Correction Factors for the Use of 1D Solution Methods for Dynamic Laminar Liquid Flow through Curved Tubes
Abstract
1. Introduction
2. Materials and Methods
2.1. Characteristic Impedance
2.2. Time Scale
2.3. Dissipation Number
3. Results
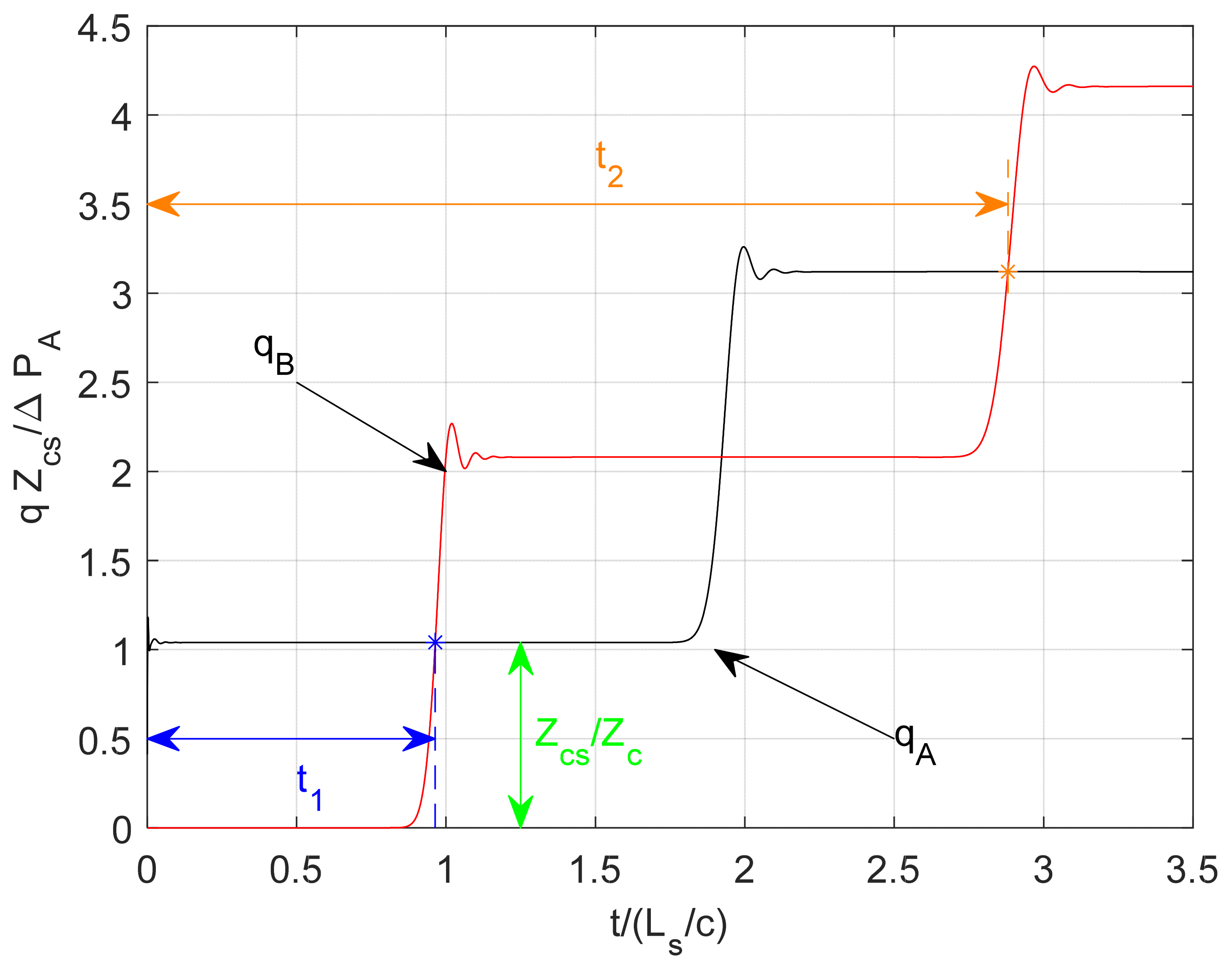
3.1. Validation
3.2. Characteristic Impedance
3.3. Effective Length
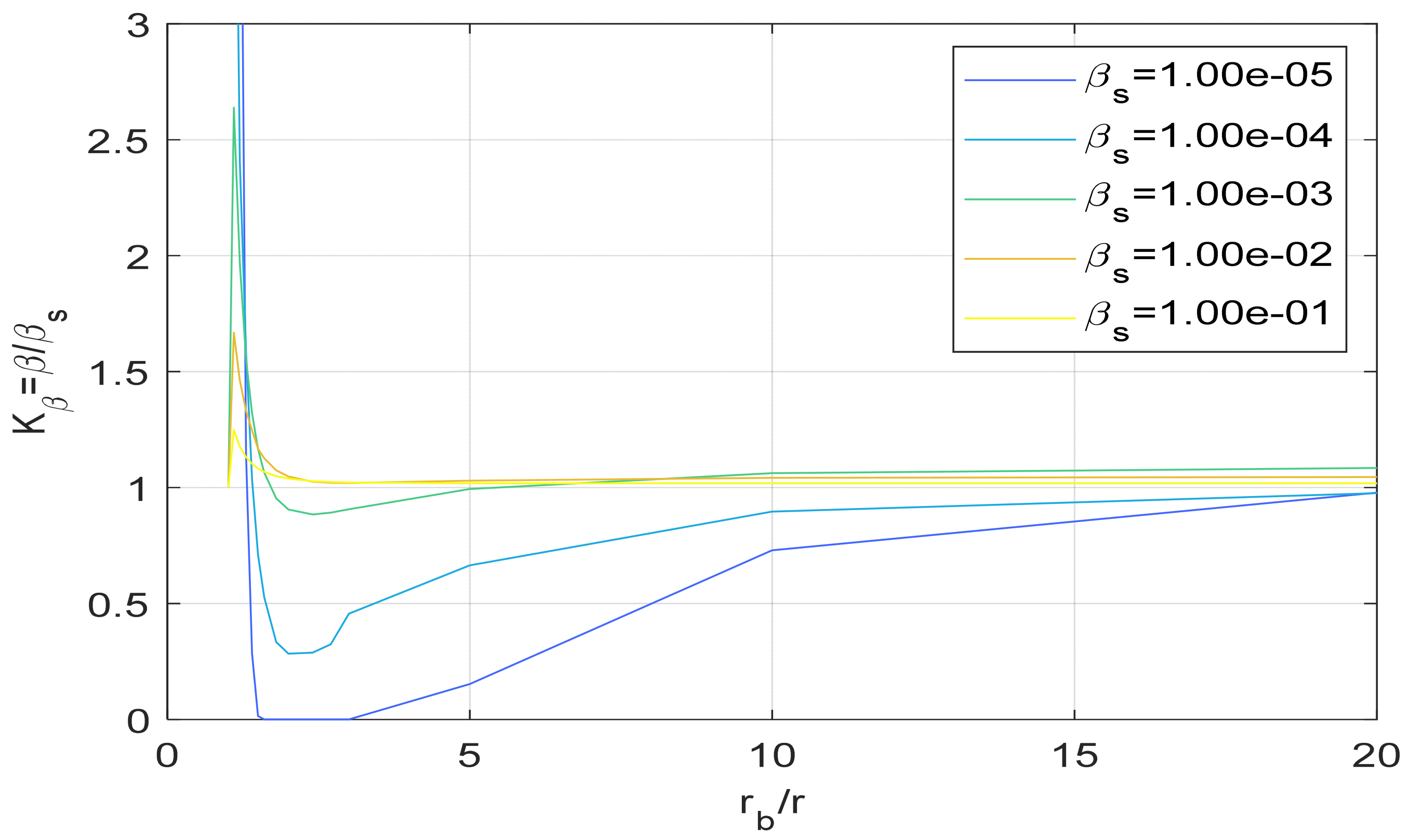
3.4. Dissipation Number








3.5. Overall Effect
4. Conclusions
Funding
Data Availability Statement
Conflicts of Interest
Nomenclature
| c | wave propagation velocity |
| D | Dean number |
| E | normalized root mean squared error |
| length correction factor | |
| characteristic impedance correction factor | |
| dissipation number correction factor | |
| L | length of pipe (or effective length)—subscript “s” for a straight pipe |
| p | pressure. Subscript A for inlet, B for outlet |
| q | volumetric flow—subscript A for inlet, B for outlet |
| r | tube inner radius |
| bend radius | |
| Reynolds number | |
| t | time—subscripts 1 and 2 denote times in Figure 4 |
| characteristic impedance—subscript “s” for a straight tube with the same dimensions | |
| dissipation number—subscript “s” for a straight tube with the same dimensions | |
| bend angle | |
| resistance to flow—subscript “s” for a curved pipe with the same centerline length | |
| µ | dynamic viscosity |
| v | kinematic viscosity |
