Laboratory Models of Planetary Core-Style Convective Turbulence
Abstract
1. Introduction
2. System Parameters and Scaling Behaviors
2.1. Rayleigh–Bénard Convection (RBC)
2.1.1. System Parameters
2.1.2. RBC Heat Transfer Scaling Behavior
2.1.3. RBC Momentum Transfer Scaling Behavior
2.2. Rotating Convection (RRBC)
2.2.1. System Parameters
2.2.2. RRBC Heat Transfer Scaling Behavior
2.2.3. RRBC Momentum Transfer Scaling Behavior
3. Methods
3.1. The NoMag Laboratory Device
3.2. Laser Doppler Velocimetry (LDV)
3.3. Direct Numerical Simulations (DNS)
4. Results
4.1. RBC Heat and Momentum Transfer Measurements
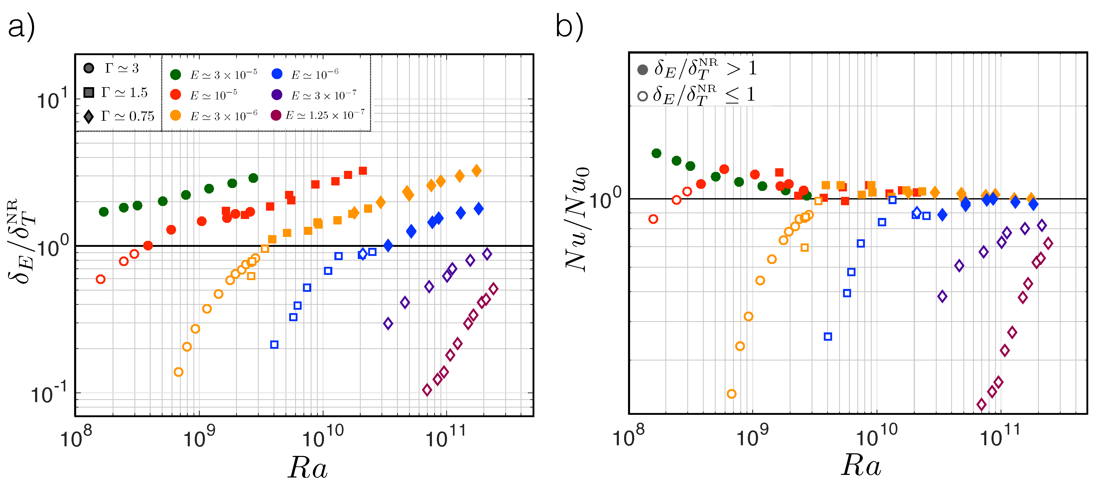
4.2. RRBC Heat and Momentum Transfer Measurements
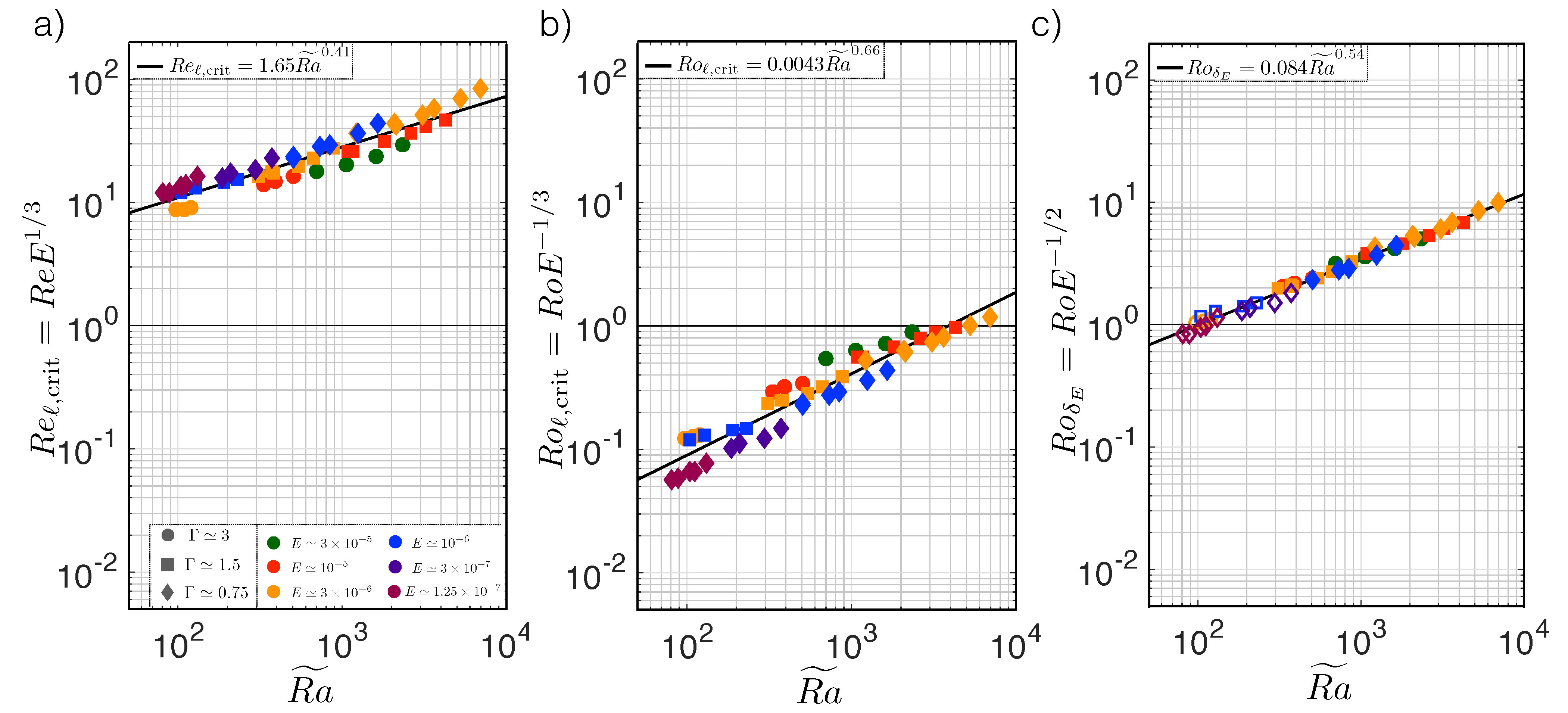
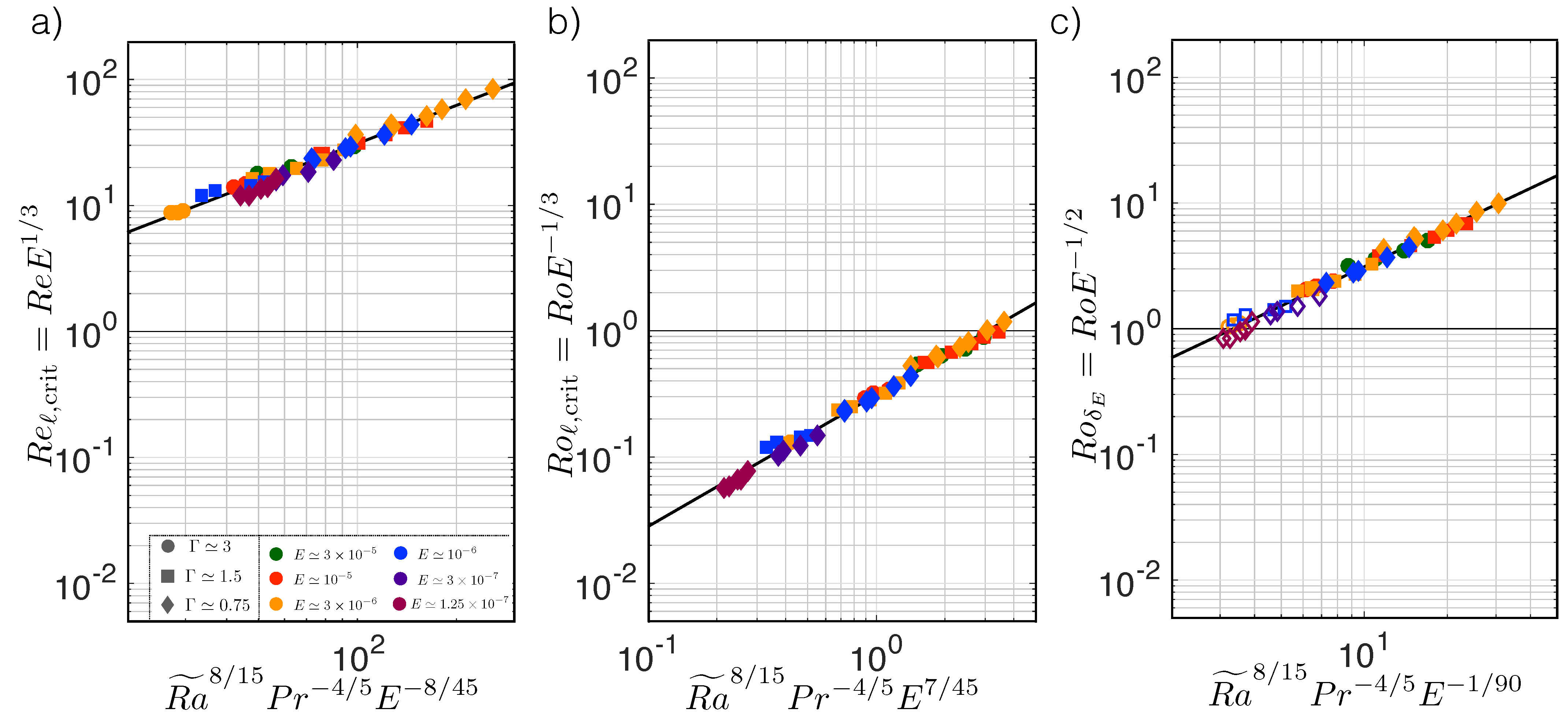
4.2.1. Co-Scaling of the VAC and CIA Predictions
4.2.2. Local Flow Estimates and Comparison to Asymptotic Theory
5. Discussion
Author Contributions
Funding
Data Availability Statement
Acknowledgments
Conflicts of Interest
Appendix A. Data Tables
| H | Q | ||||
|---|---|---|---|---|---|
| (cm) | (rpm) | (W) | (C) | (C) | (mm/s) |
| 20.2 | 0 | 49.89 | 24.36 | 1.44 | 2.28 |
| 20.2 | 0 | 80.80 | 24.77 | 1.91 | 2.74 |
| 20.2 | 0 | 124.9 | 24.00 | 2.98 | 2.96 |
| 20.2 | 0 | 200.0 | 25.34 | 4.04 | 3.50 |
| 20.2 | 0 | 315.9 | 25.03 | 5.93 | 3.93 |
| 20.2 | 0 | 499.6 | 24.16 | 8.65 | 4.44 |
| 20.2 | 0 | 598.6 | 23.87 | 9.84 | 4.55 |
| 20.2 | 0 | 801.1 | 25.80 | 12.05 | 4.84 |
| 20.2 | 0 | 1102 | 24.92 | 16.03 | 5.57 |
| 40.1 | 0 | 49.75 | 24.33 | 1.56 | 3.42 |
| 40.1 | 0 | 102.8 | 24.44 | 2.66 | 4.34 |
| 40.1 | 0 | 135.0 | 24.07 | 3.36 | 4.77 |
| 40.1 | 0 | 199.0 | 24.43 | 4.68 | 5.50 |
| 40.1 | 0 | 297.9 | 24.86 | 5.88 | 6.39 |
| 40.1 | 0 | 403.6 | 25.16 | 7.29 | 7.23 |
| 40.1 | 0 | 599.4 | 25.24 | 10.21 | 8.65 |
| 40.1 | 0 | 797.1 | 25.73 | 12.33 | 9.60 |
| 40.1 | 0 | 902.5 | 26.02 | 13.67 | 9.64 |
| 40.1 | 0 | 1149 | 25.73 | 16.66 | 11.4 |
| 80.2 | 0 | 66.64 | 24.46 | 1.93 | 4.55 |
| 80.2 | 0 | 125.6 | 23.92 | 3.29 | 6.09 |
| 80.2 | 0 | 249.5 | 22.81 | 5.57 | 6.96 |
| 80.2 | 0 | 250.8 | 22.73 | 5.47 | 7.01 |
| 80.2 | 0 | 402.1 | 24.01 | 7.91 | 8.01 |
| 80.2 | 0 | 502.2 | 22.61 | 9.41 | 10.6 |
| 80.2 | 0 | 697.3 | 25.14 | 11.65 | 10.3 |
| 80.2 | 0 | 800.7 | 23.68 | 13.36 | 10.9 |
| 80.2 | 0 | 1107 | 25.42 | 16.77 | 12.4 |
| 20.2 | 3.6 | 49.98 | 25.07 | 1.02 | 1.91 |
| 20.2 | 3.6 | 75.22 | 24.98 | 1.52 | 2.01 |
| 20.2 | 3.6 | 99.14 | 24.83 | 1.97 | 2.04 |
| 20.2 | 3.6 | 163.4 | 24.83 | 3.12 | 2.28 |
| 20.2 | 3.6 | 272.9 | 24.83 | 4.82 | 2.54 |
| 20.2 | 3.6 | 447.9 | 25.44 | 7.20 | 2.88 |
| 20.2 | 3.6 | 731.7 | 26.17 | 10.66 | 3.33 |
| 20.2 | 3.6 | 1145 | 26.38 | 15.43 | 4.04 |
| 20.2 | 10.6 | 31.43 | 24.98 | 0.98 | 1.79 |
| 20.2 | 10.6 | 49.63 | 25.41 | 1.45 | 1.78 |
| 20.2 | 10.6 | 75.45 | 25.18 | 1.81 | 1.89 |
| 20.2 | 10.6 | 103.2 | 25.21 | 2.33 | 1.98 |
| 20.2 | 10.6 | 202.1 | 25.21 | 3.59 | 2.07 |
| 20.2 | 10.6 | 399.7 | 25.59 | 6.30 | 2.47 |
| 20.2 | 10.6 | 649.1 | 26.61 | 9.39 | 2.79 |
| 20.2 | 10.6 | 800.2 | 26.44 | 11.12 | 3.01 |
| 20.2 | 10.6 | 1099 | 26.78 | 14.21 | 3.27 |
| 40.1 | 2.7 | 50.10 | 24.40 | 1.32 | 2.02 |
| 40.1 | 2.7 | 67.28 | 24.45 | 1.88 | 2.18 |
| 40.1 | 2.7 | 102.6 | 24.46 | 2.55 | 2.29 |
| 40.1 | 2.7 | 201.2 | 24.81 | 4.16 | 2.68 |
| 40.1 | 2.7 | 200.4 | 24.41 | 4.49 | 2.72 |
| 40.1 | 2.7 | 391.6 | 25.10 | 6.79 | 3.24 |
| 40.1 | 2.7 | 599.1 | 25.09 | 9.85 | 3.75 |
| 40.1 | 2.7 | 797.3 | 25.64 | 11.96 | 4.27 |
| 40.1 | 2.7 | 1148 | 25.60 | 15.93 | 4.74 |
| 20.2 | 35.0 | 49.78 | 25.67 | 4.02 | 1.86 |
| 20.2 | 35.0 | 81.23 | 26.05 | 4.61 | 1.90 |
| 20.2 | 35.0 | 125.7 | 25.40 | 5.60 | 1.97 |
| 20.2 | 35.0 | 200.9 | 26.60 | 6.46 | 2.03 |
| 20.2 | 35.0 | 315.7 | 26.30 | 8.20 | 2.13 |
| 20.2 | 35.0 | 498.7 | 25.37 | 10.64 | 2.32 |
| 20.2 | 35.0 | 598.3 | 25.31 | 11.74 | 2.40 |
| 20.2 | 35.0 | 700.3 | 26.47 | 12.56 | 2.45 |
| 20.2 | 35.0 | 803.0 | 26.73 | 13.37 | 2.58 |
| 20.2 | 35.0 | 945.8 | 25.95 | 15.25 | 2.66 |
| 20.2 | 35.0 | 1104 | 25.64 | 16.93 | 2.76 |
| 40.1 | 9.0 | 51.45 | 25.40 | 1.99 | 2.00 |
| 40.1 | 9.0 | 67.30 | 24.68 | 2.12 | 1.98 |
| 40.1 | 9.0 | 103.0 | 24.53 | 2.69 | 2.04 |
| 40.1 | 9.0 | 134.9 | 25.20 | 3.00 | 2.17 |
| 40.1 | 9.0 | 201.3 | 24.10 | 4.16 | 2.30 |
| 40.1 | 9.0 | 296.7 | 25.18 | 5.79 | 2.53 |
| 40.1 | 9.0 | 398.9 | 25.62 | 6.83 | 2.70 |
| 40.1 | 9.0 | 402.7 | 24.87 | 7.24 | 2.68 |
| 40.1 | 9.0 | 599.3 | 25.13 | 10.03 | 3.06 |
| 40.1 | 9.0 | 801.1 | 27.69 | 11.62 | 3.42 |
| 40.1 | 9.0 | 1144 | 27.78 | 15.36 | 4.11 |
| 80.2 | 2.3 | 66.45 | 24.35 | 1.83 | 2.35 |
| 80.2 | 2.3 | 126.3 | 23.80 | 3.10 | 2.89 |
| 80.2 | 2.3 | 251.0 | 22.82 | 5.52 | 3.46 |
| 80.2 | 2.3 | 250.8 | 22.72 | 5.42 | 3.58 |
| 80.2 | 2.3 | 402.1 | 23.93 | 7.78 | 4.05 |
| 80.2 | 2.3 | 499.7 | 24.69 | 8.99 | 4.54 |
| 80.2 | 2.3 | 799.5 | 23.69 | 13.42 | 5.59 |
| 80.2 | 2.3 | 1107 | 25.47 | 16.76 | 6.45 |
| 40.1 | 26.7 | 49.12 | 25.37 | 3.10 | 2.15 |
| 40.1 | 26.7 | 101.5 | 25.63 | 4.33 | 2.18 |
| 40.1 | 26.7 | 134.7 | 24.99 | 4.81 | 2.22 |
| 40.1 | 26.7 | 219.3 | 24.39 | 6.04 | 2.39 |
| 40.1 | 26.7 | 389.9 | 25.92 | 8.14 | 2.88 |
| 40.1 | 26.7 | 600.9 | 25.16 | 10.22 | 2.53 |
| 40.1 | 26.7 | 902.4 | 26.50 | 14.79 | 3.13 |
| 40.1 | 26.7 | 1148 | 26.38 | 17.97 | 3.30 |
| 80.2 | 7.0 | 66.44 | 24.58 | 2.13 | 2.10 |
| 80.2 | 7.0 | 125.5 | 24.06 | 3.47 | 2.40 |
| 80.2 | 7.0 | 250.1 | 22.88 | 5.72 | 2.75 |
| 80.2 | 7.0 | 250.3 | 22.93 | 5.72 | 2.67 |
| 80.2 | 7.0 | 401.9 | 24.04 | 7.97 | 3.22 |
| 80.2 | 7.0 | 503.5 | 22.74 | 9.64 | 3.40 |
| 80.2 | 7.0 | 799.8 | 23.85 | 13.67 | 4.22 |
| 80.2 | 7.0 | 1108 | 25.61 | 17.18 | 4.95 |
| 80.2 | 23.2 | 66.43 | 25.14 | 3.28 | 1.96 |
| 80.2 | 23.2 | 126.5 | 24.62 | 4.65 | 2.17 |
| 80.2 | 23.2 | 251.8 | 24.40 | 7.47 | 2.41 |
| 80.2 | 23.2 | 402.8 | 25.01 | 9.84 | 2.63 |
| 80.2 | 23.2 | 502.9 | 24.61 | 11.21 | 2.88 |
| 80.2 | 23.2 | 799.1 | 24.78 | 15.54 | 3.15 |
| 80.2 | 23.2 | 1109 | 26.61 | 19.07 | 3.71 |
| 80.2 | 55.7 | 66.52 | 26.48 | 6.21 | 2.28 |
| 80.2 | 55.7 | 95.12 | 26.55 | 7.61 | 2.30 |
| 80.2 | 55.7 | 126.3 | 26.51 | 8.59 | 2.30 |
| 80.2 | 55.7 | 168.6 | 26.34 | 9.77 | 2.32 |
| 80.2 | 55.7 | 252.1 | 26.25 | 11.24 | 2.33 |
| 80.2 | 55.7 | 400.4 | 26.92 | 13.18 | 2.60 |
| 80.2 | 55.7 | 498.5 | 27.48 | 14.22 | 2.62 |
| 80.2 | 55.7 | 698.2 | 27.67 | 16.42 | 2.93 |
| 80.2 | 55.7 | 798.4 | 27.64 | 17.78 | 3.00 |
| 80.2 | 55.7 | 1097 | 26.87 | 21.08 | 3.53 |
| E | ||||||||
