Pipe Formation by Fluid Focalization in Bilayered Sediments
Abstract
1. Introduction

2. Materials and Methods
2.1. Experimental Setup
2.2. Granular Media
3. Results
3.1. Invasion Regimes
3.2. Pipe Formation Dynamics
3.2.1. Decompaction Front
3.2.2. Fluidization
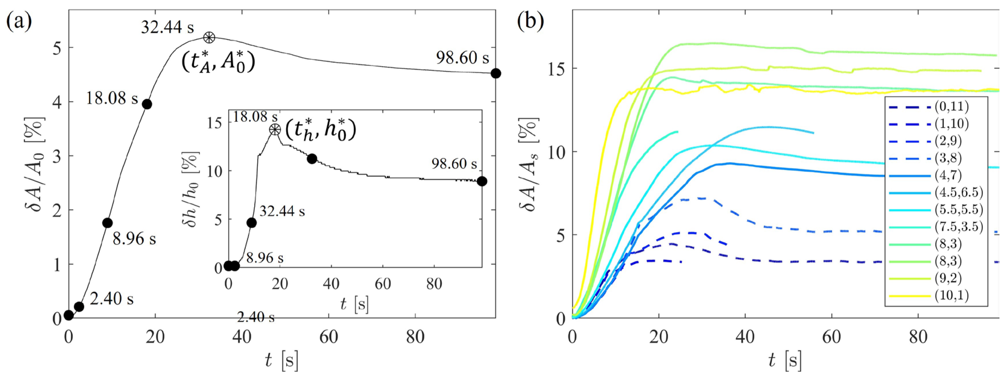
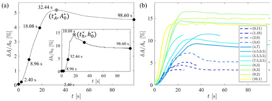
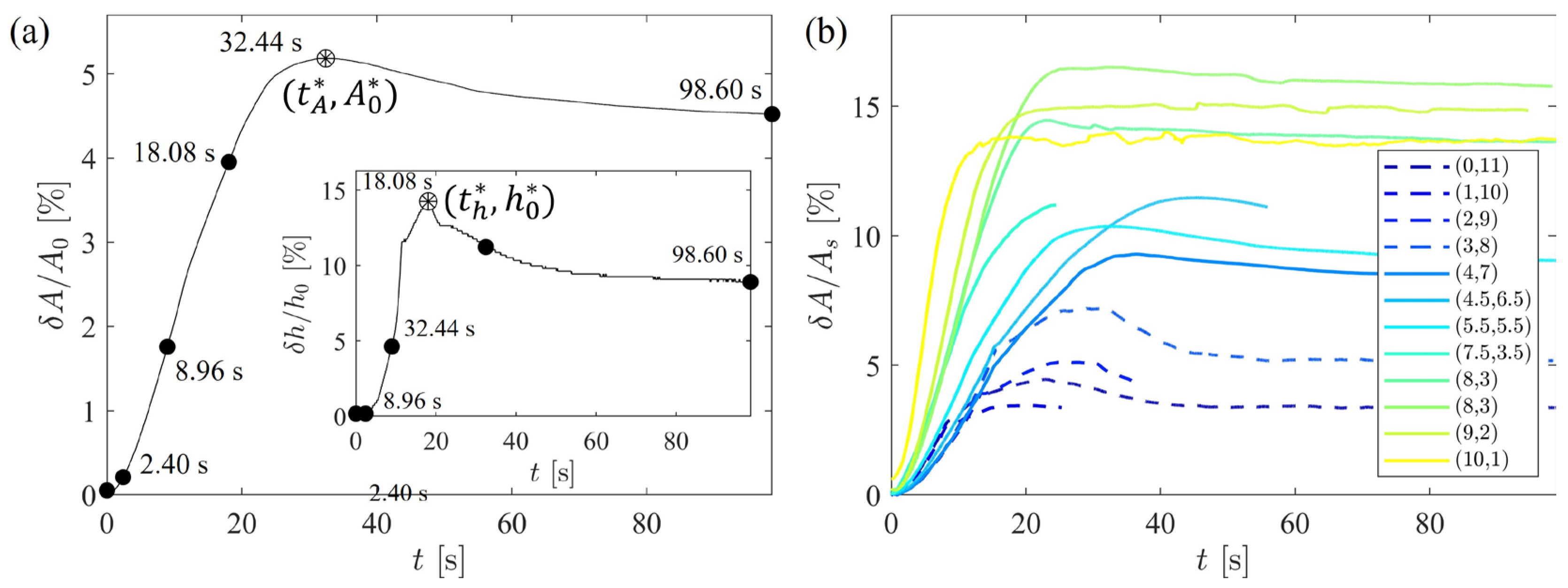
3.3. Height and Area of the Granular Bed
4. Discussion
4.1. Invasion Patterns: Transition from Percolation to Fluidization
4.2. Fluid Focusing vs. Scattering
4.3. Packing Fraction of the Fluidized Region
5. Conclusions
Supplementary Materials
Author Contributions
Funding
Data Availability Statement
Acknowledgments
Conflicts of Interest
References
- Løseth, H.; Wensaas, L.; Arntsen, B.; Hanken, N.-M.; Basire, C.; Graue, K. 1000 m Long Gas Blow-out Pipes. Mar. Pet. Geol. 2011, 28, 1047–1060. [Google Scholar] [CrossRef]
- Cartwright, J.; Santamarina, C. Seismic Characteristics of Fluid Escape Pipes in Sedimentary Basins: Implications for Pipe Genesis. Mar. Pet. Geol. 2015, 65, 126–140. [Google Scholar] [CrossRef]
- Gay, A.; Migeon, S. Geological Fluid Flow in Sedimentary Basins. Bull. Soc. Géol. Fr. 2017, 188, E3. [Google Scholar] [CrossRef]
- Räss, L.; Simon, N.S.C.; Podladchikov, Y.Y. Spontaneous Formation of Fluid Escape Pipes from Subsurface Reservoirs. Sci. Rep. 2018, 8, 11116. [Google Scholar] [CrossRef] [PubMed]
- Gay, A.; Mourgues, R.; Berndt, C.; Bureau, D.; Planke, S.; Laurent, D.; Gautier, S.; Lauer, C.; Loggia, D. Anatomy of a Fluid Pipe in the Norway Basin: Initiation, Propagation and 3D Shape. Mar. Geol. 2012, 332–334, 75–88. [Google Scholar] [CrossRef]
- Hovland, M.; Gardner, J.V.; Judd, A.G. The Significance of Pockmarks to Understanding Fluid Flow Processes and Geohazards. Geofluids 2002, 2, 127–136. [Google Scholar] [CrossRef]
- Svensen, H.; Planke, S.; Malthe-Sørenssen, A.; Jamtveit, B.; Myklebust, R.; Eidem, T.R.; Rey, S.S. Release of Methane from a Volcanic Basin as a Mechanism for Initial Eocene Global Warming. Lett. Nat. 2004, 429, 542–545. [Google Scholar] [CrossRef]
- Svensen, H.; Planke, S.; Chevallier, L.; Malthe-Sørenssen, A.; Corfu, F.; Jamtveit, B. Hydrothermal Venting of Greenhouse Gases Triggering Early Jurassic Global Warming. Earth Planet. Sci. Lett. 2007, 256, 554–566. [Google Scholar] [CrossRef]
- Olsen, J.E.; Skjetne, P. Current Understanding of Subsea Gas Release: A Review. Can. J. Chem. Eng. 2016, 94, 209–219. [Google Scholar] [CrossRef]
