A Comprehensive Numerical and Experimental Study on Improving the Thermal Performance of a Shell and Helically Coiled Heat Exchanger Utilizing Hybrid Magnetic Nanofluids and Porous Spiral-Type Fins
Abstract
1. Introduction
2. Approach and Methodology
2.1. Computational Analysis
2.2. Test Setup
2.3. Nanofluid Preparation Procedure
2.4. Calculations
3. Results and Discussion
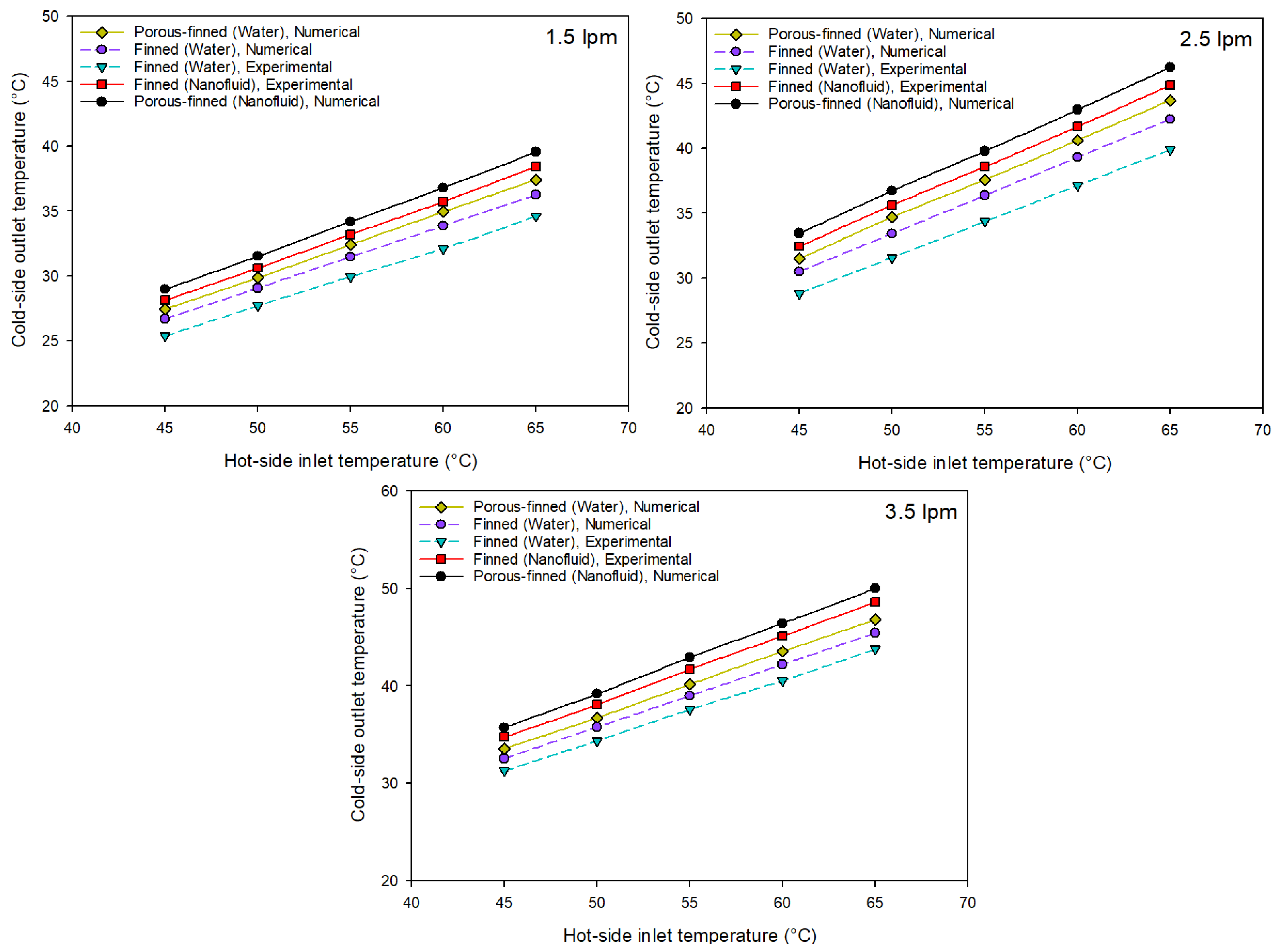
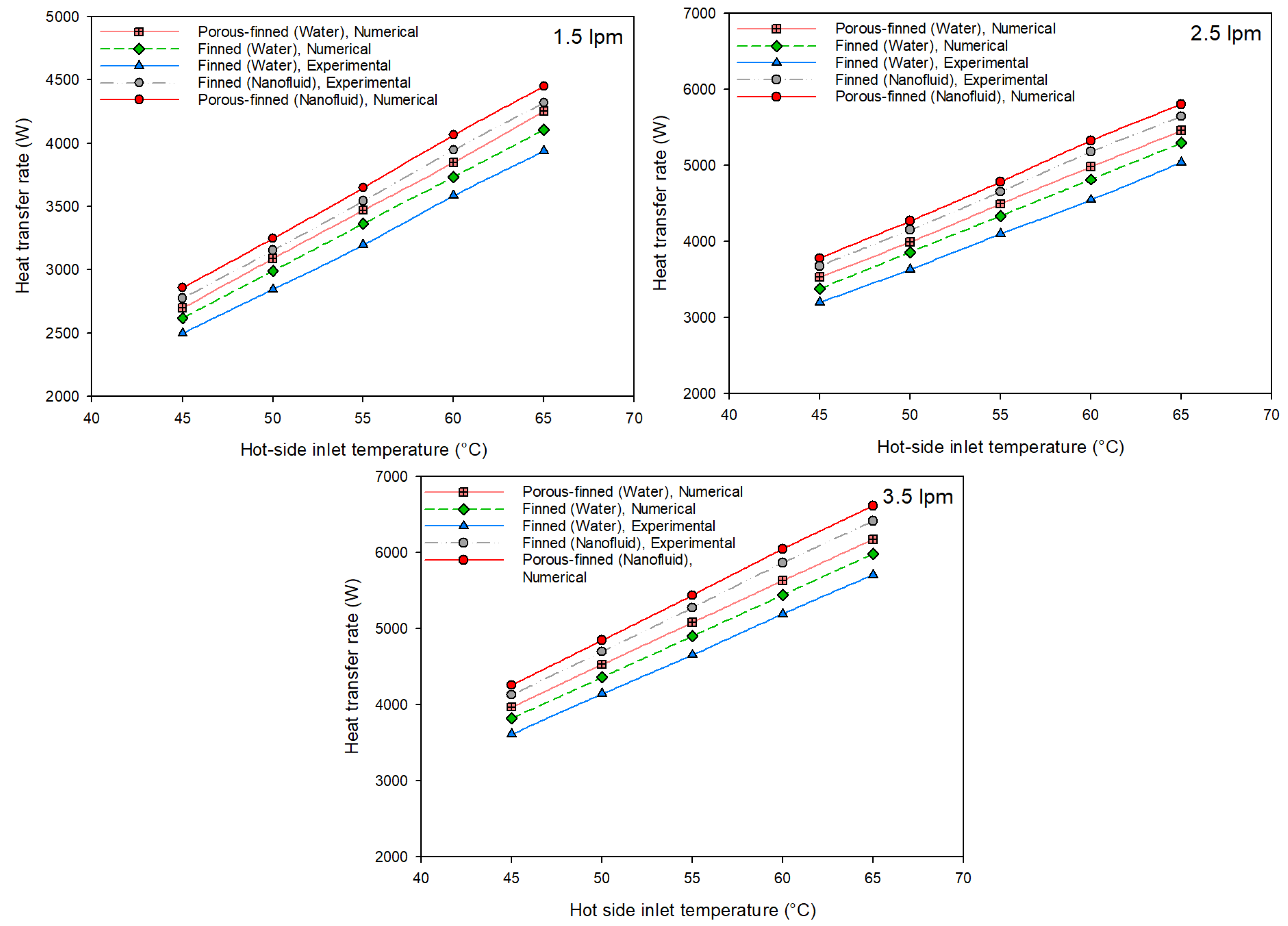
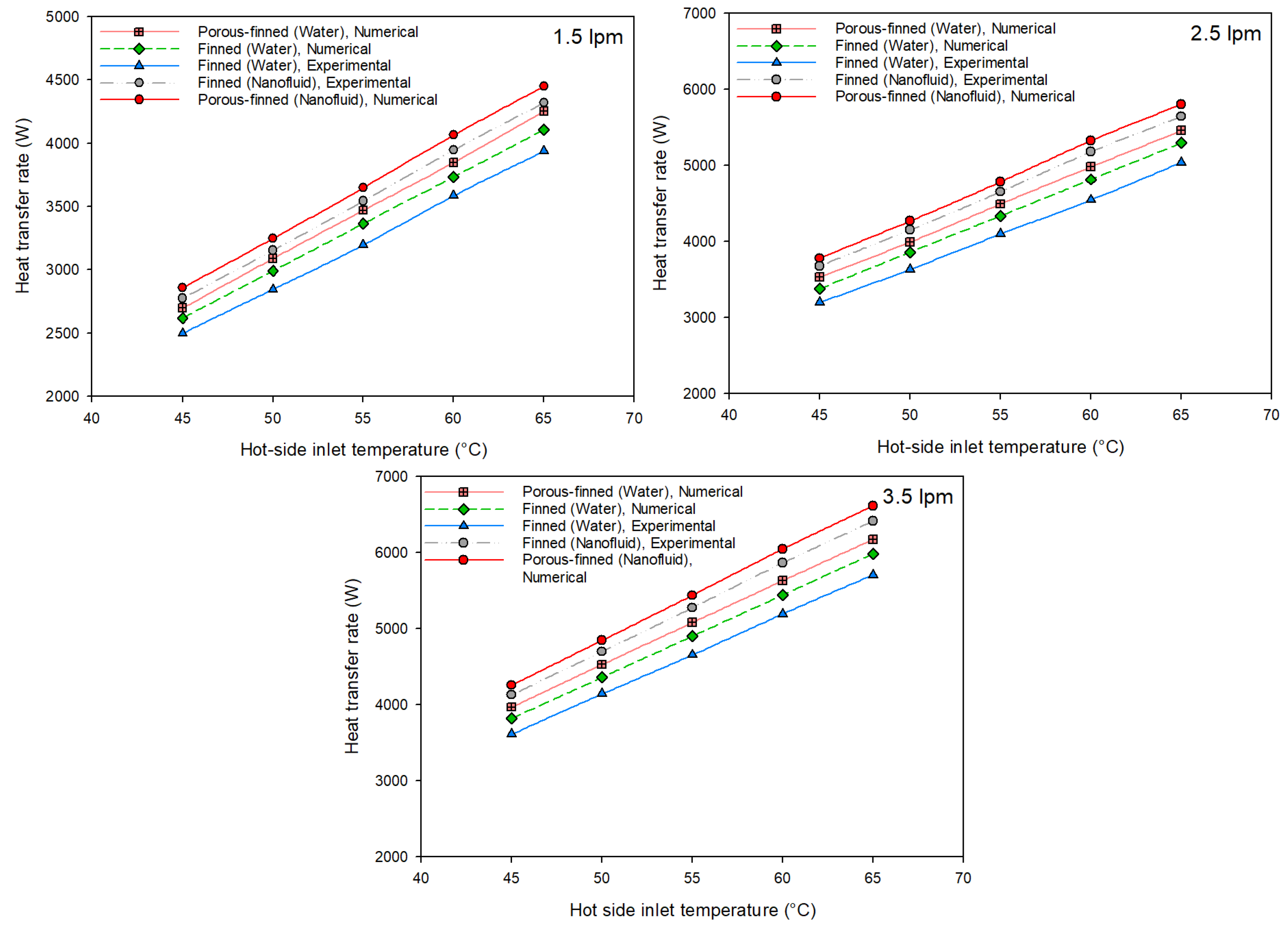
3.1. CFD Simulation Results
3.2. Experimental Results
4. Conclusions
- The overall results of this study showed that the applied modifications were successful in improving the SHCHEX’s thermal performance. Controlling the flow on the cold side and directing it over the helically coiled tube are the main factors contributing to the new design’s improved heat transfer;
- There was good agreement between experimental results and CFD simulation outcomes. The mean variation between the experimentally obtained exit temperature of the SHCHEX and numerically achieved one was 3.9%.
- Utilizing the MnFe2O4-ZnFe2O4/water-hybrid magnetic NF in the hot loop of the SHCHEX raised the transferred heat, on average, 13.3% according to the experimental findings;
- According to experimentally obtained heat transfer coefficient values, using the MnFe2O4-ZnFe2O4/water-hybrid magnetic NF in the hot loop of the SHCHEX improved the heat transfer coefficient of the HEX by an average ratio of 16.2%.
Author Contributions
Funding
Data Availability Statement
Acknowledgments
Conflicts of Interest
Nomenclature
| heat transfer surface area (m2) | |
| heat capacity (kJ/kg.K) | |
| helically coiled tube diameter (m) | |
| interior diameter of helically coiled tube (m) | |
| coil diameter (m) | |
| shell diameter (m) | |
| hydraulic diameter | |
| Dean number | |
| total energy (J) | |
| height | |
| heat transfer coefficient (W/m2.K) | |
| conductivity (W/m.K) | |
| mass flow rate (kg/s) | |
| Nusselt number | |
| pressure (Pa) | |
| Reynolds number | |
| temperature (K) | |
| rate of heat transfer (W) | |
| overall heat transfer coefficient (W/m2.K) | |
| velocity (m/s) | |
| overall velocity vector (m/s) | |
| the uncertainties in the independent variables | |
| the overall uncertainty (%) | |
| Greek letters | |
| logarithmic mean temperature difference (K) | |
| dynamic viscosity (Pa.s) | |
| density (kg/m3) | |
| Subcripts | |
| c | coil |
| in | inlet |
| it | inner tube |
| out | outlet |
| t | tube |
References
- Maghrabie, H.M.; Attalla, M.; Mohsen, A.A. Performance of a shell and helically coiled tube heat exchanger with variable inclination angle: Experimental study and sensitivity analysis. Int. J. Therm. Sci. 2021, 164, 106869. [Google Scholar] [CrossRef]
- Dizaji, H.S.; Jafarmadar, S.; Hashemian, M. The effect of flow, thermodynamic and geometrical characteristics on exergy loss in shell and coiled tube heat exchangers. Energy 2015, 91, 678–684. [Google Scholar] [CrossRef]
- Maghrabie, H.M.; Attalla, M.; Mohsen, A.A. Performance assessment of a shell and helically coiled tube heat exchanger with variable orientations utilizing different nanofluids. Appl. Therm. Eng. 2021, 182, 116013. [Google Scholar] [CrossRef]
