Dual Numerical Solution for 3D Supersonic Laminar Flow Past a Blunt-Fin Junction: Change in Temperature Ratio as a Method of Flow Control
Abstract
1. Introduction
2. Problem Definition and Computational Aspects
3. Results
3.1. Duality of the Flow Pattern
3.2. Influence of the Temperature Ratio
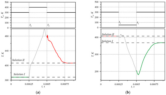
3.3. Switching the Flow Regime by Changing Plate Temperature
4. Discussion
Author Contributions
Funding
Data Availability Statement
Conflicts of Interest
References
- Korkegi, R.H. Survey of viscous interactions associated with high Mach number flight. AIAA J. 1971, 9, 771–784. [Google Scholar] [CrossRef]
- Dolling, D.S. Fifty years of shock-wave/boundary-layer interaction research: What next? AIAA J. 2001, 39, 1517–1531. [Google Scholar] [CrossRef]
- Babinsky, H.; Harvey, J.K. Shock Wave–Boundary-Layer Interactions; Cambridge University Press: Cambridge, UK, 2011; 461p. [Google Scholar]
- Gaitonde, D.V. Progress in Shock Wave/Boundary Layer Interactions. In Proceedings of the 43rd Fluid Dynamics Conference, San Diego, CA, USA, 24 June 2013; American Institute of Aeronautics and Astronautics: Reston, VA, USA, 2013. [Google Scholar]
- Lakshmanan, B.; Tiwari, S.N. Investigation of three-dimensional separation at wing/body junctions in supersonic flows. AIAA J. Aircr. 1994, 31, 64. [Google Scholar] [CrossRef]
- Schuricht, P.H.; Roberts, G.T. Hypersonic interference heating induced by a blunt fin. AIAA J. 1998, 1579, 1579. [Google Scholar]
- Houwing, A.F.P.; Smith, D.R.; Fox, J.S.; Danehy, P.M.; Mudford, N.R. Laminar boundary layer separation at a fin-body junction in a hypersonic flow. Shock. Waves 2001, 11, 31–42. [Google Scholar] [CrossRef]
- Tutty, O.R.; Roberts, G.T.; Schuricht, P.H. High-speed laminar flow past a fin-body junction. J. Fluid Mech. 2013, 737, 19–55. [Google Scholar] [CrossRef]
- Zhuang, Y.Q.; Lu, X.Y. Quasi-periodic aerodynamic heating in blunt-fin induced shock wave/boundary layer interaction. Procedia Eng. 2015, 126, 134–138. [Google Scholar] [CrossRef]
- Mortazavi, M.; Knight, D. Simulation of hypersonic-shock-wave–laminar-boundary-layer interaction over blunt fin. AIAA J. 2019, 57, 3506–3523. [Google Scholar] [CrossRef]
- Kolesnik, E.V.; Smirnovsky, A.A.; Smirnov, E.M. Self-Excited Periodic Oscillations in a Supersonic Laminar Flow Past a Blunt-Fin Body Mounted on a Plate. J. Phys. Conf. Ser. 2020, 1697, 012223. [Google Scholar] [CrossRef]
- Kolesnik, E.; Smirnov, E.; Smirnovsky, A. Numerical Solution of a 3D Problem on a Supersonic Viscous Gas Flow Past a Plate-Cylindrical Body Junction at M = 2.95, St. Petersburg State Polytechnical University Journal. Phys. Math. 2019, 12, 7–22. [Google Scholar] [CrossRef]
- Kolesnik, E.; Smirnov, E.; Smirnovsky, A. RANS-based numerical simulation of shock wave/turbulent boundary layer interaction induced by a blunted fin normal to a flat plate. Comp. Fluids 2022, 247, 105622. [Google Scholar] [CrossRef]
- Kolesnik, E.V.; Smirnovsky, A.A.; Smirnov, E.M. Duality of the Vortex Structure Arising in a Supersonic Viscous Gas Flow Past a Plate and a Blunt-Fin Body Junction. Tech. Phys. Lett. 2020, 46, 579–582. [Google Scholar] [CrossRef]
- Kolesnik, E.V.; Smirnov, E.M. Supersonic Laminar Flow Past a Blunt Fin: Duality of the Numerical Solution. Tech. Phys. 2021, 66, 741–748. [Google Scholar] [CrossRef]
- Holden, M.S. A review of aerothermal problems associated with hypersonic flight. AIAA Paper 1986, 86, 267. [Google Scholar]
- Anderson, J.D. Hypersonic and High Temperature Gas Dynamics; McGraw-Hill: New York, NY, USA, 1989. [Google Scholar]
- Yao, Y.; Krishnan, L.; Sandham, N.D.; Roberts, G.T. The effect of Mach number on unstable disturbances in shock/boundary-layer interactions. Phys. Fluids 2007, 19, 054104. [Google Scholar] [CrossRef]
