Shock Capturing in Large Eddy Simulations by Adaptive Filtering
Abstract
1. Introduction
2. Numerical Method
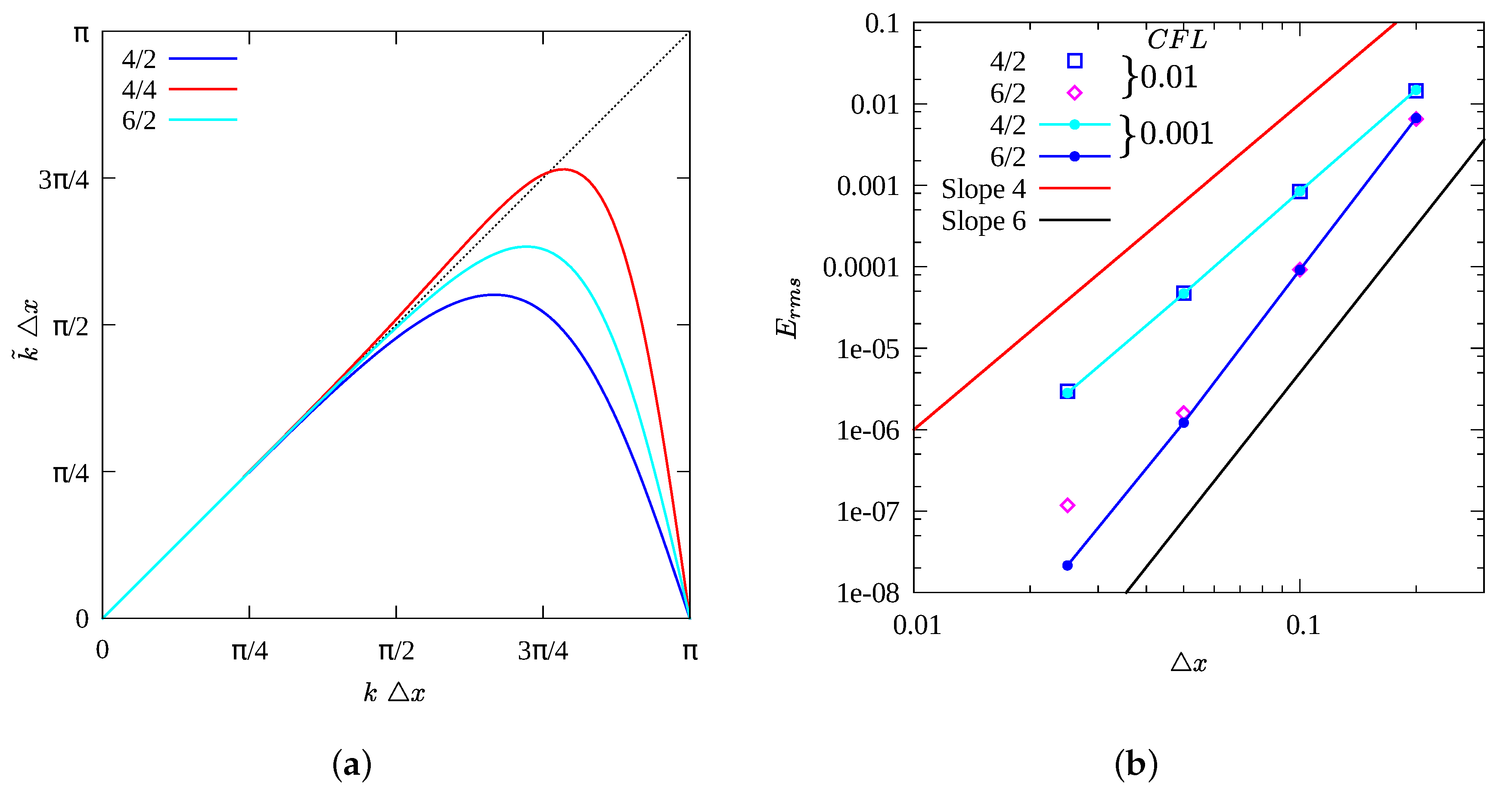
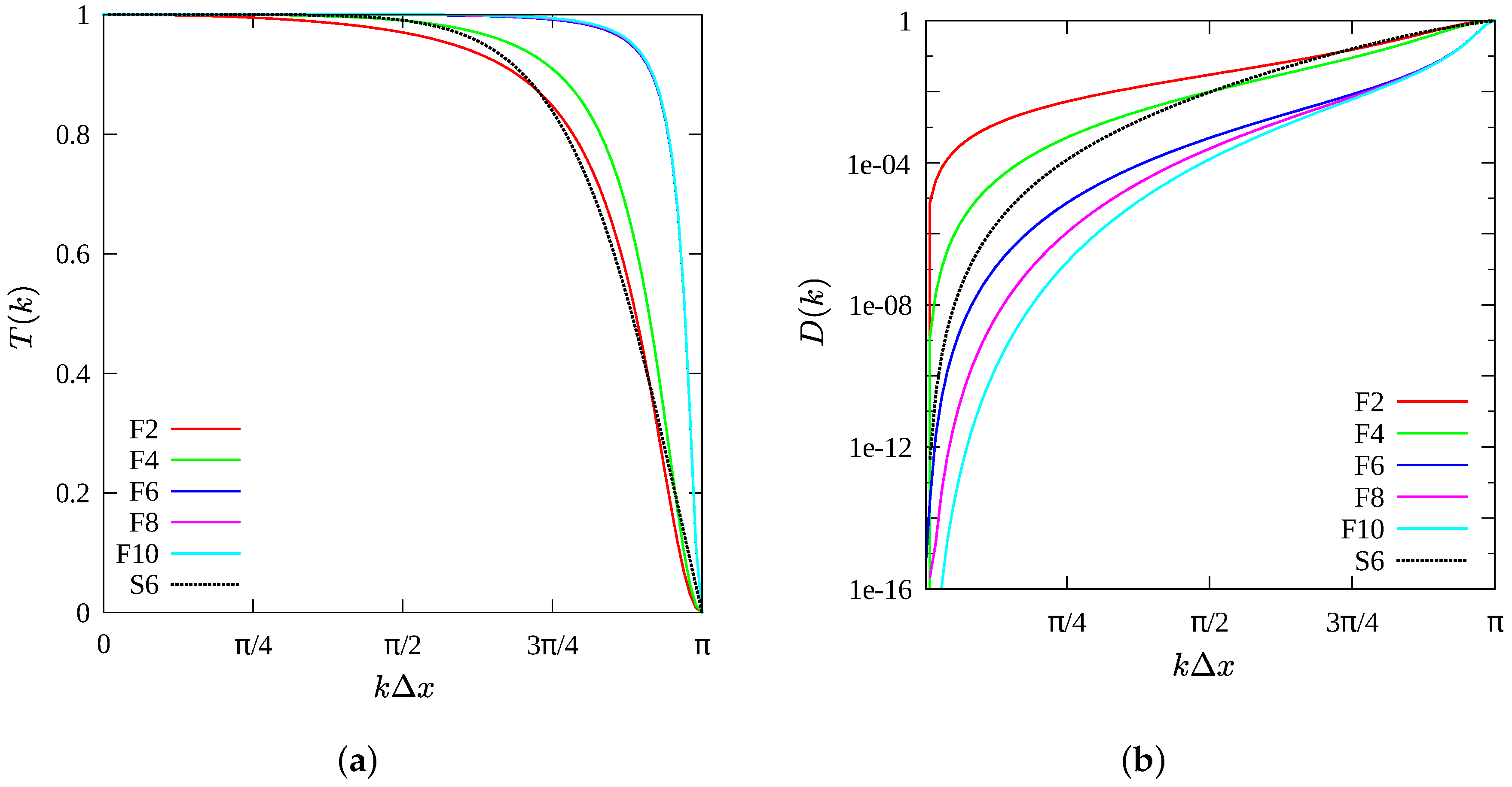
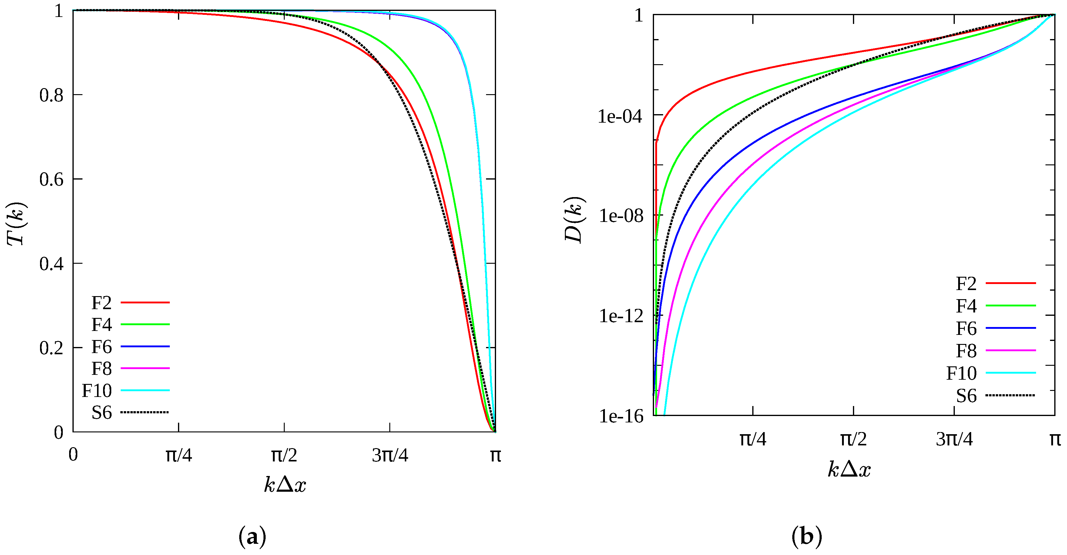
2.1. Spatial Discretization
2.2. Treatment of Regions with Shocks
3. Basic Tests
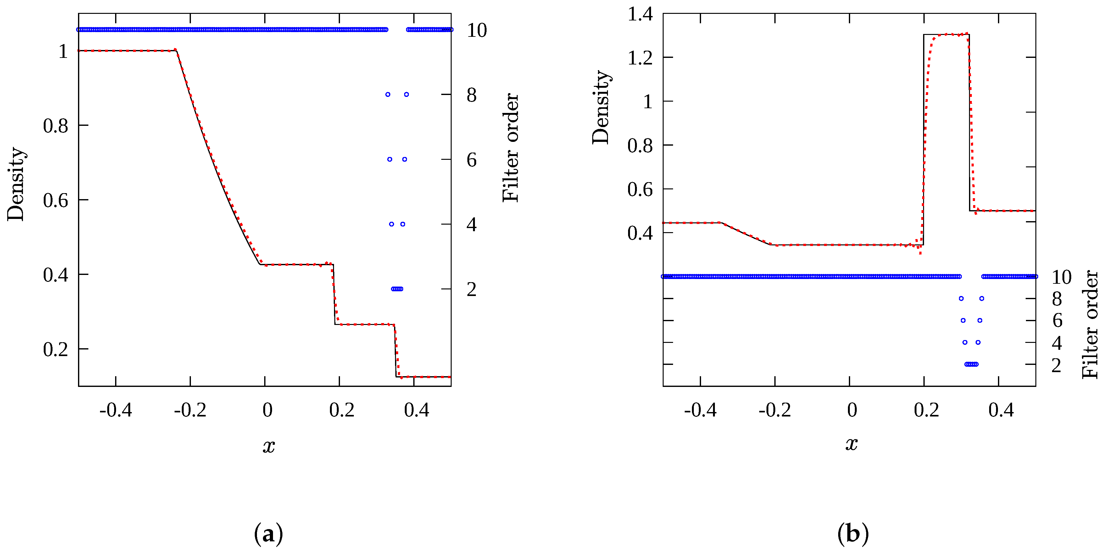
3.1. Riemann Problems
3.2. Interaction of Plane Waves with Shocks
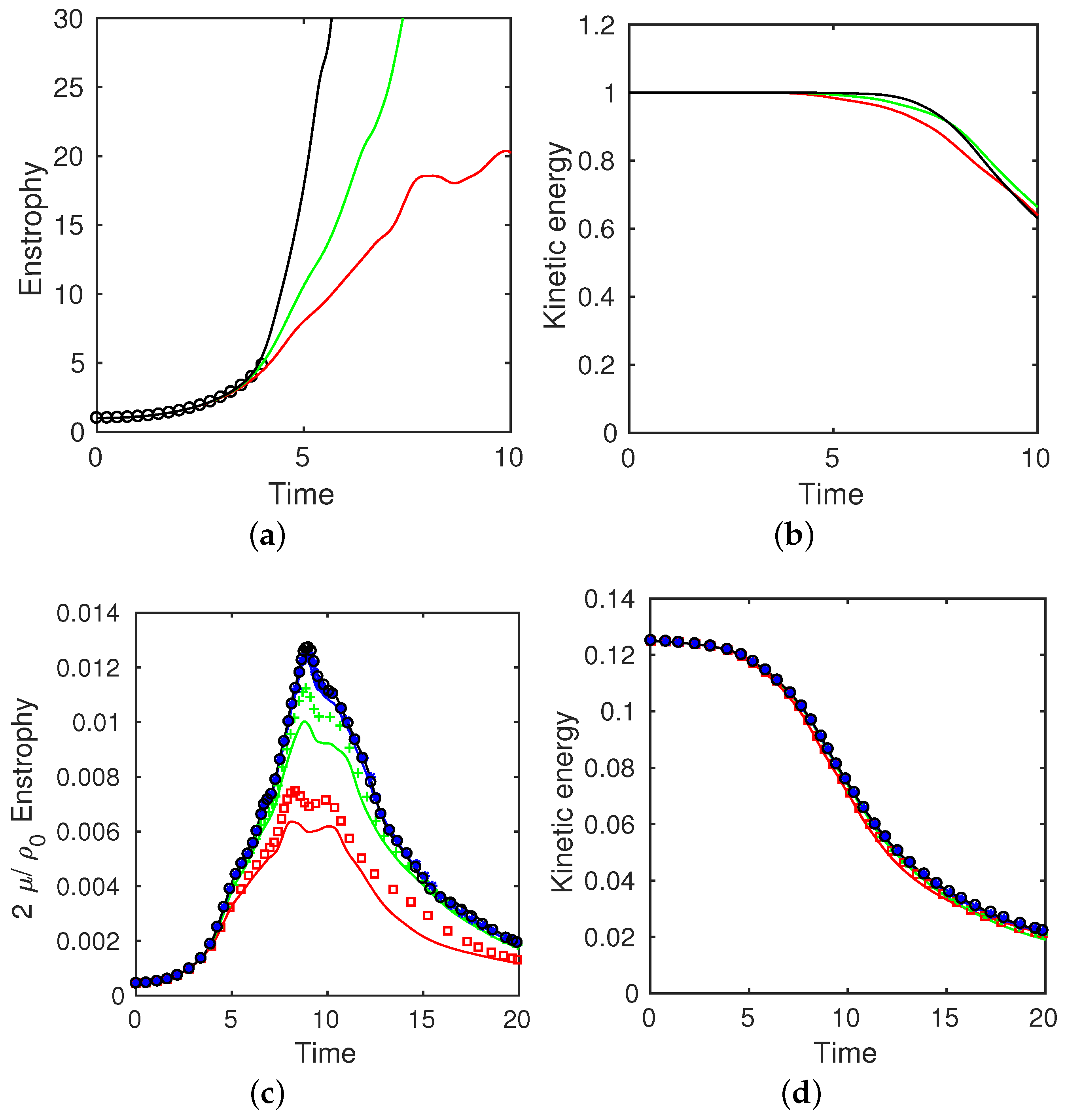
3.3. 3D Evolution
4. Jet LES
4.1. Free, Underexpanded Round Jet
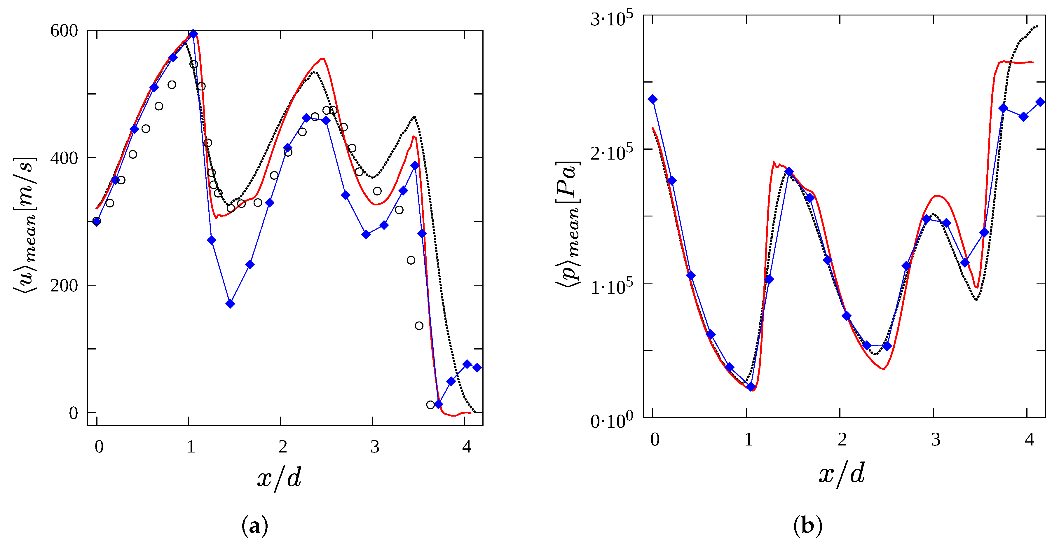
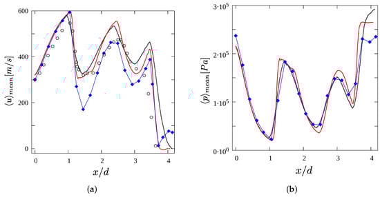
4.2. Impinging Round Jet
5. Conclusions
Author Contributions
Funding
Conflicts of Interest
References
- Pirozzoli, S. Numerical Methods for High-Speed Flows. Annu. Rev. Fluid Mech. 2011, 43, 163–194. [Google Scholar] [CrossRef]
- Sangsan Lee, S.K.L.; Moin, P. Interaction of isotropic turbulence with shock waves: Effect of shock strength. J. Fluid Mech. 1997, 340, 225–247. [Google Scholar]
- Adams, N.; Shariff, K. A High-Resolution Hybrid Compact-ENO Scheme for Shock-Turbulence Interaction Problems. J. Comput. Phys. 1996, 127, 27–51. [Google Scholar] [CrossRef]
