A Unifying Perspective on Transfer Function Solutions to the Unsteady Ekman Problem
Abstract
1. Introduction
2. Derivation of the Wind-to-Current Transfer Function
2.1. Transfer Function Fundamentals
2.2. Equations of Motion for the Wind-Driven Flow
2.3. Transformation to the Modified Bessel’s Equation
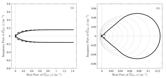
3. Behavior of the Transfer Function
3.1. Essential Behavior of the Transfer Function
3.2. Comparison with the Impulse Response Function
3.3. A Second Self-Similarity of the Transfer Function
3.4. Variability of Transfer Function Structure
4. Asymptotic Behavior of the Transfer Function
4.1. Regimes of the Transfer Function
4.2. Transfer Function Expressions
| Strong Gradient/Near-Inertial | Arbitrary Gradient/Any Frequency | Weak Gradient/Far-Inertial | |
|---|---|---|---|
| or | — | ( and ) or | |
| I | II | III, Ekman, EG-1a | |
| ∞ | |||
| IV | V, Mixed, EG-3a | VI | |
| VII, Madsen, EG-2a | VIII | IX | |
| 0 |
| Strong Gradient/Near-Inertial | Arbitrary Gradient/Any Frequency | Weak Gradient/Far-Inertial | |
|---|---|---|---|
| or | — | ( and ) or | |
| I-h | II-h | III-h, Depth-modified Ekman, EG-1b | |
| IV-h | V-h, Depth-modified mixed, EG-3b | VI-h | |
| — | |||
| VII-h, Depth-modified Madsen, EG-2b | VIII-h | IX-h | |
4.3. Survey of Asymptotic Behavior
4.4. A Depth/Frequency Interpretation of Regimes
4.5. Impulse Response Functions
5. Discussion
6. Materials and Methods
Author Contributions
Funding
Conflicts of Interest
Appendix A. The Transfer Function Relation
Appendix B. Derivation of the Modified Bessel’s Equation
Appendix C. Verification of the Boundary Conditions
Appendix D. The Free-Slip Transfer Function
Appendix E. Numerical Computation of the Transfer Function

Appendix F. Derivation of the Asymptotic Forms
Appendix G. The Ekman and Madsen Impulse Response Functions
References
- Watanabe, M.; Hibiya, T. Global estimates of the wind-induced energy flux to inertial motions in the surface mixed layer. Geophys. Res. Lett. 2002, 29, 1239. [Google Scholar] [CrossRef]
- Wunsch, C.; Ferrari, R. Vertical mixing, energy, and the general circulation of the oceans. Annu. Rev. Fluid Mech. 2004, 36, 281–314. [Google Scholar] [CrossRef]
- Zhai, X.; Greatbatch, R.J.; Eden, C.; Hibiya, T. On the loss of wind-induced near-inertial energy to turbulent mixing in the upper ocean. J. Phys. Oceanogr. 2009, 39, 3040–3045. [Google Scholar] [CrossRef]
- Ekman, V.W. On the influence of the Earth’s rotation on ocean currents. Ark. Mat. Astr. Fys 1905, 2, 1–36. [Google Scholar]
- Gonella, J. A local study of inertial oscillations in the upper layer of the ocean. Deep-Sea Res. 1971, 18, 775–788. [Google Scholar] [CrossRef]
- Gonella, J. A rotary-component method for analyzing meteorological and oceanographic vector time series. Deep-Sea Res. 1972, 19, 833–846. [Google Scholar] [CrossRef]
- Krauss, W. Wind-generated internal waves and inertial-period motions. Dtsch. Hydrogr. Z. 1972, 25, 241–250. [Google Scholar] [CrossRef]
- Madsen, O.S. A realistic model of the wind-induced Ekman boundary layer. J. Phys. Oceanogr. 1977, 7, 248–255. [Google Scholar] [CrossRef]
- Csanady, G.T.; Shaw, P.T. The evolution of a turbulent Ekman layer. J. Geophys. Res. Ocean. 1980, 85, 1537–1547. [Google Scholar] [CrossRef]
- Grisogono, B. A generalized Ekman layer profile with gradually varying eddy diffusivities. Q. J. Roy. Meteorol. Soc. 1995, 121, 445–453. [Google Scholar] [CrossRef]