|---|---|---|---|---|---|---|---|---|
| 2.91 | ∞ | 2.25 × 10 | 6.16 | 42.6 | 513.6 | ∞ | ∞ | 0 |
| 2.91 | ∞ | 3.07 × 10 | 6.10 | 48.0 | 623.2 ± 119.5 | ∞ | ∞ | 0 |
| 2.91 | ∞ | 4.58 × 10 | 6.22 | 49.1 | 661.1 ± 108.7 | ∞ | ∞ | 0 |
| 2.91 | ∞ | 6.70 × 10 | 6.01 | 59.2 | 780.3 ± 91.8 | ∞ | ∞ | 0 |
| 2.91 | ∞ | 9.67 × 10 | 6.06 | 64.4 | 899.7 ± 83.9 | ∞ | ∞ | 0 |
| 2.91 | ∞ | 1.34 × 10 | 6.20 | 70.7 | 996.5 ± 73.0 | ∞ | ∞ | 0 |
| 2.91 | ∞ | 1.50 × 10 | 6.24 | 74.7 | 1014 ± 70.7 | ∞ | ∞ | 0 |
| 2.91 | ∞ | 2.05 × 10 | 5.94 | 81.4 | 1126 ± 69.4 | ∞ | ∞ | 0 |
| 2.91 | ∞ | 2.60 × 10 | 6.07 | 84.5 | 1272 ± 59.4 | ∞ | ∞ | 0 |
| 1.46 | ∞ | 1.93 × 10 | 6.17 | 76.4 | 1535 ± 189.0 | ∞ | ∞ | 0 |
| 1.46 | ∞ | 3.31 × 10 | 6.15 | 94.1 | 1953 ± 149.4 | ∞ | ∞ | 0 |
| 1.46 | ∞ | 4.08 × 10 | 6.21 | 98.2 | 2127 ± 134.7 | ∞ | ∞ | 0 |
| 1.46 | ∞ | 5.82 × 10 | 6.15 | 103 | 2471 ± 117.8 | ∞ | ∞ | 0 |
| 1.46 | ∞ | 7.63 × 10 | 6.04 | 124 | 2918 ± 103.2 | ∞ | ∞ | 0 |
| 1.46 | ∞ | 9.29 × 10 | 6.08 | 136 | 3340 ± 92.4 | ∞ | ∞ | 0 |
| 1.46 | ∞ | 1.33 × 10 | 6.02 | 144 | 3961 ± 76.9 | ∞ | ∞ | 0 |
| 1.46 | ∞ | 1.65 × 10 | 5.95 | 158 | 4439 ± 70.2 | ∞ | ∞ | 0 |
| 1.46 | ∞ | 1.86 × 10 | 5.90 | 162 | 4492 ± 70.5 | ∞ | ∞ | 0 |
| 1.46 | ∞ | 2.23 × 10 | 5.95 | 169 | 5296 ± 60.1 | ∞ | ∞ | 0 |
| 0.73 | ∞ | 1.91 × 10 | 6.15 | 169 | 4089 ± 284.5 | ∞ | ∞ | 0 |
| 0.73 | ∞ | 3.16 × 10 | 6.24 | 188 | 5403 ± 209.9 | ∞ | ∞ | 0 |
| 0.73 | ∞ | 4.98 × 10 | 6.42 | 221 | 6014 ± 178.9 | ∞ | ∞ | 0 |
| 0.73 | ∞ | 4.87 × 10 | 6.44 | 226 | 6047 ± 177.4 | ∞ | ∞ | 0 |
| 0.73 | ∞ | 7.62 × 10 | 6.22 | 250 | 7120 ± 160.0 | ∞ | ∞ | 0 |
| 0.73 | ∞ | 8.32 × 10 | 6.46 | 263 | 9128 ± 117.5 | ∞ | ∞ | 0 |
| 0.73 | ∞ | 1.20 × 10 | 6.04 | 294 | 9350 ± 127.5 | ∞ | ∞ | 0 |
| 0.73 | ∞ | 1.26 × 10 | 6.28 | 295 | 9574 ± 116.7 | ∞ | ∞ | 0 |
| 0.73 | ∞ | 1.76 × 10 | 6.00 | 323 | 11,400 ± 107.7 | ∞ | ∞ | 0 |
| 2.91 | 2.90 × 10 | 1.67 × 10 | 6.05 | 52.8 | 437.1 | 1.27 × 10 | 1.53 × 10 | 0.0042 |
| 2.91 | 2.91 × 10 | 2.46 × 10 | 6.06 | 56.4 | 458.9 | 1.34 × 10 | 1.85 × 10 | 0.0042 |
| 2.91 | 2.92 × 10 | 3.17 × 10 | 6.09 | 58.3 | 465.1 | 1.36 × 10 | 2.11 × 10 | 0.0042 |
| 2.91 | 2.92 × 10 | 5.02 × 10 | 6.09 | 62.4 | 518.5 | 1.52 × 10 | 2.65 × 10 | 0.0042 |
| 2.91 | 2.92 × 10 | 7.76 × 10 | 6.09 | 68.4 | 579.0 ± 129.3 | 1.69 × 10 | 3.30 × 10 | 0.0042 |
| 2.91 | 2.88 × 10 | 1.20 × 10 | 6.00 | 75.9 | 665.8 ± 115.7 | 1.92 × 10 | 4.07 × 10 | 0.0042 |
| 2.91 | 2.83 × 10 | 1.85 × 10 | 5.88 | 83.8 | 781.1 ± 101.5 | 2.21 × 10 | 5.02 × 10 | 0.0042 |
| 2.91 | 2.82 × 10 | 2.71 × 10 | 5.85 | 90.9 | 954.0 ± 84.3 | 2.69 × 10 | 6.07 × 10 | 0.0042 |
| 2.91 | 9.77 × 10 | 1.59 × 10 | 6.06 | 31.9 | 410.2 | 4.00 × 10 | 5.01 × 10 | 0.037 |
| 2.91 | 9.67 × 10 | 2.42 × 10 | 6.00 | 41.8 | 411.7 | 3.98 × 10 | 6.14 × 10 | 0.037 |
| 2.91 | 9.73 × 10 | 2.97 × 10 | 6.03 | 47.3 | 432.2 | 4.22 × 10 | 6.83 × 10 | 0.037 |
| 2.91 | 9.72 × 10 | 3.84 × 10 | 6.03 | 54.1 | 455.6 | 4.42 × 10 | 7.76 × 10 | 0.037 |
| 2.91 | 9.72 × 10 | 5.90 × 10 | 6.03 | 69.1 | 475.4 | 4.62 × 10 | 9.61 × 10 | 0.037 |
| 2.91 | 9.64 × 10 | 1.04 × 10 | 5.97 | 79.3 | 572.5 | 5.52 × 10 | 1.27 × 10 | 0.037 |
| 2.91 | 9.42 × 10 | 1.67 × 10 | 5.82 | 84.2 | 660.1 ± 122.2 | 6.23 × 10 | 1.59 × 10 | 0.037 |
| 2.91 | 9.38 × 10 | 1.96 × 10 | 5.84 | 89.5 | 715.9 ± 113.8 | 6.72 × 10 | 1.72 × 10 | 0.037 |
| 2.91 | 9.45 × 10 | 2.55 × 10 | 5.79 | 93.0 | 772.0 ± 104.0 | 7.30 × 10 | 1.98 × 10 | 0.037 |
| 1.46 | 9.84 × 10 | 1.63 × 10 | 6.18 | 92.2 | 906.0 | 8.89 × 10 | 1.60 × 10 | 0.0024 |
| 1.46 | 9.79 × 10 | 2.34 × 10 | 6.15 | 86.7 | 980.3 | 9.60 × 10 | 1.91 × 10 | 0.0024 |
| 1.46 | 9.79 × 10 | 3.71 × 10 | 6.15 | 98.4 | 1030 | 1.01 × 10 | 2.41 × 10 | 0.0024 |
| 1.46 | 9.71 × 10 | 5.29 × 10 | 6.09 | 119 | 1213 ± 243.3 | 1.18 × 10 | 2.86 × 10 | 0.0024 |
| 1.46 | 9.78 × 10 | 5.58 × 10 | 6.16 | 109 | 1225 ± 238.5 | 1.20 × 10 | 2.94 × 10 | 0.0024 |
| 1.46 | 9.64 × 10 | 8.77 × 10 | 6.05 | 142 | 1478 ± 202.9 | 1.43 × 10 | 3.67 × 10 | 0.0024 |
| 1.46 | 9.65 × 10 | 1.27 × 10 | 6.05 | 149 | 1713 ± 175.6 | 1.65 × 10 | 4.42 × 10 | 0.0024 |
| 1.46 | 9.53 × 10 | 1.59 × 10 | 5.96 | 163 | 1974 ± 156.2 | 1.88 × 10 | 4.92 × 10 | 0.0024 |
| 1.46 | 9.54 × 10 | 2.12 × 10 | 5.97 | 176 | 2190 ± 140.8 | 2.09 × 10 | 5.68 × 10 | 0.0024 |
| 2.91 | 2.91 × 10 | 6.79 × 10 | 5.96 | 13.5 | 432.7 | 1.26 × 10 | 3.11 × 10 | 0.40 |
| 2.91 | 2.89 × 10 | 7.95 × 10 | 5.90 | 20.2 | 440.7 | 1.29 × 10 | 3.35 × 10 | 0.40 |
| 2.91 | 2.93 × 10 | 9.32 × 10 | 6.00 | 26.5 | 454.9 | 1.33 × 10 | 3.65 × 10 | 0.40 |
| 2.91 | 2.85 × 10 | 1.15 × 10 | 5.82 | 37.1 | 482.2 | 1.37 × 10 | 4.01 × 10 | 0.40 |
| 2.91 | 2.87 × 10 | 1.44 × 10 | 5.86 | 46.6 | 501.3 | 1.44 × 10 | 4.50 × 10 | 0.40 |
| 2.91 | 2.93 × 10 | 1.77 × 10 | 6.00 | 57.3 | 535.1 | 1.57 × 10 | 5.04 × 10 | 0.40 |
| 2.91 | 2.94 × 10 | 1.94 × 10 | 6.01 | 62.4 | 551.9 | 1.62 × 10 | 5.28 × 10 | 0.40 |
| 2.91 | 2.86 × 10 | 2.22 × 10 | 5.84 | 68.1 | 591.6 | 1.66 × 10 | 5.58 × 10 | 0.40 |
| 2.91 | 2.84 × 10 | 2.40 × 10 | 5.80 | 73.4 | 614.5 ± 133.0 | 1.75 × 10 | 5.79 × 10 | 0.40 |
| 2.91 | 2.89 × 10 | 2.62 × 10 | 5.92 | 76.0 | 621.3 ± 126.5 | 1.80 × 10 | 6.09 × 10 | 0.40 |
| 2.91 | 2.91 × 10 | 2.86 × 10 | 5.96 | 80.1 | 641.3 ± 121.3 | 1.87 × 10 | 6.39 × 10 | 0.40 |
| 1.46 | 2.87 × 10 | 2.62 × 10 | 5.99 | 61.0 | 918.4 | 2.64 × 10 | 6.01 × 10 | 0.027 |
| 1.46 | 2.92 × 10 | 2.67 × 10 | 6.11 | 77.1 | 894.5 | 2.61 × 10 | 6.11 × 10 | 0.027 |
| 1.46 | 2.93 × 10 | 3.37 × 10 | 6.14 | 93.7 | 917.9 | 2.69 × 10 | 6.87 × 10 | 0.027 |
| 1.46 | 2.89 × 10 | 3.91 × 10 | 6.03 | 109 | 990.6 | 2.86 × 10 | 7.35 × 10 | 0.027 |
| 1.46 | 2.96 × 10 | 5.07 × 10 | 6.03 | 119 | 1024 | 3.04 × 10 | 8.58 × 10 | 0.027 |
| 1.46 | 2.89 × 10 | 7.52 × 10 | 6.21 | 125 | 1158 ± 260.6 | 3.34 × 10 | 1.01 × 10 | 0.027 |
| 1.46 | 2.86 × 10 | 9.10 × 10 | 6.00 | 143 | 1249 ± 246.8 | 3.57 × 10 | 1.11 × 10 | 0.027 |
| 1.46 | 2.91 × 10 | 9.24 × 10 | 6.08 | 136 | 1218 ± 244.3 | 3.54 × 10 | 1.13 × 10 | 0.027 |
| 1.46 | 2.89 × 10 | 1.30 × 10 | 6.04 | 146 | 1396 ± 214.8 | 4.03 × 10 | 1.34 × 10 | 0.027 |
| 1.46 | 2.73 × 10 | 1.73 × 10 | 5.66 | 168 | 1654 ± 203.8 | 4.51 × 10 | 1.51 × 10 | 0.027 |
| 1.46 | 2.72 × 10 | 2.30 × 10 | 5.65 | 181 | 1993 ± 170.2 | 5.43 × 10 | 1.74 × 10 | 0.027 |
| 0.73 | 2.87 × 10 | 1.80 × 10 | 6.17 | 167 | 2100 | 6.03 × 10 | 1.55 × 10 | 0.0018 |
| 0.73 | 2.90 × 10 | 2.95 × 10 | 6.26 | 194 | 2552 ± 440.0 | 7.42 × 10 | 1.99 × 10 | 0.0018 |
| 0.73 | 2.97 × 10 | 4.95 × 10 | 6.42 | 217 | 2987 ± 359.3 | 8.88 × 10 | 2.61 × 10 | 0.0018 |
