained values of q initially differ little for small GDCs (and powers), and with an increase in GDC, this difference increases (and becomes significant). The values of the adiabatic index γs for small GDCs differ by 3.4–3.8%, and for larger currents, the action of the initial ionization weakens, and these values differ by 1–2%. In general, it can be concluded that taking into account primary ionization is important both for small currents (since for these values, there is a noticeable difference in the values of γs) and for large currents, for which a large difference in the estimates of the specific power q was obtained.
Figure 22 demonstrates the corresponding comparison of the numerical flow patterns and schlieren images of the near-surface discharge action in xenon. A good correspondence is seen between the numerical and experimental images in the position of the BSWs on the axis of symmetry for the obtained parameters γs and q, the estimated sizes of the discharge plasma region, and the established initial conditions of the freestream flow.
Figure 22.
Comparison of the numerical flow patterns with schlieren images of the near-surface discharge action in xenon; (a) I = 370 A, P = 35 kW; (b) I = 670 A, P = 66 kW; (c) I = 915 A, P = 125 kW.
Table 3 shows the correspondence between the specific power produced by the discharge q, the GDC I, and the value of the adiabatic index in the discharge zone γs. Here qdim is the dimensional value of q. It is seen that with the growth of the GDC, the specific power increases; the adiabatic index γs remains practically the same in the interval of 1.25–1.258, with a single oscillation that occurs when γs = 1.275. At higher GDC values, the adiabatic index γs increases.
Table 3.
Correspondence between the GDC I, the specific power q, and the adiabatic index γs.
A correspondence between the GDC I; discharge power P; average density ρa, temperature Ta, and pressure pa in the plasma zone; electron density ne; degree of ionization α; calculated adiabatic index γs; and the adiabatic index γs for Ɵ = 1 (calculated using the theory of K. Burm et al. [23]) is presented in Table 4.
Table 4.
Correspondence between the GDC I, power P, average parameters in the plasma zone, electron density ne, degree of ionization α, and adiabatic indexes and the power comparison with the enthalpy flux.
It can be seen from the Table 4 that with an increase in the GDC and power, the average density decreases, and the pressure is weakly dependent on the GDC. The plasma parameters, such as the electron density and the degree of ionization, increase with the GDC, and the calculated adiabatic index, which describes the experimental flow parameters well, and the adiabatic index calculated under the assumption of thermodynamic equilibrium in the plasma are close and increase overall but experience some oscillations (see, also, Section 5).
The last column in the Table 4 compares the plasma power P with the total enthalpy flux W of the incoming flow on the body, W = 0.5ρu2 dV/dt = 0.5u2dm/dt = 162.5 kW, where dm/dt is the mass flow in the nozzle. We can conclude from the values in the last column of Table 4 that to actively control the position of the BSW and the flow parameters, it is sufficient to introduce into the discharge impact zone near the front surface of the body a power less than the enthalpy flux of the model.
5. Comparison of the Results Obtained with the Dependences Defined by the Theory of K. Burm et al. [23]
Figure 23 shows the dependences of the adiabatic index γs on the degree of nonequilibrium in the gas discharge zone, obtained according to the theory of K. Burm et al. [23] for the gas temperature and the average density calculated in the numerical simulation when energy is supplied to the impact zone. For each value of the GDC, the degree of ionization and gas temperature are determined, and the dependence on θ is plotted. Calculations show that the corresponding values of γs obtained in numerical simulation are close to the values of the adiabatic index calculated according to the theory of K. Burm et al. at θ = 1 (see Table 4). This is quite understandable and once again confirms that the state of the plasma in the braking zone near the model is close to thermodynamic equilibrium in the steady-state flow mode.
Figure 23.
Dependence of the adiabatic index on the degree of nonequilibrium in the discharge impact zone for different values of the GDC.