- Pirozzoli, S. Conservative Hybrid Compact-WENO Schemes for Shock-Turbulence Interaction. J. Comput. Phys. 2002, 178, 81–117. [Google Scholar] [CrossRef]
- Yee, H.C.; Sandham, N.D.; Djomehri, M.J. Low-Dissipative High-Order Shock-Capturing Methods Using Characteristic-Based Filters 1. J. Comput. Phys. 1999, 238, 199–238. [Google Scholar] [CrossRef]
- Cook, A.W.; Cabot, W.H. A high-wavenumber viscosity for high-resolution numerical methods. J. Comput. Phys. 2004, 195, 594–601. [Google Scholar] [CrossRef]
- Cook, A.W.; Cabot, W.H. Hyperviscosity for shock-turbulence interactions. J. Comput. Phys. 2005, 203, 379–385. [Google Scholar] [CrossRef]
- Cook, A.W. Artificial fluid properties for large-eddy simulation of compressible turbulent mixing. Phys. Fluids 2007, 19, 055103. [Google Scholar] [CrossRef]
- Bonelli, F.; Viggiano, A.; Magi, V. How does a high density ratio affect the near-and intermediate-field of high-Re hydrogen jets? Int. J. Hydrog. Energy 2016, 41, 15007–15025. [Google Scholar] [CrossRef]
- Johnsen, E.; Larsson, J.; Bhagatwala, A.V.; Cabot, W.H.; Moin, P.; Olson, B.J.; Rawat, P.S.; Shankar, S.K.; Sjögreen, B.; Yee, H.; et al. Assessment of high-resolution methods for numerical simulations of compressible turbulence with shock waves. J. Comput. Phys. 2010, 229, 1213–1237. [Google Scholar] [CrossRef]