- Cardoso, S.S.S.; Cartwright, J.H.E. Increased Methane Emissions from Deep Osmotic and Buoyant Convection beneath Submarine Seeps as Climate Warms. Nat. Commun. 2016, 7, 13266. [Google Scholar] [CrossRef] [PubMed]
- Foschi, M.; Cartwright, J.A.; MacMinn, C.W.; Etiope, G. Evidence for Massive Emission of Methane from a Deep-water Gas Field during the Pliocene. Proc. Natl. Acad. Sci. USA 2020, 117, 27869–27876. [Google Scholar] [CrossRef] [PubMed]
- Gay, A.; Lopez, M.; Berndt, C.; Séranne, M. Geological Controls on Focused Fluid Flow Associated with Seafloor Seeps in the Lower Congo Basin. Mar. Geol. 2007, 244, 68–92. [Google Scholar] [CrossRef]
- Riboulot, V.; Sultan, N.; Imbert, P.; Ker, S. Initiation of Gas-Hydrate Pockmark in Deep-Water Nigeria: Geo-Mechanical Analysis and Modelling. Earth Planet. Sci. Lett. 2016, 434, 252–263. [Google Scholar] [CrossRef]
- Xu, C.; Xu, G.; Xing, J.; Sun, Z.; Wu, N. Research Progress of Seafloor Pockmarks in Spatio-Temporal Distribution and Classification. J. Ocean. Univ. China 2020, 19, 69–80. [Google Scholar] [CrossRef]
- Vidal, V.; Gay, A. Future Challenges on Focused Fluid Migration in Sedimentary Basins: Insight from Field Data, Laboratory Experiments and Numerical Simulations. Pap. Phys. 2022, 14, 140011. [Google Scholar] [CrossRef]
- Nichols, R.J.; Sparks, R.S.J.; Wilson, C.J.N. Experimental Studies of the Fluidization of Layered Sediments and the Formation of Fluid Escape Structures. Sedimentology 1994, 41, 233–253. [Google Scholar] [CrossRef]
- Mourgues, R.; Cobbold, P.R. Some Tectonic Consequences of Fluid Overpressures and Seepage Forces as Demonstrated by Sandbox Modelling. Tectonophysics 2003, 376, 75–97. [Google Scholar] [CrossRef]
- Mörz, T.; Karlik, E.A.; Kreiter, S.; Kopf, A. An Experimental Setup for Fluid Venting in Unconsolidated Sediments: New Insights to Fluid Mechanics and Structures. Sediment. Geol. 2007, 196, 251–267. [Google Scholar] [CrossRef]
- Mazzini, A.; Ivanov, M.K.; Nermoen, A.; Bahr, A.; Bohrmann, G.; Svensen, H.; Planke, S. Complex Plumbing Systems in the near Subsurface: Geometries of Authigenic Carbonates from Dolgovskoy Mound (Black Sea) Constrained by Analogue Experiments. Mar. Pet. Geol. 2008, 25, 457–472. [Google Scholar] [CrossRef]
- Nermoen, A.; Galland, O.; Jettestuen, E.; Fristad, K.; Podladchikov, Y.; Svensen, H.; Malthe-Sørenssen, A. Experimental and Analytic Modeling of Piercement Structures. J. Geophys. Res. 2010, 115, B10202. [Google Scholar] [CrossRef]