- Andrzejczyk, R.; Muszynski, T. An experimental investigation on the effect of new continuous core-baffle geometry on the mixed convection heat transfer in shell and coil heat exchanger. Appl. Therm. Eng. 2018, 136, 237–251. [Google Scholar] [CrossRef]
- Jamshidi, N.; Farhadi, M.; Ganji, D.D.; Sedighi, K. Experimental analysis of heat transfer enhancement in shell and helical tube heat exchangers. Appl. Therm. Eng. 2013, 51, 644–652. [Google Scholar] [CrossRef]
- Khorasani, S.; Dadvand, A. Effect of air bubble injection on the performance of a horizontal helical shell and coiled tube heat exchanger: An experimental study. Appl. Therm. Eng. 2017, 111, 676–683. [Google Scholar] [CrossRef]
- Khorasani, S.; Moosavi, A.; Dadvand, A.; Hashemian, M. A comprehensive second law analysis of coil side air injection in the shell and coiled tube heat exchanger: An experimental study. Appl. Therm. Eng. 2019, 150, 80–87. [Google Scholar] [CrossRef]
- Fuxi, S.; Sina, N.; Ahmadi, A.; Malekshah, E.H.; Mahmoud, M.Z.; Aybar, H.Ş.H. Effect of different pitches on the 3D helically coiled shell and tube heat exchanger filled with a hybrid nanofluid: Numerical study and artificial neural network modeling. Eng. Anal. Bound. Elem. 2022, 143, 755–768. [Google Scholar] [CrossRef]
- Barzegarian, R.; Aloueyan, A.; Yousefi, T. Thermal performance augmentation using water based Al2O3-gamma nanofluid in a horizontal shell and tube heat exchanger under forced circulation. Int. Commun. Heat Mass Transf. 2017, 86, 52–59. [Google Scholar] [CrossRef]
- Kuruneru, S.T.W.; Vafai, K.; Sauret, E.; Gu, Y. Application of porous metal foam heat exchangers and the implications of particulate fouling for energy-intensive industries. Chem. Eng. Sci. 2020, 228, 115968. [Google Scholar] [CrossRef]
- Mahjoob, S.; Vafai, K.K. A synthesis of fluid and thermal transport models for metal foam heat exchangers. Int. J. Heat Mass Transf. 2008, 51, 3701–3711. [Google Scholar] [CrossRef]
- Yüksel, C.; Öztürk, M.; Çiftçi, E.E. Analysis of a novel V-grooved double pass photovoltaic thermal solar dryer including thermal energy storage. Appl. Therm. Eng. 2024, 236, 121697. [Google Scholar] [CrossRef]
- Kang, Y.T.; Christensen, R.N.; Vafai, K. Analysis of absorption process in a smooth-tube heat exchanger with a porous medium. Heat Transf. Eng. 1994, 15, 42–55. [Google Scholar] [CrossRef]
- Chen, X.; Tavakkoli, F.; Vafai, K. Analysis and characterization of metal foam-filled double-pipe heat exchangers. Numer. Heat Transf. Part A Appl. 2015, 68, 1031–1049. [Google Scholar] [CrossRef]
- Öztürk, M.; Yüksel, C.; Çiftçi, E. Energy, exergy and sustainability analysis of a photovoltaic-thermal solar system with nano-enhancement and thermal energy storage integration. Process Saf. Environ. Prot. 2024, 187, 593–604. [Google Scholar] [CrossRef]
- Zing, C.; Mahjoob, S.; Vafai, K. Analysis of porous filled heat exchangers for electronic cooling. Int. J. Heat Mass Transf. 2019, 133, 268–276. [Google Scholar] [CrossRef]