| 0.73 | 2.98 × 10 | 4.82 × 10 | 6.44 | 224 | 3082 ± 346.3 | 9.19 × 10 | 2.58 × 10 | 0.0018 |
| 0.73 | 2.90 × 10 | 7.46 × 10 | 6.23 | 252 | 3588 ± 315.0 | 1.04 × 10 | 3.17 × 10 | 0.0018 |
| 0.73 | 2.84 × 10 | 9.02 × 10 | 6.11 | 270 | 4097 ± 286.3 | 1.17 × 10 | 3.46 × 10 | 0.0018 |
| 0.73 | 2.91 × 10 | 1.27 × 10 | 6.27 | 292 | 4933 ± 227.9 | 1.44 × 10 | 4.14 × 10 | 0.0018 |
| 0.73 | 2.79 × 10 | 1.76 × 10 | 5.99 | 323 | 5962 ± 206.5 | 1.66 × 10 | 4.79 × 10 | 0.0018 |
| 1.46 | 9.69 × 10 | 4.06 × 10 | 6.00 | 36.1 | 985.3 | 9.55 × 10 | 2.52 × 10 | 0.23 |
| 1.46 | 9.64 × 10 | 5.77 × 10 | 5.96 | 55.3 | 1005 | 9.69 × 10 | 3.00 × 10 | 0.23 |
| 1.46 | 9.78 × 10 | 6.18 × 10 | 6.06 | 66.3 | 1021 | 9.99 × 10 | 3.12 × 10 | 0.23 |
| 1.46 | 9.91 × 10 | 7.49 × 10 | 6.16 | 86.9 | 1071 | 1.06 × 10 | 3.46 × 10 | 0.23 |
| 1.46 | 9.57 × 10 | 1.10 × 10 | 5.92 | 115 | 1217 ± 211.3 | 1.17 × 10 | 4.13 × 10 | 0.23 |
| 1.46 | 9.74 × 10 | 1.33 × 10 | 6.04 | 144 | 1317 ± 296.3 | 1.28 × 10 | 4.57 × 10 | 0.23 |
| 1.46 | 9.45 × 10 | 2.07 × 10 | 5.83 | 148 | 1473 ± 216.5 | 1.39 × 10 | 5.63 × 10 | 0.23 |
| 1.46 | 9.48 × 10 | 2.49 × 10 | 5.85 | 155 | 1550 ± 205.0 | 1.47 × 10 | 6.18 × 10 | 0.23 |
| 0.73 | 9.45 × 10 | 2.12 × 10 | 6.13 | 151 | 1886 | 1.79 × 10 | 5.55 × 10 | 0.016 |
| 0.73 | 9.57 × 10 | 3.35 × 10 | 6.21 | 172 | 2130 | 2.04 × 10 | 7.03 × 10 | 0.016 |
| 0.73 | 9.83 × 10 | 5.14 × 10 | 6.41 | 210 | 2376 ± 452.4 | 2.34 × 10 | 8.80 × 10 | 0.016 |
| 0.73 | 9.82 × 10 | 5.16 × 10 | 6.40 | 213 | 2314 ± 467.4 | 2.27 × 10 | 8.82 × 10 | 0.016 |
| 0.73 | 9.57 × 10 | 7.69 × 10 | 6.21 | 247 | 2859 ± 397.1 | 2.74 × 10 | 1.07 × 10 | 0.016 |
| 0.73 | 9.87 × 10 | 8.59 × 10 | 6.43 | 258 | 2934 ± 365.5 | 2.90 × 10 | 1.14 × 10 | 0.016 |
| 0.73 | 9.61 × 10 | 1.31 × 10 | 6.25 | 287 | 3733 ± 301.9 | 3.59 × 10 | 1.39 × 10 | 0.016 |
| 0.73 | 9.23 × 10 | 1.82 × 10 | 5.97 | 313 | 4563 ± 268.3 | 4.21 × 10 | 1.61 × 10 | 0.016 |
| 0.73 | 2.82 × 10 | 3.38 × 10 | 6.04 | 93.8 | 1784 | 5.04 × 10 | 2.11 × 10 | 0.18 |
| 0.73 | 2.85 × 10 | 4.65 × 10 | 6.12 | 129 | 1955 | 5.58 × 10 | 2.49 × 10 | 0.18 |
| 0.73 | 2.87 × 10 | 7.26 × 10 | 6.16 | 164 | 2161 | 6.19 × 10 | 3.11 × 10 | 0.18 |
| 0.73 | 2.83 × 10 | 1.01 × 10 | 6.06 | 197 | 2387 ± 496.9 | 6.76 × 10 | 3.65 × 10 | 0.18 |
| 0.73 | 2.85 × 10 | 1.12 × 10 | 6.12 | 218 | 2596 ± 450.7 | 7.40 × 10 | 3.86 × 10 | 0.18 |
| 0.73 | 2.84 × 10 | 1.57 × 10 | 6.10 | 249 | 2848 ± 413.3 | 8.10 × 10 | 4.56 × 10 | 0.18 |
| 0.73 | 2.72 × 10 | 2.13 × 10 | 5.82 | 280 | 3497 ± 365.9 | 9.53 × 10 | 5.21 × 10 | 0.18 |
| 0.73 | 1.14 × 10 | 6.90 × 10 | 5.84 | 52.0 | 2145 | 2.44 × 10 | 1.24 × 10 | 1.02 |
| 0.73 | 1.14 × 10 | 8.48 × 10 | 5.82 | 60.8 | 2168 | 2.46 × 10 | 1.37 × 10 | 1.02 |
| 0.73 | 1.14 × 10 | 9.55 × 10 | 5.83 | 68.2 | 2160 | 2.46 × 10 | 1.46 × 10 | 1.02 |
| 0.73 | 1.14 × 10 | 1.08 × 10 | 5.86 | 89.1 | 2170 | 2.48 × 10 | 1.55 × 10 | 1.02 |
| 0.73 | 1.14 × 10 | 1.23 × 10 | 5.87 | 106 | 2182 | 2.49 × 10 | 1.66 × 10 | 1.02 |
| 0.73 | 1.13 × 10 | 1.50 × 10 | 5.77 | 147 | 2467 ± 525.5 | 2.78 × 10 | 1.82 × 10 | 1.02 |
| 0.73 | 1.13 × 10 | 1.66 × 10 | 5.69 | 168 | 2520 ± 528.6 | 2.80 × 10 | 1.90 × 10 | 1.02 |
| 0.73 | 1.11 × 10 | 1.94 × 10 | 5.66 | 206 | 2829 ± 474.5 | 3.13 × 10 | 2.05 × 10 | 1.02 |
| 0.73 | 1.11 × 10 | 2.10 × 10 | 5.67 | 219 | 2883 ± 461.3 | 3.21 × 10 | 2.13 × 10 | 1.02 |
| 0.73 | 1.13 × 10 | 2.39 × 10 | 5.78 | 254 | 3347 ± 386.8 | 3.77 × 10 | 2.29 × 10 | 1.02 |
| E | |||||||||||
|---|---|---|---|---|---|---|---|---|---|---|---|
| 0.74 | 5.92 | 1.61 | 14.57 | 0 | 288 | 288 | 240 | ||||
| 0.74 | 5.92 | 2.50 | 23.03 | 0 | 288 | 288 | 240 | ||||
| 0.74 | 5.92 | 5.26 | 40.91 | 0 | 288 | 288 | 240 | ||||
| 0.74 | 5.92 | 11.7 | 75.61 | 0 | 288 | 288 | 240 | ||||
| 0.74 | 5.92 | 18.5 | 107.6 | 0 | 288 | 288 | 240 | ||||
| 0.74 | 5.92 | 30.8 | 160.4 | 0 | 288 | 288 | 240 | ||||
| 0.74 | 5.92 | 38.3 | 193.8 | 0 | 288 | 288 | 240 | ||||
| 0.74 | 5.92 | 48.8 | 244.3 | 0 | 384 | 384 | 240 | ||||
| 0.74 | 5.92 | 56.6 | 288.5 | 0 | 384 | 384 | 240 | ||||
| 0.74 | 5.92 | 73.7 | 414.5 | 0 | 384 | 384 | 384 |
Appendix B. Experimental Methods: Additional Details
References
- Elsassar, W. On the Origin of the Earth’s Magnetic Field. Phys. Rev. 1939, 55, 489–498. [Google Scholar] [CrossRef]
- Roberts, P.H.; King, E.M. On the genesis of the Earth’s magnetism. Rep. Prog. Phys. 2013, 76, 096801. [Google Scholar] [CrossRef] [PubMed]
- Cheng, J.S.; Aurnou, J.M.; Julien, K.; Kunnen, R. A heuristic framework for next-generation models of geostrophic convective turbulence. Geophys. Astrophys. Fluid Dyn. 2018, 112, 277–300. [Google Scholar] [CrossRef]
- Schwaiger, T.; Gastine, T.; Aubert, J. Relating force balances and flow length scales in geodynamo simulations. Geophys. J. Int. 2021, 224, 1890–1904. [Google Scholar] [CrossRef]
- Maffei, S.; Krouss, M.; Julien, K.; Calkins, M. On the inverse cascade and flow speed scaling behaviour in rapidly rotating Rayleigh-Bénard convection. J. Fluid Mech. 2021, 913, A18. [Google Scholar] [CrossRef]
- Horn, S.; Schmid, P.J. Prograde, Retrograde, and Oscillatory modes in rotating Rayleigh-Bénard Convection. J. Fluid Mech. 2017, 831, 182–211. [Google Scholar] [CrossRef]
- Aurnou, J.; Bertin, V.; Grannan, A.; Horn, S.; Vogt, T. Rotating thermal convection in liquid gallium: Multi-modal flow, absent steady columns. J. Fluid Mech. 2018, 846, 846–876. [Google Scholar] [CrossRef]
- Aujogue, K.; Pothérat, A.; Sreenivasan, B.; Debray, F. Experimental study of the convection in arotating tangent cylinder. J. Fluid Mech. 2018, 843, 355–381. [Google Scholar] [CrossRef]
- de Wit, X.; Guzman, A.A.; Madonia, M.; Cheng, J.S.; Clercx, H.; Kunnen, R. Turbulent rotating convection confined in a slender cylinder: The sidewall circulation. Phys. Fluid Dyn. 2020, 5, 023502. [Google Scholar] [CrossRef]
- Lu, H.; Ding, G.; Shi, J.; Xia, K.; Zhong, J. Heat-transport scaling and transition in geostrophic rotating convection with varying aspect ratio. Phys. Rev. Fluids 2021, 6, L071501. [Google Scholar] [CrossRef]
- Ecke, R.E.; Zhang, X.; Shishkina, O. Connecting wall modes and boundary zonal flows in rotating Rayleigh-Bénard convection. Phys. Rev. Fluids 2022, 7, L011501. [Google Scholar] [CrossRef]
- Wedi, M.; Moturi, V.; Funfschilling, D.; Weiss, S. Experimental evidence for the boundary zonal flow in rotating Rayleigh-Bénard convection. J. Fluid Mech. 2022, 939, A14. [Google Scholar] [CrossRef]
