An Affordable Acoustic Measurement Campaign for Early Prototyping Applied to Electric Ducted Fan Units
Abstract
1. Introduction
2. Application and Device under Test
2.1. Revisiting Basic Acoustic Emissions of EDF Units
2.2. Noise Mitigation Strategies
2.3. Design Constraints for Noise Mitigation Measures
3. Measurement Campaign for Early Prototyping
3.1. Operating Conditions
| Operating Point | ||||||
|---|---|---|---|---|---|---|
| OP 1 | 6000 | 0.18 | 22.5 m/s | 338,345 | 700 | 1400 |
| OP 2 | 8000 | 0.24 | 30.0 m/s | 451,127 | 933 | 1866 |
| OP 3 | 10,000 | 0.30 | 37.5 m/s | 563,909 | 1167 | 2343 |
| OP 4 | 12,000 | 0.36 | 45.0 m/s | 676,691 | 1400 | 2800 |
3.2. Measurement Facility
3.3. Limitations and Improvements
4. Sound Power Measurements Results
4.1. Initial Campaign
4.2. Intermediate Conclusions
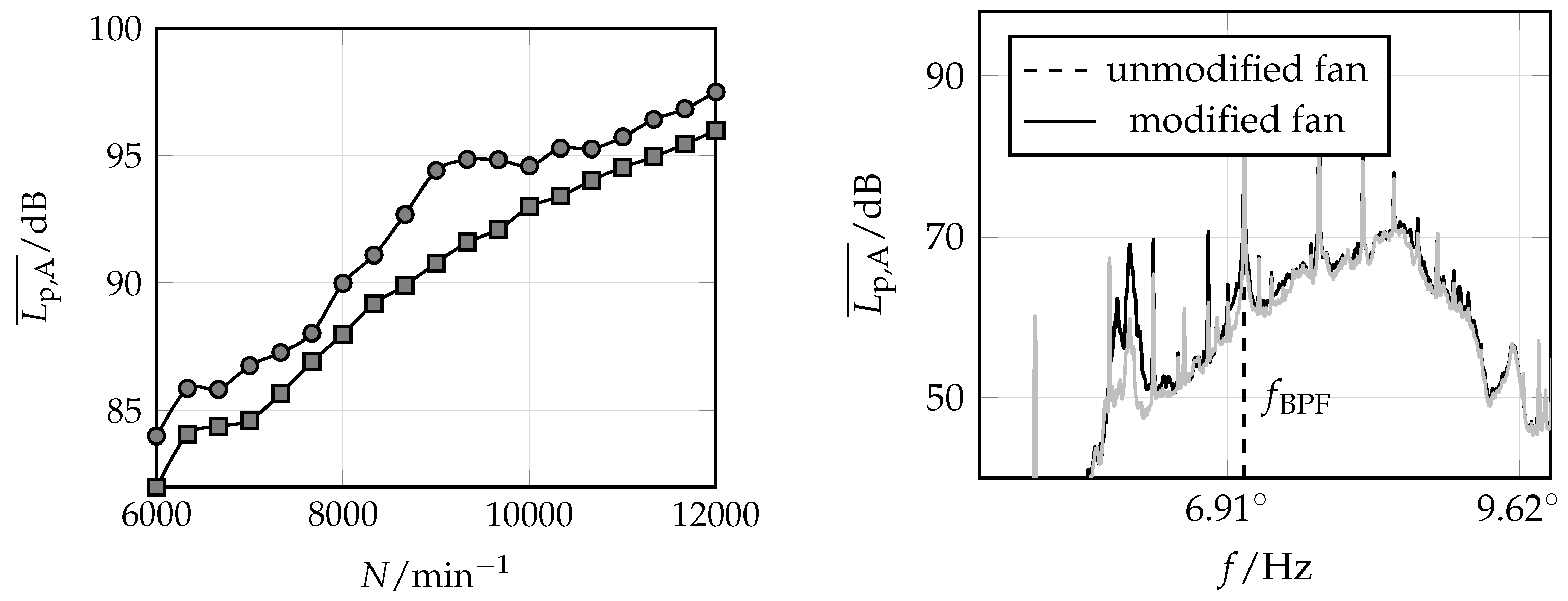
4.3. Effects of the Electric Drive
4.4. Effects of the Perforated Liner
5. Conclusions and Suggestions
Author Contributions
Funding
Data Availability Statement
Acknowledgments
Conflicts of Interest
References
- ICAO. 2022 Environmental Report. 2022. Available online: https://www.icao.int/environmental-protection/Pages/envrep2022.aspx (accessed on 12 October 2022).