- Mathew, J.; Foysi, H.; Sesterhenn, J.; Friedrich, R. An explicit filtering method for large eddy simulation of compressible flows. Phys. Fluids 2003, 15, 2279–2289. [Google Scholar] [CrossRef]
- Visbal, M.R.; Gaitonde, D.V. Shock capturing using compact-differencing-based methods. In Proceedings of the 43rd AIAA Aerospace Sciences Meeting & Exhibit, Reno, NV, USA, 10–13 January 2005. AIAA 2005-1265. [Google Scholar]
- Bogey, C.; de Cacqueray, N.; Bailly, C. A shock-capturing methodology based on adaptative spatial filtering for high-order non-linear computations. J. Comput. Phys. 2009, 228, 1447–1465. [Google Scholar] [CrossRef]
- Tannehill, J.C.; Anderson, D.A.; Pletcher, R.H. Computational Fluid Mechanics and Heat Transfer, 2nd ed.; Taylor & Francis: Abingdon, UK, 1984. [Google Scholar]
- Lele, S.K. Compact Finite Difference Schemes with Spectral-like. J. Comput. Phys. 1992, 103, 16–42. [Google Scholar] [CrossRef]
- Bogey, C.; Bailly, C. A family of low dispersive and low dissipative explicit schemes for flow and noise computations. J. Comput. Phys. 2004, 194, 194–214. [Google Scholar] [CrossRef]