- Gastine, T.; Aurnou, J.M. Latitudinal regionalization of rotating spherical shell convection. J. Fluid Mech. 2022, 954, R1. [Google Scholar] [CrossRef]
- Wang, G.; Santelli, L.; Lohse, D.; Verzicco, R.; Stevens, R. Diffusion-free scaling in rotating spherical Rayleigh Bénard Convection. Geophys. Res. Lett. 2021, 48, e2021GL095017. [Google Scholar] [CrossRef]
- Sheyko, A.; Finlay, C.; Favre, J.; Jackson, A. Scale separated low viscosity dynamos and dissipation within the Earth’s core. Sci. Rep. 2018, 8, 12566. [Google Scholar] [CrossRef] [PubMed]
- Ecke, R.E.; Shishkina, O. Turbulent Rotating Rayleigh-Bénard Convection. Ann. Rev. Fluid Mech. 2023, 55, 603–638. [Google Scholar] [CrossRef]
- Kunnen, R. The geostrophic regime of rapidly rotating turbulent convection. J. Turbul. 2021, 22, 267–296. [Google Scholar] [CrossRef]
- Sprague, M.; Julien, K.; Knobloch, E.; Werne, J. Numerical simulation of an asymptotically reduced system for rotationally constrained convection. J. Fluid Mech. 2006, 551, 141–174. [Google Scholar] [CrossRef]
- Kunnen, R.; Geurts, B.; Clercx, H. Experimental and numerical investigation of turbulent convection in a rotating cylinder. J. Fluid Mech. 2010, 642, 445–476. [Google Scholar] [CrossRef]
- King, E.; Aurnou, J.M. Thermal evidence for Taylor columns in turbulent rotating Rayleigh-Bénard convection. Phys. Rev. E 2012, 85, 016313. [Google Scholar] [CrossRef]
- Julien, K.; Rubio, A.M.; Grooms, I.; Knobloch, E. Statistical and physical balances in low-Rossby-number Rayleigh-Bénard convection. Geophys. Astrophys. Fluid Dyn. 2012, 106, 392–428. [Google Scholar] [CrossRef]
- Gastine, T.; Wicht, J.; Aubert, J. Scaling regimes in spherical shell rotating convection. J. Fluid Mech. 2016, 808, 690–732. [Google Scholar] [CrossRef]
- Chong, K.; Yang, Y.; Haung, S.; Zhong, J.; Stevens, R.; Verzicco, R.; Lohse, D.; Xia, K. Confined Rayleigh–B’enard, rotating Rayleigh–B’enard, and double diffusive convection: A unifying view on turbulent transport enhancement through coherent structure manipulation. Phys. Rev. Lett. 2017, 119, 064501. [Google Scholar] [CrossRef] [PubMed]
- Rajaei, H.; Alards, K.; Kunnen, R.; Clercx, H. Velocity and acceleration statistics in rapidly rotating Rayleigh–Bénard convection. J. Fluid Mech. 2018, 857, 374–397. [Google Scholar] [CrossRef]
- Vogt, T.; Horn, S.; Aurnou, J. Oscillatory thermal-inertial flows in liquid metal rotating convection. J. Fluid Mech. 2021, 911, A5. [Google Scholar] [CrossRef]
- Long, R.S. Regimes and Scaling Laws for Convection with and without Rotation. Ph.D. Thesis, The University of Leeds, Leeds, UK, 2021. [Google Scholar]
- Soderlund, K.; King, E.; Aurnou, J.M. The influence of magnetic fields in planetary dynamo models. Earth Planet. Sci. Lett. 2012, 333, 9–20. [Google Scholar] [CrossRef]
- Calkins, M.; Julien, K.; Tobias, S.; Aurnou, J. A multi-scale dynamo model driven by quasigeostrophic convection. J. Fluid Mech. 2015, 780, 143–166. [Google Scholar] [CrossRef]
- Yadav, R.; Gastine, T.; Christensen, U.R.; Wolk, S.; Poppenhaeger, K. Approaching a realistic force balance in geodynamo simulations. Proc. Natl. Acad. Sci. USA 2016, 113, 12065–12070. [Google Scholar] [CrossRef]
- Aurnou, J.; King, E. The cross-over to magnetostrophic convection in planetary dynamo systems. Proc. R. Soc. A 2017, 473, 20160731. [Google Scholar] [CrossRef]
- Calkins, M. Quasi-geostrophic dynamo theory. Phys. Earth Planet. Inter. 2018, 276, 182–189. [Google Scholar] [CrossRef]
- Aubert, J. Approaching Earth’s core conditions in high-resolution geodynamo simulations. Geophys. J. Int. 2019, 219, 137–151. [Google Scholar] [CrossRef]
- Schwaiger, T.; Gastine, T.; Aubert, J. Force balance in numerical geodynamo simulations: A systematic study. Geophys. J. Int. 2019, 219, 101–114. [Google Scholar] [CrossRef]
- Calkins, M.; Orvedahl, R.J.; Featherstone, N.A. Large-scale balances and asymptotic behaviour in spherical dynamos. Geophys. J. Int. 2021, 227, 1228–1245. [Google Scholar] [CrossRef]
- Yan, M.; Tobias, S.; Calkins, M. Scaling behaviour of small-scale dynamos driven by Rayleigh-Bénard convection. J. Fluid Mech. 2021, 915, A15. [Google Scholar] [CrossRef]
- Orvedahl, R.; Featherstone, N.A.; Calkins, M. Large-scale magnetic field saturation and the Elsasser number in rotating spherical dynamo models. Mon. Not. R. Astron. Soc. Lett. 2021, 507, 67–71. [Google Scholar] [CrossRef]
- Kolhey, P.; Stellmach, S.; Heyner, D. Influence of boundary conditions on rapidly rotating convection and its dynamo action in a plane fluid layer. Phys. Rev. Fluids 2022, 7, 043502. [Google Scholar] [CrossRef]
- Rossby, H.T. A study of Bénard convection with and without rotation. J. Fluid Mech. 1969, 36, 309–335. [Google Scholar] [CrossRef]
- Kerr, R.M.; Herring, J.R. Prandtl number dependence of Nusselt number in direct numerical simulations. J. Fluid Mech. 2000, 419, 325–344. [Google Scholar] [CrossRef]
- Funfschilling, D.; Brown, E.; Nikolaenko, A.; Ahlers, G. Heat transport by turbulent Rayleigh-Bénard convection in cylindrical samples. J. Fluid Mech. 2005, 536, 145–154. [Google Scholar] [CrossRef]
- Weiss, S.; Stevens, R.; Zhong, J.; Clercx, H.; Lohse, D.; Ahlers, G. Finite-Size Effects Lead to Supercritical Bifurcations in Turbulent Rotating Rayleigh-Bénard Convection. Phys. Rev. Lett. 2010, 105, 224501. [Google Scholar] [CrossRef] [PubMed]
- Choblet, G. On the scaling of heat transfer for mixed heating convection in a spherical shell. Phys. Earth Planet. Inter. 2012, 206, 31–42. [Google Scholar] [CrossRef]
- Horn, S.; Shishkina, O. Rotating non-Oberbeck-Boussinesq Rayleigh-Bénard convection in water. Phys. Fluids 2014, 26, 055111. [Google Scholar] [CrossRef]
- Ecke, R.E. Scaling of heat transport near onset in rapidly rotating convection. Phys. Lett. A 2015, 379, 2221–2223. [Google Scholar] [CrossRef]
- Cheng, J.S.; Madonia, M.; Guzman, A.A.; Kunnen, R. Laboratory exploration of heat transfer regimes in rapidly rotating turbulent convection. Phys. Rev. Fluids 2020, 5, 113501. [Google Scholar] [CrossRef]
- King, E.; Stellmach, S.; Noir, J.; Hansen, U.; Aurnou, J.M. Boundary layer control of rotating convection systems. Nature 2009, 457, 301–304. [Google Scholar] [CrossRef]
- Stellmach, S.; Lischper, M.; Julien, K.; Vasil, G.; Cheng, J.S.; Ribeiro, A.; King, E.M.; Aurnou, J.M. Approaching the Asymptotic Regime of Rapidly Rotating Convection: Boundary Layers versus Interior Dynamics. Phys. Rev. Lett. 2014, 113, 254501. [Google Scholar] [CrossRef]
