Aerodynamic Study of a NACA 64418 Rectangular Wing under Forced Pitching Motions
Abstract
1. Introduction
2. Experimental Setup
3. Results and Discussion
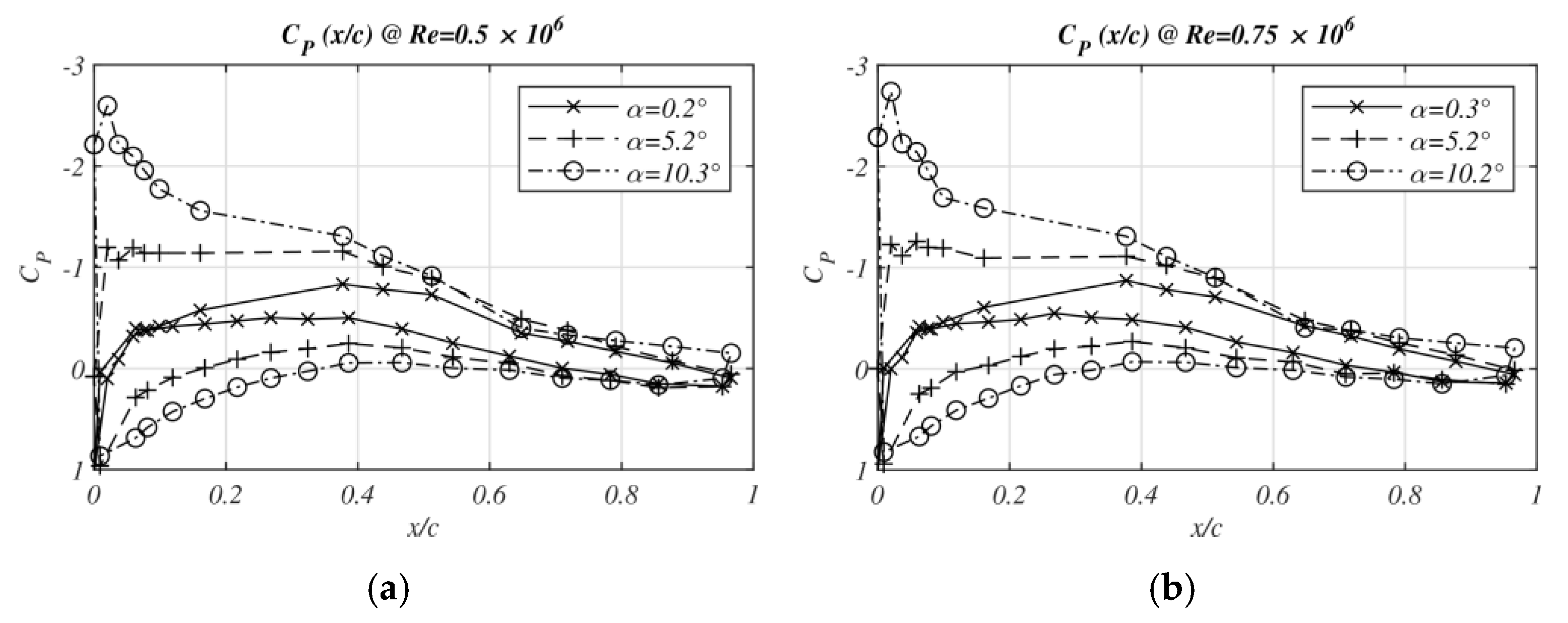
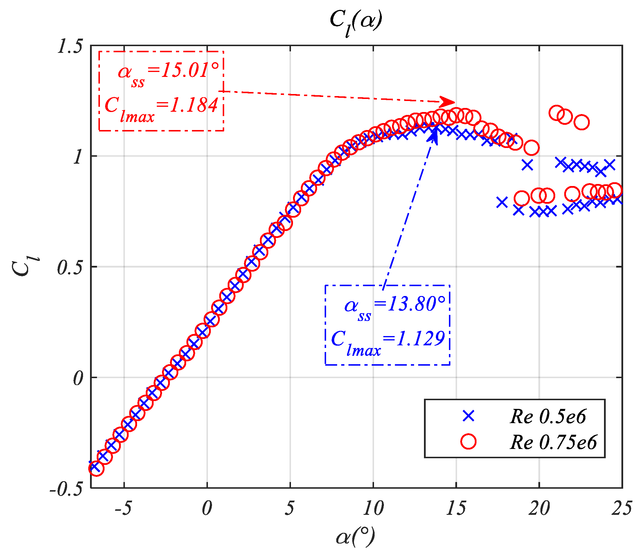