- Mathew, J.; Foysi, H.; Friedrich, R. A new approach to LES based on explicit filtering. Int. J. Heat Fluid Flow 2006, 27, 594–602. [Google Scholar] [CrossRef]
- Visbal, M.R.; Rizzetta, D.P. Large-Eddy Simulation on Curvilinear Grids Using Compact Differencing and Filtering Schemes. ASME J. Fluids Eng. 2014, 124, 836–847. [Google Scholar] [CrossRef]
- Bogey, C.; Bailly, C. Computation of a high Reynolds number jet and its radiated noise using large eddy simulation based on explicit filtering. Comput. Fluids 2006, 35, 1344–1358. [Google Scholar] [CrossRef]
- Chakravorty, S.; Mathew, J. A high-resolution scheme for low Mach number flows. Int. J. Numer. Methods Fluids 2004, 46, 245–261. [Google Scholar] [CrossRef]
- Chakravorty, S. On Large Eddy Simulation of Reacting Flows Using the Explicit Filtering Method with a Filtered Mass Density. Ph.D. Thesis, Indian Institute of Science, Bengaluru, India, 2010. [Google Scholar]
- Ganesh, S. Flow and Sound Field of Free and Impinging Jets from LES Using Explicit Filtering Method. Ph.D. Thesis, Indian Institute of Science, Bengaluru, India, 2013. [Google Scholar]
- Hixon, R.; Turkel, E. Compact Implicit MacCormack-Type Schemes with High Accuracy. J. Comput. Phys. 2000, 158, 51–70. [Google Scholar] [CrossRef]
