Phase Resolved Simulation of the Landau–Alber Stability Bifurcation
Abstract
1. Introduction
1.1. The Classical Modulation Instability and Rogue Waves
- “Under which conditions the Benjamin-Feir instability may spawn an extreme wave event: A fully nonlinear approach” [22]
- “Rogue waves in the ocean, the role of modulational instability, and abrupt changes of environmental conditions that can provoke non equilibrium wave dynamics” [23]
- “Rogue waves and their generating mechanisms in different physical contexts” [18]
- “Baseband modulation instability as the origin of rogue waves” [24]
- “Real world ocean rogue waves explained without the modulational instability” [25]
1.2. The Alber Equation and the Landau–Alber Bifurcation
1.3. Onset of Generalised Modulation Instability on the Phase-Resolved Level
2. Main Results


3. Scaling of JONSWAP Spectra and the Plane
- controls the power of the sea state, namely the significant wave height , which is proportional to
- controls the peakedness of the spectrum, with larger values of leading to more sharply peaked spectra;
- is the carrier wavenumber, i.e., where is a central wavelength for the sea state.
4. Numerical Results
4.1. The Numerical Scheme
4.2. Implementation of the Initial Conditions and Periodisation
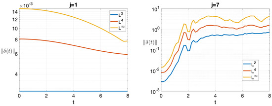
4.3. Discussion of the Results


4.4. Dependence on the Computational Domain
5. Conclusions and Further Work
Funding
Data Availability Statement
Acknowledgments
Conflicts of Interest
Appendix A. Simulation of the Classical MI

References
- Bespalov, V.I.; Talanov, V.I. Filamentary structure of light beams in nonlinear liquids. Sov. J. Exp. Theor. Phys. Lett. 1966, 3, 307. [Google Scholar]
- Benjamin, T.B.; Feir, J.E. The disintegration of wave trains on deep water. J. Fluid Mech. 1967, 27, 417–430. [Google Scholar] [CrossRef]
- Zakharov, V.E. Stability of periodic waves of finite amplitude on the surface of a deep fluid. J. Appl. Mech. Tech. Phys. 1968, 9, 190–194. [Google Scholar] [CrossRef]
- Vanderhaegen, G.; Naveau, C.; Szriftgiser, P.; Kudlinski, A.; Conforti, M.; Mussot, A.; Onorato, M.; Trillo, S.; Chabchoub, A.; Akhmediev, N. “Extraordinary” modulation instability in optics and hydrodynamics. Proc. Natl. Acad. Sci. USA 2021, 118, e2019348118. [Google Scholar] [CrossRef] [PubMed]
- Biondini, G.; Li, S.; Mantzavinos, D.; Trillo, S. Universal Behavior of Modulationally Unstable Media. SIAM Rev. 2018, 60, 888–908. [Google Scholar] [CrossRef]
- Zakharov, V.E.; Ostrovsky, L.A. Modulation instability: The beginning. Phys. D: Nonlinear Phenom. 2009, 238, 540–548. [Google Scholar] [CrossRef]
- Gramstad, O.; Bitner-Gregersen, E.; Trulsen, K.; Nieto Borge, J.C. Modulational Instability and Rogue Waves in Crossing Sea States. J. Phys. Oceanogr. 2018, 48, 1317–1331. [Google Scholar] [CrossRef]
- Jin, J.; Liao, S.; Lin, Z. Nonlinear Modulational Instability of Dispersive PDE Models. Arch. Ration. Mech. Anal. 2019, 231, 1487–1530. [Google Scholar] [CrossRef]
- Gallo, C. The Cauchy Problem for Defocusing Nonlinear Schrödinger Equations with Non-Vanishing Initial Data at Infinity. Commun. Partial. Differ. Equations 2008, 33, 729–771. [Google Scholar] [CrossRef]
- Muñoz, C. Instability in nonlinear Schrödinger breathers. Proyecciones (Antofagasta) 2017, 36, 653–683. [Google Scholar] [CrossRef][Green Version]