- Stevenson, D. Turbulent thermal convection in the presence of rotation and a magnetic field: A hueristic theory. Geophys. Astrophys. Fluid Dyn. 1979, 12, 139–169. [Google Scholar] [CrossRef]
- Julien, K.; Knobloch, E. A new class of equations for rotationally constrained flows. Theor. Comput. Fluid Dyn. 1998, 11, 251–261. [Google Scholar] [CrossRef]
- Julien, K.; Knobloch, E.; Rubio, A.M.; Vasil, G.M. Heat transport in Low-Rossby-Number Rayleigh-Bénard convection. Phys. Rev. Lett. 2012, 109, 254503. [Google Scholar] [CrossRef]
- Barker, A.; Dempsey, A.; Lithwick, Y. Theory and simulations of rotating convection. Astrophys. J. 2014, 791, 13. [Google Scholar] [CrossRef]
- Plumley, M.; Julien, K.; Marti, P.; Stellmach, S. The effects of Ekman pumping on quasi-geostrophic Rayleigh-Bénard convection. J. Fluid Mech. 2016, 803, 51–71. [Google Scholar] [CrossRef]
- Aurnou, J.M.; Horn, S.; Julien, J. Connections between nonrotating, slowly rotating, and rapidly rotating turbulent convection transport scalings. Phys. Rev. Reas. 2020, 2, 043115. [Google Scholar] [CrossRef]
- Ingersoll, A.; Pollard, D. Motion in the interiors and atmospheres of Jupiter and Saturn: Scale analysis, anelastic equations, barotropic stability criterion. Icarus 1982, 52, 62–80. [Google Scholar] [CrossRef]
- Aubert, J.; Brito, D.; Nataf, H.; Cardin, P.; Masson, J. A systematic experimental study of rapidly rotating spherical convection in water and liquid gallium. Phys. Earth Planet. Inter. 2001, 128, 51–74. [Google Scholar] [CrossRef]
- Kraichnan, R.H. Turbulent thermal convection at arbitrary Prandtl number. Phys. Fluids 1962, 5, 1374–1389. [Google Scholar] [CrossRef]
- Spiegel, E.A. Convection in stars: I. Basic Boussinesq convection. Ann. Rev. Astro. Astrophys. 1971, 9, 323–352. [Google Scholar] [CrossRef]
- Plumley, M.; Julien, K. Scaling laws in Rayleigh-Bénard convection. Earth Space Sci. 2019, 6, 1580–1592. [Google Scholar] [CrossRef]
- Long, R.S.; Mound, J.E.; Davies, C.J.; Tobias, S.M. Scaling behaviour in spherical shell rotating convection with fixed-flux thermal boundary conditions. J. Fluid Mech. 2020, 889, A7. [Google Scholar] [CrossRef]
- Shraiman, B.; Siggia, E. Heat transport in high-Rayleigh-number convection. Phys. Rev. A 1990, 42, 3650–3653. [Google Scholar] [CrossRef]
- Chilla, F.; Ciliberto, S.; Innocenti, C.; Pampaloni, E. Boundary layer and scaling properties in turbulent thermal convection. Il Nuovo Cimento D 1993, 15, 1229–1249. [Google Scholar] [CrossRef]
- Grossmann, S.; Lohse, D. Scaling in thermal convection: A unifying theory. J. Fluid Mech. 2000, 407, 27–56. [Google Scholar] [CrossRef]
- Grossman, S.; Lohse, D. Prandtl and Rayleigh number dependence of the Reynolds number in turbulent thermal convection. Phys. Rev. E 2002, 66, 016305. [Google Scholar] [CrossRef] [PubMed]
- King, E.; Stellmach, S.; Aurnou, J.M. Heat transfer by rapidly rotating Rayleigh-Bénard convection. J. Fluid Mech. 2012, 691, 568–582. [Google Scholar] [CrossRef]
- Cheng, J.S.; Stellmach, S.; Ribeiro, A.; Grannan, A.; King, E.; Aurnou, J.M. Laboratory-numerical models of rapidly rotating convection in planetary cores. Geophys. J. Int. 2015, 201, 1–17. [Google Scholar] [CrossRef]
- Yang, Y.; Zhu, X.; Wang, B.; Liu, Y.; Zhou, Q. Experimental investigation of turbulent Rayleigh-Bénard convection of water in a cylindrical cell: The Prandtl number effects for Pr > 1. Phys. Fluids 2020, 32, 015101. [Google Scholar] [CrossRef]
- Priestly, C. Buoyant motion in a turbulent environment. Aust. J. Phys 1953, 6, 279–290. [Google Scholar] [CrossRef]
- Malkus, W.V.R. The heat transport and spectrum of thermal turbulence. Proc. R. Soc. A 1954, 225, 196–212. [Google Scholar]
- Brown, E.; Nikolaenko, A.; Funfschilling, D.; Ahlers, G. Heat transport in turbulent Rayleigh-Bénard convection: Effect of finite top-and bottom-plate conductivities. Phys. Fluids 2005, 17, 075108. [Google Scholar] [CrossRef]
- Sun, C.; Ren, L.; Song, H.; Xia, K. Heat transport by turbulent Rayleigh-Bénard convection in 1 m diameter cylindrical cells of widely varying aspect ratio. J. Fluid Mech. 2005, 542, 165–174. [Google Scholar] [CrossRef]
- Ahlers, G.; Grossmann, S.; Lohse, D. Heat transfer and large scale dynamics in turbulent Rayleigh-Bénard convection. Rev. Mod. Phys. 2009, 81, 503. [Google Scholar] [CrossRef]
- Chilla, F.; Schumacher, J. New perspectives in turbulent Rayleigh-Bénard convection. Eur. Phys. J. E 2012, 35, 1–25. [Google Scholar] [CrossRef]
- Doering, C.; Toppaladoddi, S.; Wettlaufer, J. Absence of evidence for the ultimate regime in two-dimensional Rayleigh-bénard convection. Phys. Rev. Lett. 2019, 123, 259401. [Google Scholar] [CrossRef]
- Iyer, K.; Scheel, J.; Schumacher, J.; Sreenivasan, K. Classical 1/3 scaling of convection holds up to Ra = 1015. Proc. Natl. Acad. Sci. USA 2020, 117, 7594–7598. [Google Scholar] [CrossRef] [PubMed]
- Zhang, K.; Liao, X. The onset of convection in rotating circular cylinders with experimental boundary conditions. J. Fluid Mech. 2009, 622, 63–73. [Google Scholar] [CrossRef]
- Chandrasekhar, S. Hydrodynamic and Hydromagnetic Stability; Dover Publications: Mineola, NY, USA, 1961. [Google Scholar]
- Qiu, X.L.; Tong, P. Onset of coherent oscillations in turbulent Rayleigh Bénard convection. Phys. Rev. Lett. 2001, 87, 094501. [Google Scholar] [CrossRef]
- Qiu, X.L.; Tong, P. Large-scale velocity structures in turbulent thermal convection. Phys. Rev. E 2001, 64, 036304. [Google Scholar] [CrossRef] [PubMed]
- Xi, H.; Zhou, Q.; Xia, K. Azimuthal motion of the mean wind in turbulent thermal convection. Phys. Rev. E 2006, 73, 056312. [Google Scholar] [CrossRef] [PubMed]
- Brown, E.; Funfschilling, D.; Ahlers, G. Anomalous Reynolds-number scaling in turbulent Rayleigh-Bénard convection. J. Stat. Mech. 2007, 10, P10005. [Google Scholar] [CrossRef]
- Horn, S.; Aurnou, J. Regimes of Coriolis-Centrifugal Convection. Phys. Rev. Lett. 2018, 120, 204502. [Google Scholar] [CrossRef]
- Zhong, F.; Ecke, R.E.; Steinberg, V. Rotating Rayleigh Bénard convection: Asymmetric modes and vortex states. J. Fluid Mech. 1993, 249, 135–159. [Google Scholar] [CrossRef]
- Herrmann, J.; Busse, F. Asymptotic theory of wall-attached convection in a rotating fluid layer. J. Fluid Mech. 1993, 255, 183–194. [Google Scholar] [CrossRef]
