Identification of the Structures for Low Reynolds Number Flow in the Strong Magnetic Field
Abstract
1. Introduction
2. Model and Methods
2.1. Constitutive Modeling
- Stationary flow;
- Three-dimensional flow;
- Incompressible flow;
- Lack of additional mass sources.
- Laminar flow;
- Gravitational and magnetic forces were treated as the body forces;
- Gravitational buoyancy force was formulated with the usage of the Boussinesq approximation.
- No species diffusion in the system;
- Radiation effects were ignored;
- Viscous dissipation was negligible (Brinkman number Br ≪ 1, Equation (8));
- Lack of additional energy sources (including magnetic, which can be and was considered negligible).
- Single, circular coil;
- Infinitely thin conductor.
2.2. The Studied Case
2.3. The Computation of the Magnetic Induction Distribution
- Computation of the coil geometry and coil elements matrix;
- Computation of the position vectors matrix;
- Computation of the magnetic induction components based on the vector products of the abovementioned quantities with the usage of solver built-in loops.
3. Results
3.1. Model Validation
3.2. Referent Case
3.3. The Results of Re = 1 and b0 = 5 T
3.4. The Results of Re = 1 and b0 = 10 T
3.5. The Results of Re = 10 and b0 = 5 T
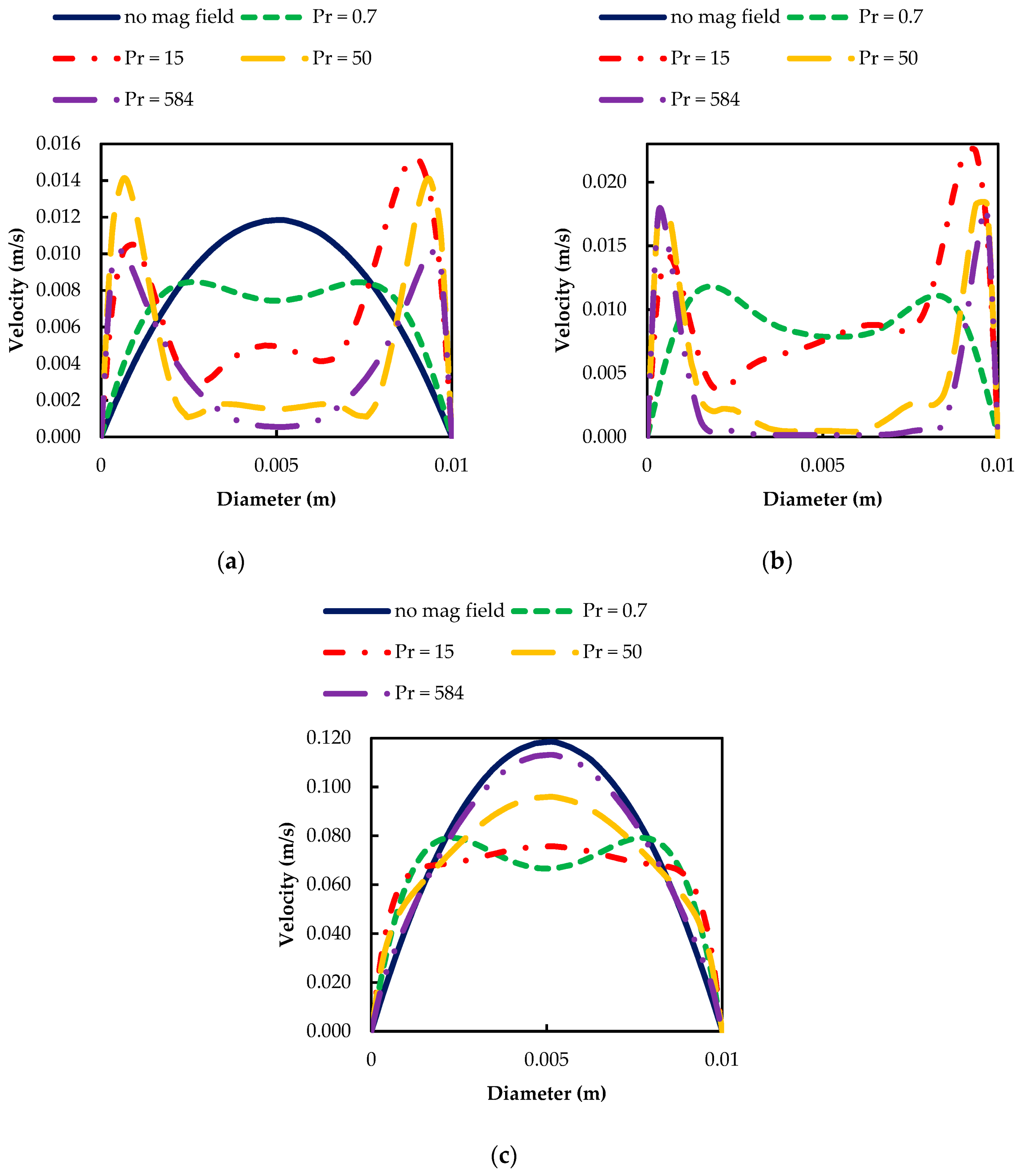
3.6. Velocity Profiles
3.7. Vorticity Profiles
3.8. Maximal Velocity
4. Discussion
Author Contributions
Funding
Acknowledgments
Conflicts of Interest
References
- Bednorz, J.G.; Müller, K.A. Possible high Tc superconductivity in the Ba−La−Cu−O system. Z. Phys. B Condens. Matter 1986, 64, 189–193. [Google Scholar] [CrossRef]
- Braithwaite, D.; Beaugnon, E.; Tournier, R. Magnetically controlled convection in a paramagnetic fluid. Nature 1991, 354, 134–136. [Google Scholar] [CrossRef]
- Wakayama, N.I.; Sugie, M. Magnetic promotion of combustion in diffusion flames. Phys. B Condens. Matter 1996, 216, 403–405. [Google Scholar] [CrossRef]
- Ikezoe, Y.; Hirota, N.; Nakagawa, J.; Kitazawa, K. Making water levitate. Nature 1998, 394, 749–750. [Google Scholar] [CrossRef]
- Uetake, H. Nonmechanical magnetothermal wind blower by a superconducting magnet. J. Appl. Phys. 1999, 85, 5735–5737. [Google Scholar] [CrossRef]
- Tagawa, T.; Shigemitsu, R.; Ozoe, H. Magnetizing force modeled and numerically solved for natural convection of air in a cubic enclosure: Effect of the direction of the magnetic field. Int. J. Heat Mass Transf. 2002, 45, 267–277. [Google Scholar] [CrossRef]
