Calibration and Verification of Operation Parameters for an Array of Vectrino Profilers Configured for Turbulent Flow Field Measurement around Bridge Piers—Part I
Abstract
:1. Introduction
2. Methodology
3. Results and Discussion
3.1. Calibration
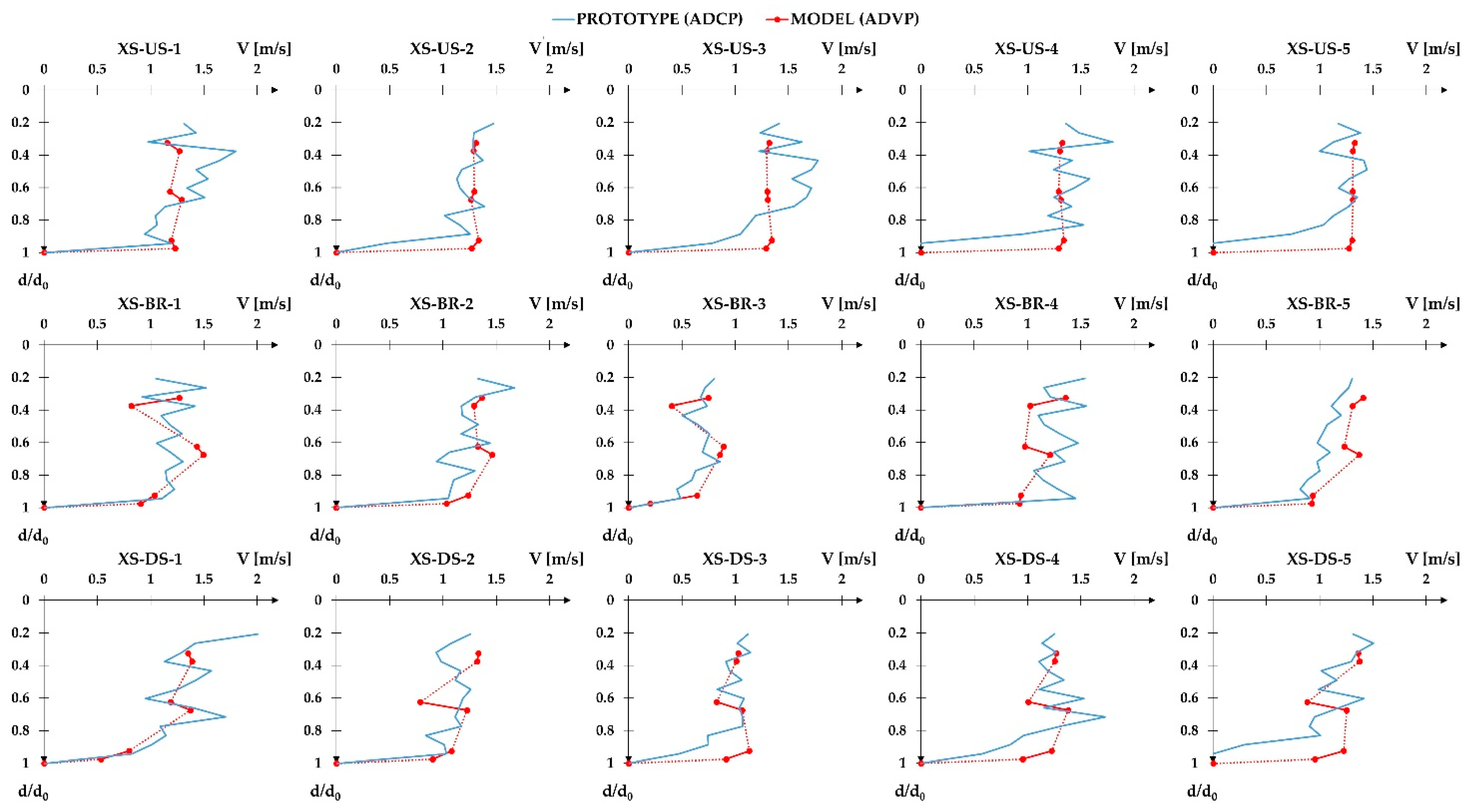
3.2. Verification
4. Conclusions
Author Contributions
Funding
Institutional Review Board Statement
Informed Consent Statement
Data Availability Statement
Conflicts of Interest
References
- Uotani, T.; Kanda, K.; Michioku, K. Experimental and numerical study on hydrodynamics of riparian vegetation. J. Hydrodyn. Ser. B 2014, 26, 796–806. [Google Scholar] [CrossRef]
- Petrie, J.; Diplas, P.; Gutierrez, M.; Nam, S. Characterizing the mean flow field in rivers for resource and environmental impact assessments of hydrokinetic energy generation sites. Renew. Energy 2014, 69, 393–401. [Google Scholar] [CrossRef]
- Togneri, M.; Lewis, M.; Neill, S.; Masters, I. Comparison of ADCP observations and 3D model simulations of turbulence at a tidal energy site. Renew. Energy 2017, 114, 273–282. [Google Scholar] [CrossRef]
- de Verneil, A.; Rousselet, L.; Doglioli, A.M.; Petrenko, A.A.; Maes, C.; Bouruet-Aubertot, P.; Moutin, T. OUTPACE long duration stations: Physical variability, context of biogeochemical sampling, and evaluation of sampling strategy. Biogeosciences 2018, 15, 2125–2147. [Google Scholar] [CrossRef]
- Dominguez Ruben, L.G.; Szupiany, R.N.; Latosinski, F.G.; López Weibel, C.; Wood, M.; Boldt, J. Acoustic Sediment Estimation Toolbox (ASET): A software package for calibrating and processing TRDI ADCP data to compute suspended-sediment transport in sandy rivers. Comput. Geosci. 2020, 140, 104499. [Google Scholar] [CrossRef]
- Li, K.; Tang, H.; Yuan, S.; Xiao, Y.; Xu, L.; Huang, S.; Rennie, C.D.; Gualtieri, C. A field study of near-junction-apex flow at a large river confluence and its response to the effects of floodplain flow. J. Hydrol. 2022, 610, 127983. [Google Scholar] [CrossRef]
- Carroll, R.W.H.; Warwick, J.J.; James, A.I.; Miller, J.R. Modeling erosion and overbank deposition during extreme flood conditions on the Carson River, Nevada. J. Hydrol. 2004, 297, 1–21. [Google Scholar] [CrossRef]
- Ottevanger, W.; Blanckaert, K.; Uijttewaal, W.S.J. Processes governing the flow redistribution in sharp river bends. Geomorphology 2012, 163, 45–55. [Google Scholar] [CrossRef]
- Bombar, G.; Cardoso, A.H. Effect of the sediment discharge on the equilibrium bed morphology of movable bed open-channel confluences. Geomorphology 2020, 367, 107329. [Google Scholar] [CrossRef]
- Parsons, D.R.; Jackson, P.R.; Czuba, J.A.; Engel, F.L.; Rhoads, B.L.; Oberg, K.A.; Best, J.L.; Mueller, D.S.; Johnson, K.K.; Riley, J.D. Velocity Mapping Toolbox (VMT): A processing and visualization suite for moving-vessel ADCP measurements. Earth Surf. Processes Landf. 2013, 38, 1244–1260. [Google Scholar] [CrossRef]
