Modelling Microlayer Formation in Boiling Sodium
Abstract
1. Introduction
2. Our Current Understanding of the Microlayer
3. Simulation MethodologyS
3.1. Interface-Capturing Model
3.2. Simulation Setup
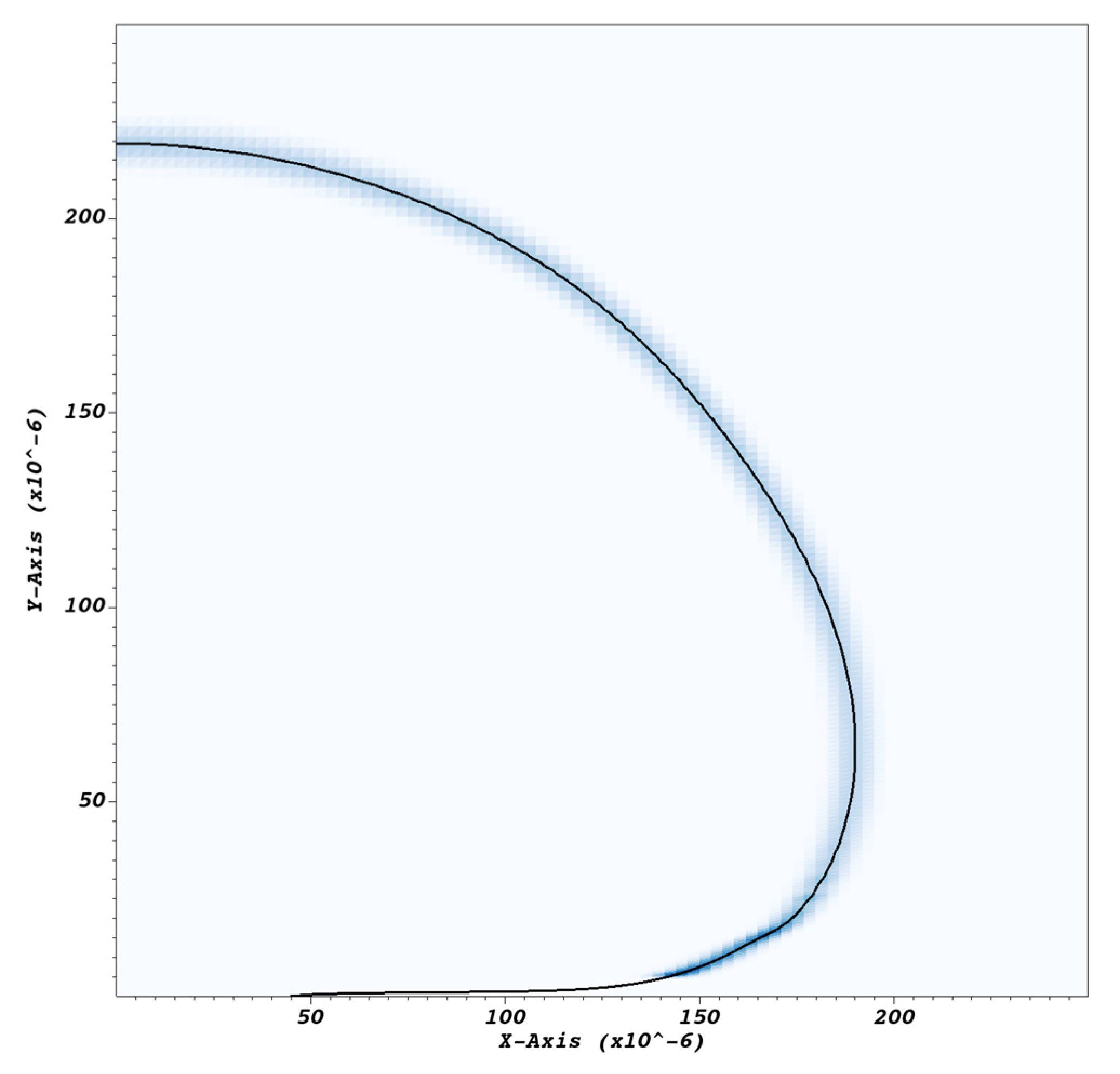
3.3. Model Validation Using Water Boiling Data
4. Modelling Microlayer Formation in Boiling of Sodium
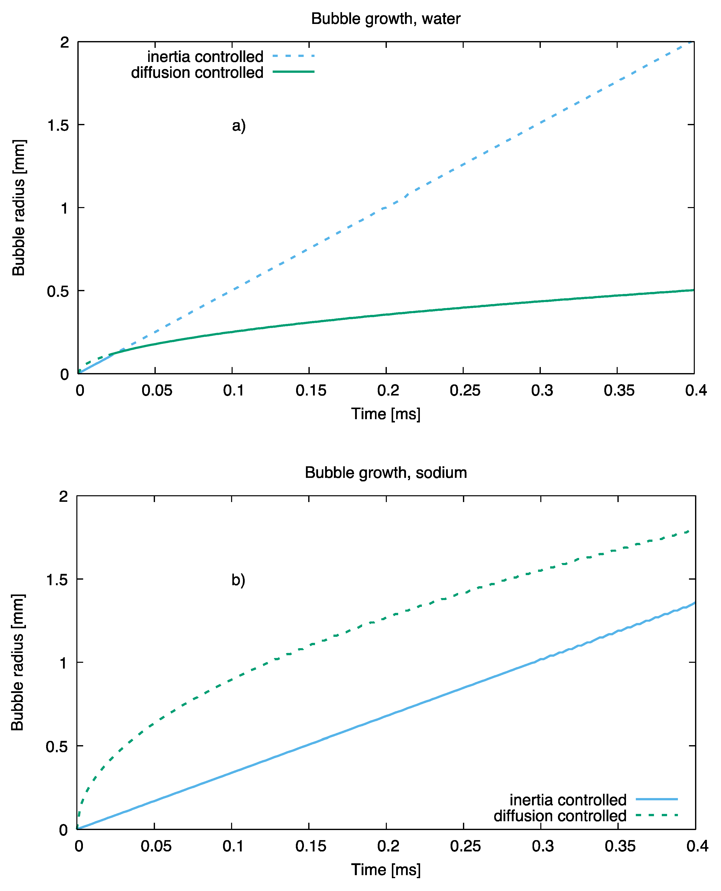
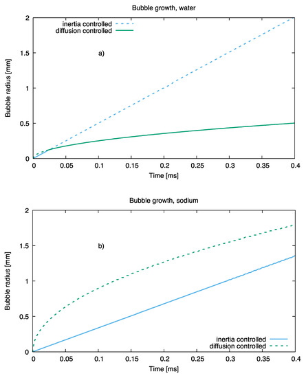
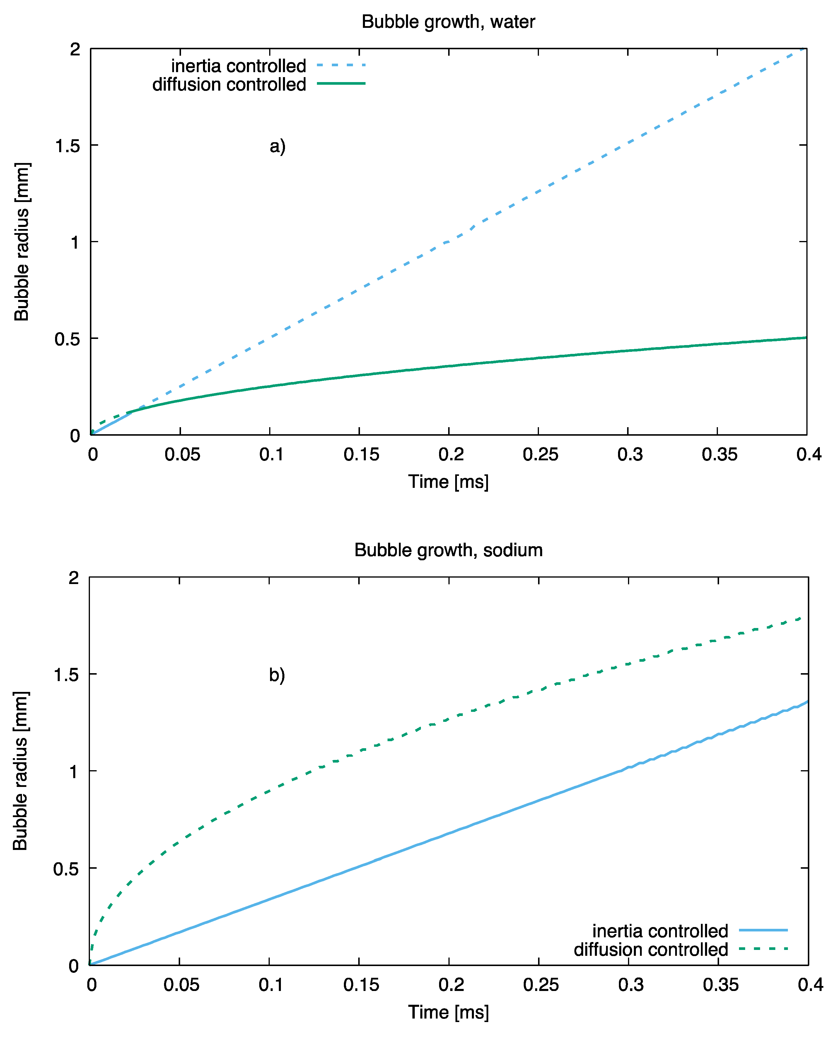
4.1. Likely Bubble Growth Regime in Sodium; Differences with the Case of Water Boiling
4.2. Parametric Trends of Simulation Results
4.2.1. Effect of Bubble Growth Rate
4.2.2. Effect of Liquid Viscosity
4.2.3. Effect of Surface Tension Coefficient
5. Comparison of Simulation Results with an Extant Analytical Model of Microlayer Formation
6. Conclusions
Author Contributions
Funding
Conflicts of Interest
References
- Jung, S.; Kim, H. Hydrodynamic formation of a microlayer underneath a boiling bubble. Int. J. Heat Mass Transf. 2018, 120, 1229–1240. [Google Scholar] [CrossRef]
- Giustini, G.; Jung, S.; Kim, H.; Ardron, K.H.; Walker, S.P. Microlayer evaporation during steam bubble growth. Int. J. Therm. Sci. 2019, 137, 45–54. [Google Scholar] [CrossRef]
- Jung, S.; Kim, H. An experimental method to simultaneously measure the dynamics and heat transfer associated with a single bubble during nucleate boiling on a horizontal surface. Int. J. Heat Mass Transf. 2014, 73, 365–375. [Google Scholar] [CrossRef]
- Giustini, G.; Jung, S.; Kim, H.; Walker, S.P. Evaporative thermal resistance and its influence on microscopic bubble growth. Int. J. Heat Mass Transf. 2016, 101, 733–741. [Google Scholar] [CrossRef]
