A Note on the Steady Navier–Stokes Equations Derived from an ES–BGK Model for a Polyatomic Gas
Abstract
1. Introduction
2. The Kinetic Ellipsoidal Bhatnagar-Gross-Krook (ES–BGK) Model
3. Chapman-Enskog Asymptotic Expansion
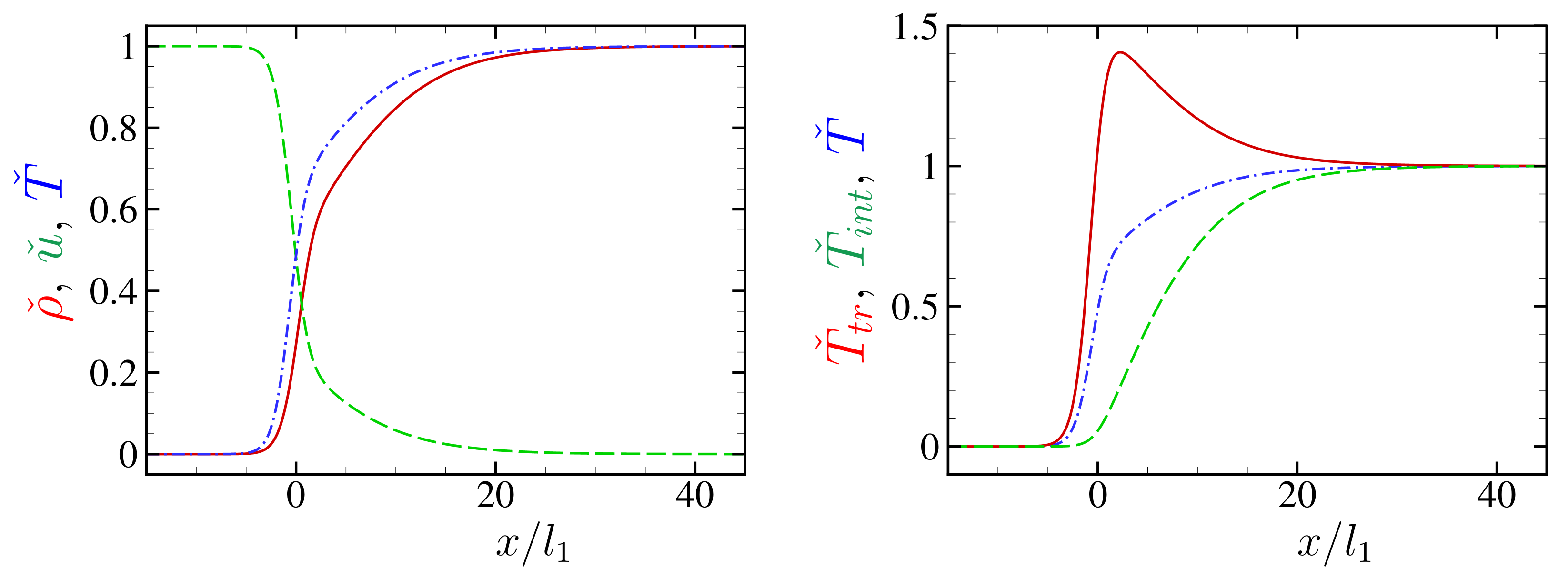
4. Shock-Wave Solution for Steady Navier–Stokes Equations
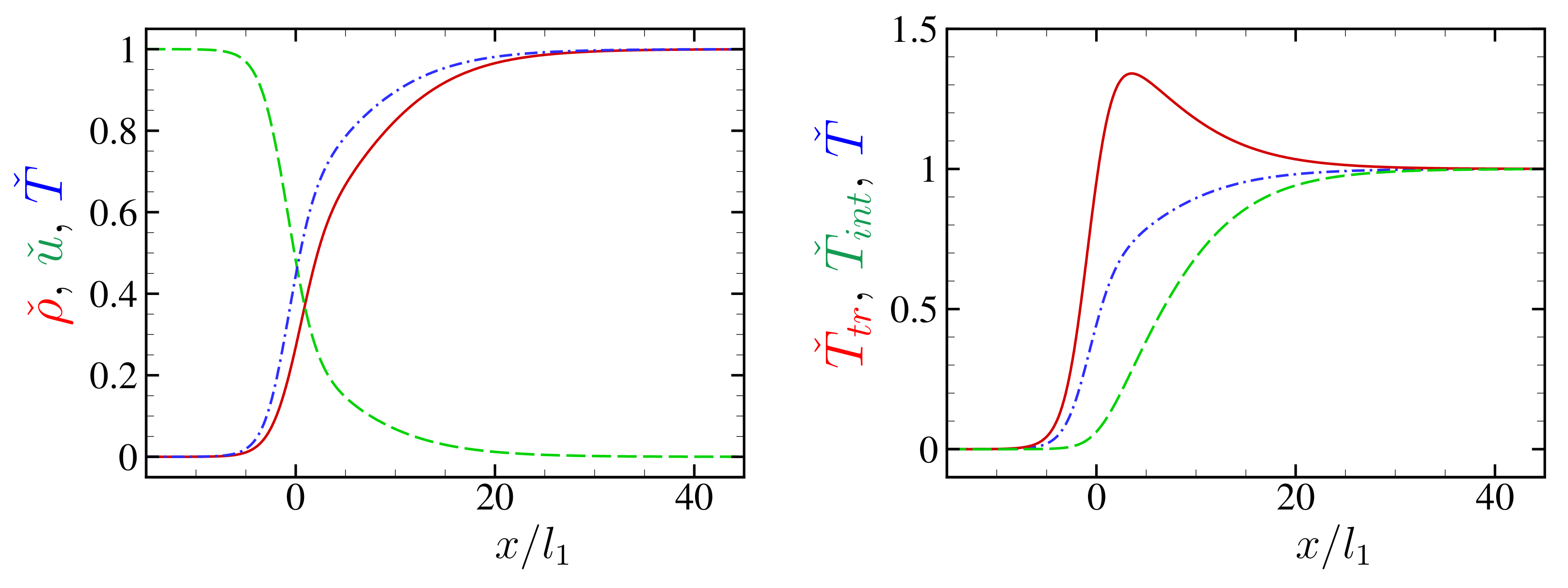
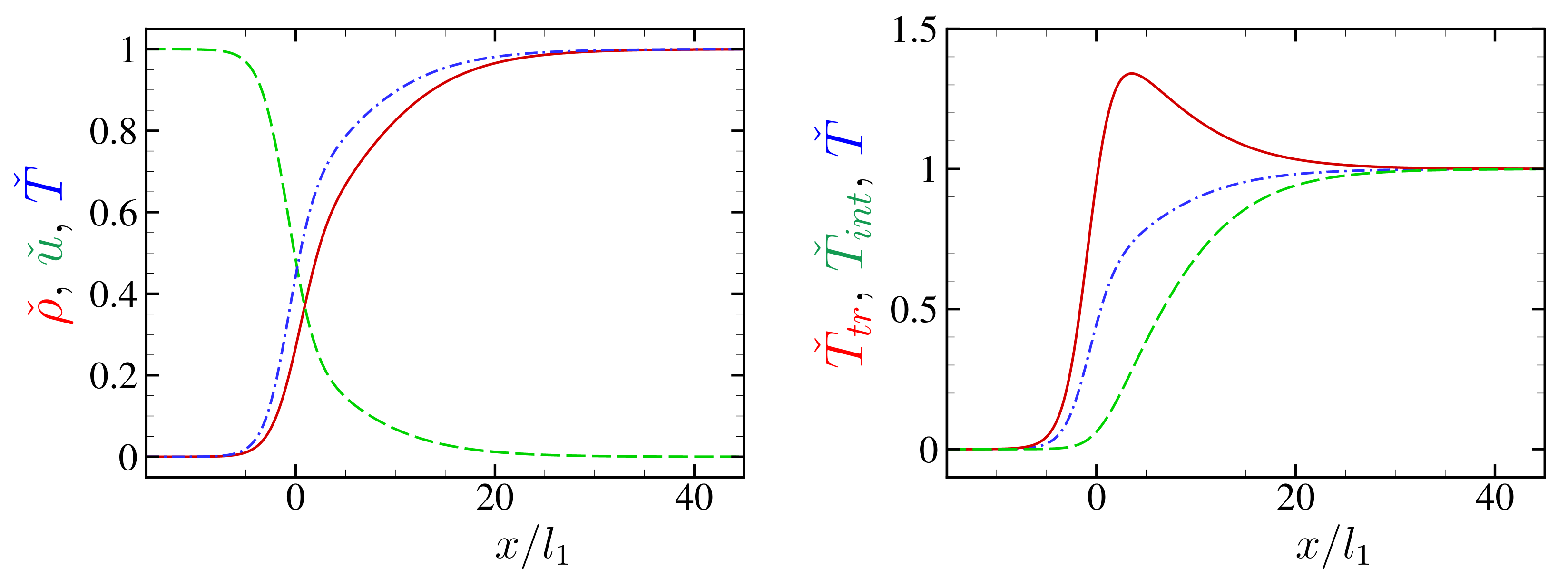
Numerical Analysis of the Steady Shock Wave
5. Concluding Remarks
Author Contributions
Funding
Institutional Review Board Statement
Informed Consent Statement
Data Availability Statement
Acknowledgments
Conflicts of Interest
References
- Cercignani, C. The Boltzmann Equation and Its Applications; Springer: New York, NY, USA, 1988. [Google Scholar]
- Giovangigli, V. Multicomponent Flow Modeling; Birkhäuser: Boston, MA, USA, 1999. [Google Scholar]
- Ruggeri, T.; Sugiyama, M. Rational Extended Thermodynamics beyond the Monatomic Gas; Springer International Publishing: Cham, Switzerland, 2015. [Google Scholar]
- Groppi, M.; Spiga, G. Kinetic approach to chemical reactions and inelastic transitions in a rarefied gas. J. Math. Chem. 1999, 26, 197–219. [Google Scholar] [CrossRef]
- Desvillettes, L.; Monaco, R.; Salvarani, F. A kinetic model allowing to obtain the energy law of polytropic gases in the presence of chemical reactions. Eur. J. Mech. B/Fluids 2005, 24, 219–236. [Google Scholar] [CrossRef]
- Arima, T.; Ruggeri, T.; Sugiyama, M. Extended thermodynamics of rarefied polyatomic gases: 15-field theory incorporating relaxation processes of molecular rotation and vibration. Entropy 2018, 20, 301. [Google Scholar] [CrossRef] [PubMed]
- Baranger, C.; Dauvois, Y.; Marois, G.; Mathé, J.; Mathiaud, J.; Mieussens, L. A BGK model for high temperature rarefied gas flows. Eur. J. Mech. B/Fluids 2020, 80, 1–12. [Google Scholar] [CrossRef]
- Bisi, M.; Cáceres, M.J. A BGK relaxation model for polyatomic gas mixtures. Commun. Math. Sci. 2016, 14, 297–325. [Google Scholar] [CrossRef]