- Biondini, G.; Mantzavinos, D. Universal Nature of the Nonlinear Stage of Modulational Instability. Phys. Rev. Lett. 2016, 116, 1–5. [Google Scholar] [CrossRef] [PubMed]
- Faulkner, D. An independent assessment of the sinking of the MV DERBYSHIRE. Trans. SNAME 1998, 106, 59–103. [Google Scholar]
- Haver, S. A Possible Freak Wave Event Measured at the Draupner Jacket January 1 1995. In Proceedings of the Rogue Waves 2004, Brest, France, 20–22 October 2004; Olagnon, M., Prevosto, M., Eds.; Ifremer: Plouzané, France, 2004. [Google Scholar] [CrossRef]
- Olagnon, M.; Athanassoulis, G.A. (Eds.) Rogue Waves 2000; Ifremer: Plouzané, France, 2000. [Google Scholar]
- Olagnon, M.; Prevosto, M. (Eds.) Rogue Waves 2004; Ifremer: Plouzané, France, 2004. [Google Scholar]
- Dysthe, K.; Krogstad, H.E.; Müller, P. Rogue Waves. In Encyclopedia of Ocean Sciences; Elsevier Ltd.: Amsterdam, The Netherlands, 2009; pp. 770–780. [Google Scholar] [CrossRef]
- Onorato, M.; Waseda, T.; Toffoli, A.; Cavaleri, L.; Gramstad, O.; Janssen, P.A.; Kinoshita, T.; Monbaliu, J.; Mori, N.; Osborne, A.R.; et al. Statistical properties of directional ocean waves: The role of the modulational instability in the formation of extreme events. Phys. Rev. Lett. 2009, 102, 114502. [Google Scholar] [CrossRef]
- Onorato, M.; Residori, S.; Bortolozzo, U.; Montina, A.; Arecchi, F.T. Rogue waves and their generating mechanisms in different physical contexts. Phys. Rep. 2013, 528, 47–89. [Google Scholar] [CrossRef]
- Zakharov, V.; Dyachenko, A. Rogue Waves and Modulational Instability. In Proceedings of the AGU Fall Meeting Abstracts, San Francisco, CA, USA, 14–18 December 2015; Volume 2015, p. NG32A-08. [Google Scholar]
- Bitner-Gregersen, E.M.; Gramstad, O. DNV GL Strategic Reserach & Innovation Position Paper 05–2015: ROGUE WAVES: Impact on Ships and Offshore Structures; DNV-GL: Bærum, Norway, 2015; p. 60. [Google Scholar]
- Mei, C.C.; Stiassnie, M.; Yue, D.K.P. Theory and Applications of Ocean Surface Waves; Advanced Series on Ocean Engineering; World Scientific: Singapore, 2005; Volume 23. [Google Scholar] [CrossRef]
- Kharif, C.; Touboul, J. Under which conditions the Benjamin-Feir instability may spawn an extreme wave event: A fully nonlinear approach. Eur. Phys. Journal: Spec. Top. 2010, 185, 159–168. [Google Scholar] [CrossRef]
- Trulsen, K. Rogue Waves in the Ocean, the Role of Modulational Instability, and Abrupt Changes of Environmental Conditions that Can Provoke Non Equilibrium Wave Dynamics; Springer: Cham, Switzerland, 2018; pp. 239–247. [Google Scholar] [CrossRef][Green Version]
- Baronio, F.; Chen, S.; Grelu, P.; Wabnitz, S.; Conforti, M. Baseband modulation instability as the origin of rogue waves. Phys. Rev. A At. Mol. Opt. Phys. 2015, 91, 033804. [Google Scholar] [CrossRef]
- Fedele, F.; Brennan, J.; Ponce De León, S.; Dudley, J.; Dias, F.; León, S.P.D.; Dudley, J.; Dias, F. Real world ocean rogue waves explained without the modulational instability. Sci. Rep. 2016, 6, 1–11. [Google Scholar] [CrossRef]
- Alber, I.E. The Effects of Randomness on the Stability of Two-Dimensional Surface Wavetrains. Proc. R. Soc. A Math. Phys. Eng. Sci. 1978, 363, 525–546. [Google Scholar] [CrossRef]
- Athanassoulis, A. On the Onset of Modulation Instability in JONSWAP Sea States. Technical Report. 2022. Available online: https://www.newton.ac.uk/seminar/37811/ (accessed on 21 December 2022).