- Hänsch, S.; Walker, S. Microlayer formation and depletion beneath growing steam bubbles. Int. J. Multiph. Flow 2019, 111, 241–263. [Google Scholar] [CrossRef]
- Urbano, A.; Tanguy, S.; Huber, G.; Colin, C. Direct numerical simulation of nucleate boiling in micro-layer regime. Int. J. Heat Mass Transf. 2018, 123, 1128–1137. [Google Scholar] [CrossRef]
- Utaka, Y.; Kashiwabara, Y.; Ozaki, M. Microlayer structure in nucleate boiling of water and ethanol at atmospheric pressure. Int. J. Heat Mass Transf. 2013, 57, 222–230. [Google Scholar] [CrossRef]
- Yabuki, T.; Nakabeppu, O. Microscale wall heat transfer and bubble growth in single bubble subcooled boiling of water. Int. J. Heat Mass Transf. 2016, 100, 851–860. [Google Scholar] [CrossRef]
- Kim, J. Review of nucleate pool boiling bubble heat transfer mechanisms. Int. J. Multiph. Flow 2009, 35, 1067–1076. [Google Scholar] [CrossRef]
- Gerardi, C.; Buongiorno, J.; Hu, L.-W.; McKrell, T. Study of bubble growth in water pool boiling through synchronized, infrared thermometry and high-speed video. Int. J. Heat Mass Transf. 2010, 53, 4185–4192. [Google Scholar] [CrossRef]
- Sugrue, R.; Buongiorno, J. A modified force-balance model for prediction of bubble departure diameter in subcooled flow boiling. Nucl. Eng. Des. 2016, 305, 717–722. [Google Scholar] [CrossRef]
- Guion, A.; Afkhami, S.; Zaleski, S.; Buongiorno, J. Simulations of microlayer formation in nucleate boiling. Int. J. Heat Mass Transf. 2018, 127, 1271–1284. [Google Scholar] [CrossRef]
- Hänsch, S.; Walker, S. The hydrodynamics of microlayer formation beneath vapour bubbles. Int. J. Heat Mass Transf. 2016, 102, 1282–1292. [Google Scholar] [CrossRef]
