Interaction of the Shock Train Leading Edge and Filamentary Plasma in a Supersonic Duct
Abstract
1. Introduction
2. Experimental Methods
2.1. Flow Path
2.2. Instrumentation
2.3. Test Parameters
3. Data Processing
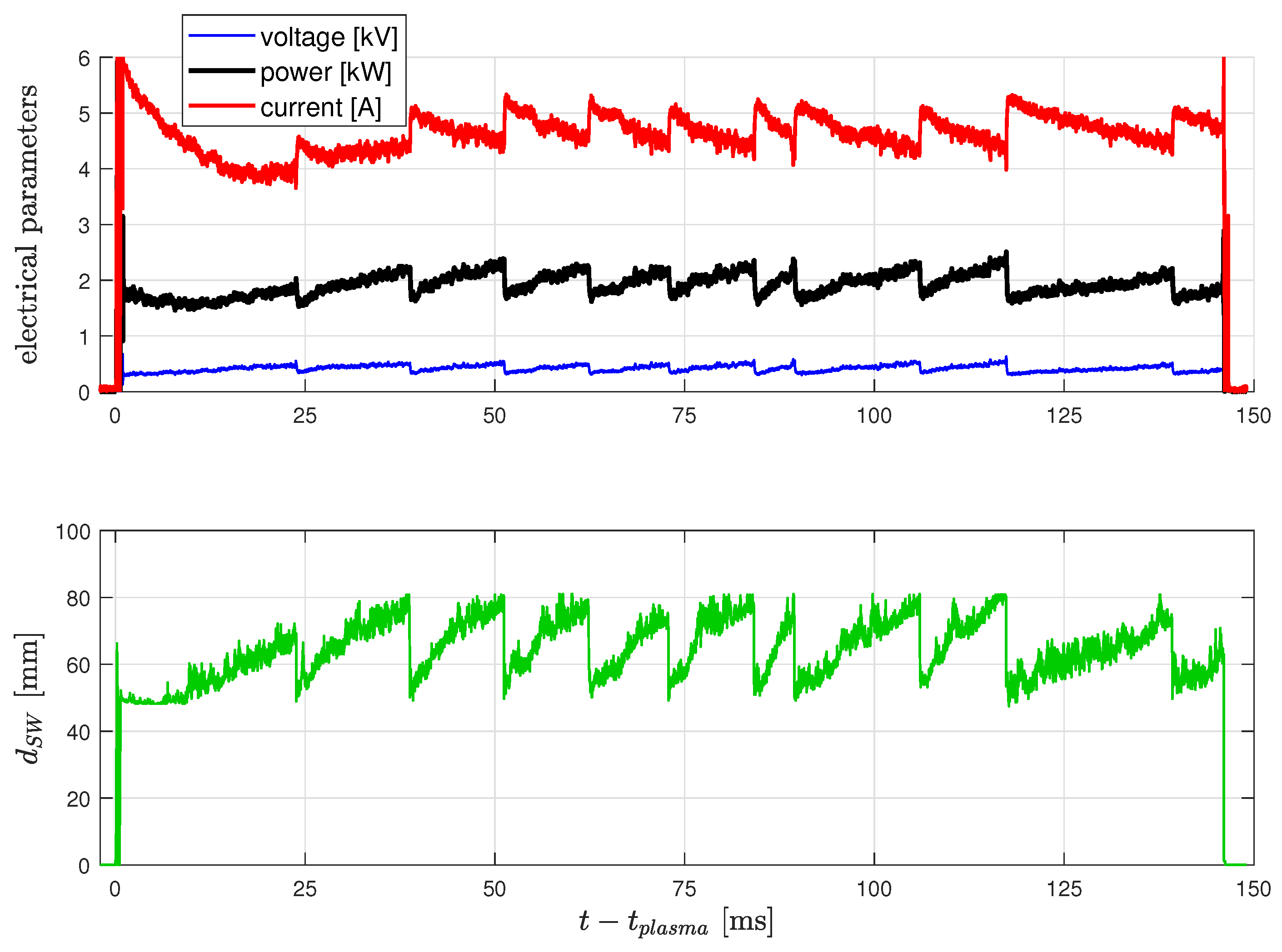
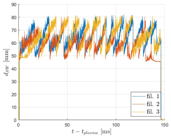
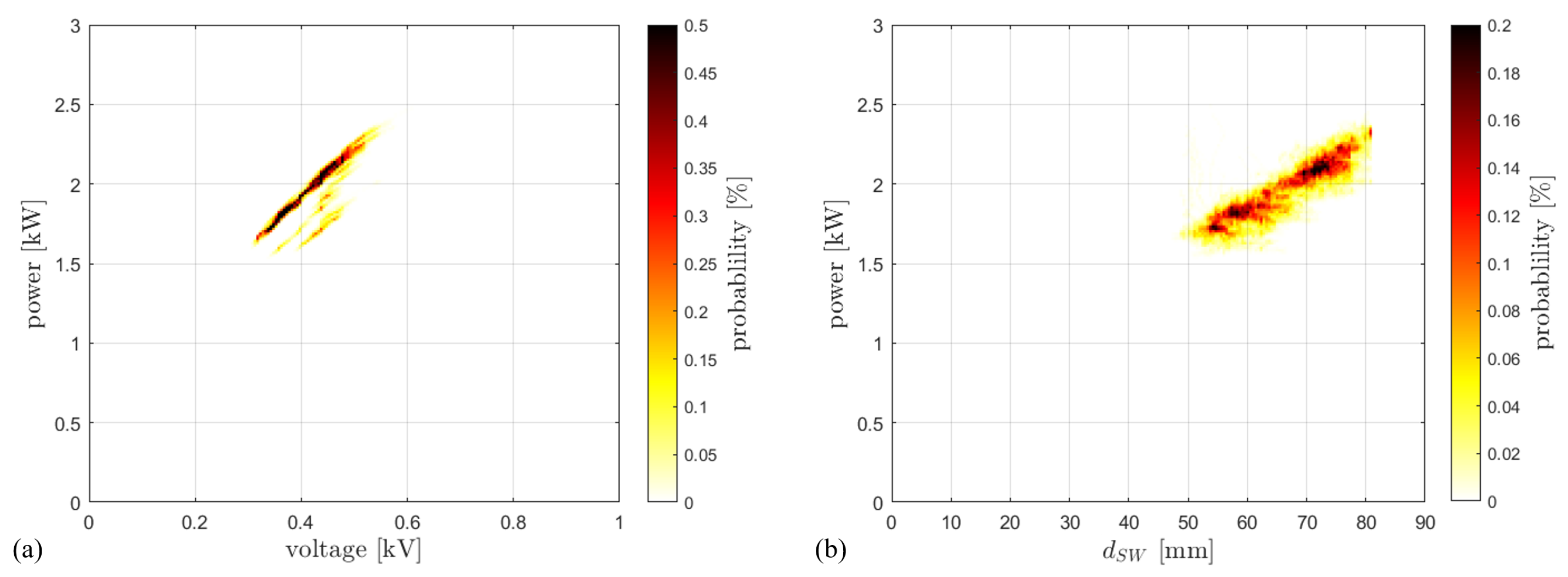
3.1. Electrical Discharge and Filamentary Plasma Characteristics
3.2. SAFS Shock Tracking
4. Results
4.1. Electrical Discharge in Absence of Shock Train
4.2. Case IV: Intermittent Interaction
4.3. Case V: Unsteady Interaction
4.4. Case VIII: Separation Bubble Interaction
4.5. Case II: Isolated Interaction
5. Discussion
- (a)
- Prior to control, a symmetric STLE is located downstream of the electrodes. Strong boundary layer thickening/separation exists underneath the legs of the STLE as a result of the strong adverse pressure gradient imposed downstream.