In Figure 24, the same data are presented as dependences of the adiabatic index on the degree of plasma ionization in the discharge impact zone at a fixed value of θ = 1. The dashed vertical lines show the values of α for each value of the GDC, and the horizontal lines show the corresponding values of the adiabatic index. From the curves in Figure 24, it can be concluded that by changing the plasma characteristics in the impact zone, it is possible to change the value of the adiabatic index in a wide range of values and therefore actively influence the process of high-speed flow around AD objects.
Figure 24.
Dependence of the adiabatic index on the degree of ionization in the discharge impact zone for different values of the GDC at thermodynamic equilibrium.
In addition, it is seen from these dependences that an increase in the ionization degree leads to a decrease in the adiabatic index (at a fixed current and gas temperature), and an increase in the gas temperature (at a fixed ionization degree) leads to its increase. It is also evident that the curves in Figure 24 are divided into three groups: the first group at a GDC of 0–600 A, the second group at a current of 600–800 A, and the third group at currents greater than 800 A; the curves in the groups differ slightly from each other. Such a division leads to the non-monotonicity of the dependence of the adiabatic index on the GDC and the supplied power and, as a result, to the non-monotonicity of the dependence of the value of the relative SD (see Figure 21).
A comparison of the dependences of the adiabatic index on the value of the GDC and on the specific power of the energy supplied to the plasma zones obtained in the numerical model and calculated according to the theory of K. Burm et al. [23] is shown in Figure 25. The non-monotonic nature of the dependencies (which is also seen from the data presented in Table 4) can be explained by a significant sensitivity of the adiabatic index γs to the plasma characteristics (because the GDC changes monotonically). In the range of currents of 0–600 A (the first group of curves), the adiabatic index γs changes slightly; changes in the degree of ionization and gas temperature are not enough for significant changes in the adiabatic index γs. In the range of 600–800 A (the second group), the influence of plasma characteristics is strong; γs can both increase and decrease. When the current is greater than 800 A (the third group of curves), γs begins to be determined by the gas temperature, which leads to its growth.
Figure 25.
Comparison of the values of the adiabatic index γs obtained in numerical simulation and calculated using the theory of K. Burm et al. [23] for the dependence on the GDC (a) and the specific power (b).
Thus, a good agreement of the numerical results and the data calculated according to theory of K. Burm et al. was obtained. In addition, the non-monotonic dependence of the adiabatic index γs on the GDC and the specific power q in both calculations was shown, as well.
6. Conclusions
The experimental and numerical results of this study showing the influence of the near-surface plasma zone of the AD body, formed during the organization of a gas discharge in xenon, on the position of the steady bow shock wave are presented. The fields of the flow parameters were examined for different values of the discharge specific power q and adiabatic index in the plasma region γs. Good agreement was found when comparing the numerical and experimental values of the relative stand-off distance of the bow shock wave.
The obtained new results are as follows:
- -
- It was determined that when the discharge power is in the interval 0 < P < 54.2 kW and the gas discharge current is in the interval 0 < I < 600 A, the dependence of the relative stand-off distance on the discharge power is close to linear. Moreover, the oscillation of the relative stand-off distance was obtained at 54.2 kW < P < 86.6 kW and 600 A < I < 800 A.
- -
- It was established that the value of the adiabatic index (which is affected by the degree of ionization and the degree of nonequilibrium) in the discharge-created plasma zone plays a significant role in the dynamics of the flow structure and the position of the bow shock wave.
- -
- It was shown that with an increase in the gas discharge current and power, the average density in the discharge plasma zone decreases, the average temperature increases, and the pressure is weakly dependent on the gas discharge current. The plasma parameters, such as the electron density and the degree of ionization, were shown to increase with the gas discharge current, and the adiabatic index γs can both increase and decrease in the range of 1.25–1.288.
- -
- It was found that the values of γs obtained in the numerical simulation are close to the values of the adiabatic index for monatomic plasma calculated according to the theory of K. Burm et al. at thermodynamic equilibrium. It was concluded that, depending on the range of the gas discharge current, it is possible to distinguish different degrees of influence of plasma characteristics on the value of γs: weak at currents of 0–600 A; strong at currents of 600–800 A, when γs can both increase and decrease with a small change in the degree of ionization; and thermal in the range greater 800 A, where γs is determined mainly by the gas temperature.