- WHO. Environmental Noise Guidelines for the European Region; World Health Organization—Regional Office for Europe: Copenhagen, Denmark, 2018. [Google Scholar]
- Pascioni, K.; Rizzi, S.A. Tonal noise prediction of a distributed propulsion unmanned aerial vehicle. In Proceedings of the 2018 AIAA/CEAS Aeroacoustics Conference, Atlanta, GA, USA, 25–29 June 2018; p. 2951. [Google Scholar] [CrossRef]
- Kim, H.D.; Perry, A.T.; Ansell, P.J. A review of distributed electric propulsion concepts for air vehicle technology. In Proceedings of the 2018 AIAA/IEEE Electric Aircraft Technologies Symposium (EATS), Cincinnati, OH, USA, 12–14 July 2018; IEEE: New York, NY, USA, 2018; pp. 1–21. [Google Scholar]
- Schmidt, J. Acoustic Optimisation of an Electric Ducted Fan Unit through Absorber Design and Placement. Ph.D. Thesis, Technical University of Vienna, Vienna, Austria, 2020. [Google Scholar] [CrossRef]
- Pereira, J.L. Hover and Wind-Tunnel Testing of Shrouded Rotors for Improved Micro Air Vehicle Design; University of Maryland: College Park, MD, USA, 2008. [Google Scholar]
- Raeisi, B. Aerodynamic Study of Tilting Asymmetrical Ducted Fans Mounted at the Wing Tips of a Vtol Uav. Ph.D. Thesis, Ryerson University, Toronto, ON, USA, 2016. [Google Scholar]
- Abrego, A.I.; Bulaga, R.W.; Rutkowski, M. Performance study of a ducted fan system. In Proceedings of the American Helicopter Society Aerodynamics, Acoustics and Test and Evaluation Technical Specialists Meeting, San Francisco, CA, USA, 23–25 January 2002. [Google Scholar]
- Rhee, W.; Myers, L.; McLaughlin, D. Aeroacoustics of vertical lift ducted rotors. In Proceedings of the 15th AIAA/CEAS Aeroacoustics Conference (30th AIAA Aeroacoustics Conference), Miami, FL, USA, 11–13 May 2009; p. 3333. [Google Scholar]
- Yilmaz, S.; Erdem, D.; Kavsaoglu, M.S. Performance of a ducted propeller designed for UAV applications at zero angle of attack flight: An experimental study. Aerosp. Sci. Technol. 2015, 45, 376–386. [Google Scholar] [CrossRef]
- Zhang, T.; Barakos, G.N. Review on ducted fans for compound rotorcraft. Aeronaut. J. 2020, 124, 941–974. [Google Scholar] [CrossRef]
- Malgoezar, A.M.; Vieira, A.; Snellen, M.; Simons, D.G.; Veldhuis, L.L. Experimental characterization of noise radiation from a ducted propeller of an unmanned aerial vehicle. Int. J. Aeroacoust. 2019, 18, 372–391. [Google Scholar] [CrossRef]
- Hall, C.A.; Crichton, D. Engine and installation configurations for a silent aircraft. ISABE 2005, 1164, 2005. [Google Scholar]
- Hileman, J.; Spakovszky, Z.; Drela, M.; Sargeant, M. Airframe design for “silent aircraft”. In Proceedings of the 45th AIAA Aerospace Sciences Meeting and Exhibit, Reno, NV, USA, 11 January 2007; p. 453. [Google Scholar]
- Weintraub, D.; Koppelberg, J.; Köhler, J.; Jeschke, P. Ducted fans for hybrid electric propulsion of small aircraft. CEAS Aeronaut. J. 2022, 13, 471–485. [Google Scholar] [CrossRef]
- Ko, A.; Ohanian, O.; Gelhausen, P. Ducted fan UAV modeling and simulation in preliminary design. In Proceedings of the AIAA Modeling and Simulation Technologies Conference and Exhibit, Hilton Head, SC, USA, 20–23 August 2007; p. 6375. [Google Scholar]