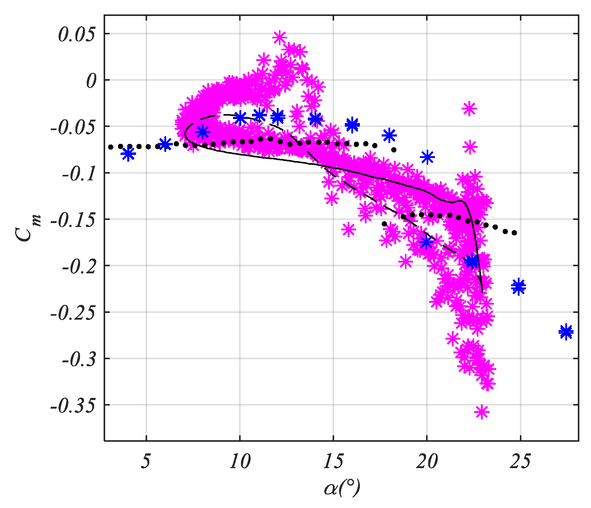
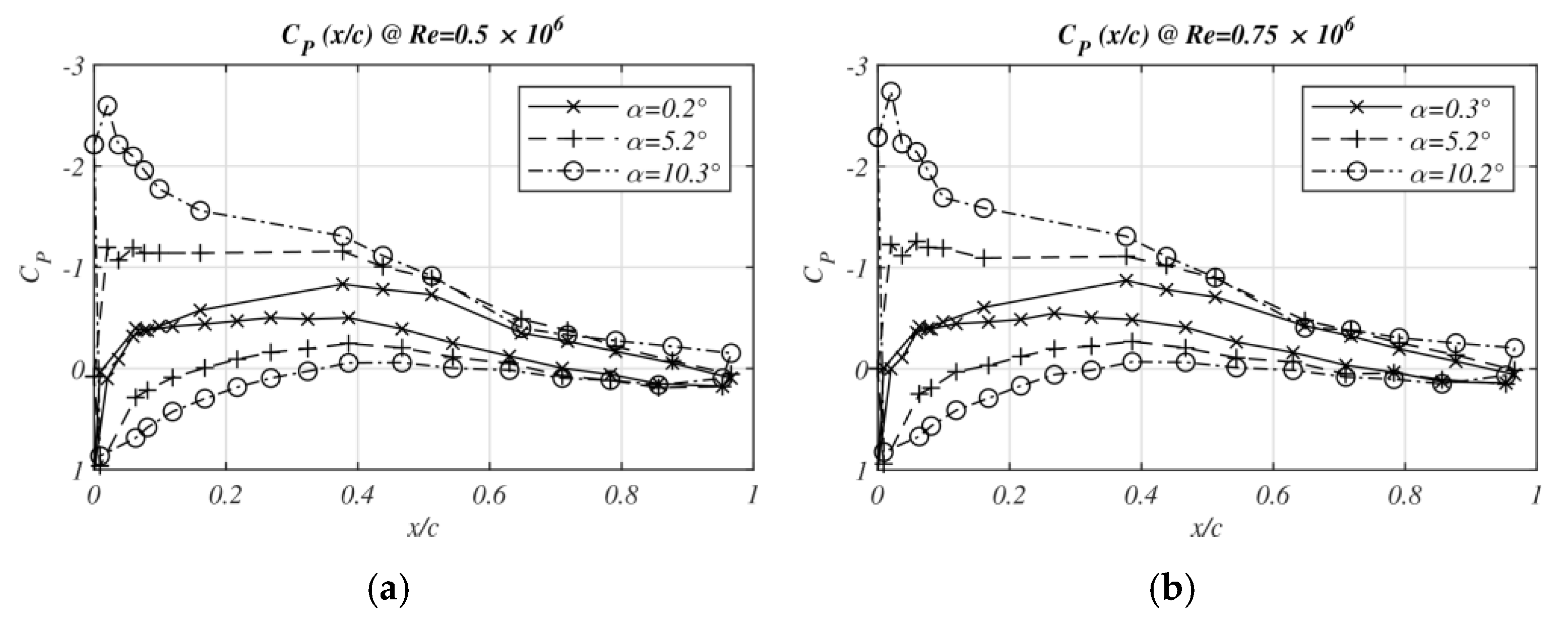
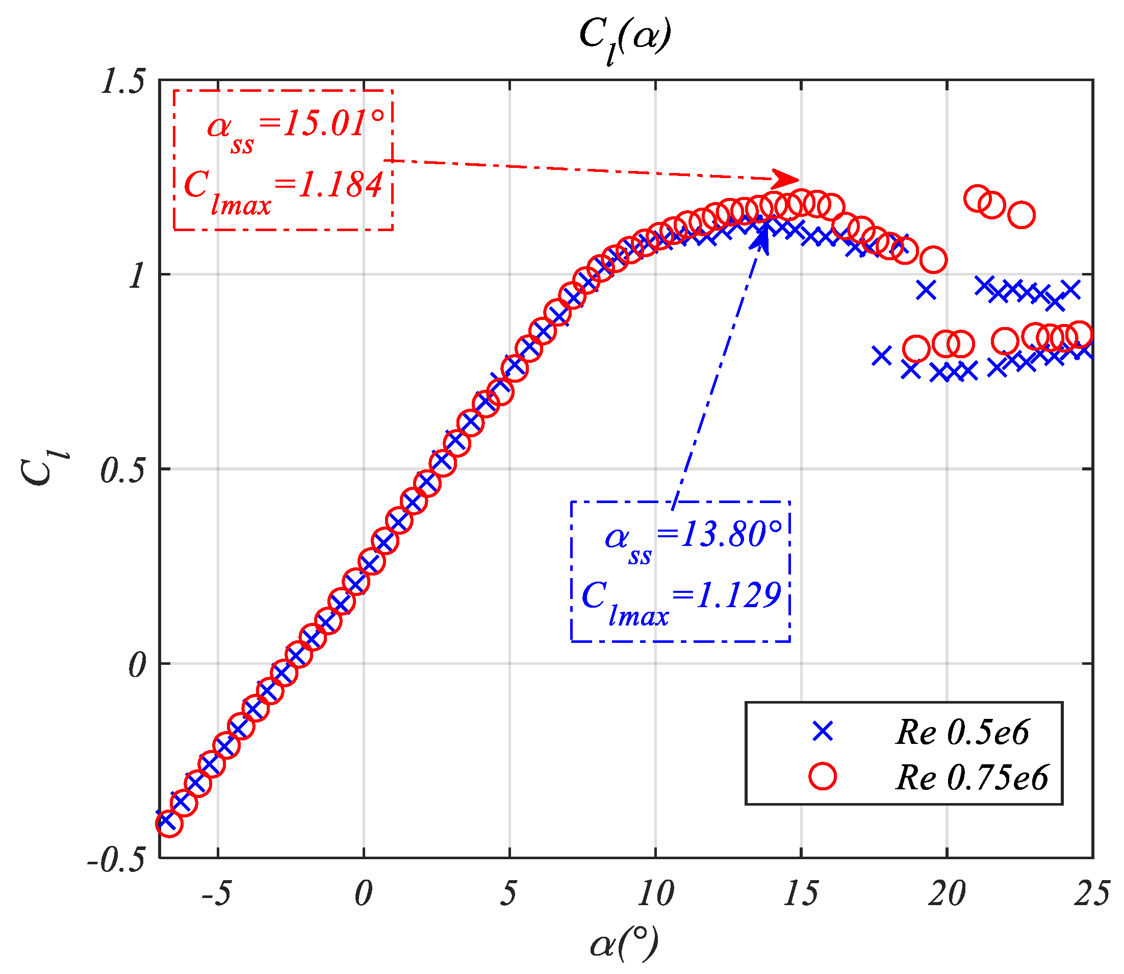
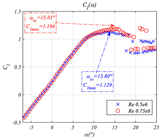
3.1. Steady Flow Measurements
3.2. Wing Pitching Motion