Thus, this study demonstrates the feasibility of controlling both the steady state position of the bow shock wave and the characteristics of an AD body in xenon by creating a volumetric, monoatomic xenon plasma region in front of its entire cylindrical frontal surface and changing the adiabatic index of the plasma and the energy characteristics of a discharge. These findings have potential for the development of control systems for high-speed flows taking to account the impact of plasma parameters.
Author Contributions
Data curation, O.A.A. and T.A.L.; Formal analysis, O.A.A., T.A.L. and O.V.K.; Investigation, O.A.A. and T.A.L.; Methodology, O.A.A. and T.A.L.; Software, O.A.A. and O.V.K.; Supervision, O.A.A.; Validation, O.A.A.; Visualization, O.A.A. and T.A.L.; Writing—original draft, O.A.A., T.A.L. and O.V.K.; Writing—review & editing, O.A.A. and O.V.K. All authors have read and agreed to the published version of the manuscript.
Funding
The study was supported by the Ministry of Science and Higher Education of the Russian Federation, project No. 075-15-2024-544.
Data Availability Statement
The original contributions presented in the study are included in the article, further inquiries can be directed to the corresponding author.
Conflicts of Interest
The authors declare no conflicts of interest.
Nomenclature
| Abbreviations | |
| AD | aerodynamic |
| BSW | bow shock wave |
| GDC | gas discharge current |
| HPC | high-pressure chamber |
| LPC | low-pressure chamber |
| MHD | magnetohydrodynamic |
| SD | stand-off distance |
| Parameters | |
| D, m; R, m | diameter and radius of an AD body |
| d, m | BSW SD from the body |
| F, N | drag force of the front surface of AD body |
| hx, hy | space steps |
| I, A | GDC |
| J, A/m3 | density of GDC |
| M | Mach number |
| M1 | shock wave Mach number in the shock tube |
| ne, m−3 | electron concentration |
| p, P, ρ, kgm−3, T, K | pressure, density, and temperature of the gas |
| P, W | discharge power |
| q, kW/kg | specific power of a discharge |
| Re, Pr | Reynolds number and Prandtl number |
| U, m/s | vector of the flow velocity, U = (u,v) |
| Upl, V | voltage across the discharge gap |
| Xbsw, m | coordinate of the bow shock wave |
| α | degree of ionization |
| γ | adiabatic index (ratio of specific heats, isentropic exponent) |
| γs | adiabatic index in the discharge-created plasma region |
| Ɵ | degree of nonequilibrium |
| σ, S/cm | effective plasma conductivity |
| Indices | |
| 0 | parameters at the absence of energy deposition |
| t | stagnation parameters |
| a | average flow parameters in the plasma region created by the discharge |
| n | normalizing parameters |
| ∞ | freestream parameters |
| cr | parameters in the critical section of the nozzle |
| e | parameters of electrons |
| h | parameters of heavy particles |
References
- Knight, D.D. Energy Deposition for High-Speed Flow Control; Cambridge University Press: Cambridge, UK, 2019; 450p. [Google Scholar]
- Knight, D. Survey of aerodynamic drag reduction at high speed by energy deposition. J. Propuls. Power 2008, 24, 1153–1167. [Google Scholar] [CrossRef]
- Ahmed, M.Y.M.; Qin, N. Forebody shock control devices for drag and aero-heating reduction: A comprehensive survey with a practical perspective. Prog. Aerosp. Sci. 2020, 112, 100585. [Google Scholar] [CrossRef]