- Moore, M.D. Misconceptions of electric aircraft and their emerging aviation markets. In Proceedings of the 52nd Aerospace Sciences Meeting, National Harbor, MD, USA, 13–14 January 2014; p. 0535. [Google Scholar]
- Casagrande Hirono, F.; Torija Martinez, A.; Elliott, A.; Taylor, J.; Grimshaw, S.; Lefas, D. Aeroacoustic design and optimisation of an all-electric ducted fan propulsion module for low-noise impact. In Proceedings of the 28th AIAA/CEAS Aeroacoustics 2022 Conference, Southampton, UK, 14–17 June 2022; p. 3034. [Google Scholar]
- Rizzi, S.A.; Huff, D.L.; Boyd, D.D.; Bent, P.; Henderson, B.S.; Pascioni, K.A.; Sargent, D.C.; Josephson, D.L.; Marsan, M.; He, H.B.; et al. Urban Air Mobility Noise: Current Practice, Gaps, and Recommendations. Technical Report. 2020. Available online: https://ntrs.nasa.gov/citations/20205007433 (accessed on 26 November 2020).
- Schoder, S.; Schmidt, J.; Fürlinger, A.; Kaltenbacher, M. Quantification of the Acoustic Emissions of an Electric Ducted Fan Unit. In Proceedings of the 2022 Delft International Conference on Urban Air-Mobility: DICUAM 2022, Delft, The Netherlands; 2022. [Google Scholar]
- Darrah, D.; Eppler, J.; Liu, W.; Anemaat, W.A. Electric Ducted Fan Design and Testing for High Performance UAV Integration. In Proceedings of the AIAA Scitech 2020 Forum, Orlando, FL, USA, 31 January–4 February 2020; p. 0017. [Google Scholar]
- Schmidt, J.; Kaltenbacher, M.; Fürlinger, A.; Schoder, S. Experimental Characterization of an Electric Ducted Fan Unit’s Acoustic Emissions. In Proceedings of the AIAA AVIATION 2021 FORUM, Online, 2–6 August 2021; p. 2174. [Google Scholar]
- Smith, M.J.T. Aircraft Noise; Cambridge Aerospace Series; Cambridge University Press: Cambridge, UK, 1989. [Google Scholar] [CrossRef]
- Moreau, S. A review of turbomachinery noise: From analytical models to high-fidelity simulations. Fundamentals of High Lift for Future Civil Aircraft; Springer: Berlin/Heidelberg, Germany, 2021; pp. 579–595. [Google Scholar]
- Schoder, S.; Junger, C.; Kaltenbacher, M. Computational aeroacoustics of the EAA benchmark case of an axial fan. Acta Acust. 2020, 4, 22. [Google Scholar] [CrossRef]
- Vijayraghavan, P.; Krishnan, R. Noise in electric machines: A review. IEEE Trans. Ind. Appl. 1999, 35, 1007–1013. [Google Scholar] [CrossRef]
- Sarrazin, M.; Anthonis, J.; Van der Auweraer, H.; Martis, C.; Gyselinck, J. Signature analysis of switched reluctance and permanent magnet electric vehicle drives. In Proceedings of the 2014 International Conference on Electrical Machines (ICEM), Berlin, Germany, 2–5 September 2014; IEEE: New York, NY, USA, 2014; pp. 1831–1837. [Google Scholar]
- Fang, Y.; Zhang, T. Sound quality investigation and improvement of an electric powertrain for electric vehicles. IEEE Trans. Ind. Electron. 2017, 65, 1149–1157. [Google Scholar]
- DIN EN ISO 3744: 2011-02; Akustik—Bestimmung der Schallleistungs- und Schallenergiepegel von Geräuschquellen aus Schalldruckmessungen— Hüllflächenverfahren der Genauigkeitsklasse 2 für ein im Wesentlichen freies Schallfeld über einer reflektierenden Ebene (ISO 3744: 2010). Beuth-Verlag: Berlin, Germany, 2011.