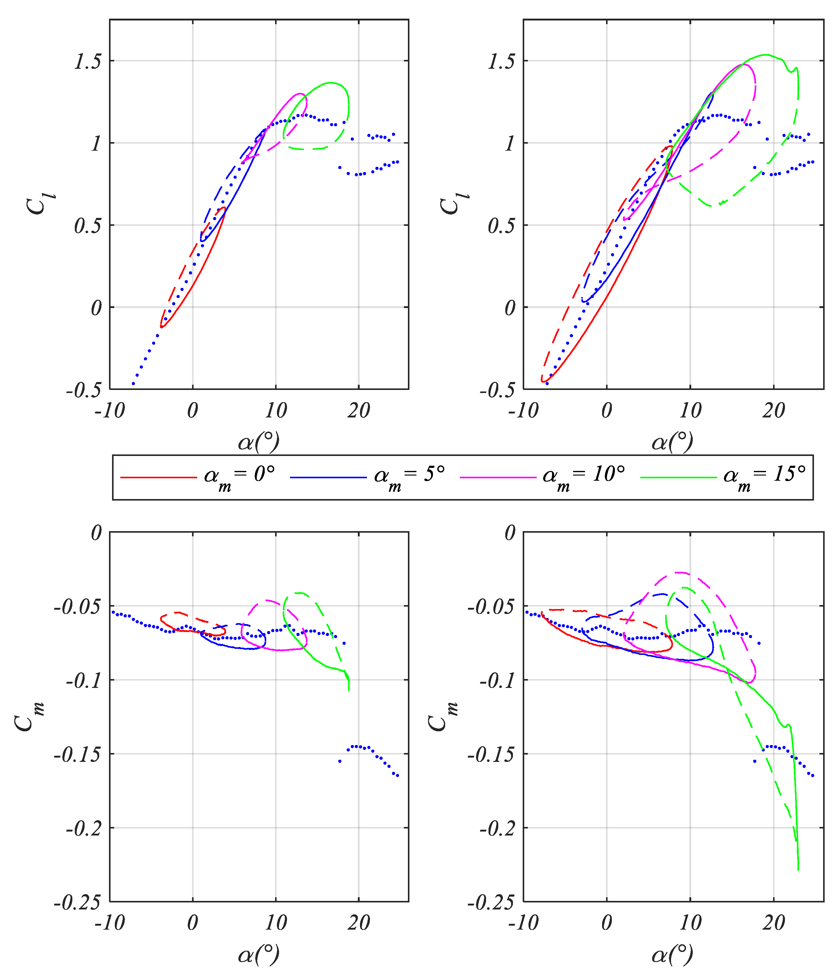
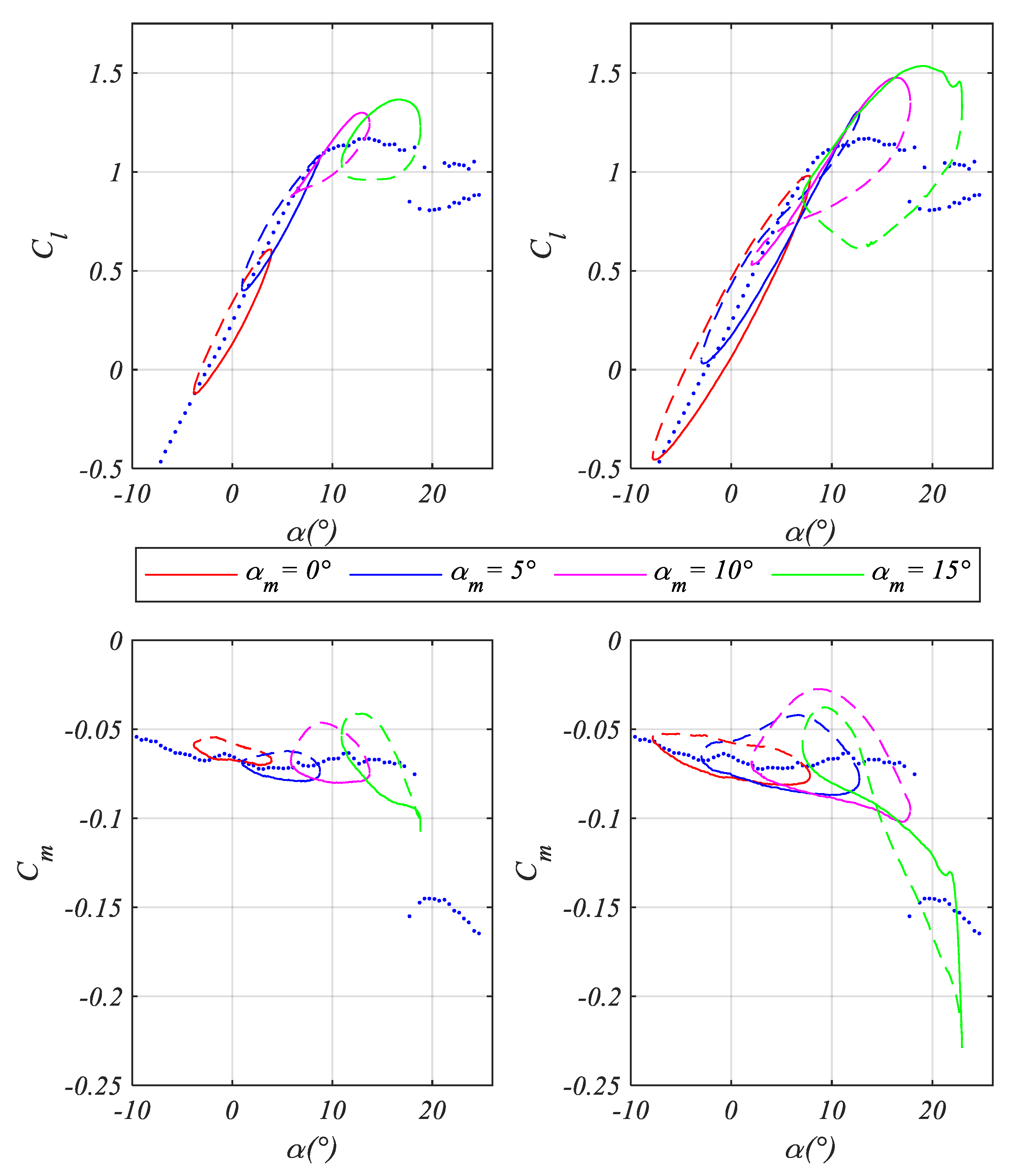
3.2.1. Effect of Mean Angle of Attack
3.2.2. Effect of Reduced Frequency
3.2.3. Impact of Oscillation on Aerodynamic Damping
4. Conclusions
Author Contributions
Funding
Conflicts of Interest
References
- Afonso, F.; Vale, J.; Oliveira, É.; Lau, F.; Suleman, A. A review on non-linear aeroelasticity of high aspect-ratio wings. Prog. Aerosp. Sci. 2017, 89, 40–57. [Google Scholar] [CrossRef]
- Leishman, G.J. Principles of Helicopter Aerodynamics; Cambridge University Press: Cambridge, MA, USA, 2006. [Google Scholar]
- McCroskey, W.J. The Phenomenon of Dynamic Stall; NASA: Washington, DC, USA, 1981.