- Tagawa, T.; Ujihara, A.; Ozoe, H. Numerical computation for Rayleigh–Benard convection of water in a magnetic field. J. Heat Mass Transf. 2003, 46, 4097–4104. [Google Scholar] [CrossRef]
- Bednarz, T. Numerical and Experimental Analyses of Convection of Paramagnetic Fluid in a Cubic Enclosure. Ph.D. Thesis, Kyushu University, Fukuoka, Japan, 2004. [Google Scholar]
- Filar, P. Convection of Paramagnetic Fluid in a Cylindrical Enclosure under a Strong Magnetic Field. Ph.D. Thesis, Kyushu University, Fukoka, Japan, 2004. [Google Scholar]
- Roszko, A.; Fornalik-Wajs, E. Extend of magnetic field interference in the natural convection of diamagnetic nanofluid. Heat Mass Transf. 2018, 54, 2243–2254. [Google Scholar] [CrossRef]
- Kraszewska, A.; Pyrda, Ł.; Donizak, J. High magnetic field impact on the natural convection behaviour of a magnetic fluid. Heat Mass Transf. 2018, 54, 2383–2394. [Google Scholar] [CrossRef]
- Wróbel, W.; Fornalik-Wajs, E.; Szmyd, J.S. Analysis of the influence of a strong magnetic field gradient on convection process of paramagnetic fluid in the annulus between horizontal concentric cylinders. J. Phys. Conf. Ser. 2012, 395. [Google Scholar] [CrossRef]
- Fornalik-Wajs, E.; Filar, P.; Wajs, J.; Roszko, A.; Pleskacz, Ł.; Ozoe, H. Flow structure, heat transfer and scaling analysis in the case of thermo-magnetic convection in a differentially heated cylindrical enclosure. J. Phys. Conf. Ser. 2014, 503. [Google Scholar] [CrossRef]
- Kenjeres, S.; Tjin, J.L. Numerical simulations of targeted delivery of magnetic drug aerosols in the human upper and central respiratory system: A validation study. R. Soc. Open Sci. 2017, 4, 170873. [Google Scholar] [CrossRef] [PubMed]
- Ozoe, H. Magnetothermal wind tunnel. In Magnetic Convection, 1st ed.; Imperial College Press: London, UK, 2005; pp. 193–204. ISBN 10: 1-86094-578-3. [Google Scholar]
- Pleskacz, L.; Fornalik-Wajs, E. Magnetic field impact on the high and low Reynolds number flows. J. Phys. Conf. Ser. 2014, 530. [Google Scholar] [CrossRef]
- Pleskacz, L.; Roszko, A.; Fornalik-Wajs, E. Velocity and temperature maldistribution due to the magnetic field influence. Sci. Lett. Rzeszow Univ. Technol. Mech. 2014, 31, 425–432. [Google Scholar] [CrossRef]
- Pleskacz, L.; Fornalik-Wajs, E. Various aspects of magnetic field influence on forced convection. E3S Web Conf. 2016, 10. [Google Scholar] [CrossRef]
- Pleskacz, L.; Fornalik-Wajs, E. Low Reynolds number flow’s heat transfer influenced by strong magnetic field. J. Phys. Conf. Ser. 2016, 745. [Google Scholar] [CrossRef]