- Krömer, F.J. Sound Emission of Low-Pressure Axial Fans under Distorted Inflow Conditions; FAU University Press: Boca Raton, FL, USA, 2018. [Google Scholar] [CrossRef]
- Bommes, L.; Fricke, J.; Grundmann, R. Blowers; Ventilatoren; Vulkan: Essen, Germany, 2003. [Google Scholar]
- Wright, S. The acoustic spectrum of axial flow machines. J. Sound Vib. 1976, 45, 165–223. [Google Scholar] [CrossRef]
- Moreau, S.; Roger, M.; Christophe, J. Flow features and self-noise of airfoils near stall or in stall. In Proceedings of the 15th AIAA/CEAS Aeroacoustics Conference (30th AIAA Aeroacoustics Conference), Miami, FL, USA, 11–13 May 2009; p. 3198. [Google Scholar]
- Czwielong, F.; Soldat, J.; Becker, S. On the interactions of the induced flow field of heat exchangers with axial fans. Exp. Therm. Fluid Sci. 2022, 139, 110697. [Google Scholar]
- Moreau, S.; Sanjose, M. Sub-harmonic broadband humps and tip noise in low-speed ring fans. J. Acoust. Soc. Am. 2016, 139, 118–127. [Google Scholar] [CrossRef]
- Blake, W.K. Mechanics of flow-induced sound and vibration. Volume 1 General concepts and elementary source. Volume 2-Complex flow-structure interactions. Apl. Mat. Appl. Math. 1986, 1, 457. [Google Scholar]
- Tyler, J.M.; Sofrin, T.G. Axial Flow Compressor Noise Studies; SAE Technical Paper. 1962. Available online: https://saemobilus.sae.org/content/620532/ (accessed on 4 March 2023).
- Griffiths, J. The spectrum of compressor noise of a jet engine. J. Sound Vib. 1964, 1, 127–140. [Google Scholar] [CrossRef]
- Gieras, J.F.; Wang, C.; Lai, J.C. Noise of Polyphase Electric Motors; CRC Press: Boca Raton, FL, USA, 2018. [Google Scholar] [CrossRef]
- Ko, H.S.; Kim, K.J. Characterization of noise and vibration sources in interior permanent-magnet brushless DC motors. IEEE Trans. Magn. 2004, 40, 3482–3489. [Google Scholar] [CrossRef]
- Lee, H.J.; Chung, S.U.; Hwang, S.M. Noise source identification of a BLDC motor. J. Mech. Sci. Technol. 2008, 22, 708–713. [Google Scholar] [CrossRef]
- Pindoriya, R.; Mishra, A.; Rajpurohit, B.; Kumar, R. An analysis of vibration and acoustic noise of BLDC motor drive. In Proceedings of the 2018 IEEE Power & Energy Society General Meeting (PESGM), Portland, OR, USA, 5–10 August 2018; IEEE: New York, NY, USA, 2018; pp. 1–5. [Google Scholar] [CrossRef]
- Neise, W.; Michel, U. Aerodynamic noise of turbomachines; Deutsche Forschungsanstalt für Luft-und Raumfahrt, eV, DLR; Institut für Strömungsmechanik; Abt. Turbulenzforschung: Berlin, Germany, 1994; Volume 5. [Google Scholar]
- Hubbard, H.; Lansing, D.; Runyan, H. A review of rotating blade noise technology. J. Sound Vib. 1971, 19, 227–249. [Google Scholar] [CrossRef]