- Moore, S.A.; Le Coz, J.; Hurther, D.; Paquier, A. On the application of horizontal ADCPs to suspended sediment transport surveys in rivers. Cont. Shelf Res. 2012, 46, 50–63. [Google Scholar] [CrossRef]
- Mercier, P.; Thiébaut, M.; Guillou, S.; Maisondieu, C.; Poizot, E.; Pieterse, A.; Thiébot, J.; Filipot, J.-F.; Grondeau, M. Turbulence measurements: An assessment of Acoustic Doppler Current Profiler accuracy in rough environment. Ocean. Eng. 2021, 226, 108819. [Google Scholar] [CrossRef]
- Miller, C.T.; Dawson, C.N.; Farthing, M.W.; Hou, T.Y.; Huang, J.; Kees, C.E.; Kelley, C.T.; Langtangen, H.P. Numerical simulation of water resources problems: Models, methods, and trends. Adv. Water Resour. 2013, 51, 405–437. [Google Scholar] [CrossRef]
- Pham Van, C.; Deleersnijder, E.; Bousmar, D.; Soares-Frazão, S. Simulation of flow in compound open-channel using a discontinuous Galerkin finite-element method with Smagorinsky turbulence closure. J. Hydro-Environ. Res. 2014, 8, 396–409. [Google Scholar] [CrossRef]
- Peruzzi, C.; Poggi, D.; Ridolfi, L.; Manes, C. On the scaling of large-scale structures in smooth-bed turbulent open-channel flows. J. Fluid Mech. 2020, 889, A1. [Google Scholar] [CrossRef]
- Ali, S.Z.; Dey, S. Origin of the scaling laws of sediment transport. Proceedings of the Royal Society A: Mathematical. Phys. Eng. Sci. 2017, 473, 20160785. [Google Scholar] [CrossRef]
- Valyrakis, M.; Latessa, G.; Koursari, E.; Cheng, M. Floodopoly: Enhancing the Learning Experience of Students in Water Engineering Courses. Fluids 2020, 5, 21. [Google Scholar] [CrossRef]
- García, C.M.; Cantero, M.I.; Niño, Y.; García, M.H. Acoustic Doppler Velocimeters (ADV) Performance Curves (APCs) Sampling the Flow Turbulence. In Proceedings of the World Water and Environmental Resources Congress, Salt Lake City, GA, USA, 27 June–1 July 2004. [Google Scholar] [CrossRef]
- Scharnowski, S.; Bross, M.; Kähler, C.J. Accurate turbulence level estimations using PIV/PTV. Exp. Fluids 2018, 60, 1. [Google Scholar] [CrossRef]
- Thomas, R.E.; Schindfessel, L.; McLelland, S.J.; Creëlle, S.; De Mulder, T. Bias in mean velocities and noise in variances and covariances measured using a multistatic acoustic profiler: The Nortek Vectrino Profiler. Meas. Sci. Technol. 2017, 28, 075302. [Google Scholar] [CrossRef]
- Leng, X.; Chanson, H. Unsteady velocity profiling in bores and positive surges. Flow Meas. Instrum. 2017, 54, 136–145. [Google Scholar] [CrossRef]
- Baghalian, S.; Ghodsian, M. Experimental study on the effects of artificial bed roughness on turbidity currents over abrupt bed slope change. Int. J. Sediment Res. 2020, 35, 256–268. [Google Scholar] [CrossRef]
- Wang, X.Y.; Yang, Q.Y.; Lu, W.Z.; Wang, X.K. Experimental study of near-wall turbulent characteristics in an open-channel with gravel bed using an acoustic Doppler velocimeter. Exp. Fluids 2012, 52, 85–94. [Google Scholar] [CrossRef]