- Ducros, F.; Ferrand, V.; Nicoud, F.; Weber, C.; Darracq, D.; Gacherieu, C.; Poinsot, T. Large-Eddy Simulation of the Shock/Turbulence Interaction. J. Comput. Phys. 1999, 152, 517–549. [Google Scholar] [CrossRef]
- Bhagatwala, A.; Lele, S.K. A modified artificial viscosity approach for compressible turbulence simulations. J. Comput. Phys. 2009, 228, 4965–4969. [Google Scholar] [CrossRef]
- Kawai, S.; Lele, S. Localized artificial diffusivity scheme for discontinuity capturing on curvilinear meshes. J. Comput. Phys. 2008, 227, 9498–9526. [Google Scholar] [CrossRef]
- Lax, P.D.; Liu, X.D. Solution of two-dimensional Riemann problems of gas dynamics by positive schemes. SIAM J. Sci. Comput. 1998, 19, 319–340. [Google Scholar] [CrossRef]
- Shu, C.W.; Osher, S. Efficient implementation of essentially non-oscillatory shock capturing schemes. J. Comput. Phys. 1988, 77, 439–471. [Google Scholar] [CrossRef]
- Mahesh, K. The Interaction of a Shock Wave with a Turbulent Shear Flow. Ph.D. Thesis, Stanford University, Stanford, CA, USA, 1996. [Google Scholar]
- Brachet, M.E.; Meiron, D.I.; Orszag, S.A.; Nickel, B.G.; Morf, R.H.; Frisch, U. Small-scale structure of the Taylor–Green vortex. J. Fluid Mech. 1983, 130, 411–452. [Google Scholar] [CrossRef]