- (b)
- Once the electrical discharges are initiated, a weak plasma shock is generated from the volumetric expansion of the hot gas in the boundary layer. A short transient period in the range of a few ms occurs before the STLE is noticeably modified.
- (c)
- High-temperature regions in the boundary layer originating from the electrical discharge locally increase the speed of sound. This introduces additional subsonic passages to the electrodes, which enables the downstream pressure to rise to push upstream. The boundary layer displacement thickness associated with the STLE leg moves upstream as the top leg is spread into a series of compression waves. The previously symmetric STLE is now biased upstream on the top leg, which has a reduced angle compared to the initial lambda shock. The shock–shock interaction (Edney Type II [27]) is weakened, resulting in a reduction of the normal shock size. When the STLE is in the vicinity of the electrodes, the plasma filament begins to become wrinkled at this stage.
- (d)
- As the STLE continues to move upstream, it completely merges with the plasma shock. The thickened boundary layer reaches the electrode position and strongly disturbs the filaments. The flow may be reversed in this region and can result in the plasma filaments anchoring upstream of the electrodes. When this happens, the oblique shock becomes anchored even further upstream.
- (e)
- The STLE position was observed to oscillate for all interaction types. The unsteadiness is believed to be a result of the communication lag throughout the shock train as the pressure gradient is modified transiently by the plasma control. Once the STLE travels some distance upstream, it tends to return downstream at fairly large amplitudes (1 duct height). Additionally, as the STLE reaches far upstream, the filaments begin to extinguish regularly. This can reduce the control authority and further contribute to the unsteadiness.
6. Conclusions
Author Contributions
Funding
Data Availability Statement
Conflicts of Interest
References
- Im, S.k.; Do, H. Unstart phenomena induced by flow choking in scramjet inlet-isolators. Prog. Aerosp. Sci. 2018, 97, 1–21. [Google Scholar] [CrossRef]
- Klomparens, R.; Driscoll, J.F.; Gamba, M. Response of a shock train to downstream back pressure forcing. In Proceedings of the 54th AIAA Aerospace Sciences Meeting, San Diego, CA, USA, 4–8 January 2016. [Google Scholar] [CrossRef]
- Anderson, J.D. Modern Compressible Flow: With Historical Perspective, 3rd ed.; McGraw-Hill Series in Aeronautical and Aerospace Engineering; McGraw-Hill: Boston, MA, USA, 2003. [Google Scholar]
- Matsuo, K.; Miyazato, Y.; Kim, H.D. Shock train and pseudo-shock phenomena in internal gas flows. Prog. Aerosp. Sci. 1999, 35, 33–100. [Google Scholar] [CrossRef]
- Gnani, F.; Zare-Behtash, H.; Kontis, K. Pseudo-shock waves and their interactions in high-speed intakes. Prog. Aerosp. Sci. 2016, 82, 36–56. [Google Scholar] [CrossRef]
- Babinsky, H.; Harvey, J. (Eds.) Shock Wave-Boundary-Layer Interactions; Cambridge Aerospace Series; Cambridge University Press: Cambridge, UK; New York, NY, USA, 2011; OCLC: ocn701672464. [Google Scholar]