| density | |
| derivative of density with respect to pressure |
Appendix A. Results Tables
| rb/r | KZc | |
|---|---|---|
| r = 10 mm | r = 20 mm | |
| 1.01 | 0.7723 | 0.7689 |
| 1.1 | 0.8477 | 0.8473 |
| 1.2 | 0.8865 | 0.8860 |
| 1.3 | 0.9102 | 0.9098 |
| 1.4 | 0.9267 | 0.9263 |
| 1.5 | 0.9388 | 0.9386 |
| 1.6 | 0.9480 | 0.9478 |
| 1.8 | 0.9613 | 0.9612 |
| 2 | 0.9702 | 0.9702 |
| 2.4 | 0.9811 | 0.9813 |
| 2.7 | 0.9860 | 0.9864 |
| 3 | 0.9895 | 0.9899 |
| rb/r | KL | |
|---|---|---|
| r = 10 mm | r = 20 mm | |
| 1.01 | N/A | 0.7765 |
| 1.1 | 0.8470 | 0.8505 |
| 1.2 | 0.8845 | 0.8870 |
| 1.3 | 0.9080 | 0.9098 |
| 1.4 | 0.9240 | 0.9255 |
| 1.5 | 0.9360 | 0.9377 |
| 1.6 | 0.9452 | 0.9472 |
| 1.8 | 0.9582 | 0.9600 |
| 2 | 0.9670 | 0.9683 |
| 2.4 | 0.9777 | 0.9790 |
| 2.7 | 0.9828 | 0.9835 |
| 3 | 0.9863 | 0.9870 |
References
- Sigalotti, L.D.G.; Alvarado-Rodríguez, C.E.; Rendón, O. Fluid Flow in Helically Coiled Pipes. Fluids 2023, 8, 308. [Google Scholar] [CrossRef]
- Berger, S.A.; Talbot, L.; Yao, L.S. Flow in Curved Pipes. Annu. Rev. Fluid Mech. 1983, 15, 461–512. [Google Scholar] [CrossRef]
- Dean, W.R. XVI. Note on the Motion of Fluid in a Curved Pipe. Lond. Edinb. Dublin Philos. Mag. J. Sci. 1927, 4, 208–223. [Google Scholar] [CrossRef]
- White, C.M.; Appleton, E.V. Streamline Flow through Curved Pipes. Proc. R. Soc. Lond. Ser. A Contain. Pap. A Math. Phys. Charact. 1929, 123, 645–663. [Google Scholar]