- Mourgues, R.; Bureau, D.; Bodet, L.; Gay, A.; Gressier, J.B. Formation of Conical Fractures in Sedimentary Basins: Experiments Involving Pore Fluids and Implications for Sandstone Intrusion Mechanisms. Earth Planet. Sci. Lett. 2012, 313–314, 67–78. [Google Scholar] [CrossRef]
- Luu, L.-H.; Noury, G.; Benseghier, Z.; Philippe, P. Hydro-Mechanical Modeling of Sinkhole Occurrence Processes in Covered Karst Terrains during a Flood. Eng. Geol. 2019, 260, 105249. [Google Scholar] [CrossRef]
- May, F.; Warsitzka, M.; Kukowski, N. Analogue Modelling of Leakage Processes in Unconsolidated Sediments. Int. J. Greenh. Gas Control 2019, 90, 102805. [Google Scholar] [CrossRef]
- Fu, X.; Jimenez-Martinez, J.; Nguyen, T.P.; Carey, J.W.; Viswanathan, H.; Cueto-Felgueroso, L.; Juanes, R. Crustal Fingering Facilitates Free-Gas Methane Migration through the Hydrate Stability Zone. Proc. Natl. Acad. Sci. USA 2020, 117, 31660–31664. [Google Scholar] [CrossRef]
- Yarushina, V.M.; Makhnenko, R.Y.; Podladchikov, Y.Y.; Wang, L.H.; Räss, L. Viscous Behavior of Clay-Rich Rocks and Its Role in Focused Fluid Flow. Geochem. Geophys. Geosyst. 2021, 22, e2021GC009949. [Google Scholar] [CrossRef]
- Montellà, E.P.; Toraldo, M.; Chareyre, B.; Sibille, L. Localized Fluidization in Granular Materials: Theoretical and Numerical Study. Phys. Rev. E 2016, 94, 052905. [Google Scholar] [CrossRef] [PubMed]
- Yarushina, V.M.; Wang, L.H.; Connolly, D.; Kocsis, G.; Fæstø, I.; Polteau, S.; Lakhlifi, A. Focused Fluid-Flow Structures Potentially Caused by Solitary Porosity Waves. Geology 2022, 50, 179–183. [Google Scholar] [CrossRef]
- Gupta, S.; Micallef, A. Modelling the Influence of Erosive Fluidization on the Morphology of Fluid Flow and Escape Structures. Math. Geosci. 2023, 55, 1101–1123. [Google Scholar] [CrossRef]
- Werner, A.D.; Jazayeri, A.; Ramirez-Lagunas, M. Sediment Mobilisation and Release through Groundwater Discharge to the Land Surface: Review and Theoretical Development. Sci. Total Environ. 2020, 714, 136757. [Google Scholar] [CrossRef]
- Warsitzka, M.; Kukowski, N.; May, F. Fluid-Overpressure Driven Sediment Mobilisation and Its Risk for the Integrity for CO2 Storage Sites—An Analogue Modelling Approach. Energy Procedia 2017, 114, 3291–3304. [Google Scholar] [CrossRef]
- Gay, A.; Berndt, C. Cessation/Reactivation of Polygonal Faulting and Effects on Fluid Flow in the Vøring Basin, Norwegian Margin. J. Geol. Soc. Lond. 2007, 164, 129–141. [Google Scholar] [CrossRef]