- Bisi, M.; Monaco, R.; Soares, A.J. A BGK model for reactive mixtures of polyatomic gases with continuous internal energy. J. Phys. A Math. Theor. 2018, 51, 125501. [Google Scholar] [CrossRef]
- Bisi, M.; Travaglini, R. A BGK model for mixtures of monoatomic and polyatomic gases with discrete internal energy. Physica A 2020, 547, 124441. [Google Scholar] [CrossRef]
- Morse, T.F. Kinetic model for gases with internal degrees of freedom. Phys. Fluids 1964, 7, 159–169. [Google Scholar] [CrossRef]
- Rahimi, B.; Struchtrup, H. Macroscopic and kinetic modelling of rarefied polyatomic gases. J. Fluid Mech. 2016, 806, 437–505. [Google Scholar] [CrossRef]
- Struchtrup, H. The BGK model for an ideal gas with an internal degree of freedom. Transp. Theor. Stat. Phys. 1999, 28, 369–385. [Google Scholar] [CrossRef]
- Andries, P.; Le Tallec, P.; Perlat, J.P.; Perthame, B. The Gaussian-BGK model of Boltzmann equation with small Prandtl number. Eur. J. Mech. B/Fluids 2000, 19, 813–830. [Google Scholar] [CrossRef]
- Brull, S. An ellipsoidal statistical model for gas mixtures. Commun. Math. Sci. 2015, 13, 1–13. [Google Scholar] [CrossRef]
- Groppi, M.; Monica, S.; Spiga, G. A kinetic ellipsoidal BGK model for a binary gas mixture. EPL Europhys. Lett. 2011, 96, 64002. [Google Scholar] [CrossRef]
- Holway, L.H. Kinetic theory of shock structure using an ellipsoidal distribution function. In Rarefied Gas Dynamics; (Proc. Fourth Internat. Sympos., Univ. Toronto, 1964); Academic Press: New York, NY, USA, 1966; Volume I, pp. 193–215. [Google Scholar]
- Todorova, B.N.; Steijl, R. Derivation and numerical comparison of Shakhov and Ellipsoidal Statistical kinetic models for a monoatomic gas mixture. Europ. J. Mech. B/Fluids 2019, 76, 390–402. [Google Scholar] [CrossRef]
- Brull, S.; Schneider, J. On the ellipsoidal statistical model for polyatomic gases. Contin. Mech. Thermodyn. 2009, 20, 489–508. [Google Scholar] [CrossRef]