- Trematerra, A.; Bevilacqua, A.; Iannace, G. Noise Control in Air Mechanical Ventilation Systems with Three-Dimensional Metamaterials. Appl. Sci. 2023, 13, 1650. [Google Scholar] [CrossRef]
- Czwielong, F.; Floss, S.; Kaltenbacher, M.; Becker, S. Influence of a micro-perforated duct absorber on sound emission and performance of axial fans. Appl. Acoust. 2021, 174, 107746. [Google Scholar] [CrossRef]
- Copeland, W.; Crigler, J. Experimental noise studies of inlet-guide-vane rotor-stator interactions for a single-stage axial-flow compressor. J. Acoust. Soc. Am. 1965, 38, 920. [Google Scholar]
- Krömer, F.; Czwielong, F.; Becker, S. Experimental investigation of the sound emission of skewed axial fans with leading-edge serrations. AIAA J. 2019, 57, 5182–5196. [Google Scholar] [CrossRef]
- Krömer, F.J.; Moreau, S.; Becker, S. Experimental investigation of the interplay between the sound field and the flow field in skewed low-pressure axial fans. J. Sound Vib. 2019, 442, 220–236. [Google Scholar] [CrossRef]
- FTEU. MASH—Faserfreie Schalldämpfung. 2023. Available online: https://fteu.de/technologie/mash/ (accessed on 20 March 2023).
- Floss, S. Minderung von Schallausbreitung durch Mikroperforierte Absorber in unterschiedlichen Schallfeldarten-Design und Evaluierung. Ph.D. Thesis, Institute for Mechanics and Mechatronics, Vienna, Austria, 2022. [Google Scholar] [CrossRef]
- Jaouen, L.; Bécot, F.X. Acoustical characterization of perforated facings. J. Acoust. Soc. Am. 2011, 129, 1400–1406. [Google Scholar] [CrossRef] [PubMed]
- Liu, J.; Herrin, D. Enhancing micro-perforated panel attenuation by partitioning the adjoining cavity. Appl. Acoust. 2010, 71, 120–127. [Google Scholar] [CrossRef]
- DIN EN ISO 3745:2017-10; Acoustics—Determination of Sound Power Levels and Sound Energy Levels of Noise Sources Using Sound Pressure—Precision Methods for Anechoic Rooms and Hemi-Anechoic Rooms (ISO 3745:2012 + Amd 1:2017). Beuth-Verlag: Berlin, Germany, 2017.
- Papa, U.; Iannace, G.; Del Core, G.; Giordano, G. Sound power level and sound pressure level characterization of a small unmanned aircraft system during flight operations. Noise Vib. Worldw. 2017, 48, 67–74. [Google Scholar] [CrossRef]
- Iannace, G.; Ciaburro, G.; Trematerra, A. Fault diagnosis for UAV blades using artificial neural network. Robotics 2019, 8, 59. [Google Scholar] [CrossRef]
- ISO 26101:2017-04; Acoustics—Test Methods for the Qualification of Free-Field Environments. Beuth-Verlag: Berlin, Germany, 2017.
- DIN EN 61260-1:2014-10; Electroacoustics—Octave-Band and Fractional-Octave-Band Filters—Part 1: Specifications (IEC 61260-1:2014). Beuth-Verlag: Berlin, Germany, 2014.