- Kottowski, H.M.; Savatteri, C. Fundamentals of liquid metal boiling thermohydraulics. Nucl. Eng. Des. 1984, 82, 281–304. [Google Scholar] [CrossRef]
- Coventry, J.; Andraka, C.; Pye, J.; Blanco, M.; Fisher, J. A review of sodium receiver technologies for central receiver solar power plants. Sol. Energy 2015, 122, 749–762. [Google Scholar] [CrossRef]
- Ardron, K.H.; Giustini, G.; Walker, S.P. Prediction of dynamic contact angles and bubble departure diameters in pool boiling using equilibrium thermodynamics. Int. J. Heat Mass Transf. 2017, 114, 1274–1294. [Google Scholar] [CrossRef]
- Tryggvason, G.; Scardovelli, R.; Zaleski, S. Direct Numerical Simulations of Gas–Liquid Multiphase Flows; Cambridge University Press: Cambridge, UK, 2011. [Google Scholar] [CrossRef]
- Issa, R.I. Solution of the implicitly discretised fluid flow equations by operator-splitting. J. Comput. Phys. 1986, 62, 40–65. [Google Scholar] [CrossRef]
- Issa, R.I.; Gosman, A.D.; Watkins, A.P. The computation of compressible and incompressible recirculating flows by a non-iterative implicit scheme. J. Comput. Phys. 1986, 62, 66–82. [Google Scholar] [CrossRef]
- Greenshields, C. OpenFOAM User Guide; The OpenFOAM Foundation Ltd.: London, UK, 2017. [Google Scholar]
- Mikic, B.B.; Rohsenow, W.M.; Griffith, P. On bubble growth rates. Int. J. Heat Mass Transf. 1970, 13, 657–666. [Google Scholar] [CrossRef]
- Hardt, S.; Wondra, F. Evaporation model for interfacial flows based on a continuum-field representation of the source terms. J. Comput. Phys. 2008, 227, 5871–5895. [Google Scholar] [CrossRef]