- Patankar, S.V. Numerical Heat Transfer and Fluid Flow, 1st ed.; CRC Press: Boca Raton, FL, USA, 1980; ISBN 0-89116-522-3. [Google Scholar]
- Jackson, J.D. Classical Electrodynamics, 2nd ed.; John Wiley & Sons, Inc.: New York, NY, USA, 1975; ISBN 10: 047143132X. [Google Scholar]
- Revision Notes on Magneto-static and Magnetic Effect of Current. Available online: https://www.askiitians.com/revision-notes-new/physics/magnetostatic-and-magnetism.html (accessed on 9 January 2019).
- Pleskacz, L. Numerical Analysis of the Magnetic Field Influence on the Velocity and Temperature Fields in a Duct of Various Geometry. Master’s Thesis, AGH University of Science and Technology, Cracow, Poland, 2013. [Google Scholar]

















| Property | Symbol | Unit | Value |
|---|---|---|---|
| Density | ρ | kg/m3 | 1463 |
| Specific Heat | c | J/(kg·K) | 4182 |
| Dynamic Viscosity | μ | Pa·s | 0.08689 |
| Thermal Expansion Coefficient | K−1 | 0.52 × 10−3 | |
| Volumetric Magnetic Susceptibility | - | 3.38 × 10−4 | |
| Magnetic Permeability | μm | H/m | 4π × 10−7 |
| Thermal Conductivity | λ | W/(m·K) | 0.6 |
| I Type | II Type | III Type |
|---|---|---|
| Low Prandtl number value ≪ 1 | Medium Prandtl number value approx. 15–50 | High Prandtl number value > 100 |
| Symmetrical | Asymmetrical | Symmetrical |
| Intact by the magnetic field | Strongly dependent on the magnetic field | Strongly dependent on the magnetic field |
© 2019 by the authors. Licensee MDPI, Basel, Switzerland. This article is an open access article distributed under the terms and conditions of the Creative Commons Attribution (CC BY) license (http://creativecommons.org/licenses/by/4.0/).
Share and Cite
Pleskacz, Ł.; Fornalik-Wajs, E. Identification of the Structures for Low Reynolds Number Flow in the Strong Magnetic Field. Fluids 2019, 4, 36. https://doi.org/10.3390/fluids4010036
Pleskacz Ł, Fornalik-Wajs E. Identification of the Structures for Low Reynolds Number Flow in the Strong Magnetic Field. Fluids. 2019; 4(1):36. https://doi.org/10.3390/fluids4010036
Chicago/Turabian StylePleskacz, Łukasz, and Elzbieta Fornalik-Wajs. 2019. "Identification of the Structures for Low Reynolds Number Flow in the Strong Magnetic Field" Fluids 4, no. 1: 36. https://doi.org/10.3390/fluids4010036
APA StylePleskacz, Ł., & Fornalik-Wajs, E. (2019). Identification of the Structures for Low Reynolds Number Flow in the Strong Magnetic Field. Fluids, 4(1), 36. https://doi.org/10.3390/fluids4010036