- Holway, L.H., Jr. New statistical models for kinetic theory: Methods of construction. Phys. Fluids 1966, 9, 1658–1673. [Google Scholar] [CrossRef]
- Mathiaud, J.; Mieussens, L. BGK and Fokker-Planck models of the Boltzmann equation for gases with discrete levels of vibrational energy. J. Stat. Phys. 2020, 178, 1076–1095. [Google Scholar] [CrossRef]
- Todorova, B.N.; White, C.; Steijl, R. Modeling of nitrogen and oxygen gas mixture with a novel diatomic kinetic model. AIP Adv. 2020, 10, 095218. [Google Scholar] [CrossRef]
- Chapman, S.; Cowling, T.G. The Mathematical Theory of Non-Uniform Gases, 3rd ed.; Cambridge University Press: Cambridge, UK, 1991. [Google Scholar]
- Hattori, M.; Kosuge, S.; Aoki, K. Slip boundary conditions for the compressible Navier–Stokes equations for a polyatomic gas. Phys. Rev. Fluids 2018, 3, 063401. [Google Scholar] [CrossRef]
- Bruno, D.; Giovangigli, V. Relaxation of internal temperature and volume viscosity. Phys. Fluids 2011, 23, 093104. [Google Scholar] [CrossRef]
- Kustova, E.; Mekhonoshina, M. Multi–temperature vibrational energy relaxation rates in CO2. Phys. Fluids 2020, 32, 096101. [Google Scholar] [CrossRef]
- Kustova, E.; Mekhonoshina, M.; Kosareva, A. Relaxation processes in carbon dioxide. Phys. Fluids 2019, 31, 046104. [Google Scholar] [CrossRef]
- Arima, T.; Ruggeri, T.; Sugiyama, M.; Taniguchi, S. On the six–field model of fluids based on extended thermodynamics. Meccanica 2014, 49, 2181–2187. [Google Scholar] [CrossRef]
- Bisi, M.; Ruggeri, T.; Spiga, G. Dynamical pressure in a polyatomic gas: Interplay between kinetic theory and extended thermodynamics. Kinet. Relat. Mod. 2018, 11, 71–95. [Google Scholar] [CrossRef]
- Aoki, K.; Bisi, M.; Groppi, M.; Kosuge, S. Two–temperature Navier–Stokes equations for a polyatomic gas derived from kinetic theory. Phys. Rev. E 2020, 102, 023104. [Google Scholar] [CrossRef]