- Gilja, G.; Ocvirk, E.; Fliszar, R. Experimental Investigation of the Reynolds Shear Stress Exceedance Rate for the Injury and Disorientation Biocriteria Boundary in the Pool-Orifice and Vertical Slot Type Fishways. Appl. Sci. 2021, 11, 7708. [Google Scholar] [CrossRef]
- Gilja, G.; Ocvirk, E.; Cikojević, A. Experimental investigation of flow field in a physical fishway model. In Proceedings of the 16th International symposium Water Management & Hydraulic Engineering WMHE 2019, Skopje, North Macedonia, 5–7 September 2019. [Google Scholar]
- Caroppi, G.; Västilä, K.; Gualtieri, P.; Järvelä, J.; Giugni, M.; Rowiński, P.M. Acoustic Doppler velocimetry (ADV) data on flow-vegetation interaction with natural-like and rigid model plants in hydraulic flumes. Data Brief 2020, 32, 106080. [Google Scholar] [CrossRef] [PubMed]
- Sarker, M.A. Flow measurement around scoured bridge piers using Acoustic-Doppler Velocimeter (ADV). Flow Meas. Instrum. 1998, 9, 217–227. [Google Scholar] [CrossRef]
- Maity, H.; Mazumder, B.S. Prediction of plane-wise turbulent events to the Reynolds stress in a flow over scour-bed. Environmetrics 2017, 28, e2442. [Google Scholar] [CrossRef]
- Canilho, H.; Santos, C.; Taborda, C.; Falorca, I.; Fael, C. Measurements of suspended ashes concentration in turbulent flow with acoustic doppler velocimeter. Flow Meas. Instrum. 2022, 87, 102207. [Google Scholar] [CrossRef]
- Chmiel, O.; Baselt, I.; Malcherek, A. Applicability of Acoustic Concentration Measurements in Suspensions of Artificial and Natural Sediments Using an Acoustic Doppler Velocimeter. Acoustics 2019, 1, 6. [Google Scholar] [CrossRef]
- Mosquera, R.; Pedocchi, F. Salinity estimation from Acoustic Doppler Velocimeter measurements. Cont. Shelf Res. 2019, 180, 59–62. [Google Scholar] [CrossRef]
- Zedel, L.; Hay, A. Turbulence measurements in a jet: Comparing the Vectrino and Vectrino II. In Proceedings of the IEEE/OES Tenth Working Conference on Current, Waves and Turbulence Measurement, Monterey, CA, USA, 20–23 March 2011. [Google Scholar]
- Voulgaris, G.; Trowbridge, J.H. Evaluation of the Acoustic Doppler Velocimeter (ADV) for Turbulence Measurements. J. Atmos. Ocean. Technol. 1998, 15, 272–289. [Google Scholar] [CrossRef]
- Craig, R.G.A.; Loadman, C.; Clement, B.; Rusello, P.J.; Siegel, E. Characterization and testing of a new bistatic profiling acoustic Doppler velocimeter: The Vectrino-II. In Proceedings of the IEEE/OES Tenth Working Conference on Current, Waves and Turbulence Measurement, Monterey, CA, USA, 20–23 March 2011. [Google Scholar]
- Lacey, J.; Duguay, J.; MacVicar, B. Comparison of velocity and turbulence profiles obtained with a Vectrino Profiler and PIV. E3S Web Conf. 2018, 40, 05070. [Google Scholar] [CrossRef]