- Baccarella, D.; Liu, Q.; McGann, B.; Lee, G.; Lee, T. Isolator-combustor interactions in a circular model scramjet with thermal and non-thermal choking-induced unstart. J. Fluid Mech. 2021, 917, A38. [Google Scholar] [CrossRef]
- Wagner, J.L.; Yuceil, K.B.; Valdivia, A.; Clemens, N.T.; Dolling, D.S. Experimental Investigation of Unstart in an Inlet/Isolator Model in Mach 5 Flow. AIAA J. 2009, 47, 1528–1542. [Google Scholar] [CrossRef]
- Waltrup, P.J.; Billig, F.S. Structure of Shock Waves in Cylindrical Ducts. AIAA J. 1973, 11, 1404–1408. [Google Scholar] [CrossRef]
- Hunt, R.; Edelman, L.M.; Gamba, M. Scaling of pseudoshock length and pressure rise. In Proceedings of the 2018 AIAA Aerospace Sciences Meeting, Kissimmee, FL, USA, 8–12 January 2018. [Google Scholar] [CrossRef]
- Do, H.; Im, S.; Godfrey Mungal, M.; Cappelli, M.A. The influence of boundary layers on supersonic inlet flow unstart induced by mass injection. Exp. Fluids 2011, 51, 679–691. [Google Scholar] [CrossRef]
- Weiss, A.; Olivier, H. Shock boundary layer interaction under the influence of a normal suction slot. Shock Waves 2014, 24, 11–19. [Google Scholar] [CrossRef]
- Hunt, R.; Driscoll, J.F.; Gamba, M. Periodic forcing of a shock train in Mach 2.0 flow. In Proceedings of the 55th AIAA Aerospace Sciences Meeting, Grapevine, TX, USA, 9–13 January 2017. [Google Scholar] [CrossRef]
- Valdivia, A.; Yuceil, K.B.; Wagner, J.L.; Clemens, N.T.; Dolling, D.S. Control of Supersonic Inlet-Isolator Unstart Using Active and Passive Vortex Generators. AIAA J. 2014, 52, 1207–1218. [Google Scholar] [CrossRef]
- Leonov, S.B.; Yarantsev, D.A. Control of separation phenomena in a high-speed flow by means of the surface electric discharge. Fluid Dyn. 2008, 43, 945–953. [Google Scholar] [CrossRef]
- Falempin, F.; Firsov, A.A.; Yarantsev, D.A.; Goldfeld, M.A.; Timofeev, K.; Leonov, S.B. Plasma control of shock wave configuration in off-design mode of M = 2 inlet. Exp. Fluids 2015, 56, 54. [Google Scholar] [CrossRef]
- Watanabe, Y.; Elliott, S.; Firsov, A.; Houpt, A.; Leonov, S. Rapid control of force/momentum on a model ramp by quasi-DC plasma. J. Phys. D Appl. Phys. 2019, 52, 444003. [Google Scholar] [CrossRef]
- Houpt, A.; Hedlund, B.; Leonov, S.; Ombrello, T.; Carter, C. Quasi-DC electrical discharge characterization in a supersonic flow. Exp. Fluids 2017, 58, 25. [Google Scholar] [CrossRef]
- Houpt, A.; Leonov, S.; Ombrello, T.; Carter, C.; Leiweke, R.J. Flow Control in Supersonic-Cavity-Based Airflow by Quasi-Direct-Current Electric Discharge. AIAA J. 2019, 57, 2881–2891. [Google Scholar] [CrossRef]
- Elliott, S.; Lax, P.; Leonov, S.B. Control of Shock Positions in a Supersonic Duct by Plasma Array. In Proceedings of the AIAA SCITECH 2022 Forum, San Diego, CA, USA & Virtual, 3–7 January 2022. [Google Scholar] [CrossRef]
- Andrews, P.; Lax, P.; Leonov, S. Triggering Shock Wave Positions by Patterned Energy Deposition. Energies 2022, 15, 7104. [Google Scholar] [CrossRef]
- Leonov, S.B.; Andrews, P.S.; Ombrello, T.; Braun, E. Shock Wave Train Control in Supersonic Duct. In Proceedings of the AIAA SCITECH 2024 Forum, Orlando, FL, USA, 8–12 January 2024. [Google Scholar] [CrossRef]