- Kosuge, S.; Aoki, K. Shock-wave structure for a polyatomic gas with large bulk viscosity. Phys. Rev. Fluids 2018, 3, 023401. [Google Scholar] [CrossRef]
- Taniguchi, S.; Arima, T.; Ruggeri, T.; Sugiyama, M. Overshoot of the non–equilibrium temperature in the shock wave structure of a rarefied polyatomic gas subject to the dynamic pressure. Int. J. Non-Linear Mech. 2016, 79, 66–75. [Google Scholar] [CrossRef]
- Taniguchi, S.; Arima, T.; Ruggeri, T.; Sugiyama, M. Shock wave structure in rarefied polyatomic gases with large relaxation time for the dynamic pressure. J. Phys. Conf. Ser. 2018, 1035, 012009. [Google Scholar] [CrossRef]
- Pavic-Colic, M.; Madjarevic, D.; Simic, S. Polyatomic gases with dynamic pressure: Kinetic non–linear closure and the shock structure. Int. J. Non-Linear Mech. 2017, 92, 160–175. [Google Scholar] [CrossRef]
- Bisi, M.; Spiga, G. A two–temperature six–moment approach to the shock wave problem in a polyatomic gas. Ric. Mat. 2019, 68, 1–12. [Google Scholar] [CrossRef]
- Artale, V.; Conforto, F.; Martalò, G.; Ricciardello, A. Shock structure and multiple sub–shocks in Grad 10–moment binary mixtures of monoatomic gases. Ric. Mat. 2019, 68, 485–502. [Google Scholar] [CrossRef]
- Bisi, M.; Martalò, G.; Spiga, G. Shock wave structure of multi–temperature Euler equations from kinetic theory for a binary mixture. Acta Appl. Math. 2014, 132, 95–105. [Google Scholar] [CrossRef][Green Version]
- Conforto, F.; Mentrelli, A.; Ruggeri, T. Shock structure and multiple sub-shocks in binary mixtures of Eulerian fluids. Ric. Mat. 2017, 66, 221–231. [Google Scholar] [CrossRef]
- Huang, S.; Wang, J.; Li, Z.; Wang, Y.; Jin, X.; Wang, K. Influence of an explosion air shock wave on arc quenching inside a cylinder. AIP Adv. 2020, 10, 025326. [Google Scholar] [CrossRef]
- Medici, E.F.; Allen, J.S.; Waite, G.P. Modeling shock waves generated by explosive volcanic eruptions. Geophys. Res. Lett. 2014, 41, 414–421. [Google Scholar] [CrossRef]