- Ruonan, B.; Liekai, C.; Xingkui, W.; Danxun, L. Comparison of ADV and PIV Measurements in Open Channel Flows. Procedia Eng. 2016, 154, 995–1001. [Google Scholar] [CrossRef]
- Koca, K.; Noss, C.; Anlanger, C.; Brand, A.; Lorke, A. Performance of the Vectrino Profiler at the sediment–water interface. J. Hydraul. Res. 2017, 55, 573–581. [Google Scholar] [CrossRef]
- Jourdain de Thieulloy, M.; Dorward, M.; Old, C.; Gabl, R.; Davey, T.; Ingram, D.M.; Sellar, B.G. On the Use of a Single Beam Acoustic Current Profiler for Multi-Point Velocity Measurement in a Wave and Current Basin. Sensors 2020, 20, 3881. [Google Scholar] [CrossRef] [PubMed]
- Stone, M.C.; Hotchkiss, R.H. Evaluating velocity measurement techniques in shallow streams. J. Hydraul. Res. 2007, 45, 752–762. [Google Scholar] [CrossRef]
- Nidzieko, N.J.; Fong, D.A.; Hench, J.L. Comparison of Reynolds Stress Estimates Derived from Standard and Fast-Ping ADCPs. J. Atmos. Ocean. Technol. 2005, 23, 854–861. [Google Scholar] [CrossRef]
- Nystrom Elizabeth, A.; Rehmann Chris, R.; Oberg Kevin, A. Evaluation of Mean Velocity and Turbulence Measurements with ADCPs. J. Hydraul. Eng. 2007, 133, 1310–1318. [Google Scholar] [CrossRef]
- Harasti, A.; Gilja, G.; Potočki, K.; Lacko, M. Scour at Bridge Piers Protected by the Riprap Sloping Structure: A Review. Water 2021, 13, 3606. [Google Scholar] [CrossRef]
- Gilja, G.; Cikojević, A.; Potočki, K.; Varga, M.; Adžaga, N. Remote Real-time Riprap Protection Erosion AssessmenT on large rivers. In Proceedings of the EGU General Assembly 2020, Wien, Austria, 4–8 May 2020. [Google Scholar] [CrossRef]
- Gilja, G.; Bekić, D.; Kuspilić, N. Comparison of flow velocity vectors collected by using RTK-GPS and bottom-tracking as a reference on a boat mounted ADCP. In Current Events in Hydraulic Engineering; Sawicki, J.M., Zima, P., Eds.; Gdansk University of Technology: Gdansk, Poland, 2011; pp. 123–135. [Google Scholar]
- Gilja, G.; Kuspilić, N. Modeling of long-term sedimentation in the Osijek port basin. In Proceedings of the 14th International Symposium on Water Management and Hydraulic Engineering, Brno, Czech Republic, 8–10 September 2015. [Google Scholar]
- Tabarestani, M.K.; Salamatian, S.A. Physical modelling of local scour around bridge pier. Malays. J. Civ. Eng. 2016, 28, 349–364. [Google Scholar]
- Waldron, R.L. Physical Modeling of Flow and Sediment Transport Using Distorted Scale Modeling. Master’s Thesis, Tulane University, New Orleans, LA, USA, May 2008. [Google Scholar]
- Sutherland, J.; Soulsby, R.L. Guidelines for physical modelling of mobile sediments. In Proceedings of the Third International Conference on the Application of Physical Modelling to Port and Coastal Protection, Barcelona, Spain, 28 September–1 October 2010. [Google Scholar]
- Link, O.; Henríquez, S.; Ettmer, B. Physical scale modelling of scour around bridge piers. J. Hydraul. Res. 2019, 57, 227–237. [Google Scholar] [CrossRef]
