Turbulence Modulation by Slender Fibers
Abstract
1. Introduction
2. Materials and Methods
2.1. Flow
2.2. Fibers
- an interpolation of the flow velocity components and velocity gradients at the center of gravity of each rod-like element of the fiber to determine the force and the torques exerted by the surrounding fluid on the element, which we calculated using fourth order polynomials;
- the resolution of a tridiagonal block-matrix system to determine the constraint forces on each element over all the tracked fibers (chains);
- time integration of the kinematic equations of each element of each fiber, which perform using a second order Adams–Bashforth scheme to determine the position and the orientation of the element itself;
- detection of collisions between a given element of the fiber and the walls, modelled as an elastic impact with unitary restitution coefficient, in which the sign of the wall-normal velocity of the element is changed;
- verification of the accuracy of the time integration with special regards towards the accumulation of numerical error between constrained elements and correction.
2.3. Two-Way Coupling
2.4. Implementation
2.5. Validation
3. Results
3.1. Summary of the Simulations
3.2. Flow Visualization
3.3. Mean Velocity Profiles
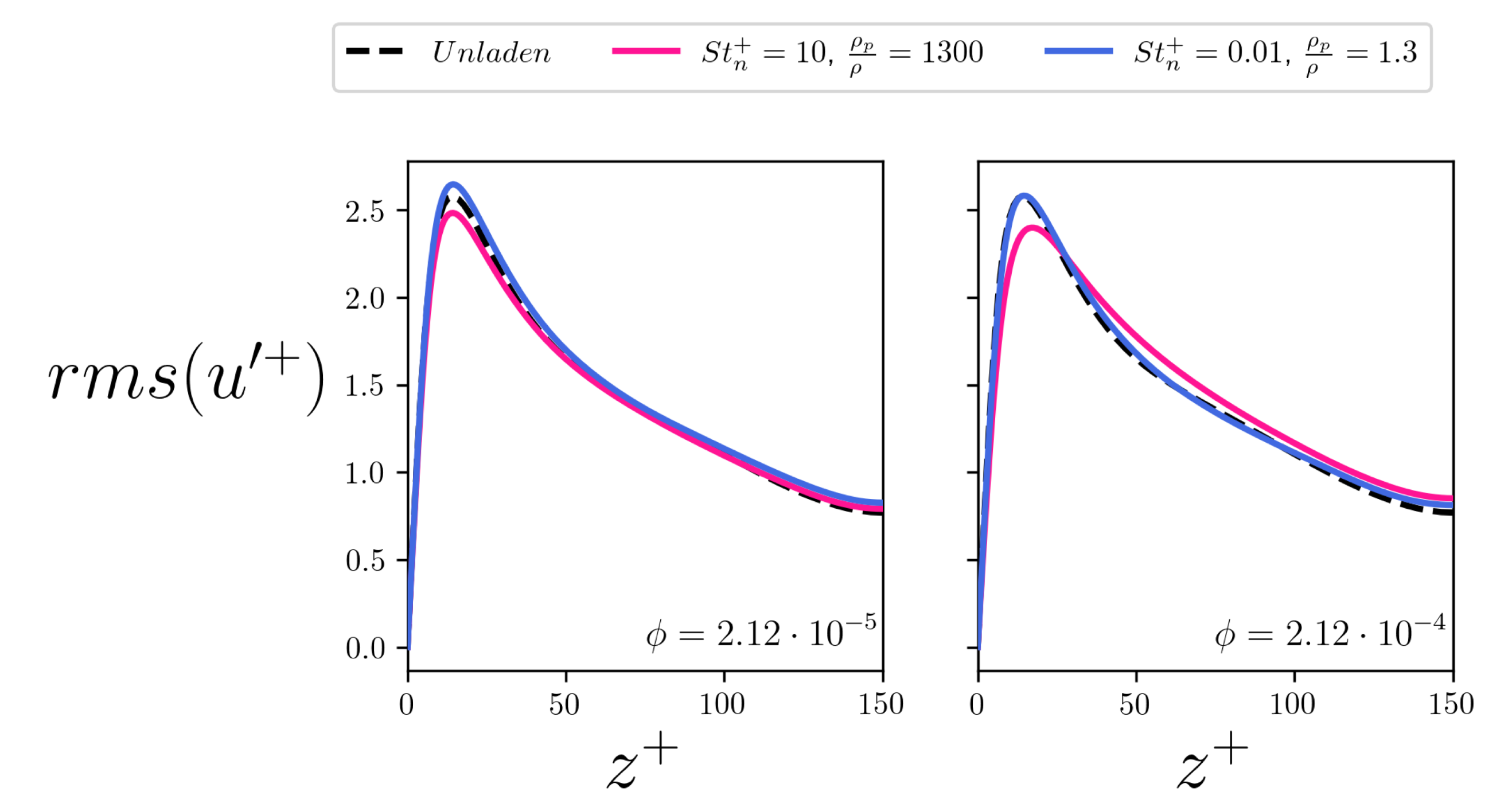
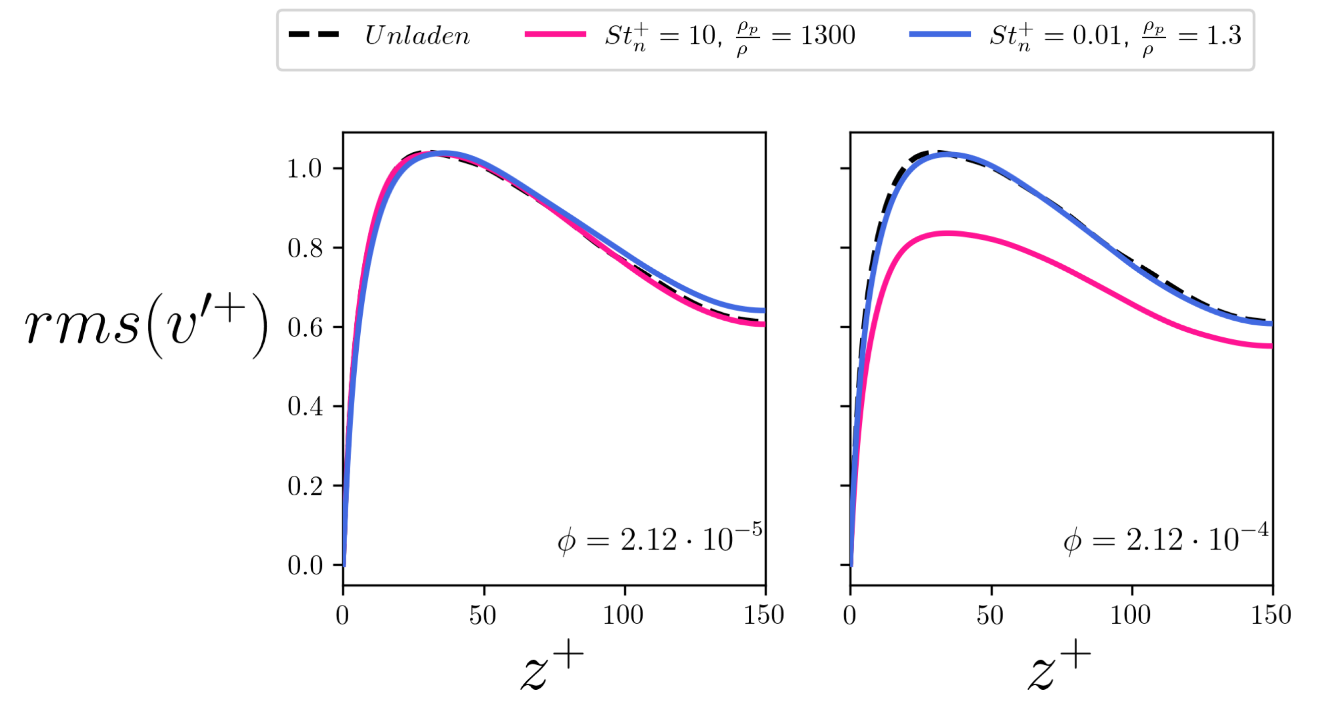
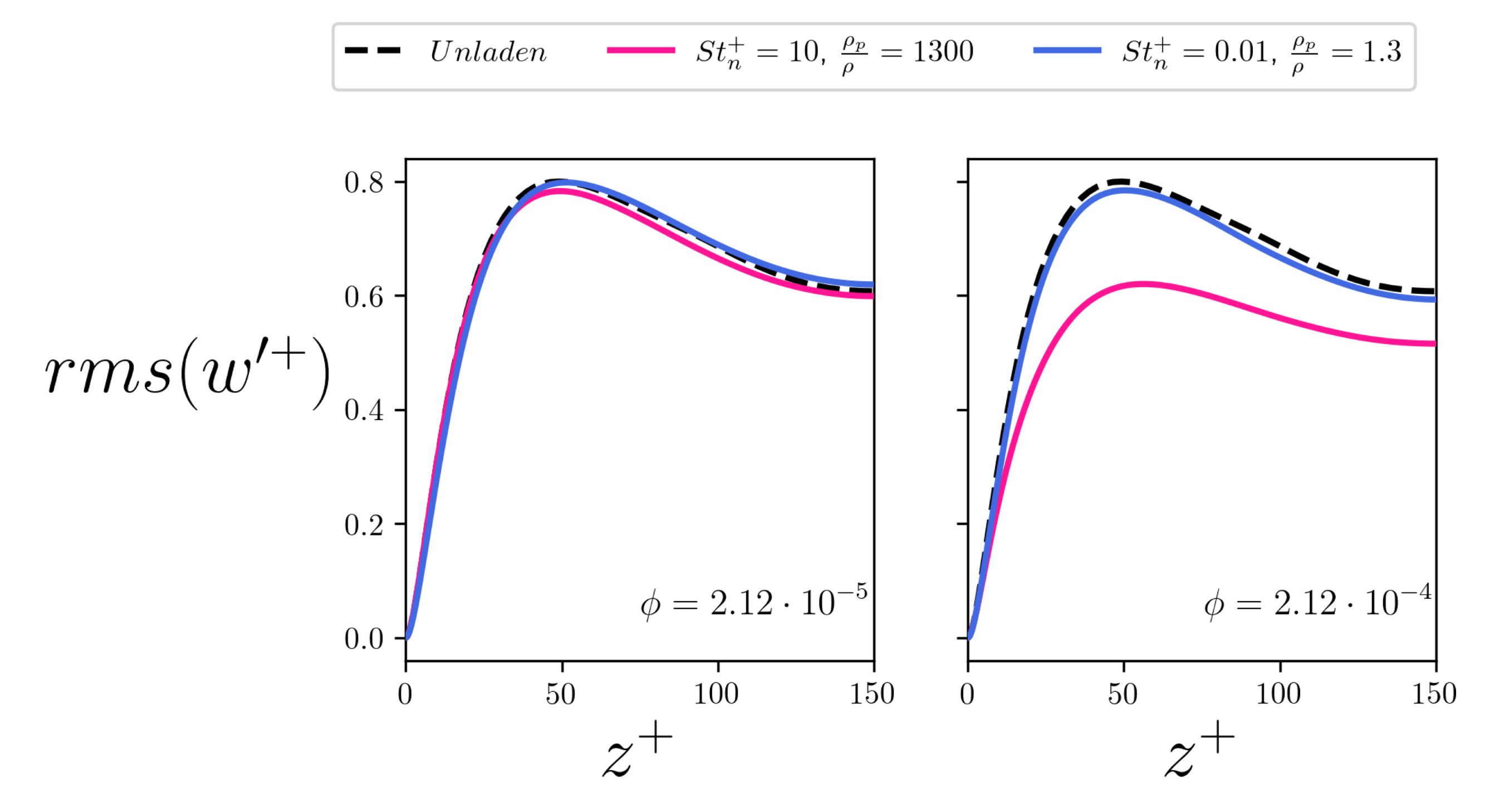
3.4. Root Mean Square Profiles of the Velocities
3.5. Axial Momentum Balance
3.6. Particle Stresses
4. Conclusions
Author Contributions
Funding
Data Availability Statement
Acknowledgments
Conflicts of Interest
Nomenclature
| Drag-reduction percentage | |
| Mean velocity component | |
| Epurated axial pressure gradient | |
| Flow vorticity | |
| Angle between the rigid fiber orientation vector and the velocity gradient direction in a viscous shear flow | |
| Generic particle stress component given by the ith force component over the jth direction | |
| Generic stress component | |
| Length of the turbulent channel flow over th ith direction | |
| Root Mean Square of a variable | |