- Lewis, D.; Belcher, S. Time-dependent, coupled, Ekman boundary layer solutions incorporating Stokes drift. Dyn. Atmos. Ocean. 2004, 37, 313–351. [Google Scholar] [CrossRef]
- Elipot, S.; Gille, S.T. Ekman layers in the Southern Ocean: Spectral models and observations, vertical viscosity and boundary layer depth. Ocean Sci. 2009, 5, 115–139. [Google Scholar] [CrossRef]
- Song, J.B.; Huang, Y.S. An approximate solution of wave-modified Ekman current for gradually varying eddy viscosity. Deep-Sea Res. Part I 2011, 58, 668–676. [Google Scholar] [CrossRef]
- Song, J.B.; Xu, J.L. Wave-modified Ekman current solutions for the vertical eddy viscosity formulated by K-Profile Parameterization scheme. Deep-Sea Res. Part I 2013, 80, 58–65. [Google Scholar] [CrossRef]
- Shrira, V.I.; Almelah, R.B. Upper-ocean Ekman current dynamics: A new perspective. J. Fluid Mech. 2020, 887, 1–33. [Google Scholar] [CrossRef]
- Dritschel, D.G.; Paldor, N.; Constantin, A. The Ekman spiral for piecewise-uniform viscosity. Ocean Sci. 2020, 16, 1089–1093. [Google Scholar] [CrossRef]
- Kudryavtsev, V.; Shrira, V.; Dulov, V.; Malinovsky, V. On the vertical structure of wind-driven sea currents. J. Phys. Oceanogr. 2008, 38, 2121–2144. [Google Scholar] [CrossRef]
- Song, J.B. The effects of random surface waves on the steady Ekman current solutions. Deep-Sea Res. Part I 2009, 56, 659–671. [Google Scholar] [CrossRef]
- Zhang, Y.; Song, Z.; Wu, K.; Shi, Y. Influences of random surface waves on the estimates of wind energy input to the Ekman layer in the Antarctic circumpolar current region. J. Geophys. Res. Ocean. 2019, 124, 3393–3410. [Google Scholar] [CrossRef]
- Zikanov, O.; Slinn, D.N.; Dhanak, M.R. Large-eddy simulations of the wind-induced turbulent Ekman layer. J. Fluid Mech. 2003, 495, 343–368. [Google Scholar] [CrossRef]
- Tejada-Marínez, A.E.; Grosch, C.E.; Gargett, A.E.; Polton, J.A.; Smith, J.A.; MacKinnon, J. A hybrid spectral/finite-difference large-eddy simulator of turbulent processes in the upper ocean. Ocean Modell. 2009, 30, 115–142. [Google Scholar] [CrossRef]
- Momen, M.; Bou-Zeid, E. Analytical reduced models for the non-stationary diabatic atmospheric boundary layer. Bound.-Lay. Meteorol. 2017, 164, 383–399. [Google Scholar] [CrossRef]
- Wenegrat, J.O.; McPhaden, M.J. A simple analytical model of the diurnal Ekman layer. J. Phys. Oceanogr. 2016, 46, 2877–2894. [Google Scholar] [CrossRef]
- Sun, W.Y.; Sun, O.M. Inertia and diurnal oscillations of Ekman layers in atmosphere and ocean. Dyn. Atmos. Ocean. 2020, 90, 101144. [Google Scholar] [CrossRef]
- McWilliams, J.C.; Huckle, E.; Shchepetkin, A.F. Buoyancy effects in a stratified Ekman layer. J. Phys. Oceanogr. 2009, 39, 2581–2599. [Google Scholar] [CrossRef]
- Shah, S.K.; Bou-Zeid, E. Direct numerical simulations of turbulent Ekman layers with increasing static stability: Modifications to the bulk structure and second-order statistics. J. Fluid Mech. 2014, 760, 494–539. [Google Scholar] [CrossRef]
- Chu, P.C. Ekman spiral in a horizontally inhomogeneous ocean with varying eddy viscosity. Pure Appl. Geophys. 2015, 172, 2831–2857. [Google Scholar] [CrossRef][Green Version]
- Wenegrat, J.O.; McPhaden, M.J. Wind, waves, and fronts: Frictional effects in a generalized Ekman model. J. Phys. Oceanogr. 2016, 46, 371–394. [Google Scholar] [CrossRef]