- Rashid, S.; Nawaz, F.; Maqsood, A.; Salamat, S.; Riaz, R. Review of wave drag reduction techniques: Advances in active, passive, and hybrid flow control. Proc. Inst. Mech. Eng. Part G J. Aerosp. Eng. 2022, 12, 2851–2884. [Google Scholar] [CrossRef]
- Leonov, S.B.; Adamovich, I.V.; Soloviev, V.R. Dynamics of near-surface electric discharges and mechanisms of their interaction with the airflow. Plasma Sources Sci. Technol. 2016, 25, 063001. [Google Scholar] [CrossRef]
- Leonov, S.B. Review of plasma-based methods for high-speed flow control. In Proceedings of the Sixth International Conference on Fluid Mechanics, AIP Conference Proceedings, Guangzhou, China, 30 June–3 July 2011; pp. 498–502. [Google Scholar]
- Znamenskaya, I.A. Methods for panoramic visualization and digital analysis of thermophysical flow fields. A review. Sci. Vis. 2021, 13, 125–158. [Google Scholar]
- Georgievsky, P.Y.; Levin, V. A Control of the flow past bodies using localized energy addition to the supersonic oncoming flow. Fluid Dyn. 2003, 38, 794–805. [Google Scholar] [CrossRef]
- Artem’ev, V.I.; Bergel’son, V.I.; Nemchinov, I.V.; Orlova, T.I.; Smirnov, V.A.; Hazins, V.M. Change of regime in supersonic flow past an obstacle preceded by a thin channel of reduced density. Fluid Dyn. 1989, 24, 779–784. [Google Scholar] [CrossRef]
- Riggins, D.; Nelson, H.F.; Johnson, E. Blunt-body wave drag reduction using focused energy deposition. AIAA J. 1999, 37, 460–467. [Google Scholar] [CrossRef]
- Kolesnichenko, Y.; Brovkin, V.; Azarova, O.; Grudnitsky, V.; Lashkov, V.; Mashek, I. Microwave energy release regimes for drag reduction in supersonic flows. In Proceedings of the 40th AIAA Aerospace Sciences Meeting and Exhibit, Reno, NV, USA, 14–17 January 2002. AIAA Paper No. 2002-0353. [Google Scholar]
- Tretyakov, P.K.; Fomin, V.M.; Yakovlev, V.I. New principles of control of aerophysical processes—Research development. In Proceedings of the International Conference on the Methods of Aerophysical Research, Novosibirsk, Russia, 29 June–3 July 1996; p. 210. [Google Scholar]
- Bityurin, V.A.; Klimov, A.I.; Leonov, S.B.; Potebnya, V.G. On interaction of longitudinal pulse discharge with bow shock. In Proceedings of the Workshop “Perspectives of MHD and Plasma Technologies in Aerospace Applications”, IVTAN, Moscow, Russia, 24–25 March 1999; p. 114. [Google Scholar]
- Bityurin, V.A.; Klimov, A.I.; Leonov, S.B.; Lutsky, A.E.; Van Wie, D.; Brovkin, V.G.; Kolesnichenko, Y.; Lutsky, A. Effect of heterogeneous discharge plasma on shock wave structure and propagation. In Proceedings of the 3rd Weakly Ionized Gases Workshop, Norfolk, VA, USA, 1–5 November 1999. AIAA Paper 1999-4940. [Google Scholar]
- Benard, N.; Moreau, E. Electrical and mechanical characteristics of surface AC dielectric barrier discharge plasma actuators applied to airflow control. Exp. Fluids 2014, 55, 1846. [Google Scholar] [CrossRef]
- Lapushkina, T.A.; Vasil’eva, R.V.; Erofeev, A.V.; Ponyaev, S.A.; Bobashev, S.V. Ionization kinetics in a supersonic xenon plasma flow entering electric field. Tech. Phys. Lett. 2004, 30, 724–726. [Google Scholar] [CrossRef]
- Bobashev, S.; Mende, N.; Sakharov, V.; Van Wie, D. MHD Control of the separation phenomenon in a supersonic xenon plasma flow. In Proceedings of the 41st Aerospace Sciences Meeting and Exhibit, Reno, NV, USA, 6–9 January 2003. AIAA Paper No. 2003-168. [Google Scholar]