| Fluctuating velocity component | |
| Identity matrix | |
| Inertia-tensor of any rod element | |
| Shear rate of the viscous shear flow | |
| ℓ | Half-length of any rod element |
| Regularization time-scale of the ERPP method | |
| Aspect ratio of any rod element | |
| Aspect ratio of a full chain of rods | |
| Rod element rotational velocity | |
| Drag Force experienced by the nth rod element of any fiber | |
| Two-way coupling Eulerian force | |
| Hydrodynamic torque on the nth rod element due to the flow velocity gradient | |
| Rod element orientation | |
| Rod element position | |
| Hydrodynamic torque on the nth rod element due to the relative spin between particle and flow | |
| Flow velocity vector at a given Eulerian coordinate | |
| Rod element linear velocity | |
| Eulerian coordinate vector in the absolute frame of reference | |
| Constrain force between the th and the nth rod elements of any fiber | |
| Constrain momentum between the th and the nth rod elements of any fiber | |
| Fluid viscosity | |
| ∇ | Gradient |
| Fluid kinematic viscosity | |
| ∂ | Partial derivative |
| Volume fraction of the fibers | |
| Fluid density | |
| Density of any rod element | |
| Regularization length-scale of the ERPP method | |
| Characteristic response time of the flow at the wall | |
| Response time of any rod element | |
| a | Radius of any rod element |
| Grid spacing in the homogeneous directions | |
| time-step | |
| Maximum grid spacing in the non-homogeneous direction | |
| Minimum grid spacing in the non-homogeneous direction | |
| Young’s Modulus of the rod elements | |
| g | Gaussian function of the ERPP method |
| h | Channel Half-height |
| L | Length of any stretched fiber |
| Mass of any rod element | |
| Number of grid-points in the three coordinates (x,y,z) | |
| Total number of dispersed rods | |
| P | Equivalent pressure gradient |
| Parts Per Million concentration of fibers in weight | |
| Shear Reynolds number | |
| Stokes number | |
| T | Period of a fiber in viscous shear flow |
| t | Time |
| Shear velocity | |
| Volume of the turbulent channel flow | |