- Al-Sammarraie, A.T.; Vafai, K. Thermal–hydraulic performance analysis of a convergent double pipe heat exchanger. J. Heat Transf. 2019, 141, 051001. [Google Scholar] [CrossRef]
- Güngör, A.; Khanlari, A.; Sözen, A.; Variyenli, H.İ. Numerical and experimental study on thermal performance of a novel shell and helically coiled heat exchanger design with integrated rings and discs. Int. J. Therm. Sci. 2022, 182, 107781. [Google Scholar] [CrossRef]
- Solanki, A.K.; Kumar, R. Two-phase flow condensation heat transfer characteristic of R-600a inside the horizontal smooth and dimpled helical coiled tube in shell type heat exchanger. Int. J. Refrig. 2019, 107, 155–164. [Google Scholar] [CrossRef]
- Solanki, A.K.; Kumar, R. Condensation of R-134a inside dimpled helically coiled tube-in-shell type heat exchanger. Appl. Therm. Eng. 2018, 129, 535–548. [Google Scholar] [CrossRef]
- Zolfagharnasab, M.H.; Pedram, M.Z.; Hoseinzadeh, S.; Vafai, K. Application of porous-embedded shell and tube heat exchangers for the waste heat recovery systems. Appl. Therm. Eng. 2022, 211, 118452. [Google Scholar] [CrossRef]
- Andrzejczyk, R.; Muszynski, T. Thermodynamic and geometrical characteristics of mixed convection heat transfer in the shell and coil tube heat exchanger with baffles. Appl. Therm. Eng. 2017, 121, 115–125. [Google Scholar] [CrossRef]
- Afshari, F. Experimental and numerical investigation on thermoelectric coolers for comparing air-to-water to air-to-air refrigerators. J. Therm. Anal. Calorim. 2021, 144, 855–868. [Google Scholar] [CrossRef]
- Afshari, F.; Zavaragh, H.G.; Di Nicola, G. Numerical analysis of ball-type turbulators in tube heat exchangers with computational fluid dynamic simulations. Int. J. Environ. Sci. Technol. 2019, 16, 3771–3780. [Google Scholar] [CrossRef]
- Çiftçi, E. Simulation of nucleate pool boiling heat transfer characteristics of the aqueous kaolin and bauxite nanofluids. Heat Transf. Res. 2021, 52, 77–92. [Google Scholar] [CrossRef]
- Zhang, C.; Wang, D.; Xiang, S.; Han, Y.; Peng, X. Numerical investigation of heat transfer and pressure drop in helically coiled tube with spherical corrugation. Int. J. Heat Mass Transf. 2017, 113, 332–341. [Google Scholar] [CrossRef]
- Abu-Hamdeh, N.H.; Bantan, R.A.R.; Tlili, I. Analysis of the thermal and hydraulic performance of the sector-by-sector helically coiled tube heat exchangers as a new type of heat exchangers. Int. J. Therm. Sci. 2020, 150, 106229. [Google Scholar] [CrossRef]
- Shafahi, M.; Bianco, V.; Vafai, K.; Manca, O. Thermal performance of flat-shaped heat pipes using nanofluids. Int. J. Heat Mass transfer 2010, 53, 1438–1445. [Google Scholar] [CrossRef]
- Gürü, M.; Sözen, A.; Karakaya, U.; Çiftçi, E. Influences of bentonite-deionized water nanofluid utilization at different concentrations on heat pipe performance: An experimental study. Appl. Therm. Eng. 2019, 148, 632–640. [Google Scholar] [CrossRef]
- Khanafer, K.; Vafai, K. Applications of nanofluids in porous medium: A critical review. J. Therm. Anal. Calorim. 2019, 135, 1479–1492. [Google Scholar] [CrossRef]