- Esau, I. Simulation of the largest coherent vortices (rolls) in the Ekman boundary layer. J. Vort. Sci. Technol. 2012, 1, 1–7. [Google Scholar] [CrossRef]
- Esau, I.; Davy, R.; Outten, S.; Tyuryakov, S.; Zilitinkevich, S. Structuring of turbulence and its impact on basic features of Ekman boundary layers. Nonlinear Proc. Geophys. 2013, 20, 589–604. [Google Scholar] [CrossRef]
- Deusebio, E.; Brethouwer, G.; Schlatter, P.; Lindborg, E. A numerical study of the unstratified and stratified Ekman layer. J. Fluid Mech. 2014, 755, 672–704. [Google Scholar] [CrossRef]
- Lilly, D.K. On the instability of Ekman boundary flow. J. Atmos. Sci. 1966, 23, 481–494. [Google Scholar] [CrossRef]
- Leibovich, S.; Lele, S.K. The influence of the horizontal component of Earth’s angular velocity on the instability of the Ekman layer. J. Fluid Mech. 1985, 150, 41–87. [Google Scholar] [CrossRef]
- Krishna, K. The planetary-boundary-layer model of Ellison (1956)—A retrospect. Bound.-Lay. Meteorol. 1980, 19, 293–301. [Google Scholar] [CrossRef]
- Yokoyama, O.; Gamo, M.; Yamasnoto, S. On the turbulence quantities in the neutral atmospheric boundary layer. J. Meteorol. Soc. Jpn. 1977, 55, 312–318. [Google Scholar] [CrossRef][Green Version]
- Baker, J.R.; Jordan, T.F. Vertical-structure functions for time-dependent flow in a well-mixed fluid with turbulent boundary layers at the bottom and top. J. Phys. Oceanogr. 1980, 10, 1691–1694. [Google Scholar] [CrossRef][Green Version]
- O’Brien, J.J. A note on the vertical structure of the eddy exchange coefficient in the planetary boundary layer. J. Atmos. Sci. 1970, 27, 1213–1215. [Google Scholar] [CrossRef]
- Large, W.G.; McWilliams, J.C.; Doney, S. Oceanic vertical mixing: A review and a model with a non-local K-profile boundary layer parameterization. Rev. Geophys. 1994, 32, 363–403. [Google Scholar] [CrossRef]
- Van Roekel, L.; Adcroft, A.J.; Danabasoglu, G.; Griffies, S.M.; Kauffman, B.; Large, W.; Levy, M.; Reichl, B.G.; Ringler, T.; Schmidt, M. The KPP boundary layer scheme for the ocean: Revisiting its formulation and benchmarking one-dimensional simulations relative to LES. J. Adv. Model. Earth Syst. 2018, 10, 2647–2685. [Google Scholar] [CrossRef]
- McWilliams, J.C.; Sullivan, P.P.; Moeng, C.H. Langmuir turbulence in the ocean. J. Fluid Mech. 1997, 334, 1–30. [Google Scholar] [CrossRef]
- Ionescu-Kruse, D. Analytical atmospheric Ekman-type solutions with height-dependent eddy viscosities. J. Math. Fluid Mech. 2021, 23, 18. [Google Scholar] [CrossRef]
- Lumpkin, R.; Pazos, M. Chapter: Measuring surface currents with Surface Velocity Program drifters: The instrument, its data, and some recent results. In Lagrangian Analysis and Prediction in Coastal and Ocean Processes; Cambridge University Press: Cambridge, UK, 2007; pp. 39–67. [Google Scholar] [CrossRef]
- Percival, D.B.; Walden, A.T. Spectral Analysis for Physical Applications; Cambridge University Press: New York, NY, USA, 1993. [Google Scholar] [CrossRef]
- Priestley, M.B. Non-Linear and Non-Stationary Time Series Analysis; Academic Press: London, UK, 1988. [Google Scholar]
- Elipot, S.; Gille, S.T. Estimates of wind energy input to the Ekman layer from surface drifter data. J. Geophys. Res. 2009, 114, C06003. [Google Scholar] [CrossRef]
- Abramowitz, M.; Stegun, I.A. Handbook of Mathematical Functions with Formulas, Graphs, and Mathematical Tables, 10th ed.; National Bureau of Standards: Washington, DC, USA, 1972.
