Next Article in Journal
Aerodynamic Analysis and Design of a Sliding Drag Reduction System Using Graph Neural Networks
Previous Article in Journal
Influence of Structural Height on the Thermo-Hydraulic Performance of a Water-Cooled Gyroid Heat Sink
 
 
Font Type:
Arial Georgia Verdana
Font Size:
Aa Aa Aa
Line Spacing:
Column Width:
Background:
Article

Parametric Study of Wake Concentration from the Instantaneous Release of a Dense Fluid Upstream of a Cubic Obstacle

Glenn Department of Civil Engineering, Clemson University, Clemson, SC 29634, USA
*
Author to whom correspondence should be addressed.
Fluids 2026, 11(2), 58; https://doi.org/10.3390/fluids11020058
Submission received: 15 December 2025 / Revised: 9 February 2026 / Accepted: 17 February 2026 / Published: 20 February 2026
(This article belongs to the Section Geophysical and Environmental Fluid Mechanics)

Abstract

Experimental results are reported to explore the role of release location and release volume on the dispersion of a dense gas cloud around an isolated cubic building. The experiments are analogous to the Thorney Island dense gas dispersion field tests, and the results are qualitatively similar to those of the full-scale tests. Water bath experiments were used in this study with fresh water in a flume representing the atmospheric wind and dyed saltwater representing the dense gas. Results are presented for different relative density flows, quantified using the Richardson number (Ri), for five different release volumes ranging from 10% to 60% of the building volume. Results are also presented for different upstream release distances ranging from 50% to 150% of the building height. Measurements show that there is a complex interaction between release volume, release distance, and Richardson number, and the resulting flow over and around the building. For releases close to the building, the cloud has little distance over which to adjust before being swept around the building and into the building wake. However, for larger release distances, there is adequate distance for the cloud to adjust, with the nature of the adjustment being a function of the Richardson number. For small Ri (low density difference), the cloud spreads out as it moves downstream, mixes with the ambient fluid, and increases in volume such that the volume of the cloud interacting with the building is larger than the initial release. For higher Ri flows (larger density difference), the dense cloud collapses down onto the channel bed, where it spreads out radially as it is advected downstream. The clouds are, therefore, much shallower than the building height when they collide with the building. This competition between the collapse of the cloud and its advection downstream is parameterized using a novel ‘adjusted Richardson number’ R i * .