- Komen, G.J.; Cavaleri, L.; Donelan, M.; Hasselmann, K.; Hasselmann, S.; Janssen, P.A.E.M. Dynamics and Modelling of Ocean Waves; Cambridge University Press: Cambridge, UK, 1994. [Google Scholar]
- Ochi, M.K. Ocean Waves: The Stochastic Approach; Cambridge University Press: Cambridge, UK, 1998; p. 332. [Google Scholar]
- Labeyrie, J. Stationary and transient states of random seas. Mar. Struct. 1990, 3, 43–58. [Google Scholar] [CrossRef]
- Tournadre, J. Time and space scales of significant wave heights. J. Geophys. Res. Ocean. 1993, 98, 4727–4738. [Google Scholar] [CrossRef]
- Anastopoulos, P.A.; Spyrou, K.J.; Bassler, C.C.; Belenky, V. Towards an improved critical wave groups method for the probabilistic assessment of large ship motions in irregular seas. Probabilistic Eng. Mech. 2016, 44, 18–27. [Google Scholar] [CrossRef]
- Athanassoulis, A.; Athanassoulis, G.; Ptashnyk, M.; Sapsis, T. Strong solutions for the Alber equation and stability of unidirectional wave spectra. Kinet. Relat. Model. 2020, 13, 703–737. [Google Scholar] [CrossRef]
- Onorato, M.; Osborne, A.; Fedele, R.; Serio, M. Landau damping and coherent structures in narrow-banded 1 + 1 deep water gravity waves. Phys. Rev. E 2003, 67, 046305. [Google Scholar] [CrossRef] [PubMed]
- Athanassoulis, A.; Gramstad, O. Modelling of Ocean Waves with the Alber Equation: Application to Non-Parametric Spectra and Generalisation to Crossing Seas. Fluids 2021, 6, 291. [Google Scholar] [CrossRef]
- Waseda, T.; Kinoshita, T.; Tamura, H. Evolution of a random directional wave and freak wave occurrence. J. Phys. Oceanogr. 2009, 39, 621–639. [Google Scholar] [CrossRef]
- Janssen, P.A.E.M. Nonlinear Four-Wave Interactions and Freak Waves. J. Phys. Oceanogr. 2003, 33, 863–884. [Google Scholar] [CrossRef]
- Ribal, A.; Babanin, A.V.; Young, I.; Toffoli, A.; Stiassnie, M. Recurrent solutions of the Alber equation initialized by Joint North Sea Wave Project spectra. J. Fluid Mech. 2013, 719, 314–344. [Google Scholar] [CrossRef]
- Gramstad, O. Modulational Instability in JONSWAP Sea States Using the Alber Equation. In Proceedings of the ASME 2017 36th International Conference on Ocean, Offshore and Arctic Engineering, Trondheim, Norway, 25–30 June 2017. [Google Scholar]
- DNV-GL. DNVGL-RP-C205: Environmental Conditions and Environmental Loads; Technical Report August; DNV-GL: Bærum, Norway, 2017. [Google Scholar]
- Besse, C.; Descombes, S.; Dujardin, G.; Lacroix-Violet, I. Energy-preserving methods for nonlinear Schrödinger equations. IMA J. Numer. Anal. 2021, 41, 618–653. [Google Scholar] [CrossRef]
- Pasciak, J.E. Spectral and pseudospectral methods for advection equations. Math. Comput. 1980, 35, 1081. [Google Scholar] [CrossRef]
- Bedrossian, J.; Masmoudi, N.; Mouhot, C. Landau Damping in Finite Regularity for Unconfined Systems with Screened Interactions. Commun. Pure Appl. Math. 2018, 71, 537–576. [Google Scholar] [CrossRef]
- Trulsen, K.; Dysthe, K.B. A modified nonlinear Schrödinger equation for broader bandwidth gravity waves on deep water. Wave Motion 1996, 24, 281–289. [Google Scholar] [CrossRef]
- Ma, W.X. Reduced Non-Local Integrable NLS Hierarchies by Pairs of Local and Non-Local Constraints. Int. J. Appl. Comput. Math. 2022, 8, 1–17. [Google Scholar] [CrossRef]
- Ma, W.X. Integrable Nonlocal Nonlinear Schrödinger Equations Associated with so(3, R). Proc. Am. Math. Soc. Ser. B 2022, 9, 1–11. [Google Scholar] [CrossRef]
- Gramstad, O.; Trulsen, K. Fourth-order coupled nonlinear Schrödinger equations for gravity waves on deep water. Phys. Fluids 2011, 23, 062102. [Google Scholar] [CrossRef]

Disclaimer/Publisher’s Note: The statements, opinions and data contained in all publications are solely those of the individual author(s) and contributor(s) and not of MDPI and/or the editor(s). MDPI and/or the editor(s) disclaim responsibility for any injury to people or property resulting from any ideas, methods, instructions or products referred to in the content. |
© 2022 by the author. Licensee MDPI, Basel, Switzerland. This article is an open access article distributed under the terms and conditions of the Creative Commons Attribution (CC BY) license (https://creativecommons.org/licenses/by/4.0/).
Share and Cite
Athanassoulis, A.G. Phase Resolved Simulation of the Landau–Alber Stability Bifurcation. Fluids 2023, 8, 13. https://doi.org/10.3390/fluids8010013
Athanassoulis AG. Phase Resolved Simulation of the Landau–Alber Stability Bifurcation. Fluids. 2023; 8(1):13. https://doi.org/10.3390/fluids8010013
Chicago/Turabian StyleAthanassoulis, Agissilaos G. 2023. "Phase Resolved Simulation of the Landau–Alber Stability Bifurcation" Fluids 8, no. 1: 13. https://doi.org/10.3390/fluids8010013
APA StyleAthanassoulis, A. G. (2023). Phase Resolved Simulation of the Landau–Alber Stability Bifurcation. Fluids, 8(1), 13. https://doi.org/10.3390/fluids8010013