- Goldstein, H.; Knobloch, E.; Mercader, I.; Net, M. Convection in a rotating cylinder. Part 1: Linear theory for moderate Prandtl numbers. J. Fluid Mech. 1993, 248, 583–604. [Google Scholar] [CrossRef]
- Boubnov, B.; Golitsyn, G. Convection in Rotating Fluids; Fluid Mechanics and Its Applications; Springer Science and Business Media: Berlin/Heidelberg, Germany, 1995; Volume 29. [Google Scholar]
- Favier, B.; Knobloch, E. Robust wall states in rapidly rotating Rayleigh Bénard convection. J. Fluid Mech. 2020, 895, R1. [Google Scholar] [CrossRef]
- Zhang, X.; Ecke, R.; Shishkina, O. Boundary zonal flows in rapidly rotating turbulent thermal convection. J. Fluid Mech. 2021, 915, A62. [Google Scholar] [CrossRef]
- Grannan, A.; Cheng, J.; Aggarwal, A.; Hawkins, E.; Xu, Y.; Horn, S.; Sánchez-Álvarez, J.; Aurnou, J. Experimental pub crawl from Rayleigh-Bénard to magnetostrophic convection. J. Fluid Mech. 2022, 939, R1. [Google Scholar] [CrossRef]
- Julien, K.; Aurnou, J.; Calkins, M.; Knobloch, E.; Marti, P.; Stellmach, S.; Vasil, G. A nonlinear model for rotationally constrained convection with Ekman pumping. J. Fluid Mech. 2016, 798, 50–87. [Google Scholar] [CrossRef]
- Plumley, M.; Julien, K.; Marti, P.; Stellmach, S. Sensitivity of rapidly rotating Rayleigh-Bénard convection to Ekman pumping. Phys. Rev. Fluids 2017, 2, 094801. [Google Scholar] [CrossRef]
- Nieves, D.; Rubio, A.; Julien, K. Statistical classification of flow morphology in rapidly rotating Rayleigh-Bénard convection. Phys. Fluids 2014, 26, 086602. [Google Scholar] [CrossRef]
- Boubnov, B.; Golitsyn, G. Experimental study of convective structures in rotating fluids. J. Fluid Mech. 1986, 167, 503–531. [Google Scholar] [CrossRef]
- Boubnov, B.; van Heijst, G. Experiments on convection from a horizontal plate with and without background rotation. Exp. Fluids 1994, 16, 155–164. [Google Scholar] [CrossRef]
- Sakai, S. The horizontal scale of rotating convection in the geostrophic regime. J. Fluid Mech. 1997, 333, 85–95. [Google Scholar] [CrossRef]
- Grooms, I.; Julien, K.; Weiss, J.; Knobloch, E. Model of convective Taylor columns in rotating Rayleigh-Bénard convection. Phys. Rev. Lett. 2010, 104. [Google Scholar] [CrossRef] [PubMed]
- Aurnou, J.; Calkins, M.; Julien, K.; Nieves, D.; Soderlund, K.; Stellmach, S. Rotating convective turbulence in Earth and planetary cores. Earth Planet. Sci. Lett. 2015, 246, 52–71. [Google Scholar] [CrossRef]
- Greenspan, H.P. The Theory of Rotating Fluids; Cambridge University Press: Cambridge, UK, 1969. [Google Scholar]
- Julien, K.; Knobloch, E. Strongly nonlinear convection cells in a rapidly rotating fluid layer: The tilted f-plane. J. Fluid Mech. 1998, 360, 141–178. [Google Scholar] [CrossRef]
- Jones, C.A.; Soward, A.M.; Mussa, A.I. The onest of thermal convection in a rapidly rotating sphere. J. Fluid Mech. 2000, 405, 157–179. [Google Scholar] [CrossRef]
- Zhang, K.; Schubert, G. Magnetohydrodynamics in rapidly rotating spherical systems. Ann. Rev. Fluid Mech. 2000, 32, 409–443. [Google Scholar] [CrossRef]
- Stellmach, S.; Hansen, U. Cartesian convection driven dynamos at low Ekman number. Phys. Rev. E 2004, 70, 056312. [Google Scholar] [CrossRef]
- Aubert, J. Steady zonal flows in spherical shell dynamos. J. Fluid Mech. 2005, 542, 53–67. [Google Scholar] [CrossRef]
- Boubnov, B.; Golitsyn, G. Temperature and velocity field regimes of convective motions in a rotating plane fuid layer. J. Fluid Mech. 1990, 219, 215–239. [Google Scholar] [CrossRef]
- Boubnov, B.; Golitsyn, G. Convection from local sources. In Convection in Rotating Fluids; Springer Science and Business Media: Berlin/Heidelberg, Germany, 1995; Volume 29. [Google Scholar]
- Shang, X.D.; Qiu, X.; Tong, P.; Xia, K. Measurements of the local convective heat flux in turbulent Rayleigh-Bénard convection. Phys. Rev. E 2004, 70, 026308. [Google Scholar] [CrossRef]
- Hignett, P.; Ibbetson, A.; Killworth, P. On rotating thermal convection driven by non-uniform heating from below. J. Fluid Mech. 2006, 109, 161–187. [Google Scholar] [CrossRef]
- Ripsei, P.; Biferale, L.; Sbragaglia, M.; Wirth, A. Natural convection with mixed insulating and conducting boundary conditions: Low- and high-Rayleigh-number regimes. J. Fluid Mech. 2014, 742, 636–663. [Google Scholar] [CrossRef]
- Wang, F.; Haung, S.; Xia, K. Thermal convection with mixed thermal boundary conditions: Effects of insulating lids at the top. J. Fluid Mech. 2017, 817, R1. [Google Scholar] [CrossRef]
- Bakhuis, D.; Ostilla-Monico, R.; Poel, E.V.D.; Verzicco, R.; Lohse, D. Mixed insulating and conducting thermal boundary conditions in Rayleigh-Bénard convection. J. Fluid Mech. 2018, 835, 491–511. [Google Scholar] [CrossRef]
- Qu, M.; Yang, D.; Liang, Z.; Liu, D. Experimental and numerical investigation on heat transfer of ultra-supercritical water in vertical upward tube under uniform and non-uniform heating. Int. J. Heat Mass Transfer 2018, 127, 769–783. [Google Scholar] [CrossRef]
- Evgrafova, A.; Sukhanovskii, A. Specifics of heat flux from localized heater in cylindrical layer. Int. J. Heat Mass Transfer 2019, 135, 761–768. [Google Scholar] [CrossRef]
- Sukhanovskii, A.; Vasiliev, A. Physical mechanism of the convective heat flux increasing in the case of mixed boundary conditions in Rayleigh-Bénard convection. Int. J. Heat Mass Transfer 2022, 185, 122411. [Google Scholar] [CrossRef]
- Ciliberto, S.; Laroche, C. Random roughness of boundary increases the turbuent convection scaling exponent. Phys. Rev. Lett. 1999, 82, 3998. [Google Scholar] [CrossRef]
- Qiu, X.L.; Xia, K.; Tong, P. Experimental study of velocity boundary layer near a rough conducting surface in turbulent natural convection. J. Turbulence 2005, 6, N30. [Google Scholar] [CrossRef]
- Shishkina, O.; Wagner, C. Modelling the influence of wall roughness on heat transfer in thermal convection. J. Fluid Mech. 2011, 686, 568–582. [Google Scholar] [CrossRef]
- Toppaladoddi, S.; Succi, S.; Wettlaufer, J. Roughness as a route to the ultimate regime of thermal convection. Phys. Rev. Lett. 2017, 118, 074503. [Google Scholar] [CrossRef] [PubMed]
- Zhu, X.; Stevens, R.; Verzicco, R.; Lohse, D. Roughness facilitated local 1/2 scaling does not imply the onset of the ultimate regime of thermal convection. Phys. Rev. Lett. 2017, 119, 154501. [Google Scholar] [CrossRef] [PubMed]
- Xie, Y.; Xia, K. Turbulent thermal convection over rough plates with varying roughness geometries. J. Fluid Mech. 2017, 825, 573–599. [Google Scholar] [CrossRef]