- Gay, A.; Cavailhès, T.; Grauls, D.; Marsset, B.; Marsset, T. Repeated Fluid Expulsions during Events of Rapid Sea-Level Rise in the Gulf of Lion, Western Mediterranean Sea. Bull. Soc. Géol. Fr. 2017, 188, 24. [Google Scholar] [CrossRef]
- Aderibigbe, O.O.; Rajaratnam, N. Erosion of Loose Beds by Submerged Circular Impinging Vertical Turbulent Jets. J. Hydraul. Res. 1996, 34, 19–33. [Google Scholar] [CrossRef]
- Badr, S.; Gauthier, G.; Gondret, P. Erosion Threshold of a Liquid Immersed Granular Bed by an Impinging Plane Liquid Jet. Phys. Fluids 2014, 26, 023302. [Google Scholar] [CrossRef]
- Vessaire, J.; Varas, G.; Joubaud, S.; Volk, R.; Bourgoin, M.; Vidal, V. Stability of a Liquid Jet Impinging on Confined Saturated Sand. Phys. Rev. Lett. 2020, 124, 224502. [Google Scholar] [CrossRef]
- Alaoui, C.; Gay, A.; Vidal, V. Oscillations of a Particle-Laden Fountain. Phys. Rev. E 2022, 106, 024901. [Google Scholar] [CrossRef]
- Clift, R.; Grace, J.R.; Weber, M.E. Bubbles, Drops and Particles; Academic Press: New York, NY, USA, 1978. [Google Scholar]












Disclaimer/Publisher’s Note: The statements, opinions and data contained in all publications are solely those of the individual author(s) and contributor(s) and not of MDPI and/or the editor(s). MDPI and/or the editor(s) disclaim responsibility for any injury to people or property resulting from any ideas, methods, instructions or products referred to in the content. |
© 2024 by the authors. Licensee MDPI, Basel, Switzerland. This article is an open access article distributed under the terms and conditions of the Creative Commons Attribution (CC BY) license (https://creativecommons.org/licenses/by/4.0/).
Share and Cite
Gay, A.; Tangavelou, G.; Vidal, V. Pipe Formation by Fluid Focalization in Bilayered Sediments. Fluids 2024, 9, 66. https://doi.org/10.3390/fluids9030066
Gay A, Tangavelou G, Vidal V. Pipe Formation by Fluid Focalization in Bilayered Sediments. Fluids. 2024; 9(3):66. https://doi.org/10.3390/fluids9030066
Chicago/Turabian StyleGay, Aurélien, Ganesh Tangavelou, and Valérie Vidal. 2024. "Pipe Formation by Fluid Focalization in Bilayered Sediments" Fluids 9, no. 3: 66. https://doi.org/10.3390/fluids9030066
APA StyleGay, A., Tangavelou, G., & Vidal, V. (2024). Pipe Formation by Fluid Focalization in Bilayered Sediments. Fluids, 9(3), 66. https://doi.org/10.3390/fluids9030066