- Adler, M. Strömung in Gekrümmten Rohren. ZAMM-J. Appl. Math. Mech. Z. Angew. Math. Mech. 1934, 14, 257–275. [Google Scholar] [CrossRef]
- Hasson, D. Streamline Flow Resistance in Coils. Res. Corresp. 1955, 1, 81. [Google Scholar]
- Muto, T.; Kinoshita, Y.; Yoneda, R. Dynamic Response of Tapered Fluid Lines: 1st Report, Transfer Matrix and Frequency Response. Bull. JSME 1981, 24, 809–815. [Google Scholar] [CrossRef][Green Version]
- Tahmeen, M.; Muto, T.; Yamada, H. Simulation of Dynamic Responses of Tapered Fluid Lines. JSME Int. J. Ser. B Fluids Therm. Eng. 2001, 44, 247–254. [Google Scholar] [CrossRef][Green Version]
- Zielke, W. Frequency-Dependent Friction in Transient Pipe Flow. J. Basic Eng. 1968, 90, 109–115. [Google Scholar] [CrossRef]
- Vítkovskỳ, J.; Lambert, M.; Simpson, A.; Bergant, A. Advances in Unsteady Friction Modelling in Transient Pipe Flow. In Proceedings of the 8th International Conference on Pressure Surges, The Hague, The Netherlands, 12–14 April 2000; BHR Group: Bedford, UK, 2000; pp. 471–482. [Google Scholar]
- Trikha, A. An Efficient Method for Simulating Frequency-Dependent Friction in Transient Liquid Flow. J. Fluids Eng. 1975, 97, 97–105. [Google Scholar] [CrossRef]
- Wiens, T. Method of Characteristics Solver for Transmission Lines. 2020. Available online: https://github.com/tkw954/MOC_solver (accessed on 10 May 2024).