- Choi, J.Y.; Jeung, I.S.; Yoon, Y. Scaling effect of the combustion induced by shock–wave boundary-layer interaction in premixed gas. Symp. Combust. 1998, 27, 2181–2188. [Google Scholar] [CrossRef]
- Fedorov, A.F.; Shul’gin, A.V. Point model of combustion of aluminum nanoparticles in the reflected shock wave. Combust. Explos. Shock Waves 2011, 47, 289–293. [Google Scholar] [CrossRef]
- Kunova, O.V.; Nagnibeda, E.A. State–to–state description of reacting air flows behind shock waves. Chem. Phys. 2014, 441, 66–76. [Google Scholar] [CrossRef]
- Artem’eva, N.A.; Shuvalov, V.V. Interaction of shock waves during the passage of a disrupted meteoroid through the atmosphere. Shock Waves 1996, 5, 359–367. [Google Scholar] [CrossRef]
- Bobylev, A.V.; Ostmo, S.; Ytrehus, T. Qualitative analysis of the Navier-Stokes equations for evaporation–condensation problems. Phys. Fluids 1996, 8, 1764–1773. [Google Scholar] [CrossRef]
- Bisi, M.; Groppi, M.; Martalò, G. The evaporation–condensation problem for a binary mixture of rarefied gases. Contin. Mech. Thermodyn. 2020, 32, 1109–1126. [Google Scholar] [CrossRef]
- Taniguchi, S.; Arima, T.; Ruggeri, T.; Sugiyama, M. Thermodynamic theory of the shock wave structure in a rarefied polyatomic gas: Beyond the Bethe-Teller theory. Phys. Rev. E 2014, 89, 013025. [Google Scholar] [CrossRef] [PubMed]
- Cramer, M.S. Numerical estimates for the bulk viscosity of ideal gases. Phys. Fluids 2012, 24, 066102. [Google Scholar] [CrossRef]
- Elizarova, T.G.; Khokhlov, A.A.; Montero, S. Numerical simulation of shock wave structure in nitrogen. Phys. Fluids 2007, 19, 068102. [Google Scholar] [CrossRef]
- Aoki, K.; Baranger, C.; Hattori, M.; Kosuge, S.; Martalò, G.; Mathiaud, J.; Mieussens, L. Slip boundary conditions for the compressible Navier–Stokes equations. J. Stat. Phys. 2017, 169, 744–781. [Google Scholar] [CrossRef]