- Bobashev, S.; Mende, N.; Sakharov, V.; Van Wie, D. MHD Control of the separation phenomenon in a supersonic xenon plasma flow II. In Proceedings of the 42nd AIAA Aerospace Sciences Meeting and Exhibit, Reno, NV, USA, 5–8 January 2004. AIAA Paper No. 2004-0515. [Google Scholar]
- Zhao, X.; Xiang, X.; Yu, J.; Shen, Q. An experiment investigation on shock-induced turbulent boundary layer separation flow-field. In Proceedings of the 54th AIAA Aerospace Sciences Meeting, San Diego, CA, USA, 4–8 January 2016. [Google Scholar]
- Yan, H.; Liu, F.; Xu, J.; Xue, Y. Study of oblique shock wave control by surface arc discharge plasma. AIAA J. 2017, 56, 532–541. [Google Scholar] [CrossRef]
- Tang, B.; Guo, S.; Hua, L. Experimental study on high-energy surface arc plasma excitation control of cylindrical detached shock wave. Contrib. Plasma Phys. 2020, 61, e202000067. [Google Scholar] [CrossRef]
- Azarova, O.A.; Erofeev, A.V.; Lapushkina, T.A. A comparison of plasma and thermal effects upon supersonic flow past aerodynamic bodies. Tech. Phys. Lett. 2017, 43, 405–408. [Google Scholar] [CrossRef]
- Burm, K.T.A.L.; Goedheer, W.J.; Schram, D.C. The isentropic exponent in plasmas. Phys. Plasmas 1999, 6, 2622–2627. [Google Scholar] [CrossRef]
- Lago, V.; Joussot, R.; Parisse, J. Influence of the ionization rate of a plasma discharge applied to the modification of a supersonic low Reynolds number flow field around a cylinder. J. Phys. D Appl. Phys. 2014, 47, 125202. [Google Scholar] [CrossRef]
- Azarova, O.A.; Lapushkina, T.A.; Shustrov, Y.A. Near-surface gas discharge effect on a steady bow shock wave position in a supersonic flow past a cylindrically blunted body in the air. Phys. Fluids 2022, 34, 066117. [Google Scholar] [CrossRef]
- Raizer, Y.P. Gas Discharge Physics; Springer: Berlin/Heidelberg, Germany, 1991. [Google Scholar]
- Biberman, L.M.; Vorobiev, V.S.; Yakubov, I.T. Kinetics of Nonequilibrium Low Temperature Plasmas; Consultants Bureau: New York, NY, USA, 1987. [Google Scholar]
- Lapushkina, T.A. Influence of Magnetic and Electric Fields on Shock-Wave Configuration in a Diffuser. Ph.D. Thesis, Peter the Great Saint-Petersburg Polytechnic University, Saint Petersburg, Russia, 2005. [Google Scholar]
- Vulis, L.A.; Genkin, A.L.; Fomenko, V.A. Theory and Calculations of Magnetohydrodynamic Flows in Channels; Atomizdat: Moscow, Russia, 1971. (In Russian) [Google Scholar]
- Roache, P.J. Computational Fluid Dynamics; Hermosa Pub: Hermosa Beach, CA, USA, 1976. [Google Scholar]
- Azarova, O.A. Complex conservative difference schemes for computing supersonic flows past simple aerodynamic forms. Comput. Math. Math. Phys. 2015, 55, 2025–2049. [Google Scholar] [CrossRef]
Disclaimer/Publisher’s Note: The statements, opinions and data contained in all publications are solely those of the individual author(s) and contributor(s) and not of MDPI and/or the editor(s). MDPI and/or the editor(s) disclaim responsibility for any injury to people or property resulting from any ideas, methods, instructions or products referred to in the content. |
© 2024 by the authors. Licensee MDPI, Basel, Switzerland. This article is an open access article distributed under the terms and conditions of the Creative Commons Attribution (CC BY) license (https://creativecommons.org/licenses/by/4.0/).




