- Krus, P.; Weddfelt, K.; Palmberg, J.-O. Fast Pipeline Models for Simulation of Hydraulic Systems. J. Dyn. Syst. Meas. Control 1994, 116, 132–136. [Google Scholar] [CrossRef]
- Johnston, N. The Transmission Line Method for Modelling Laminar Flow of Liquid in Pipelines. Proc. Inst. Mech. Eng. Part I J. Syst. Control Eng. 2012, 226, 586–597. [Google Scholar] [CrossRef]
- Johnston, N.; Pan, M.; Kudzma, S. An Enhanced Transmission Line Method for Modelling Laminar Flow of Liquid in Pipelines. Proc. Inst. Mech. Eng. Part I J. Syst. Control Eng. 2014, 228, 193–206. [Google Scholar] [CrossRef]
- Wiens, T.; van der Buhs, J. Transmission Line Models. 2020. Available online: https://github.com/tkw954/usask_tlm (accessed on 10 May 2024).
- Braun, R.; Krus, P. Multi-Threaded Distributed System Simulations Using the Transmission Line Element Method. Simulation 2016, 92, 921–930. [Google Scholar] [CrossRef]
- Wiens, T. Transmission Line Modeling of Laminar Liquid Wave Propagation in Tapered Tubes. J. Fluids Eng. 2019, 141, 101103. [Google Scholar] [CrossRef]
- Wiens, T. Modeling Arbitrarily Shaped Liquid Pipelines Using a Segmented Transmission Line Model. J. Dyn. Syst. Meas. Control 2020, 142, 064502. [Google Scholar] [CrossRef]
- Ferras, D.; Manso, P.A.; Schleiss, A.J.; Covas, D.I.C. Hydraulic Transients in Straight and Coil Pipe Rigs. In Proceedings of the 12th International Conference on Pressure Surges, Dublin, Ireland, 18–20 November 2015. [Google Scholar]
- Ferras, D. Fluid-Structure-Interaction in Pipe Coils During Hydraulic Transients: Numerical And Experimental Analysis. In Proceedings of the 36th IAHR World Congress, The Hague, The Netherlands, 8 June–3 July 2015. [Google Scholar]
- Ferras, D.; Manso, P.A.; Covas, D.I.C.; Schleiss, A.J. Fluid–Structure Interaction in Pipe Coils during Hydraulic Transients. J. Hydraul. Res. 2017, 55, 491–505. [Google Scholar] [CrossRef]
- Gijsen, F.J.H.; Allanic, E. The Influence of the Non-Newtonian Properties of Blood on the Flow in Large Arteries: Unsteady Flow in a 903 Curved Tube. J. Biomech. 1999, 32, 705–713. [Google Scholar] [CrossRef] [PubMed]
- Azhdari, M.; Riasi, A.; Tazraei, P. Numerical Analysis of Fluid Hammer in Helical Pipes Considering Non-Newtonian Fluids. Int. J. Press. Vessel. Pip. 2020, 181, 104068. [Google Scholar] [CrossRef]
- Fries, C.; Manhartsgruber, B. Dynamics of Transmission Line Junctions: Comparison of CFD Results Against Measurements. In Proceedings of the 8th FPNI Ph.D Symposium on Fluid Power, Lappeenranta, Finland, 11–13 June 2014; American Society of Mechanical Engineers: Lappeenranta, Finland, 2014; p. V001T02A003. [Google Scholar]