| Volume of any rod |
References
- Lundell, F.; Söderberg, L.D.; Alfredsson, P.H. Fluid mechanics of papermaking. Ann. Rev. Fluid Mech. 2011, 43, 195–217. [Google Scholar] [CrossRef]
- Atugoda, T.; Vithanage, M.; Wijesekara, H.; Bolan, N.; Sarmah, A.K.; Bank, M.S.; You, S.; Ok, Y.S. Interactions between microplastics, pharmaceuticals and personal care products: Implications for vector transport. Environ. Int. 2021, 149, 106367. [Google Scholar] [CrossRef] [PubMed]
- Wang, Y.; Zhao, L.; Otto, A.; Robinius, M.; Stolten, D. A review of post-combustion CO2 capture technologies from coal-fired power plants. Energy Procedia 2017, 114, 650–665. [Google Scholar] [CrossRef]
- Campolo, M.; Marchioli, C. Drag Reduction in Turbulent Flows by Polymer and Fiber Additives. KONA Powder Part. J. 2021, 38, 64–81. [Google Scholar]
- Voth, G.A.; Soldati, A. Anisotropic particles in turbulence. Ann. Rev. Fluid Mech. 2017, 49, 249–276. [Google Scholar] [CrossRef]
- Zhao, L.; Marchioli, C.; Andersson, H.I. Slip velocity of rigid fibers in turbulent channel flow. Phys. Fluids 2014, 26, 063302. [Google Scholar] [CrossRef]
- Marchioli, C.; Zhao, L.; Andersson, H.I. On the relative rotational motion between rigid fibers and fluid inturbulent channel flow. Phys. Fluids 2016, 28, 013301. [Google Scholar] [CrossRef]
- Qiu, J.; Marchioli, C.; Andersson, H.I.; Zhao, L. Settling tracer spheroids in vertical turbulent channel flows. Int. J. Multiphase Flow 2019, 118, 173–182. [Google Scholar] [CrossRef]
- Saccone, D.; Marchioli, C.; De Marchis, M. Effect of roughness on elongated particles in turbulent channel flow. Int. J. Multiphase Flow 2022, 152, 104065. [Google Scholar] [CrossRef]
- Forrest, F.; Grierson, G.A. Friction losses in cast iron pipe carrying paper stock. Pap. Trade J. 1931, 92, 39–41. [Google Scholar]
- Toms, B.A. Some observations on the flow of linear polymer solutions through straight tubes at large Reynolds numbers. Proc. First Int. Congr. Rheol. 1948, 2, 135–141. [Google Scholar]
- Wang, Y.; Yu, B.; Zakin, J.L.; Shi, H. Review on drag reduction and its heat transfer by additives. Adv. Mech. Eng. 2011, 3, 478749. [Google Scholar] [CrossRef]