- Wang, P.; Su, W.; Wu, L. Thermal transpiration in molecular gas. Phys. Fluids 2020, 32, 082005. [Google Scholar] [CrossRef]
- Mason, E.A. Molecular relaxation times from thermal transpiration measurements. J. Chem. Phys. 1963, 39, 522–526. [Google Scholar] [CrossRef]
- Gupta, A.D.; Storvick, T.S. Analysis of the heat conductivity data for polar and nonpolar gases using thermal transpiration measurements. J. Chem. Phys. 1970, 52, 742–749. [Google Scholar] [CrossRef]
- Wu, L.; White, C.; Scanlon, T.J.; Reese, J.M.; Zhang, Y.H. A kinetic model of the Boltzmann equation for non–vibrating polyatomic gases. J. Fluid Mech. 2015, 763, 24–50. [Google Scholar] [CrossRef]










Publisher’s Note: MDPI stays neutral with regard to jurisdictional claims in published maps and institutional affiliations. |
© 2021 by the authors. Licensee MDPI, Basel, Switzerland. This article is an open access article distributed under the terms and conditions of the Creative Commons Attribution (CC BY) license (http://creativecommons.org/licenses/by/4.0/).
Share and Cite
Aoki, K.; Bisi, M.; Groppi, M.; Kosuge, S. A Note on the Steady Navier–Stokes Equations Derived from an ES–BGK Model for a Polyatomic Gas. Fluids 2021, 6, 32. https://doi.org/10.3390/fluids6010032
Aoki K, Bisi M, Groppi M, Kosuge S. A Note on the Steady Navier–Stokes Equations Derived from an ES–BGK Model for a Polyatomic Gas. Fluids. 2021; 6(1):32. https://doi.org/10.3390/fluids6010032
Chicago/Turabian StyleAoki, Kazuo, Marzia Bisi, Maria Groppi, and Shingo Kosuge. 2021. "A Note on the Steady Navier–Stokes Equations Derived from an ES–BGK Model for a Polyatomic Gas" Fluids 6, no. 1: 32. https://doi.org/10.3390/fluids6010032
APA StyleAoki, K., Bisi, M., Groppi, M., & Kosuge, S. (2021). A Note on the Steady Navier–Stokes Equations Derived from an ES–BGK Model for a Polyatomic Gas. Fluids, 6(1), 32. https://doi.org/10.3390/fluids6010032