- Zhang, Y.Z.; Sun, C.; Bao, Y.; Zhou, Q. How surface roughness reduces heat transport for small roughness heights in turbulent Rayleigh-Bénard convection. J. Fluid Mech. 2017, 826, R2. [Google Scholar] [CrossRef]
- Zhu, X.; Stevens, R.; Shishkina, O.; Verzicco, R.; Lohse, D. Nu∼Ra1/2 scaling enabled by multiscale wall roughness in Rayleigh Bénard convection. J. Fluid Mech. 2019, 869, R4. [Google Scholar] [CrossRef]
- Dong, D.L.; Wang, B.F.; Dong, Y.H.; Huang, Y.X.; Jiang, N.; Liu, Y.L.; Lu, Z.M.; Qiu, X.; Tang, Z.Q.; Zhou, Q. Influence of spatial arrangements of roughness elements on turbulent Rayleigh-Bénard convection. Phys. Fluids 2020, 32. [Google Scholar]
- Lavorel, G.; Le Bars, M. Experimental study of the interaction between convective and elliptical instabilities. Phys. Fluids 2010, 22, 045114. [Google Scholar] [CrossRef]
- Ogilvie, G.; Lesur. On the interaction between tides and convection. Month. Not. Royal Astro. Soc. 2012, 422, 1975–1987. [Google Scholar] [CrossRef]
- Wei, X. The combined effect of precession and convection on the dynamo action. Astrophys. J. 2016, 827, 123. [Google Scholar] [CrossRef]
- Vormann, J.; Hansen, U. Characteristics of a precessing flow under the influence of a convecting temperature field in a spheroidal shell. J. Fluid Mech. 2020, 891, A15. [Google Scholar] [CrossRef]
- Vidal, J.; Barker, A. Efficiency of tidal dissipation in slowly rotating fully convective stars or planets. Month. Not. Royal Astro. Soc. 2020, 497, 4472–4485. [Google Scholar] [CrossRef]
- Barker, A.; Astoul, A. On the interaction between fast tides and convection. Month. Not. Royal Astro. Soc. 2021, 506, L69–L73. [Google Scholar] [CrossRef]
- Ecke, R.; Niemela, J. Heat transport in the geostrophic regime of rotating Rayleigh-Bénard convection. Phys. Rev. Lett. 2014, 113, 114301. [Google Scholar] [CrossRef] [PubMed]
- Yang, Y.; Verzicco, R.; Lohse, D.; Stevens, R. What rotation rate maximizes heat transport in rotating Rayleigh-B’enard convection with Prandtl number larger than one? Phys. Rev. Fluids 2020, 5, 053501. [Google Scholar] [CrossRef]
- Siggia, E. High Rayleigh number convection. J. Fluid Mech. 1994, 26, 137–168. [Google Scholar] [CrossRef]
- Gastine, T.; Wicht, J.; Aurnou, J. Turbulent Rayleigh–Bénard convection in spherical shells. J. Fluid Mech. 2015, 778, 721–764. [Google Scholar] [CrossRef]
- Christensen, U.R. Dynamo Scaling Laws and Applications to the Planets. Space Sci. Rev. 2010, 152, 565–590. [Google Scholar] [CrossRef]
- Jones, C.A. Planetary Magnetic Fields and Fluid Dynamos. Ann. Rev. Fluid Mech. 2011, 43, 583–614. [Google Scholar] [CrossRef]
- King, E.; Buffett, B. Flow speeds and length scales in geodynamo models: The role of viscosity. Earth Planet. Sci. Lett. 2013, 371, 156–162. [Google Scholar] [CrossRef]
- Jones, C.A. Treatise on Geophysics; Elsevier: Amsterdam, The Netherlands, 2015; pp. 115–159. [Google Scholar]
- Gillet, N.; Jones, C.A. The quasi-geostrophic model for rapidly rotating spherical convection outside the tangent cylinder. J. Fluid Mech. 2006, 554, 343–369. [Google Scholar] [CrossRef]
- Hide, R. Jupiter and Saturn. Proc. R. Soc. Lond. A. 1974, 336, 63–84. [Google Scholar]
- Cardin, P.; Olson, P. Chaotic thermal convection in a rapidly rotating spherical shell: Consequences for flow in the outer core. Phys. Earth Planet. Inter. 1994, 82, 235–259. [Google Scholar] [CrossRef]
- Cheng, J.; Aurnou, J. Tests of diffusion-free scaling behaivors in numerical dynamo datasets. Earth Planet. Sci. Lett. 2016, 436. [Google Scholar] [CrossRef]
- Aguirre-Guzman, A.; Madonia, M.; Cheng, J.; Ostilla-Monico, R.; Clercx, H.; Kunnen, R. Flow- and temperature-based statistics characterizing the regimes in rapidly rotating turbulent convection in simulations employing no-slip boundary conditions. Phys. Rev. Fluids 2022, 7, 013501. [Google Scholar] [CrossRef]
- Calkins, M.; Long, L.; Nieves, D.; Julien, K.; Tobias, S. Convection-driven kinematic dynamos at low Rossby and magnetic Prandtl numbers. Phys. Rev. Fluids 2016, 1, 083701. [Google Scholar] [CrossRef]
- Yeh, Y.; Cummins, H. Localized fluid flow measurements with an He–Ne laser spectrometer. Appl. Phys. Lett. 1964, 4, 176–178. [Google Scholar] [CrossRef]
- Warn-Varnas, A.; Fowlis, W.; Piacsek, S.; Lee, S. Numerical solutions and laser-Doppler measurements of spin-up. J. Fluid Mech. 1978, 85, 609–639. [Google Scholar] [CrossRef]
- Drain, L. The Laser Doppler Technique; John Wiley and Sons: Hoboken, NJ, USA, 1980. [Google Scholar]
- Noir, J.; Hemmerlin, F.; Wicht, J.; Baca, S.; Aurnou, J.M. An experimental and numerical study of librationally driven flow in planetary cores and subsurface oceans. Phys. Earth Planet. Inter. 2009, 173, 141–152. [Google Scholar] [CrossRef]
- Noir, J.; Calkins, M.; Lasbleis, M.; Cantwell, J.; Aurnou, J.M. Experimental study of libration-driven zonal flows in a straight cylinder. Phys. Earth Planet. Inter. 2010, 182, 98–1106. [Google Scholar] [CrossRef]
- Damaschke, N.; Kuhn, V.; Nobach, H. A fair review of non-parametric bias-free autocorrelation and spectral methods for randomly sampled data in laser Doppler velocimetry. Digit. Signal Process. 2018, 76, 22–33. [Google Scholar] [CrossRef]
- Hawkins, E.K. Experimental Investigations of Rapidly Rotating Convective Turbulence in Planetary Cores; ProQuest Dissertations Publishing: Ann Arbor, MI, USA, 2020. [Google Scholar]
- Brito, D.; Aurnou, J.M.; Cardin, P. Turbulent viscosity measurements relevant to planetary core-mantle dynamics. Phys. Earth Planet. Inter. 2004, 141, 3–8. [Google Scholar] [CrossRef]
- Burmann, F.; Noir, J. Effects of bottom topography on the spin-up in a cylinder. Phys. Fluids 2018, 30, 106601. [Google Scholar] [CrossRef]
- Johnson, D.; Modarress, D.; Owen, F. An experimental verification of Laser-Velocimeter sampling bias and its correction. J. Fluid Eng. 1984, 106, 5–12. [Google Scholar] [CrossRef]
- Edwards, R. Report of the special panel on statistical particle bias problems in Laser Anemometry. J. Fluid Eng. 1987, 109, 89–93. [Google Scholar] [CrossRef]
- Efstathiou, C.; Luhar, M. Mean turbulence statistics in boundary layers over high-porosity foams. J. Fluid Mech. 2018, 841, 351–379. [Google Scholar] [CrossRef]
- Batchelor, G. The Theory of Homogeneous Turbulence; Cambrdige University Press: Cambrdige, UK, 1953. [Google Scholar]