- McCroskey, W.J. Unsteady airfoils. Annu. Rev. Fluid Mech. 1982, 14, 285–311. [Google Scholar] [CrossRef]
- Lee, T.; Gerontakos, P. Investigation of flow over an oscillating airfoil. J. Fluid Mech. 2004, 512, 313–341. [Google Scholar] [CrossRef]
- Leishman, J.G. Dynamic stall experiments on the NACA 23012 aerofoil. Exp. Fluids 1990, 9, 49–58. [Google Scholar] [CrossRef]
- Choudhry, A.; Leknys, R.; Arjomandi, M.; Kelso, R. An insight into the dynamic stall lift characteristics. Exp. Therm. Fluid Sci. 2014, 58, 188–208. [Google Scholar] [CrossRef]
- Geissler, W.; Haselmeyer, H. Investigation of dynamic stall onset. Aerosp. Sci. Technol. 2006, 10, 590–600. [Google Scholar] [CrossRef]
- Lorber, P.; Covino, A., Jr.; Carta, F. Dynamic stall experiments on a swept three-dimensional wing in compressible flow. In Proceedings of the 22nd Fluid Dynamics and Plasma Dynamics and Lasers Conference, Honolulu, HI, USA, 24–26 June 1991; p. 1795. [Google Scholar]
- Lorber, P. Compressibility effects on the dynamic stall of a three-dimensional wing. In Proceedings of the 30th Aerospace Sciences Meeting and Exhibit, Reno, NV, USA, 6–9 January 1992; p. 191. [Google Scholar]
- Piziali, R.A. 2-D and 3-D Oscillating Wing Aerodynamics for a Range of Angles of Attack Including Stall; NASA: Washington, DC, USA, 1994.
- Mulleners, K.; Raffel, M. The onset of dynamic stall revisited. Exp. Fluids 2012, 52, 779–793. [Google Scholar] [CrossRef]
- Zhu, C.; Wang, T. Comparative study of dynamic stall under pitch oscillation and oscillating freestream on wind turbine airfoil and blade. Appl. Sci. 2018, 8, 1242. [Google Scholar] [CrossRef]
- Corke, T.C.; Thomas, F.O. Dynamic stall in pitching airfoils: Aerodynamic damping and compressibility effects. Annu. Rev. Fluid Mech. 2015, 47, 479–505. [Google Scholar] [CrossRef]
- Ramasamy, M.; Wilson, J.S.; McCroskey, W.J.; Martin, P.B. Characterizing cycle-to-cycle variations in dynamic stall measurements. J. Am. Helicicopter Soc. 2018, 63, 1–24. [Google Scholar] [CrossRef]
- Dowell, E.H. A Modern Course in Aeroelasticity: Fifth Revised and Enlarged Edition (Solid Mechanics and Its Applications, 217), 5th ed.; Springer: Amsterdam, The Netherlands, 2014; Volume 217. [Google Scholar]
- Bhat, S.S.; Govardhan, R.N. Stall flutter of NACA 0012 airfoil at low Reynolds numbers. J. Fluids Struct. 2013, 41, 166–174. [Google Scholar] [CrossRef]
- Gkiolas, D.; Yiasemides, D.; Mathioulakis, D. Experimental study of a pitching and plunging wing. Aircr. Eng. Aerosp. Technol. 2018, 90, 1136–1144. [Google Scholar] [CrossRef]
- Allen, H.; Vincenti, W.G. Wall interference in a two-dimensional-flow wind tunnel with consideration of the effect of compressibility. Annu. Rep. 1949, 30, 155. [Google Scholar]
- Garner, H.C.; Rogers, E.W.; Acum, W.E.; Maskell, E.C. Subsonic Wind Tunnel Wall Corrections; AGARD Neuilly-Sur-Seine: Paris, France, 1966. [Google Scholar]