- Çiftçi, E. Distilled water-based AlN+ ZnO binary hybrid nanofluid utilization in a heat pipe and investigation of its effects on performance. Int. J. Thermophys. 2021, 42, 38. [Google Scholar] [CrossRef]
- Gülmüş, B.; Muratçobanoğlu, B.; Mandev, E.; Afshari, F. Experimental and numerical investigation of flow and thermal characteristics of aluminum block exchanger using surface-modified and recycled nanofluids. Int. J. Numer. Methods Heat Fluid Flow 2023, 33, 2685–2709. [Google Scholar] [CrossRef]
- Muratçobanoğlu, B.; Afshari, F. Effects of nanoparticle size on properties of nanofluid and heat transfer enhancement in spiral exchanger using turbulators. Nanosci. Technol. Int. J. 2023, 14, 65–90. [Google Scholar] [CrossRef]
- Afshari, F.; SÖZEN, A.; Khanlari, A.; Tuncer, A.D. Heat transfer enhancement of finned shell and tube heat exchanger using Fe2O3/water nanofluid. J. Cent. South Univ. 2021, 28, 3297–3309. [Google Scholar] [CrossRef]
- Elmnefi, M.; Abdullah, R. Experimental study of heat transfer enhancement using Al2O3/water and TiO2/water nanofluids in a shell-and-tube heat exchanger. Heat Transf. Res. 2021, 52, 15–37. [Google Scholar] [CrossRef]
- Afshari, F.; Muratçobanoğlu, B. Thermal analysis of Fe3O4/water nanofluid in spiral and serpentine mini channels by using experimental and theoretical models. Int. J. Environ. Sci. Technol. 2023, 20, 2037–2052. [Google Scholar] [CrossRef]
- Naik, B.A.K.; Vinod, A.V. Heat transfer enhancement using non-Newtonian nanofluids in a shell and helical coil heat exchanger. Exp. Therm. Fluid Sci. 2018, 90, 132–142. [Google Scholar] [CrossRef]
- Güngör, A.; Sözen, A.; Khanlari, A. Numerical investigation of thermal performance enhancement potential of using Al2O3-TiO2/water hybrid nanofluid in shell and helically coiled heat exchangers. Heat Transf. Res. 2022, 53, 37–54. [Google Scholar] [CrossRef]
- Srinivas, T.; Vinod, A.V. Heat transfer intensification in a shell and helical coil heat exchanger using water-based nanofluids. Chem. Eng. Process. Process Intensif. 2016, 102, 1–8. [Google Scholar] [CrossRef]
- Behera, M.; Nayak, J.; Bal, S. Heat transfer analysis of CuO-ZnO/water hybrid nanofluid in a Shell and tube heat exchanger with various tube shapes. Int. J. Thermofluids 2024, 24, 100972. [Google Scholar] [CrossRef]
- Gaur, S.K.; Sahoo, R.R.; Sarkar, J. Numerical investigation on assessing the influence of diverse-shaped hybrid nanofluids on thermal performance of triple tube heat exchanger. Powder Technol. 2024, 439, 119690. [Google Scholar] [CrossRef]
- Said, Z.; Rahman, S.; Sharma, P.; Hachicha, A.A.; Issa, S. Performance characterization of a solar-powered shell and tube heat exchanger utilizing MWCNTs/water-based nanofluids: An experimental, numerical, and artificial intelligence approach. Appl. Therm. Eng. 2022, 212, 118633. [Google Scholar] [CrossRef]
- Behrozifard, A.; Goshayeshi, H.R.; Zahmatkesh, I.; Chaer, I.; Salahshour, S.; Toghraie, D. Experimental optimization of the performance of a plate heat exchanger with Graphene oxide/water and Al2O3/water nanofluids. Case Stud. Therm. Eng. 2024, 59, 104525. [Google Scholar] [CrossRef]
