Heat Transfer Study of the Ferrofluid Flow in a Vertical Annular Cylindrical Duct under the Influence of a Transverse Magnetic Field
Abstract
1. Introduction
2. Mathematical Model
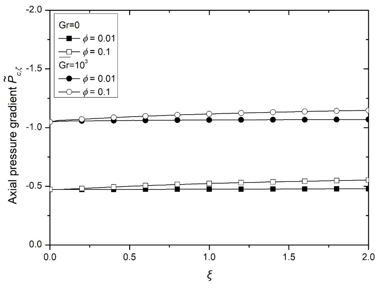
3. Results and Discussion
4. Conclusions
Author Contributions
Funding
Institutional Review Board Statement
Informed Consent Statement
Conflicts of Interest
References
- Berkovski, B.; Bashtovoy, V. Magnetic Fluids and Applications Handbook; Begell House: New York, NY, USA, 1996. [Google Scholar]
- Gandomkar, A.; Saidi, M.H.; Shafii, M.B.; Vandadi, M.; Kalan, K. Visualization and comparative investigations of pulsating ferro-fluid heat pipe. Appl. Therm. Eng. 2017, 116, 56–65. [Google Scholar] [CrossRef]
- Yamahata, C.; Chastellain, M.; Parashar, V.K.; Petri, A.; Hofmann, H.; Gijs, M.A.M. Plastic micropump with ferrofluidic actuation. J. Microelectromech. Syst. 2005, 14, 96–102. [Google Scholar] [CrossRef]
- Bezaatpour, M.; Rostamzadeh, H. Heat transfer enhancement of a fin-and-tube compact heat exchanger by employing magnetite ferrofluid flow and an external magnetic field. Appl. Therm. Eng. 2020, 164, 114462. [Google Scholar] [CrossRef]
- He, X.; Elborai, S.; Kim, D.; Lee, S.H.; Zahn, M. Effective magnetoviscosity of planar-Couette magnetic fluid flow. J. Appl. Phys. 2005, 97, 10Q302. [Google Scholar] [CrossRef]
- Rosensweig, R.E. Ferrohydrodynamics; Dover Publications: New York, NY, USA, 1997. [Google Scholar]
- Hatzikonstantinou, P.M.; Vafeas, P. A general theoretical model for the magnetohydrodynamic flow of micropolar magnetic fluids. Application to Stokes flow. Math. Methods Appl. Sci. 2010, 33, 233–248. [Google Scholar] [CrossRef]
- Yang, W.; Wang, P.; Hao, R.; Ma, B. Experimental verification of radial magnetic levitation force on the cylindrical magnets in ferrofluid dampers. J. Magn. Magn. Mater. 2017, 426, 334–339. [Google Scholar] [CrossRef]
- Kubik, M.; Pavliček, D.; MacHáček, O.; Strecker, Z.; Roupec, J. A Magnemorheological fluid shaft seal with low friction torque. Smart Mater. Struct. 2019, 28, 047002. [Google Scholar] [CrossRef]
- Carvalho, D.D.D.; Gontijo, R.G. Magnetization diffusion in duct flow: The magnetic entrance length and the interplay between hydrodynamic and magnetic timescales. Phys. Fluids 2020, 32, 072007. [Google Scholar] [CrossRef]
- Yang, W.; Liu, B. Effects of magnetization relaxation in ferrofluid film flows under a uniform magnetic field. Phys. Fluids 2020, 32, 062003. [Google Scholar] [CrossRef]
- Ghosh, D.; Das, P.K. Control of flow and suppression of separation for Couette-Poiseuille hydrodynamics of ferrofluids using tunable magnetic fields. Phys. Fluids 2019, 31, 083609. [Google Scholar] [CrossRef]
- Goharkhah, M.; Ashjaee, M. Effect of an alternating nonuniform magnetic field on ferrofluid flow and heat transfer in a channel. J. Magn. Magn. Mater. 2014, 362, 80–89. [Google Scholar] [CrossRef]
- Papadopoulos, P.K.; Vafeas, P.; Hatzikonstantinou, P.M. Ferrofluid pipe flow under the influence of the magnetic field of a cylindrical coil. Phys. Fluids 2012, 24, 122002. [Google Scholar] [CrossRef]
- Sheikholeslami, M.; Gerdroodbary, M.B.; Mousavi, S.V.; Ganji, D.D.; Moradi, R. Heat transfer enhancement of ferrofluid inside an 90° elbow channel by non-uniform magnetic field. J. Magn. Magn. Mater. 2018, 460, 302–311. [Google Scholar] [CrossRef]
- Vafeas, P.; Bakalis, P.; Papadopoulos, P.K. Effect of the magnetic field on the ferrofluid flow in a curved cylindrical annular duct. Phys. Fluids 2019, 31, 117105. [Google Scholar] [CrossRef]
- Bahiraei, M.; Hangi, M. Flow and Heat transfer characteristics of magnetic nanofluids: A review. J. Magn. Magn. Mater. 2015, 374, 125–138. [Google Scholar] [CrossRef]
- Kakarantzas, S.C.; Sarris, I.E.; Vlachos, N.S. Natural Convection of liquid metal in a vertical annulus with lateral and volumetric heating in the presence of a horizontal magnetic field. Int. J. Heat Mass Transf. 2011, 54, 3347–3356. [Google Scholar] [CrossRef]
- Kakarantzas, S.C.; Benos, L.T.; Sarris, I.E.; Knaepen, B.; Grecos, A.P.; Vlachos, N.S. MHD liquid metal flow and heat transfer between vertical coaxial cylinders under horizontal magnetic field. Int. J. Heat Fluid Flow 2017, 65, 342–351. [Google Scholar] [CrossRef]