1. Introduction

Accidental releases of dense gases and vapors remain an important public-safety problem wherever hazardous materials are stored, handled, or transported. Because some industrial gases are heavier than air, negative buoyancy confines released clouds close to the ground, increasing pedestrian-level exposure and leading to interactions with built infrastructure [1,2,3,4]. Many operational dense-gas dispersion tools (e.g., DEGADIS, SLAB, HGSYSTEM) apply simplified “flat-earth” assumptions that treat surface roughness as a bulk vertical mixing term and do not explicitly resolve flow around buildings and obstacles [5,6,7]. While such models can be useful for regional assessments, they can substantially underpredict local concentrations when the urban canopy and wake flows control trapping and residence times.
Buildings and other obstacles generate wakes and recirculation regions that locally reduce velocity and suppress vertical mixing; dense fluid that is advected into these wakes can form persistent, near-ground layers [8,9,10]. These laboratory experiments on two-dimensional canyon flows first clarified how buoyancy and shear interact to control flushing rates and the formation of trapped dense layers. Another application is the trapping of saltwater intrusions in riverbed depressions [11], which, although occurring in water, not air, exhibit the same behavior as dense gas trapped in an urban canyon. However, trapping in urban canyons is not the only manner in which dense gas clouds can become trapped in urban topography. For example, dense gas clouds can become trapped in the wake of individual and collections of buildings. This has been shown in large-scale field studies [12,13,14]. These canonical studies introduced and used a key nondimensional parameter, the Richardson number, to quantify the competition between buoyancy and advective shear. The Richardson number is commonly defined as follows:
R i = g H U 2
where H is a characteristic vertical length scale U is a characteristic ambient flow speed. The parameter g is the reduced gravity of the dense fluid:
g = g ( ρ a ρ ) ρ a
with ρ a the ambient fluid density, ρ the dense-fluid density, and g gravitational acceleration. Low Ri corresponds to shear-dominated flows with strong vertical mixing; high Ri indicates buoyancy-dominated behavior where vertical mixing is suppressed, and layering can persist [15].
Large-scale field experiments provide indispensable real-world context and validation, but are necessarily limited in spatial resolution and breadth of parameters tested, as individual tests are very expensive and time-consuming. Two of the most influential field programs are the Thorney Island trials (UK) [13] and the Jack Rabbit series (US Army/Dugway) [16]. The Thorney Island Phase II experiments released heavier-than-air gases near an isolated cubic obstacle and documented wake capture, asymmetric front/back concentration histories, and long decay times on the downwind side—strongly indicating wake trapping across scales [16,17,18,19]. The Jack Rabbit experiments (phases I and II) involved very large chlorine releases and a mock urban grid (Conex containers) and produced large datasets used extensively to test dense-gas dispersion models and source descriptions [20,21]. Wind-tunnel reproductions and CFD model comparisons of both Thorney Island and Jack Rabbit have shown the critical role of source strength, release dynamics, and obstacle geometry in determining plume interaction with wakes [22,23].
Small-scale water-channel experiments [24,25] and wind-tunnel studies [26] bridge the gap between large-scale field tests for complex urban flows by reproducing building wakes at a small scale while enabling high spatial and temporal resolution measurements through the use of optical techniques such as planar laser-induced fluorescence (PLIF) [27] and light attenuation methods [28]. Two recent laboratory studies examined dense-fluid behavior around an isolated cubic building for two source types: a continuous upstream discharge and a finite (instantaneous) volume release. The continuous-release experiments [24] systematically varied discharge rates and Ri and showed a two distinct regimes: at low Ri the wake concentration varied only weakly with height; above a threshold Ri a dense lower layer formed in the wake and the principal flushing mechanism became intermittent “skimming” of parcels from the top of that layer, advected upstream to the leeward wall and flushed over the top. The finite-release experiments [25] use a balloon pop of a fixed 300 mL volume located 10 cm upstream of the model building. This study observed similar low-Ri versus high-Ri regimes but with important differences: finite releases produced larger ensemble-mean concentrations in the wake, and the peak mean concentration shifted to higher Ri compared with the continuous case. These differences were attributed to the finite-release dynamics (initial slumping and mixing upon collapse of the released cloud) that depend on the release volume and proximity to obstacles [25]. However, as all the experiments in [25] were conducted for a single upstream release distance and a single release volume, this hypothesis was untested. Herein, we explore the dependency of the flow on release volume and distance through a parametric experimental study in which both parameters are varied.
Although the continuous and finite small-scale studies reproduced the qualitative flow regimes seen at Thorney Island [29,30] and Jack Rabbit, both earlier small-scale experiments fixed two important parameters: the source distance from the building (10 cm) and the finite release volume (300 mL) [25]. As the authors noted, these two parameters likely exert first-order control on the cloud collapse, slumping, pre-encounter mixing, and hence the amount of dense fluid that ultimately enters and is trapped in the wake. In real incidents, distances and volumes vary widely from small leaks a short distance from a structure to large catastrophic discharges tens of meters upwind, and so understanding how release distance and volume modulate wake trapping is essential for generalizable model validation and urban hazard assessment.
This work extends the prior continuous and finite release experiments [24,25] by systematically varying (i) the upstream release distance and (ii) the released volume across a broad range of Richardson numbers (Ri). Using the same cubic geometry, flume, and measurement techniques as the earlier studies ensures direct comparability. The goals of this study are to examine: (1) how does increasing release distance alter the degree of dilution/mixing prior to obstacle encounter and therefore the mass that enters the wake; (2) how does release volume influence the peak and persistence of the dense lower layer in the wake; and (3) how do these controls modify the Ri-dependent transition between the shear-dominated and buoyancy-dominated regimes documented previously? By systematically exploring this expanded parameter space, we expect to clarify scaling laws governing dense-gas trapping and flushing in wakes, to identify how initial release conditions influence wake trapping and retention, and to provide guidance for hazard-assessment modelers about the range of source-term behaviors that must be considered when extrapolating from small-scale experiments or model predictions to real-world scenarios such as those represented by Thorney Island or Jack Rabbit.
The remainder of the paper is structured as follows. The experimental method is described in Section 2, including the measurement method, calibration, and experimental procedure. The qualitative results are presented in Section 3, with quantitative results in Section 4. In both sections, observations are made about the flow behavior. The flow behavior is discussed in Section 5, and a theoretical framework is presented for understanding the observed behavior. Conclusions are drawn in Section 6.