- Sheikholeslami, M.; Jafaryar, M.; Said, Z.; Alsabery, A.I.; Babazadeh, H.; Shafee, A. Modification for helical turbulator to augment heat transfer behavior of nanomaterial via numerical approach. Appl. Therm. Eng. 2021, 182, 115935. [Google Scholar] [CrossRef]
- Chandran, S.S.; Roy, K.R.; Barik, D.; Arun, M.; Pullagura, G.; Rout, S.K.; Dennison, M.S. Empirical Correlation to Analyze Performance of Shell and Tube Heat Exchanger Using TiO2 Nanofluid-DI Water in Solar Water Heater. Case Stud. Therm. Eng. 2024, 60, 104652. [Google Scholar] [CrossRef]
- Kumar, N.; Sonawane, S.S. Experimental study of Fe2O3/water and Fe2O3/ethylene glycol nanofluid heat transfer enhancement in a shell and tube heat exchanger. Int. Commun. Heat Mass Transf. 2016, 78, 277–284. [Google Scholar] [CrossRef]
- Bhanvase, B.A.; Sayankar, S.D.; Kapre, A.; Fule, P.J.; Sonawane, S.H. Experimental investigation on intensified convective heat transfer coefficient of water based PANI nanofluid in vertical helical coiled heat exchanger. Appl. Therm. Eng. 2018, 128, 134–140. [Google Scholar] [CrossRef]
- Huminic, G.; Huminic, A. Hybrid nanofluids for heat transfer applications–a state-of-the-art review. Int. J. Heat Mass Transf. 2018, 125, 82–103. [Google Scholar] [CrossRef]
- Huminic, G.; Huminic, A.; Dumitrache, F.; Fleacă, C.; Morjan, I. Study of the thermal conductivity of hybrid nanofluids: Recent research and experimental study. Powder Technol. 2020, 367, 347–357. [Google Scholar] [CrossRef]
- Huminic, G.; Huminic, A. A numerical approach on hybrid nanofluid behavior in laminar duct flow with various cross sections. J. Therm. Anal. Calorim. 2020, 140, 2097–2110. [Google Scholar] [CrossRef]
- Karaaslan, I.; Menlik, T. Numerical study of a photovoltaic thermal (PV/T) system using mono and hybrid nanofluid. Sol. Energy 2021, 224, 1260–1270. [Google Scholar] [CrossRef]
- Tuncer, A.D.; Khanlari, A.; Sözen, A.; Gürbüz, E.Y.; Variyenli, H.I. Upgrading the performance of shell and helically coiled heat exchangers with new flow path by using TiO2/water and CuO-TiO2/water nanofluids. Int. J. Therm. Sci. 2023, 183, 107831. [Google Scholar] [CrossRef]
- Afshari, F.; Ceviz, M.A.; Mandev, E.; Yıldız, F. Effect of heat exchanger base thickness and cooling fan on cooling performance of Air-To-Air thermoelectric refrigerator; experimental and numerical study. Sustain. Energy Technol. Assess. 2022, 52, 102178. [Google Scholar] [CrossRef]
- Afshari, F.; Mandev, E.; Muratçobanoğlu, B.; Yetim, A.F.; Ceviz, M.A. Experimental and numerical study on a novel fanless air-to-air solar thermoelectric refrigerator equipped with boosted heat exchanger. Renew. Energy 2023, 207, 253–265. [Google Scholar] [CrossRef]
- Ansys. ANSYS Fluent Theory Guide; ANSYS Inc.: Canonsburg, PA, USA, 2017. [Google Scholar]
- Khanlari, A. The Effect of utilizing Al2O3-SiO2/deionized water hybrid nanofluid in a tube-type heat exchanger. Heat Transf. Res. 2020, 51, 991–1005. [Google Scholar] [CrossRef]
- Ramesh, R.; Murugesan, S.N.; Narendran, C.; Saravanan, R. Experimental investigations on shell and helical coil solution heat exchanger in NH3-H2O vapour absorption refrigeration system (VAR). Int. Commun. Heat Mass Transf. 2017, 87, 6–13. [Google Scholar] [CrossRef]