- Kirkegaard, J.; Wolters, G.; Sutherland, J.; Soulsby, R.; Frostick, L.; McLelland, S.; Mercer, T.; Gerritsen, H. Users Guide to Physical Modelling and Experimentation, 1st ed.; CRC Press: London, UK, 2011; p. 272. [Google Scholar]
- Thomas, R.E.; McLelland, S.J. The impact of macroalgae on mean and turbulent flow fields. J. Hydrodyn. Ser. B 2015, 27, 427–435. [Google Scholar] [CrossRef]
- Fliszar, R.; Gilja, G.; Harasti, A.; Potočki, K. Scaling approach for physical modelling of pier scour. In Proceedings of the EGU General Assembly 2021, Wien, Austria, 19–30 April 2021. [Google Scholar] [CrossRef]
- Bagherimiyab, F.; Lemmin, U. Large-scale coherent flow structures in rough-bed open-channel flow observed in fluctuations of three-dimensional velocity, skin friction and bed pressure. J. Hydraul. Res. 2018, 56, 806–824. [Google Scholar] [CrossRef]
- Hurther, D.; Lemmin, U. A Correction Method for Turbulence Measurements with a 3D Acoustic Doppler Velocity Profiler. J. Atmos. Ocean. Technol. 2001, 18, 446–458. [Google Scholar] [CrossRef]
- Graf, W.H.; Istiarto, I. Flow pattern in the scour hole around a cylinder. J. Hydraul. Res. 2002, 40, 13–20. [Google Scholar] [CrossRef]
- Duma, D.; Erpicum, S.; Archambeau, P.; Pirotton, M.; Dewals, B. Velocity and Turbulence Measurements for Assessing the Stability of Riverbeds: A Comparison between UVP and ADVP. In Proceedings of the 11th International Conference on Hydroscience & Engineering ICHE 2014, Hamburg, Germany, 28 September–2 October 2014; pp. 539–544. [Google Scholar]
- Kurniawan, A.; Altinakar, M.S. Velocity and turbulence measurements in a scour hole using an Acoustic Doppler Velocity Profiler. In Proceedings of the Third International Symposium on Ultrasonic Doppler Methods for Fluid Mechanics and Fluid Engineering 3rd ISUD, Lausanne, Switzerland, 9–11 September 2002; pp. 37–43. [Google Scholar]
- Groom, J.; Friedrich, H. Spatial structure of near-bed flow properties at the grain scale. Geomorphology 2019, 327, 14–27. [Google Scholar] [CrossRef]
- Meral, R.; Degirmenci, H.; Gençoglan, C.; Akyüz, A.; Sesveren, S. Measuring Water Flow Velocity and Discharge with Acoustic Doppler Velocimeter (ADV). In Proceedings of the International Meeting on Soil Fertility Land Management and Agroclimatology, Urfa, Turkey, 29–31 October 2008. [Google Scholar]
- Rehman, K.; Hong, S.H. Influence of lateral flow contraction on bed shear stress estimation by using measured turbulent kinetic energy. Exp. Therm. Fluid Sci. 2022, 139, 110742. [Google Scholar] [CrossRef]
- Ribeiro, Á.S.; Alves e Sousa, J.; Simões, C.; Lages Martins, L.; Dias, L.; Mendes, R.; Martins, C. Parshall flumes flow rate uncertainty including contributions of the model parameters and correlation effects. Meas. Sens. 2021, 18, 100108. [Google Scholar] [CrossRef]