- Guvernyuk, S.V.; Zubkov, A.F.; Simonenko, M.M.; Shvetz, A.I. Experimental investigation of three-dimensional supersonic flow past an axisymmetric body with an annular cavity. Fluid Dyn. 2014, 49, 540–546. [Google Scholar] [CrossRef]
- Guvernyuk, S.V.; Zubkov, A.F.; Simonenko, M.M. Experimental investigation of the supersonic flow over an axisymmetric ring cavity. J. Eng. Phys. Thermophys. 2016, 89, 678–687. [Google Scholar] [CrossRef]
- Leonov, S.; Yarantsev, D.; Falempin, F. Flow Control in a Supersonic Inlet Model by Electrical Discharge. In Proceedings of the Progress in Flight Physics; EDP Sciences: Versailles, France, 2012; pp. 557–568. [Google Scholar]
- Keller, M.A.; Kloker, M.J.; Kirilovskiy, S.V.; Polivanov, P.A.; Sidorenko, A.A.; Maslov, A.A. Study of Flow Control by Localized Volume Heating in Hypersonic Boundary Layers. CEAS Space J. 2014, 6, 119–132. [Google Scholar] [CrossRef]
- Verma, S.B.; Hadjadj, A. Supersonic Flow Control. Shock Waves 2015, 25, 443–449. [Google Scholar] [CrossRef]
- Shahrbabaki, A.N.; Bazazzadeh, M.; Khoshkhoo, R. Investigation on Supersonic Flow Control Using Nanosecond Dielectric Barrier Discharge Plasma Actuators. Int. J. Aerosp. Eng. 2021, 2021, 2047162. [Google Scholar] [CrossRef]
- Liou, M.-S.; Steffen, C.J. A new flux splitting scheme. J. Comput. Phys. 1993, 107, 23–39. [Google Scholar] [CrossRef]
- van Albada, G.D.; van Leer, B.; Roberts, W.W. A comparative study of computational methods in cosmic gas dynamics. In Upwind and High-Resolution Schemes; Springer: Berlin/Heidelberg, Germany, 1997; pp. 95–103. [Google Scholar]













| Solution I | Solution II | |||||
|---|---|---|---|---|---|---|
| Tw, K | Tw/Tin | δ/D | |XV|/D | LS/D | |XV|/D | LS/D |
| 250 | 3.97 | 1.11 | 1.758 | 6.436 | 0.946 | 5.911 |
| 275 | 4.37 | 1.17 | 1.726 | 6.431 | 0.951 | 5.950 |
| 300 | 4.76 | 1.20 | 1.695 | 6.426 | 0.955 | 5.990 |
| 325 | 5.16 | 1.27 | 1.650 | 6.423 | 0.969 | 6.018 |
| 350 | 5.56 | 1.29 | 1.581 | 6.408 | 0.974 | 6.041 |
| 375 | 5.95 | 1.34 | 0.982 | 6.056 | ||
| 400 | 6.35 | 1.38 | 0.984 | 6.063 | ||
| 425 | 6.75 | 1.43 | 0.989 | 6.078 | ||
| 450 | 7.14 | 1.47 | 0.995 | 6.086 | ||
| 475 | 7.54 | 1.56 | 1.001 | 6.082 | ||
| 500 | 7.94 | 1.61 | 1.008 | 6.078 | ||
Disclaimer/Publisher’s Note: The statements, opinions and data contained in all publications are solely those of the individual author(s) and contributor(s) and not of MDPI and/or the editor(s). MDPI and/or the editor(s) disclaim responsibility for any injury to people or property resulting from any ideas, methods, instructions or products referred to in the content. |
© 2023 by the authors. Licensee MDPI, Basel, Switzerland. This article is an open access article distributed under the terms and conditions of the Creative Commons Attribution (CC BY) license (https://creativecommons.org/licenses/by/4.0/).
Share and Cite
Kolesnik, E.; Smirnov, E.; Babich, E. Dual Numerical Solution for 3D Supersonic Laminar Flow Past a Blunt-Fin Junction: Change in Temperature Ratio as a Method of Flow Control. Fluids 2023, 8, 149. https://doi.org/10.3390/fluids8050149
Kolesnik E, Smirnov E, Babich E. Dual Numerical Solution for 3D Supersonic Laminar Flow Past a Blunt-Fin Junction: Change in Temperature Ratio as a Method of Flow Control. Fluids. 2023; 8(5):149. https://doi.org/10.3390/fluids8050149
Chicago/Turabian StyleKolesnik, Elizaveta, Evgueni Smirnov, and Elena Babich. 2023. "Dual Numerical Solution for 3D Supersonic Laminar Flow Past a Blunt-Fin Junction: Change in Temperature Ratio as a Method of Flow Control" Fluids 8, no. 5: 149. https://doi.org/10.3390/fluids8050149
APA StyleKolesnik, E., Smirnov, E., & Babich, E. (2023). Dual Numerical Solution for 3D Supersonic Laminar Flow Past a Blunt-Fin Junction: Change in Temperature Ratio as a Method of Flow Control. Fluids, 8(5), 149. https://doi.org/10.3390/fluids8050149