- Brackbill, J.U.; Kothe, D.B.; Zemach, C. A continuum method for modeling surface tension. J. Comput. Phys. 1992, 100, 335–354. [Google Scholar] [CrossRef]
- Ferrari, A.; Magnini, M.; Thome, J.R. Numerical analysis of slug flow boiling in square microchannels. Int. J. Heat Mass Transf. 2018, 123, 928–944. [Google Scholar] [CrossRef]
- Magnini, M.; Pulvirenti, B.; Thome, J.R. Numerical investigation of hydrodynamics and heat transfer of elongated bubbles during flow boiling in a microchannel. Int. J. Heat Mass Transf. 2013, 59, 451–471. [Google Scholar] [CrossRef]
- Denner, F.; van Wachem, B.G.M. Numerical time-step restrictions as a result of capillary waves. J. Comput. Phys. 2015, 285, 24–40. [Google Scholar] [CrossRef]
- Damiàn, S.M. An Extended Mixture Model for the Simultaneous Treatment of Short and Long Scale Interfaces. Ph.D. Thesis, Universidad Nacional del Litoral, Santa Fe, Argentina, 2013. [Google Scholar]
- Nabil, M.; Rattner, A.S. interThermalPhaseChangeFoam—A framework for two-phase flow simulations with thermally driven phase change. SoftwareX 2016, 5, 216–226. [Google Scholar] [CrossRef]
- Cooper, M.G.; Lloyd, A.J.P. The microlayer in nucleate pool boiling. Int. J. Heat Mass Transf. 1969, 12, 895–913. [Google Scholar] [CrossRef]

















| Properties of Saturated Water at 1 bar | ||
|---|---|---|
| Property | Vapour | Liquid |
| Dynamic viscosity | ||
| Density | 0.6 | 958.4 |
| Specific heat capacity | 2077.5 | 4216.6 |
| Thermal conductivity | ||
| Surface tension coefficient | 0.059 | |
| Latent heat of vaporization | ||
| Properties of Saturated Sodium at 1200K, 1.48 bar | ||
|---|---|---|
| Property | Vapour | Liquid |