- Chrisohoides, A.; Sotiropoulos, F.; Sturm Terry, W. Coherent Structures in Flat-Bed Abutment Flow: Computational Fluid Dynamics Simulations and Experiments. J. Hydraul. Eng. 2003, 129, 177–186. [Google Scholar] [CrossRef]
- Goring, D.G.; Nikora, V.I. Despiking Acoustic Doppler Velocimeter Data. J. Hydraul. Eng. 2002, 128, 117–126. [Google Scholar] [CrossRef]
- Wahl, T.L. “Discussion of Despiking Acoustic Doppler Velocimeter Data” by Derek G. Goring and Vladimir I. Nikora. J. Hydraul. Eng. 2003, 129, 484–487. [Google Scholar] [CrossRef]
- Martin, V.; Fisher, T.S.R.; Millar, R.G.; Quick, M.C. ADV Data Analysis for Turbulent Flows: Low Correlation Problem. In Proceedings of the Hydraulic Measurements and Experimental Methods Specialty Conference, Estes Park, CO, USA, 28 July–1 August 2002. [Google Scholar]
- NORTEK. The Comprehensive Manual for Velocimeters; NORTEK AS: Rud, Norway, 2018; p. 119. [Google Scholar]
- Mueller, D.S.; Abad, J.D.; García, C.M.; Gartner, J.W.; García, M.H.; Oberg, K.A. Errors in Acoustic Doppler Profiler Velocity Measurements Caused by Flow Disturbance. J. Hydraul. Eng. 2007, 133, 1411–1420. [Google Scholar] [CrossRef]
- Gartner, J.W.; Ganju, N.K. A Preliminary Evaluation of Near-Transducer Velocities Collected with Low-Blank Acoustic Doppler Current Profiler. In Proceedings of the Hydraulic Measurements and Experimental Methods, Estes Park, CO, USA, 28 July–1 August 2002. [Google Scholar]
- Simpson, M.R. Discharge Measurements Using a Broad-Band Acoustic Doppler Current Profiler; U.S. Geological Survey: Sacramento, CA, USA, 2001; p. 40.
- Mueller, D.S.; Wagner, C.R. Measuring Discharge with Acoustic Doppler Current Profilers from a Moving Boat; U.S. Geological Survey: Reston, VA, USA, 2009; p. 72.
- Liu, D.; Al-Obaidi, K.; Valyrakis, M. The assessment of an Acoustic Doppler Velocimetry profiler from a user’s perspective. Acta Geophys. 2022. [Google Scholar] [CrossRef]









| Measurement | Date | Flow Rate [m3/s] | Mean Flow Velocity [m/s] | Water Level [m a.s.l.] | Hydraulic Radius [m] |
|---|---|---|---|---|---|
| m01 | 4th May 2011 | 388 | 0.73 | 80.86 | 3.38 |
| m02 | 10th June 2011 | 541 | 0.78 | 81.73 | 4.50 |
| m03 | 9th June 2021 | 790 | 0.84 | 83.07 | 6.18 |
| Configuration | Ping Algorithm | Cell Size [mm] | Transmit Pulse Size [mm] | Nominal Pump Flow Rate Q [L/s] | Flow Depth d0 [cm] | Experiment nr. |
|---|---|---|---|---|---|---|
| C1 | Max Interval | 1 | 1 | 20 | 30 | 1 |
| 20 | 9 | |||||
| ~50 | 30 | 17 | ||||
| 20 | 25 | |||||
| C2 | 4 | 20 | 30 | 2 | ||
| 20 | 10 | |||||
| ~50 | 30 | 18 | ||||
| 20 | 26 | |||||
| C3 | 4 | 1 | 20 | 30 | 3 | |
| 20 | 11 | |||||
| ~50 | 30 | 19 | ||||
| 20 | 27 | |||||
| C4 | 4 | 20 | 30 | 4 | ||
| 20 | 12 | |||||
| ~50 | 30 | 20 | ||||
| 20 | 28 | |||||
| C5 | Adaptive | 1 | 1 | 20 | 30 | 5 |
| 20 | 13 | |||||
| ~50 | 30 | 21 | ||||
| 20 | 29 | |||||
| C6 | 4 | 20 | 30 | 6 | ||
| 20 | 14 | |||||
| ~50 | 30 | 22 | ||||
| 20 | 30 | |||||