- Metzner, A.B.; Park, M.G. Turbulent flow characteristics of viscoelastic fluids. J. Fluid Mech. 1964, 20, 291–303. [Google Scholar] [CrossRef]
- Gadd, G.E. Turbulence damping and drag reduction produced by certain additives in water. Nature 1965, 206, 463–467. [Google Scholar] [CrossRef]
- Hoyt, J.W. Turbulent Flow of Drag-Reducing Suspensions; National Technical Information Service: Springfield, VA, USA, 1972. [Google Scholar]
- Virk, P.S. Drag Reduction Fundamentals. AIChE J. 1975, 21, 625–656. [Google Scholar] [CrossRef]
- Vaseleski, R.C.; Metzner, A.B. Drag Reduction in the Turbulent Flow of Fiber Suspensions. J. Fluid Mech. 1970, 44, 419–440. [Google Scholar] [CrossRef]
- Radin, I.; Zakin, J.L.; Patterson, G.K. Drag Reduction in Solid-Fluid Systems. AIChE J. 1975, 21, 358–371. [Google Scholar] [CrossRef]
- Lee, P.F.W.; Duffy, G.G. Relationship between velocity profiles and drag reduction in turbulent fiber suspension flow. AIChE J. 1976, 22, 750–753. [Google Scholar] [CrossRef]
- Sharma, R.S. Drag reduction by fibers. Can. J. Chem. Eng. 1981, 59, 3–13. [Google Scholar] [CrossRef]
- Lee, W.K.; Vaseleski, R.C.; Metzner, A.B. Turbulent Drag Reduction in Polymeric Solutions Containing Suspended Fibers. AIChE J. 1974, 20, 128–173. [Google Scholar] [CrossRef]
- Paschkewitz, J.S.; Dubief, Y.; Dimitropoulos, C.D.; Shaqfeh, E.S.; Moin, P. Numerical simulation of turbulent drag reduction using rigid fibers. J. Fluid Mech. 2004, 518, 281–317. [Google Scholar] [CrossRef]
- Gillissen, J.J.J.; Boersma, B.J.; Mortensen, P.H.; Andersson, H.I. Fiber-induced drag reduction. J. Fluid Mech. 2008, 602, 209–218. [Google Scholar] [CrossRef]
- Moosaie, A.; Manhart, M. Direct Monte Carlo simulation of turbulent drag reduction by rigid fibers in a channel flow. Acta Mech. 2013, 224, 2385–2413. [Google Scholar] [CrossRef]
- Wang, Z.; Xu, C.X.; Zhao, L. Turbulence modulations and drag reduction by inertialess spheroids in turbulent channel flow. Phys. Fluids 2021, 33, 123313. [Google Scholar] [CrossRef]