- DeBonis, J. Solutions of the Taylor-Green vortex problem using high-resolution explicit finite difference methods. In Proceedings of the 51st AIAA Aerospace Sciences Meeting including the New Horizons Forum and Aerospace Exposition, Grapevine, TX, USA, 7–10 January 2013. AIAA 2013-0382. [Google Scholar] [CrossRef]
- Norum, T.D.; Seiner, J.M. Measurements of Mean Static Pressure and Far-Field Acoustics of Shock-Containing Supersonic Jets; NASA Technical Memorandum 84521; NASA: Washington, DC, USA, 1982.
- Patel, S.K.; Mathew, J. Large Eddy Simulation of Supersonic Impinging Jets by adaptive, explicit filtering. In Proceedings of the 22nd AIAA Computational Fluid Dynamics Conference, Dallas, TX, USA, 22–26 June 2015. Paper No. AIAA-2015-2298. [Google Scholar]
- Henderson, A. An experimental study of the oscillatory flow structure of tone-producing supersonic impinging jets. J. Fluid Mech. 2005, 542, 115–137. [Google Scholar] [CrossRef]
- Dauptain, A.; Cuenot, B.; Gicquel, L.Y.M. Large Eddy Simulation of Stable Supersonic Jet Impinging on Flat Plate. AIAA J. 2010, 48, 2325–2338. [Google Scholar] [CrossRef]











| Quadrant | p | v | |
|---|---|---|---|
| I | 1.0 | 1.0 | −0.3 |
| II | 2.0 | 1.0 | 0.3 |
| III | 1.0625 | 0.4 | 0.8145 |