| C7 | 4 | 1 | 20 | 30 | 7 | |
| 20 | 15 | |||||
| ~50 | 30 | 23 | ||||
| 20 | 31 | |||||
| C8 | 4 | 20 | 30 | 8 | ||
| 20 | 16 | |||||
| ~50 | 30 | 24 | ||||
| 20 | 32 |
| Cross-Section | XS-US | XS-DS | ||||||
|---|---|---|---|---|---|---|---|---|
| Pump Flow Rate | 20 L/s | 46.5 L/s | 49 L/s | 20 L/s | 46.5 L/s | 46.1 L/s | ||
| Flow Depth | 20 cm | 30 cm | 20 cm | 30 cm | 20 cm | 30 cm | 20 cm | 30 cm |
| Configuration | Calculated Flow Rate [L/s] | |||||||
| C1 | 19.29 | 20.17 | 44.10 | 50.76 | 18.06 | 18.84 | 43.49 | 43.04 |
| C2 | 18.95 | 20.19 | 46.64 | 49.90 | 19.55 | 19.78 | 44.92 | 45.52 |
| C3 | 18.84 | 20.23 | 42.04 | 49.84 | 18.27 | 18.88 | 43.49 | 44.39 |
| C4 | 18.73 | 20.98 | 45.72 | 44.12 | 18.21 | 17.97 | 44.18 | 42.47 |
| C5 | 17.08 | 17.47 | 44.58 | 42.71 | 18.93 | 19.29 | 43.45 | 44.58 |
| C6 | 18.97 | 20.12 | 46.15 | 48.26 | 19.15 | 20.67 | 46.13 | 46.66 |
| C7 | 18.53 | 19.81 | 45.03 | 44.65 | 18.22 | 19.80 | 44.43 | 45.54 |
| C8 | 18.46 | 21.33 | 45.10 | 47.42 | 18.73 | 20.82 | 43.76 | 44.87 |
| Cross-Section | RMSE for Vertical Measurement Axis [m/s] | Average RMSE [m/s] | ||||
|---|---|---|---|---|---|---|
| 1 | 2 | 3 | 4 | 5 | ||
| XS-US | 0.147 | 0.083 | 0.186 | 0.153 | 0.132 | 0.140 |
| XS-BR | 0.186 | 0.063 | 0.134 | 0.174 | 0.165 | 0.144 |
| XS-DS | 0.167 | 0.184 | 0.090 | 0.130 | 0.128 | 0.140 |
Publisher’s Note: MDPI stays neutral with regard to jurisdictional claims in published maps and institutional affiliations. |
© 2022 by the authors. Licensee MDPI, Basel, Switzerland. This article is an open access article distributed under the terms and conditions of the Creative Commons Attribution (CC BY) license (https://creativecommons.org/licenses/by/4.0/).
Share and Cite
Gilja, G.; Fliszar, R.; Harasti, A.; Valyrakis, M. Calibration and Verification of Operation Parameters for an Array of Vectrino Profilers Configured for Turbulent Flow Field Measurement around Bridge Piers—Part I. Fluids 2022, 7, 315. https://doi.org/10.3390/fluids7100315
Gilja G, Fliszar R, Harasti A, Valyrakis M. Calibration and Verification of Operation Parameters for an Array of Vectrino Profilers Configured for Turbulent Flow Field Measurement around Bridge Piers—Part I. Fluids. 2022; 7(10):315. https://doi.org/10.3390/fluids7100315
Chicago/Turabian StyleGilja, Gordon, Robert Fliszar, Antonija Harasti, and Manousos Valyrakis. 2022. "Calibration and Verification of Operation Parameters for an Array of Vectrino Profilers Configured for Turbulent Flow Field Measurement around Bridge Piers—Part I" Fluids 7, no. 10: 315. https://doi.org/10.3390/fluids7100315
APA StyleGilja, G., Fliszar, R., Harasti, A., & Valyrakis, M. (2022). Calibration and Verification of Operation Parameters for an Array of Vectrino Profilers Configured for Turbulent Flow Field Measurement around Bridge Piers—Part I. Fluids, 7(10), 315. https://doi.org/10.3390/fluids7100315