- Gualtieri, P.; Picano, F.; Sardina, G.; Casciola, C. Exact regularized point particle method for multiphase flows in the two-way coupling regime. J. Fluid Mech. 2015, 773, 520–561. [Google Scholar] [CrossRef]
- Dotto, D.; Soldati, A.; Marchioli, C. Deformation of flexible fibers in turbulent channel flow. Meccanica 2019, 55, 343–356. [Google Scholar] [CrossRef]
- Yamamoto, S.; Matsuoka, T. A method for dynamic simulation of rigid and flexible fibers in a flow field. J. Chem. Phys. 1993, 98, 644–650. [Google Scholar] [CrossRef]
- Lindstrom, S.; Uesaka, T. Simulation of the motion of flexible fibers in viscous fluid flow. Phys. Fluids 2007, 98, 644–650. [Google Scholar] [CrossRef]
- Andric, J.; Lindström, S.; Sasic, S. A study of a flexible fiber model and its behavior in DNS of turbulent channel flow. Acta Mech. 2013, 224, 2359–2374. [Google Scholar] [CrossRef][Green Version]
- Pope, S.B.L. Turbulent Flows; Cambridge University Press: Cambridge, UK, 2000. [Google Scholar]
- Shin, M.; Koch, D.L. Rotational and translational dispersion of fibres in isotropic turbulent flows. J. Fluid Mech. 2005, 540, 143–173. [Google Scholar] [CrossRef]
- Canuto, C.; Hussaini, M.Y.; Quarteroni, A.; Zang, T.A. Spectral Methods; Springer: Berlin, Germany, 2006. [Google Scholar]
- Jeffery, G.B. The Motion of Ellipsoidal Particles Immersed in a Viscous Fluid. Proc. R. Soc. Lond. Ser. A 1922, 1, 161–179. [Google Scholar]
- Cox, R.G. The motion of long slender bodies in a viscous fluid. Part 2. Shear flow. J. Fluid Mech. 1971, 45, 625–657. [Google Scholar] [CrossRef]
- Kim, S.; Karrila, S.J.L. Microhydrodynamics Principles and Selected Applications; Brenner, H., Ed.; Butterworth-Heinemann: Oxford, UK, 1991. [Google Scholar]
- Delmotte, B.; Climent, E.; Plouraboué, F. A general formulation of Bead Models applied to flexible fibers and active filaments at low Reynolds number. J. Comput. Phys. 2015, 286, 14–37. [Google Scholar] [CrossRef]
- Squires, K.D.; Eaton, J.K. Particle response and turbulence modification in isotropic turbulence. Phys. Fluids. 1990, 2, 1191–1203. [Google Scholar] [CrossRef]