| IV | 0.5313 | 0.4 | 0.4276 |
| Brachet et al. [30] | ||||
|---|---|---|---|---|
| Inviscid | ||||
| Energy (t = 5) | 0.9846 | 0.9943 | 0.9992 | 1.00 |
| Enstrophy (t = 3.5) | 3.276 | 3.402 | 3.458 | 3.459 |
| Viscous | ||||
| Energy (t = 5) | 0.9423 | 0.9468 | 0.9476 | |
| Enstrophy (t = 3.5) | 3.080 | 3.145 | 3.154 |
© 2019 by the authors. Licensee MDPI, Basel, Switzerland. This article is an open access article distributed under the terms and conditions of the Creative Commons Attribution (CC BY) license (http://creativecommons.org/licenses/by/4.0/).
Share and Cite
Patel, S.K.; Mathew, J. Shock Capturing in Large Eddy Simulations by Adaptive Filtering. Fluids 2019, 4, 132. https://doi.org/10.3390/fluids4030132
Patel SK, Mathew J. Shock Capturing in Large Eddy Simulations by Adaptive Filtering. Fluids. 2019; 4(3):132. https://doi.org/10.3390/fluids4030132
Chicago/Turabian StylePatel, Sumit Kumar, and Joseph Mathew. 2019. "Shock Capturing in Large Eddy Simulations by Adaptive Filtering" Fluids 4, no. 3: 132. https://doi.org/10.3390/fluids4030132
APA StylePatel, S. K., & Mathew, J. (2019). Shock Capturing in Large Eddy Simulations by Adaptive Filtering. Fluids, 4(3), 132. https://doi.org/10.3390/fluids4030132