- Cronin, M.F.; Kessler, W.S. Near-surface shear flow in the tropical Pacific cold tongue front. J. Phys. Oceanogr. 2009, 39, 1200–1215. [Google Scholar] [CrossRef]
- Kudryavtsev, V.; Monzikova, A.; Combot, C.; Chapron, B.; Reul, N.; Quilfen, Y. A simplified model for the baroclinic and barotropic ocean response to moving tropical cyclones: 1. Satellite observations. J. Geophys. Res. Ocean. 2019, 124, 3446–3461. [Google Scholar] [CrossRef]
- Chereskin, T.K. Direct evidence for an Ekman balance in the California Current. J. Geophys. Res. Ocean. 1995, 100, 18261–18269. [Google Scholar] [CrossRef]
- Lenn, Y.D.; Chereskin, T.K. Observations of Ekman Currents in the Southern Ocean. J. Phys. Oceanogr. 2009, 39, 768–779. [Google Scholar] [CrossRef]
- Polton, J.A.; Lenn, Y.D.; Elipot, S.; Chereskin, T.K.; Sprintall, J. Can Drake Passage observations match Ekman’s classic theory? J. Phys. Oceanogr. 2013, 43, 1733–1740. [Google Scholar] [CrossRef]
- Rio, M.H.; Hernandez, F. High-frequency response of wind-driven currents measured by drifting buoys and altimetry over the world ocean. J. Geophys. Res. 2003, 108, 3283–3301. [Google Scholar] [CrossRef]
- Simmons, G.F. Differential Equations with Applications and Historical Notes, 3rd ed.; CRC Press: Boca Raton, FL, USA, 2017. [Google Scholar]
- Bressan, A.; Constantin, A. The deflection angle of surface ocean currents from the wind direction. J. Geophys. Res. Ocean. 2019, 124, 7412–7420. [Google Scholar] [CrossRef]
- Constantin, A. Frictional effects in wind-driven ocean currents. Geophy. Astro. Fluid 2020, 1–14. [Google Scholar] [CrossRef]
- NIST. NIST Digital Library of Mathematical Functions; Olver, F.W.J., Olde Daalhuis, A.B., Lozier, D.W., Schneider, B.I., Boisvert, R.F., Clark, C.W., Miller, B.R., Saunders, B.V., Cohl, H.S., McClain, M.A., Eds.; Release 1.1.0 of 2020-12-15; 2020.
- Gradshteyn, I.S.; Ryzhik, I.M. The Table of Integrals, Series and Products, 6th ed.; Academic Press: Burlington, MA, USA, 2000. [Google Scholar]
- Watson, G.N. A Treatise on the Theory of Bessel Functions; Cambridge Univ Press: Cambridge, UK, 1922. [Google Scholar]






Publisher’s Note: MDPI stays neutral with regard to jurisdictional claims in published maps and institutional affiliations. |
© 2021 by the authors. Licensee MDPI, Basel, Switzerland. This article is an open access article distributed under the terms and conditions of the Creative Commons Attribution (CC BY) license (http://creativecommons.org/licenses/by/4.0/).
Share and Cite
Lilly, J.M.; Elipot, S. A Unifying Perspective on Transfer Function Solutions to the Unsteady Ekman Problem. Fluids 2021, 6, 85. https://doi.org/10.3390/fluids6020085
Lilly JM, Elipot S. A Unifying Perspective on Transfer Function Solutions to the Unsteady Ekman Problem. Fluids. 2021; 6(2):85. https://doi.org/10.3390/fluids6020085
Chicago/Turabian StyleLilly, Jonathan M., and Shane Elipot. 2021. "A Unifying Perspective on Transfer Function Solutions to the Unsteady Ekman Problem" Fluids 6, no. 2: 85. https://doi.org/10.3390/fluids6020085
APA StyleLilly, J. M., & Elipot, S. (2021). A Unifying Perspective on Transfer Function Solutions to the Unsteady Ekman Problem. Fluids, 6(2), 85. https://doi.org/10.3390/fluids6020085