- Hardik, B.K.; Baburajan, P.K.; Prabhu, S.V. Local heat transfer coefficient in helical coils with single phase flow. Int. J. Heat Mass transfer 2015, 89, 522–538. [Google Scholar] [CrossRef]
- Tuncer, D.; Khanlari, A. Analyzing the effect of flooring material type on the performance of an active greenhouse dryer. Therm. Sci. Eng. Prog. 2024, 48, 102371. [Google Scholar] [CrossRef]
- Khanlari, A.; Aydın, D.Y.; Sözen, A.; Gürü, M.; Variyenli, H.İ. Investigation of the influences of kaolin-deionized water nanofluid on the thermal behavior of concentric type heat exchanger. Heat Mass Transf. 2020, 56, 1453–1462. [Google Scholar] [CrossRef]
- Elshazly, K.M.; Sakr, R.Y.; Ali, R.K.; Salem, M.R. Effect of γ-Al2O3/water nanofluid on the thermal performance of shell and coil heat exchanger with different coil torsions. Heat Mass Transf. 2017, 53, 1893–1903. [Google Scholar] [CrossRef]
- Panahi, D.; Zamzamian, K. Heat transfer enhancement of shell-and-coiled tube heat exchanger utilizing helical wire turbulator. Appl. Therm. Eng. 2017, 115, 607–615. [Google Scholar] [CrossRef]
- Niwalkar, A.F.; Kshirsagar, J.M.; Kulkarni, K. Experimental investigation of heat transfer enhancement in shell and helically coiled tube heat exchanger using SiO2/water nanofluids. Mater. Today: Proc. 2019, 18, 947–962. [Google Scholar] [CrossRef]
- Tuncer, A.D.; Sözen, A.; Khanlari, A.; Gürbüz, E.Y.; Variyenli, H.İ. Analysis of thermal performance of an improved shell and helically coiled heat exchanger. Appl. Therm. Eng. 2021, 184, 116272. [Google Scholar] [CrossRef]
- Tuncer, A.D.; Sözen, A.; Khanlari, A.; Gürbüz, E.Y.; Variyenli, H.İ. Upgrading the performance of a new shell and helically coiled heat exchanger by using longitudinal fins. Appl. Therm. Eng. 2021, 191, 116876. [Google Scholar] [CrossRef]
- Bahrehmand, S.; Abbassi, A. Heat transfer and performance analysis of nanofluid flow in helically coiled tube heat exchangers. Chem. Eng. Res. Des. 2016, 109, 628–637. [Google Scholar] [CrossRef]
- Zaboli, M.; Saedodin, S.; Ajarostaghi, S.S.M.; Nourbakhsh, M. Numerical evaluation of the heat transfer in a shell and corrugated coil tube heat exchanger with three various water-based nanofluids. Heat Transf. 2021, 50, 6043–6067. [Google Scholar] [CrossRef]
- Alklaibi, A.M.; Mouli, K.V.C.; Sundar, L.S. Experimental investigation of heat transfer and effectiveness of employing water and ethylene glycol mixture based Fe3O4 nanofluid in a shell and helical coil heat exchanger. Therm. Sci. Eng. Prog. 2023, 40, 101739. [Google Scholar] [CrossRef]
- Azizi, H.Z.; Shokri, V.; Karouei, S.H.H. Hydrothermal behaviour of hybrid nanofluid flow in a shell-and conical coil tube heat exchanger; numerical approach. Case Stud. Therm. Eng. 2024, 58, 104435. [Google Scholar] [CrossRef]
- Sundar, L.S.; Shaik, F. Heat transfer and exergy efficiency analysis of 60% water and 40% ethylene glycol mixture diamond nanofluids flow through a shell and helical coil heat exchanger. Int. J. Therm. Sci. 2023, 184, 107901. [Google Scholar] [CrossRef]