- Hatzikonstantinou, P.M.; Bakalis, P.A. A computational approach for the solution of the MHD and thermal flow of a liquid metal between two horizontal concentric cylinders. Prog. Comput. Fluid Dyn. Int. J. 2014, 14, 259–267. [Google Scholar] [CrossRef]
- Mousavi, S.V.; Sheikholeslami, M.; Bandpy, M.G.; Gerdroodbary, M.B. The influence of magnetic field on heat transfer of magnetic nanofluid in a sinusoidal double pipe heat exchanger. Chem. Eng. Res. Des. 2016, 113, 112–124. [Google Scholar] [CrossRef]
- Sheikhnejad, Y.; Ansari, A.B.; Ferreira, J.; Martins, N. Effects of parallel magnet bars and partially filled porous media on magneto-thermo-hydro-dynamic characteristics of pipe ferroconvection. Int. J. Heat Mass Transf. 2019, 136, 1273–1281. [Google Scholar] [CrossRef]
- Aminfar, H.; Mohammadpourfard, M.; Zonouzi, S.A. Numerical study of the ferrofluid flow and heat transfer through a rectangular duct in the presence of a non-uniform transverse magnetic field. J. Magn. Magn. Mater. 2013, 327, 31–42. [Google Scholar] [CrossRef]
- Bahiraei, M.; Hangi, M. Investigating the efficacy of magnetic nanofluid as a coolant in double-pipe heat exchanger in the presence of magnetic field. Energy Convers. Manag. 2013, 76, 1125–1133. [Google Scholar] [CrossRef]
- Shakiba, A.; Vahedi, K. Numerical analysis of magnetic field effects on hydro-thermal behavior of a magnetic nanofluid in a double pipe heat exchanger. J. Magn. Magn. Mater. 2016, 402, 131–142. [Google Scholar] [CrossRef]
- Sun, B.; Guo, Y.; Yang, D.; Li, H. The Effect of constant magnetic field on convective heat transfer of Fe3O4/Water magnetic nanofluid in horizontal circular tubes. Appl. Therm. Eng. 2020, 171, 114920. [Google Scholar] [CrossRef]
- Hekmat, M.H.; Ziarati, K.K. Effects of nanoparticles volume fraction and magnetic field gradient on the mixed convection of a ferrofluid in the annulus between vertical concentric cylinders. Appl. Therm. Eng. 2019, 152, 844–857. [Google Scholar] [CrossRef]
- Malekan, M.; Khosravi, A.; Zhao, X. The influence of magnetic field on heat transfer of magnetic nanofluid in a double pipe heat exchanger proposed in a small-scale CAES system. Appl. Therm. Eng. 2019, 146, 146–159. [Google Scholar] [CrossRef]
- Tzirtzilakis, E.E.; Sakalis, V.D.; Kafoussias, N.G.; Hatzikonstantinou, P.M. Biomagnetic fluid flow in a 3D rectangular duct. Int. J. Numer. Meth. Fluids 2004, 44, 1279–1298. [Google Scholar] [CrossRef]
- Ferdows, M.; Murtaza, M.G.; Tzirtzilakis, E.E.; Alzahrani, F. Numerical study of blood flow and heat transfer through stretching cylinder in the presence of a magnetic dipole. ZAMM 2020, 100, e201900278. [Google Scholar] [CrossRef]






Publisher’s Note: MDPI stays neutral with regard to jurisdictional claims in published maps and institutional affiliations. |
© 2021 by the authors. Licensee MDPI, Basel, Switzerland. This article is an open access article distributed under the terms and conditions of the Creative Commons Attribution (CC BY) license (http://creativecommons.org/licenses/by/4.0/).
Share and Cite
Bakalis, P.A.; Papadopoulos, P.K.; Vafeas, P. Heat Transfer Study of the Ferrofluid Flow in a Vertical Annular Cylindrical Duct under the Influence of a Transverse Magnetic Field. Fluids 2021, 6, 120. https://doi.org/10.3390/fluids6030120
Bakalis PA, Papadopoulos PK, Vafeas P. Heat Transfer Study of the Ferrofluid Flow in a Vertical Annular Cylindrical Duct under the Influence of a Transverse Magnetic Field. Fluids. 2021; 6(3):120. https://doi.org/10.3390/fluids6030120
Chicago/Turabian StyleBakalis, Panteleimon A., Polycarpos K. Papadopoulos, and Panayiotis Vafeas. 2021. "Heat Transfer Study of the Ferrofluid Flow in a Vertical Annular Cylindrical Duct under the Influence of a Transverse Magnetic Field" Fluids 6, no. 3: 120. https://doi.org/10.3390/fluids6030120
APA StyleBakalis, P. A., Papadopoulos, P. K., & Vafeas, P. (2021). Heat Transfer Study of the Ferrofluid Flow in a Vertical Annular Cylindrical Duct under the Influence of a Transverse Magnetic Field. Fluids, 6(3), 120. https://doi.org/10.3390/fluids6030120