- Bak, C.; Madsen, H.A.; Fuglsang, P.; Rasmussen, F. Observations and hypothesis of double stall. Wind Energy 1999, 2, 195–210. [Google Scholar] [CrossRef]
- Abbott, I.H.; Von Doenhoff, A.E. Theory of Wing Sections: Including a Summary of Airfoil Data; Dover Publications Inc.: New York, NY, USA, 1959. [Google Scholar]
- Ragni, D.; Ferreira, C. Effect of 3D stall-cells on the pressure distribution of a laminar NACA64-418 wing. Exp. Fluids 2016, 57, 127. [Google Scholar] [CrossRef][Green Version]
- Gonzalez Salcedo, A. Development of a Potential Panel Code for Unsteady Modelling of 2D Airfoils in Practical Applications of Large Wind Turbines. Ph.D. Thesis, Imperial College London, London, UK, 2018. [Google Scholar]
- Loftin, L.K., Jr. Effect of Specific Types of Surface Roughness on Boundary-Layer Transition; NACA: Langley Field, VA, USA, 1946.
- Theodorsen, T. General Theory of Aerodynamic Instability and the Mechanism of Flutter; NACA Report 496; NACA: Langley Field, VA, USA, 1935. [Google Scholar]
- Carta, F.O.; Niebanck, C.F. Prediction of Rotor Instability at High Forward Speeds. Volume 3. Stall Flutter; US Army Aviation Mater. Lab.: Fort Eustis, VA, USA, 1969. [Google Scholar]
- Oates, G.C. Aircraft Propulsion Systems Technology and Design; AIAA: Reston, VA, USA, 1989. [Google Scholar]
- Gkiolas, D.; Mathioulakis, D. PIV and surface pressure measurements on a NACA64418 airfoil undergoing stall flutter. In Proceedings of the AIAA Scitech 2020 Forum, Orlando, FL, USA, 6–10 January 2020. [Google Scholar]
- Gkiolas, D.; Mouzakis, F.; Mathioulakis, D.S. Stall Flutter Measurements on a Rectangular Wing. In Proceedings of the ASME 2018 5th Joint US-European Fluids Engineering Division Summer Meeting, Montreal, QC, Canada, 15–20 July 2018. [Google Scholar]





















Publisher’s Note: MDPI stays neutral with regard to jurisdictional claims in published maps and institutional affiliations. |
© 2021 by the authors. Licensee MDPI, Basel, Switzerland. This article is an open access article distributed under the terms and conditions of the Creative Commons Attribution (CC BY) license (https://creativecommons.org/licenses/by/4.0/).
Share and Cite
Gkiolas, D.; Mathioulakis, D. Aerodynamic Study of a NACA 64418 Rectangular Wing under Forced Pitching Motions. Fluids 2021, 6, 394. https://doi.org/10.3390/fluids6110394
Gkiolas D, Mathioulakis D. Aerodynamic Study of a NACA 64418 Rectangular Wing under Forced Pitching Motions. Fluids. 2021; 6(11):394. https://doi.org/10.3390/fluids6110394
Chicago/Turabian StyleGkiolas, Dimitris, and Dimitrios Mathioulakis. 2021. "Aerodynamic Study of a NACA 64418 Rectangular Wing under Forced Pitching Motions" Fluids 6, no. 11: 394. https://doi.org/10.3390/fluids6110394
APA StyleGkiolas, D., & Mathioulakis, D. (2021). Aerodynamic Study of a NACA 64418 Rectangular Wing under Forced Pitching Motions. Fluids, 6(11), 394. https://doi.org/10.3390/fluids6110394