- Ghaderi, A.; Veysi, F.; Aminian, S.; Andami, Z.; Najafi, M. Experimental and Numerical Study of Thermal Efficiency of Helically Coiled Tube Heat Exchanger Using Ethylene Glycol-Distilled Water Based Fe3O4 Nanofluid. Int. J. Thermophys. 2022, 43, 118. [Google Scholar] [CrossRef]
- Khanlari, A.; Sözen, A.; Variyenli, H.İ.; Tuncer, A.D.; Vafai, K. The effect of using circular and porous circular fins on the thermal performance of a shell and helically coiled heat exchanger: A numerical and experimental study. Int. J. Therm. Sci. 2025, 214, 109894. [Google Scholar] [CrossRef]
- Barzegari, H.; Tavakoli, A.; Vahid, D.J.; Bekhradinassab, E. Experimental study of heat transfer enhancement in a helical tube heat exchanger by alumina nanofluid as current flow. Heat Mass Transf. 2019, 55, 2679–2688. [Google Scholar] [CrossRef]
- Kulkarni, H.R.; Dhanasekaran, C.; Rathnakumar, P.; Varuvel, E.G.; Sivaganesan, S.; Anantachar, M. Investigation on performance of bio synthesized copper nano fluid in helical coil and shell type heat exchanger. Mater. Today Proc. 2022, 52, 862–866. [Google Scholar] [CrossRef]




















| Parameter | Value (mm) |
|---|---|
| Interior diameter of the coiled tube | 6 |
| Exterior diameter of the coiled tube | 8 |
| Coil diameter | 100 |
| Pitch of the coil | 16 |
| Number of turns | 18 |
| Shell part diameter | 140 |
| Height of the shell part | 375 |
| Internal guiding tube’s diameter | 60 |
| Internal guiding tube’s diameter height | 325 |
| Fluid | Viscosity (mPa.s) | Density (kg/m3) | Specific Heat Capacity (J/kg.K) | Thermal Conductivity (W/m.K) |
|---|---|---|---|---|
| Deionized water | 0.62 | 998 | 4180 | 0.61 |
| MnFe2O4-ZnFe2O4/water | 0.75 | 1036 | 4070 | 0.72 |
| Study | Study Type | Tested Flow Rate | Range of Reynolds Number in the Coil | Heat Transfer Rate (W) | (W/m2K) | Increment Obtained by Using New Modification | |
|---|---|---|---|---|---|---|---|
| Exp | Num | ||||||
| Güngör et al. [18] | ✓ | ✓ | 2–6 lpm | 10,600–14,200 | 2950–5350 | 5200–6500 | Mean improvement for heat transfer obtained in the range of 7.05–7.1 by adding fins. |
| Niwalkar et al. [63] | ✓ | - | 0.5–0.84 lpm | 1500–4200 | - | 2000–14,000 | Utilizing NF in the HEX caused the highest improvement in the heat transfer coefficient, 28.71%. |
| Tuncer et al. [64] | ✓ | ✓ | 1.5–3.5 lpm | 6600–16,000 | 2000–4600 | 5700–13,400 | The exit temperature of the cold loop of the HEX improved by a mean of 10% by utilizing an internal tube. |
| Tuncer et al. [65] | ✓ | ✓ | 1.5–3.5 lpm | 6600–16,000 | 1940–5180 | 5670–15,000 | Integrating lengthwise-type fins over the coil of the HEX on average raised heat transfer by 11%. |
| Ghaderi et al. [71] | ✓ | - | 3–6 lpm | 9000–26,000 | - | 5000–22,500 | Utilizing Fe3O4 containing NF improved heat transfer coefficient of the HEX by 21%. |
| Barzegari et al. [73] | ✓ | - | 2–3.5 lpm | 10,800–21,182 | 2200–9500 | 2150–3000 | Utilizing Al2O3 including NF significantly raised heat transfer rate in the HEX. |
| Tuncer et al. [52] | ✓ | - | 1.5–3.5 lpm | 6600–16,000 | 2000–5800 | 5668–17,158 | Utilizing TiO2/water-single and CuO-TiO2/water-hybrid NF improved mean transferred heat in the range of 9.6–13.8%. |