- Wilczek, M.; Daitche, A.; Freidrich, R. On the velocity distribution in homogeneous isotropic turbulence: Correlations and deviations from Gaussianity. J. Fluid Mech. 2011, 676, 191–217. [Google Scholar] [CrossRef]
- Schaeffer, N.; Pais, M. On symmetry and anisotropy of Earth-core flows. Geophys. Res. Lett. 2011, 38, L10309. [Google Scholar] [CrossRef]
- Stellmach, S.; Hansen, U. An efficient spectral method for the simulation of dynamos in Cartesian geometry and its implementation on massively parallel computers. Geochem. Geophys. Geosyst. 2008, 9, Q05003. [Google Scholar] [CrossRef]
- Shang, X.; Qiu, X.; Tong, P.; Xia, K. Measured local heat transport in turbulent Rayleigh-Bénard convection. Phys. Rev. Lett. 2003, 90, 074501. [Google Scholar] [CrossRef]
- Sun, C.; Xia, K.; Tong, P. Three-dimensional flow structures and dynamics of turbulent thermal convection in a cylindrical cell. Phys. Rev. E 2005, 72, 026302. [Google Scholar] [CrossRef] [PubMed]
- Zurner, T.; Schindler, F.; Vogt, T.; Eckert, S.; Shumacher, J. Combined measurement of velocity and temperature in liquid metal convection. J. Fluid Mech. 2019, 876, 1108–1128. [Google Scholar] [CrossRef]
- Xu, Y.; Horn, S.; Aurnou, J. Thermoelectric precession in turbulent magnetoconvection. J. Fluid Mech. 2022, 930, A8. [Google Scholar] [CrossRef]
- Horn, S.; Aurnou, J.M. Rotating convection with centrifugal buoyancy: Numerical predictions for laboratory experiments. Phys. Rev. Fluids 2019, 4, 073501. [Google Scholar] [CrossRef]
- Bouillaut, V.; Miquel, B.; Julien, K.; Aumaitre, S.; Gallet, B. Experimental observation of the geostrophic turbulence regime of rapidly rotating convection. Proc. Natl. Acad. Sci. USA 2021, 118, e2105015118. [Google Scholar] [CrossRef] [PubMed]
- Stevens, R.; Clercx, H.; Lohse, D. Heat transport and flow structure in rotating Rayleigh-Bénard convection. Eur. J. Mech Fluids 2013, 40, 41–49. [Google Scholar] [CrossRef]
- Christensen, U.R. Zonal flow driven by strongly supercritical convection in rotating spherical shells. J. Fluid Mech. 2002, 470, 115–133. [Google Scholar] [CrossRef]
- Christensen, U.R.; Aubert, J. Scaling properties of convection-driven dynamos in rotating spherical shells and applications to planetary mangetic fields. Geophys. J. Int. 2006, 166, 97–114. [Google Scholar] [CrossRef]
- Favier, B.; Silvers, L.J.; Proctor, M.R.E. Inverse cascade and symmetry breaking in rapidly rotating Boussinesq convection. Phys. Fluids 2014, 9, 096605. [Google Scholar] [CrossRef]
- Rubio, A.M.; Julien, K.; Knobloch, E.; Weiss, J.B. Upscale Energy Transfer in Three-Dimensional Rapidly Rotating Turbulent Convection. Phys. Rev. Lett. 2014, 112, 144501. [Google Scholar] [CrossRef]
- Moffatt, K.; Dormy, E. Self-Exciting Fluid Dynamos; Cambrdige University Press: Cambrdige, UK, 2019. [Google Scholar]
- Aguirre-Guzman, A.; Madonia, M.; Cheng, J.S.; Ostilla-Monico, R.; Clercx, H.; Kunnen, R. Force balance in rapidly rotating Rayleigh B’enard convection. J. Fluid Mech. 2021, 928, A16. [Google Scholar] [CrossRef]
- Mininni, P.; Alexakis, A.; Pouquet, A. Scale interactions and scaling laws in rotating flows at moderate Rossby numbers and large Reynolds numbers. Phys. Fluids 2009, 21, 015108. [Google Scholar] [CrossRef]
- Guervilly, C.; Hughes, D.W.; Jones, C.A. Large-scale vortices in rapidly rotating Rayleigh-Bénard convection. J. Fluid Mech. 2014, 758, 407–435. [Google Scholar] [CrossRef]
- Kunnen, R.; Ostilla-Monico, R.; Poel, E.V.D.; Verzicco, R.; Lohse, D. Transition to geostrophic convection: The role of boundary conditions. J. Fluid Mech. 2016, 799, 413–432. [Google Scholar] [CrossRef]
- Aguirre-Guzmán, A.; Madonia, M.; Cheng, J.; Ostilla-Monico, R.; Clercx, H.; Kunnen, R. Competition between Ekman Plumes and Vortex Condensates in Rapidly Rotating Thermal Convection. Phys. Rev. Lett. 2020, 125, 214501. [Google Scholar] [CrossRef]
- Rajaei, H.; Kunnen, R.; Clercx, H. Exploring the geostrophic regime of rapidly rotating convection with experiments. Phys. Fluids 2017, 29, 214501. [Google Scholar] [CrossRef]
- Guervilly, C.; Cardin, P.; Schaeffer, N. Turbulent convective length scales in planetary cores. Nature 2019, 570, 368–371. [Google Scholar] [CrossRef]
- Madonia, M.; Guzman, A.A.; Clercx, H.; Kunnen, R. Velocimetry in rapidly rotating convection: Spatial correlations, flow structures, and length scales. Europhys. Lett. 2021, 135, 54002. [Google Scholar] [CrossRef]
- John, H.; Leinhard, I.V.; Leinhard, V. A Heat Transfer Textbook; Phlogiston Press: Cambridge, UK, 2008. [Google Scholar]
- Taylor, J. Introduction to Error Analysis, the Study of Uncertainties in Physical Measurements; University Science Books: Perth, Australia, 1997. [Google Scholar]











| E | |||||
|---|---|---|---|---|---|
| NoMag | – | – | 5.7–6.4 | 0.0018–1.0 | 0.73–2.9 |
| DNS | – | 5.9 | 0 | 0.74 | |
| Earth’s Core | 0.10 | 0.35 |
Disclaimer/Publisher’s Note: The statements, opinions and data contained in all publications are solely those of the individual author(s) and contributor(s) and not of MDPI and/or the editor(s). MDPI and/or the editor(s) disclaim responsibility for any injury to people or property resulting from any ideas, methods, instructions or products referred to in the content. |
© 2023 by the authors. Licensee MDPI, Basel, Switzerland. This article is an open access article distributed under the terms and conditions of the Creative Commons Attribution (CC BY) license (https://creativecommons.org/licenses/by/4.0/).
Share and Cite
Hawkins, E.K.; Cheng, J.S.; Abbate, J.A.; Pilegard, T.; Stellmach, S.; Julien, K.; Aurnou, J.M. Laboratory Models of Planetary Core-Style Convective Turbulence. Fluids 2023, 8, 106. https://doi.org/10.3390/fluids8040106
Hawkins EK, Cheng JS, Abbate JA, Pilegard T, Stellmach S, Julien K, Aurnou JM. Laboratory Models of Planetary Core-Style Convective Turbulence. Fluids. 2023; 8(4):106. https://doi.org/10.3390/fluids8040106
Chicago/Turabian StyleHawkins, Emily K., Jonathan S. Cheng, Jewel A. Abbate, Timothy Pilegard, Stephan Stellmach, Keith Julien, and Jonathan M. Aurnou. 2023. "Laboratory Models of Planetary Core-Style Convective Turbulence" Fluids 8, no. 4: 106. https://doi.org/10.3390/fluids8040106
APA StyleHawkins, E. K., Cheng, J. S., Abbate, J. A., Pilegard, T., Stellmach, S., Julien, K., & Aurnou, J. M. (2023). Laboratory Models of Planetary Core-Style Convective Turbulence. Fluids, 8(4), 106. https://doi.org/10.3390/fluids8040106