| Dynamic viscosity | ||
| Density | 0.39 | 732.0 |
| Specific heat capacity | 2750.0 | 1250.0 |
| Thermal conductivity | ||
| Surface tension coefficient | 0.115 | |
| Latent heat of vaporization | ||
| Growth Rate A [m/s] | ||
|---|---|---|
| 3.39 | 0.115 |
| Overview of Microlayer Formation Cases | |||
|---|---|---|---|
| Section | Growth Rate Value | Liquid Viscosity Value | Surface Tension Coefficient Value |
| Section 4.2.1 | 0.5, base, 2 | base | base |
| Section 4.2.2 | base | 0.5, base, 2 | base |
| Section 4.2.3 | base | base | 0.25, 0.5, base, 2 |
Publisher’s Note: MDPI stays neutral with regard to jurisdictional claims in published maps and institutional affiliations. |
© 2020 by the authors. Licensee MDPI, Basel, Switzerland. This article is an open access article distributed under the terms and conditions of the Creative Commons Attribution (CC BY) license (http://creativecommons.org/licenses/by/4.0/).
Share and Cite
Giustini, G.; Kim, H.; I. Issa, R.; J. Bluck, M. Modelling Microlayer Formation in Boiling Sodium. Fluids 2020, 5, 213. https://doi.org/10.3390/fluids5040213
Giustini G, Kim H, I. Issa R, J. Bluck M. Modelling Microlayer Formation in Boiling Sodium. Fluids. 2020; 5(4):213. https://doi.org/10.3390/fluids5040213
Chicago/Turabian StyleGiustini, Giovanni, Hyungdae Kim, Raad I. Issa, and Michael J. Bluck. 2020. "Modelling Microlayer Formation in Boiling Sodium" Fluids 5, no. 4: 213. https://doi.org/10.3390/fluids5040213
APA StyleGiustini, G., Kim, H., I. Issa, R., & J. Bluck, M. (2020). Modelling Microlayer Formation in Boiling Sodium. Fluids, 5(4), 213. https://doi.org/10.3390/fluids5040213