- Lax, P.A.; Leonov, S.B. Application of High-Speed Self-Aligned Focusing Schlieren System for Supersonic Flow Velocimetry. Aerospace 2024, 11, 603. [Google Scholar] [CrossRef]
- Raizer, I.P. Gas Discharge Physics; Springer: Berlin/Heidelberg, Germany; New York, NY, USA, 1997. [Google Scholar]
- Go, D.B. Ionization and Ion Transport: A Primer for the Study of Non-Equilibrium, Low-Temperature Gas Discharges and Plasmas; Morgan & Claypool Publishers: Kentfield, CA, USA, 2018. [Google Scholar] [CrossRef]
- Leonov, S.B.; Yarantsev, D.A. Near-Surface Electrical Discharge in Supersonic Airflow: Properties and Flow Control. J. Propuls. Power 2008, 24, 1168–1181. [Google Scholar] [CrossRef]
- Edney, B. Anomalous Heat Transfer and Pressure Distributions on Blunt Bodies at Hypersonic Speeds in the Presence of an Impinging Shock; Technical Report FFA-115; Flygtekniska Forsoksanstalten: Stockholm, Sweden, 1968. [Google Scholar] [CrossRef]





















| Case | Diff. Angle [°] | Plasma Dur. [ms] | SAFS View | [bar] | [K] | |
|---|---|---|---|---|---|---|
| I | 0 | 0.104 | 150 | Upstream | 1.6 | 300 |
| II | 6.5 | 0.387 | 150 | Downstream | 1.6 | 300 |
| III | 7.5 | 0.448 | 100 | Upstream | 1.6 | 300 |
| IV | 7.75 | 0.466 | 100 | Upstream | 1.6 | 300 |
| V | 8 | 0.489 | 100 | Upstream | 1.6 | 300 |
| VI | 8.25 | 0.495 | 100 | Upstream | 2.6 | 490 |
| VII | 8.5 | 0.506 | 100 | Upstream | 1.6 | 300 |
| VIII | 9 | 0.535 | 100 | Upstream | 1.6 | 300 |
| Case | Interaction Type | |
|---|---|---|
| I | N/A | N/A |
| II | 3.7 | Isolated |
| III | 2.2 | Isolated |
| IV | 1.7 | Intermittent |
| V | 1.0 | Unsteady |
| VI | 1.0 | Intermittent |
| VII | 0.25 | Unsteady |
| VIII | −0.7 | Separation Bubble |
Disclaimer/Publisher’s Note: The statements, opinions and data contained in all publications are solely those of the individual author(s) and contributor(s) and not of MDPI and/or the editor(s). MDPI and/or the editor(s) disclaim responsibility for any injury to people or property resulting from any ideas, methods, instructions or products referred to in the content. |
© 2024 by the authors. Licensee MDPI, Basel, Switzerland. This article is an open access article distributed under the terms and conditions of the Creative Commons Attribution (CC BY) license (https://creativecommons.org/licenses/by/4.0/).
Share and Cite
Hahn, L.C.; Lax, P.A.; Morris, S.C.; Leonov, S.B. Interaction of the Shock Train Leading Edge and Filamentary Plasma in a Supersonic Duct. Fluids 2024, 9, 291. https://doi.org/10.3390/fluids9120291
Hahn LC, Lax PA, Morris SC, Leonov SB. Interaction of the Shock Train Leading Edge and Filamentary Plasma in a Supersonic Duct. Fluids. 2024; 9(12):291. https://doi.org/10.3390/fluids9120291
Chicago/Turabian StyleHahn, Loren C., Philip A. Lax, Scott C. Morris, and Sergey B. Leonov. 2024. "Interaction of the Shock Train Leading Edge and Filamentary Plasma in a Supersonic Duct" Fluids 9, no. 12: 291. https://doi.org/10.3390/fluids9120291
APA StyleHahn, L. C., Lax, P. A., Morris, S. C., & Leonov, S. B. (2024). Interaction of the Shock Train Leading Edge and Filamentary Plasma in a Supersonic Duct. Fluids, 9(12), 291. https://doi.org/10.3390/fluids9120291