- Gillissen, J.J.J.; Boersma, B.J.; Mortensen, P.H.; Andersson, H.I. The stress generated by non-Brownian fibers in turbulent channel flow simulations. Phys. Fluids 2007, 19, 115107. [Google Scholar] [CrossRef]
- Battista, F.; Mollicone, J.; Gualtieri, P.; Messina, R.; Casciola, C. Exact regularised point particle (ERPP) method for particle-laden wall-bounded flows in the two-way coupling regime. J. Fluid Mech. 2019, 878, 420–444. [Google Scholar] [CrossRef]
- Cheng, J.; Grossman, M.; McKercher, T. Professional CUDA C Programming; John Wiley & Sons: Hoboken, NJ, USA, 2014. [Google Scholar]
- Dotto, D.; Marchioli, C. Orientation, distribution, and deformation of inertial flexible fibers in turbulent channel flow. Acta Mech. 2019, 230, 597–621. [Google Scholar] [CrossRef]
- Shaik, S.; Kuperman, S.; Rinsky, V.; van Hout, R. Measurements of length effects on the dynamics of rigid fibers in a turbulent channel flow. Phys. Rev. Fluids 2020, 11, 114309. [Google Scholar] [CrossRef]
- Li, X. Turbulent drag reduction by polymer additives: Fundamentals and recent advances. Phys. Fluids 2019, 31, 121302. [Google Scholar]




















Publisher’s Note: MDPI stays neutral with regard to jurisdictional claims in published maps and institutional affiliations. |
© 2022 by the authors. Licensee MDPI, Basel, Switzerland. This article is an open access article distributed under the terms and conditions of the Creative Commons Attribution (CC BY) license (https://creativecommons.org/licenses/by/4.0/).
Share and Cite
Di Giusto, D.; Marchioli, C. Turbulence Modulation by Slender Fibers. Fluids 2022, 7, 255. https://doi.org/10.3390/fluids7080255
Di Giusto D, Marchioli C. Turbulence Modulation by Slender Fibers. Fluids. 2022; 7(8):255. https://doi.org/10.3390/fluids7080255
Chicago/Turabian StyleDi Giusto, Davide, and Cristian Marchioli. 2022. "Turbulence Modulation by Slender Fibers" Fluids 7, no. 8: 255. https://doi.org/10.3390/fluids7080255
APA StyleDi Giusto, D., & Marchioli, C. (2022). Turbulence Modulation by Slender Fibers. Fluids, 7(8), 255. https://doi.org/10.3390/fluids7080255