- Gombots, S. Acoustic Source Localization at Low Frequencies Using Microphone Arrays. Ph.D. Thesis, Technical University of Vienna, Vienna, Austria, 2020. [Google Scholar]
- Feiler, C.; Groeneweg, J. Summary of forward velocity effects on fan noise. In Proceedings of the 4th Aeroacoustics Conference, Atlanta, GA, USA, 3–5 October 1977; p. 1319. [Google Scholar]
- Groeneweg, J.; Rice, E. Aircraft turbofan noise. J. Turbomach. 1987, 109, 130–141. [Google Scholar] [CrossRef]
- Royce, R. The Jet Engine; John Wiley & Sons: Hoboken, NJ, USA, 2015. [Google Scholar]
- Maurerlehner, P.; Schoder, S.; Tieber, J.; Freidhager, C.; Steiner, H.; Brenn, G.; Schäfer, K.H.; Ennemoser, A.; Kaltenbacher, M. Aeroacoustic formulations for confined flows based on incompressible flow data. Acta Acust. 2022, 6, 45. [Google Scholar] [CrossRef]
- Schoder, S.; Roppert, K. openCFS: Open Source Finite Element Software for Coupled Field Simulation–Part Acoustics. arXiv 2022, arXiv:2207.04443. [Google Scholar]
- Broatch, A.; García-Tíscar, J.; Roig, F.; Sharma, S. Dynamic mode decomposition of the acoustic field in radial compressors. Aerosp. Sci. Technol. 2019, 90, 388–400. [Google Scholar] [CrossRef]
- Schoder, S.; Kaltenbacher, M. Hybrid aeroacoustic computations: State of art and new achievements. J. Theor. Comput. Acoust. 2019, 27, 1950020. [Google Scholar] [CrossRef]
- Czwielong, F.; Floss, S.; Kaltenbacher, M.; Becker, S. Sound reduction in heat exchanger modules by integrating plate absorbers with sub-millimeter openings. Acta Acust. 2021, 5, 35. [Google Scholar] [CrossRef]
- Floss, S.; Czwielong, F.; Kaltenbacher, M.; Becker, S. Design of an in-duct micro-perforated panel absorber for axial fan noise attenuation. Acta Acust. 2021, 5, 24. [Google Scholar] [CrossRef]
- Kim, J.H.; Ovgor, B.; Cha, K.H.; Kim, J.H.; Lee, S.; Kim, K.Y. Optimization of the aerodynamic and aeroacoustic performance of an axial-flow fan. AIAA J. 2014, 52, 2032–2044. [Google Scholar] [CrossRef]
- Tieghi, L.; Becker, S.; Corsini, A.; Delibra, G.; Schoder, S.; Czwielong, F. Machine-learning clustering methods applied to detection of noise sources in low-speed axial fan. J. Eng. Gas Turbines Power 2023, 145, 031020. [Google Scholar] [CrossRef]













![]() |
![]() |
Disclaimer/Publisher’s Note: The statements, opinions and data contained in all publications are solely those of the individual author(s) and contributor(s) and not of MDPI and/or the editor(s). MDPI and/or the editor(s) disclaim responsibility for any injury to people or property resulting from any ideas, methods, instructions or products referred to in the content. |
© 2023 by the authors. Licensee MDPI, Basel, Switzerland. This article is an open access article distributed under the terms and conditions of the Creative Commons Attribution (CC BY) license (https://creativecommons.org/licenses/by/4.0/).
Share and Cite
Schoder, S.; Schmidt, J.; Fürlinger, A.; Klaus, R.; Paul, M. An Affordable Acoustic Measurement Campaign for Early Prototyping Applied to Electric Ducted Fan Units. Fluids 2023, 8, 116. https://doi.org/10.3390/fluids8040116
Schoder S, Schmidt J, Fürlinger A, Klaus R, Paul M. An Affordable Acoustic Measurement Campaign for Early Prototyping Applied to Electric Ducted Fan Units. Fluids. 2023; 8(4):116. https://doi.org/10.3390/fluids8040116
Chicago/Turabian StyleSchoder, Stefan, Jakob Schmidt, Andreas Fürlinger, Roppert Klaus, and Maurerlehner Paul. 2023. "An Affordable Acoustic Measurement Campaign for Early Prototyping Applied to Electric Ducted Fan Units" Fluids 8, no. 4: 116. https://doi.org/10.3390/fluids8040116
APA StyleSchoder, S., Schmidt, J., Fürlinger, A., Klaus, R., & Paul, M. (2023). An Affordable Acoustic Measurement Campaign for Early Prototyping Applied to Electric Ducted Fan Units. Fluids, 8(4), 116. https://doi.org/10.3390/fluids8040116