- Fries, C.; Manhartsgruber, B. CFD Based Modeling of Wave Propagation in Liquid Transmission Line Junctions. In Volume 1A, Symposia: Advances in Fluids Engineering Education; Advances in Numerical Modeling for Turbomachinery Flow Optimization; Applications in CFD; Bio-Inspired Fluid Mechanics; CFD Verification and Validation; Development and Applications of Immersed Boundary Methods; DNS, LES, and Hybrid RANS/LES Methods; American Society of Mechanical Engineers: Incline Village, NV, USA, 2013; p. V01AT03A025. [Google Scholar]
- Fries, C. Coupling of Liquid Transmission Line Models with 3-Dimensional CFD in OpenFOAM. Ph.D. Thesis, Johannes Kepler Univsitat Linz, Linz, Austria, 2016. [Google Scholar]
- Riedelmeier, S.; Becker, S.; Schlücker, E. 3D CFD Simulation of Water Hammer Through a 90° Bend: Applicability of URANS, 3D Effects and Unsteady Friction; Volume 4: Fluid-Structure Interaction, American Society of Mechanical Engineers: Anaheim, CA, USA, 2014; p. V004T04A094. [Google Scholar]
- Chen, G.; Xiong, Q.; Morris, P.J.; Paterson, E.G.; Sergeev, A.; Wang, Y. OpenFOAM for Computational Fluid Dynamics. Not. AMS 2014, 61, 354–363. [Google Scholar] [CrossRef]
- Thomann, W.; Isele, B.; Russer, P. Characterization of a 90 Degrees Curved Microstrip Transmission Line in the Time-Domain and Frequency-Domain with 3D-TLM-Method and Measurements. In Proceedings of the IEEE Antennas and Propagation Society International Symposium 1992 Digest, Chicago, IL, USA, 18–25 June 1992; Volume 2, pp. 658–661. [Google Scholar]











| r | Tube inner radius | 10 mm |
| rb | Bend radius | 20 mm |
| Ls | Centerline length | 1 m |
| µ | Dynamic viscosity | 1 Pa s |
| Density | 1000 kg/m3 | |
| c | Wave propagation velocity | 1000 m/s |
Disclaimer/Publisher’s Note: The statements, opinions and data contained in all publications are solely those of the individual author(s) and contributor(s) and not of MDPI and/or the editor(s). MDPI and/or the editor(s) disclaim responsibility for any injury to people or property resulting from any ideas, methods, instructions or products referred to in the content. |
© 2024 by the author. Licensee MDPI, Basel, Switzerland. This article is an open access article distributed under the terms and conditions of the Creative Commons Attribution (CC BY) license (https://creativecommons.org/licenses/by/4.0/).
Share and Cite
Wiens, T. Correction Factors for the Use of 1D Solution Methods for Dynamic Laminar Liquid Flow through Curved Tubes. Fluids 2024, 9, 138. https://doi.org/10.3390/fluids9060138
Wiens T. Correction Factors for the Use of 1D Solution Methods for Dynamic Laminar Liquid Flow through Curved Tubes. Fluids. 2024; 9(6):138. https://doi.org/10.3390/fluids9060138
Chicago/Turabian StyleWiens, Travis. 2024. "Correction Factors for the Use of 1D Solution Methods for Dynamic Laminar Liquid Flow through Curved Tubes" Fluids 9, no. 6: 138. https://doi.org/10.3390/fluids9060138
APA StyleWiens, T. (2024). Correction Factors for the Use of 1D Solution Methods for Dynamic Laminar Liquid Flow through Curved Tubes. Fluids, 9(6), 138. https://doi.org/10.3390/fluids9060138