| Kulkarni et al. [74] | ✓ | - | 2.66 lpm | - | - | 2000–15,000 | Using bio-synthesized copper including NF significantly improved the thermal performance. |
| Bahrehmand and Abbassi [66] | - | ✓ | 6.78–18 lpm | 10,000–35,000 | 3500–14,000 | 5000–25,000 | Utilizing NF as working fluid raised transferred heat in the range of 14–18%. |
| Khanlari et al. [72] | ✓ | ✓ | 1.5–3.5 lpm | 6655–20,880 | 2100–4800 | 3400–12,500 | ZnFe2O4/water-single magnetic NF utilization led to a mean increment of 10.4% in transferred heat. Also, porous-type fin integration improved heat transfer coefficient by a mean of 6.1% when compared with nonporous one. |
| This study | ✓ | ✓ | 1.5–3.5 lpm | 6655–20,880 | 2500–6600 | 3800–13,700 | Outlet temperature dramatically improved compared to conventional one. MnFe2O4-ZnFe2O4/water magnetic NF utilization raised transferred heat on average by 13.3%. Additionally, porous spiral fins on average enhanced heat transfer coefficient by 5.5% compared to nonporous spiral fins. |
Disclaimer/Publisher’s Note: The statements, opinions and data contained in all publications are solely those of the individual author(s) and contributor(s) and not of MDPI and/or the editor(s). MDPI and/or the editor(s) disclaim responsibility for any injury to people or property resulting from any ideas, methods, instructions or products referred to in the content. |
© 2025 by the authors. Licensee MDPI, Basel, Switzerland. This article is an open access article distributed under the terms and conditions of the Creative Commons Attribution (CC BY) license (https://creativecommons.org/licenses/by/4.0/).
Share and Cite
Bacak, A.Y.; Khanlari, A.; Tuncer, A.D.; Sözen, A.; Variyenli, H.İ.; Vafai, K. A Comprehensive Numerical and Experimental Study on Improving the Thermal Performance of a Shell and Helically Coiled Heat Exchanger Utilizing Hybrid Magnetic Nanofluids and Porous Spiral-Type Fins. Fluids 2025, 10, 141. https://doi.org/10.3390/fluids10060141
Bacak AY, Khanlari A, Tuncer AD, Sözen A, Variyenli Hİ, Vafai K. A Comprehensive Numerical and Experimental Study on Improving the Thermal Performance of a Shell and Helically Coiled Heat Exchanger Utilizing Hybrid Magnetic Nanofluids and Porous Spiral-Type Fins. Fluids. 2025; 10(6):141. https://doi.org/10.3390/fluids10060141
Chicago/Turabian StyleBacak, Ahmet Yağız, Ataollah Khanlari, Azim Doğuş Tuncer, Adnan Sözen, Halil İbrahim Variyenli, and Kambiz Vafai. 2025. "A Comprehensive Numerical and Experimental Study on Improving the Thermal Performance of a Shell and Helically Coiled Heat Exchanger Utilizing Hybrid Magnetic Nanofluids and Porous Spiral-Type Fins" Fluids 10, no. 6: 141. https://doi.org/10.3390/fluids10060141
APA StyleBacak, A. Y., Khanlari, A., Tuncer, A. D., Sözen, A., Variyenli, H. İ., & Vafai, K. (2025). A Comprehensive Numerical and Experimental Study on Improving the Thermal Performance of a Shell and Helically Coiled Heat Exchanger Utilizing Hybrid Magnetic Nanofluids and Porous Spiral-Type Fins. Fluids, 10(6), 141. https://doi.org/10.3390/fluids10060141