2. Experimental Setup

The experiments in this study use the salt-bath technique for modeling flows with density differences. This approach uses salt water as the dense fluid and fresh water as the ambient fluid. This method is commonly used in the study of environmental flows that include density differences. These include natural ventilation air flows in buildings [31], buoyancy-driven lake stratification [32], and smoke dispersion in compartment fires [33]. There are many advantages to this approach compared to larger-scale wind tunnel or field studies. First, the source and boundary conditions can be more closely controlled. For example, the salt (density source) does not diffuse through the walls of the experimental apparatus, whereas the heat used in a wind tunnel will diffuse. Second, this method is easily used with non-invasive optical techniques such as PLIF [27] and light attenuation [28]. Another advantage is that the kinematic viscosity of water is an order of magnitude smaller than that of air, meaning that Reynolds number and Peclet number similarity can be achieved at a smaller scale. Therefore, the salt bath technique allows for smaller experiments with higher measurement resolution and improved parameter control, all at a lower cost. The scale of the experiments also allows for broader parametric studies, such as the present study on dense gas dispersion in the wake of a cubic building.
The experimental setup used in this study followed the same configuration described in [24] for continuous release experiments. All tests were performed in the recirculating Plexiglas flume located in the Fluid Mechanics Laboratory of the Glenn Department of Civil Engineering at Clemson University. The flume is 4.9 m long, 0.61 m wide, and 0.40 m deep, with a weir at the downstream end to maintain constant flow depth. The water in the flume is pumped using a stainless-steel centrifugal pump driven by a variable frequency drive (VFD).
The water is recirculating with water pumped into a head tank, flowing through the flume, over the weir, and then into a 7.5 m3 storage sump tank from which the pump draws water. Schematic diagrams of the flume are shown in Figure 1 (side view) and above (Figure 2). The entire sump tank and flume were drained and replaced with fresh water every 8–10 experiments. The volume of fresh water in the sump is much bigger than the volume of dense salt solution released in each experiment. The largest volume released was 600 mL, which is a factor of 8 × 10 5 smaller than the volume of fresh water. Therefore, there is a negligible change in the salinity of the ambient flow over the course of a set of 8–10 experiments.
The experimental zone was illuminated with a solid-state green diode laser (532 nm, 20 mW) for flow visualization under darkroom conditions. Saltwater solutions were prepared using sodium chloride (NaCl) to provide the density difference and a fluorescent dye (sodium fluorescein) as the tracer. The dye concentration and density were kept within the range used in previous continuous and finite-release studies [24,25]. The specific gravity of the salt water ranged from 1 < S.G. < 1.13. The specific gravity of saturated salt water is approximately S.G. = 1.2, such that the salt solutions used herein were never close to saturated solutions and there was no risk of salt crystals precipitating out during experiments. The density of the dyed salt solution was measured using a set of hydrometers, allowing the specific gravity to be determined with an uncertainty of about 5%. Additional details of the measurement approach can be found in [25].
The laser and camera arrangement were identical to those reported in [25], where the laser sheet was aligned with the centerline of the building model and image sequences were captured at 1 frame per second using a Basler acA1300-60gm GigE (Basler, Ahrensburg, Germany), monochrome camera with a resolution of 1282 × 1026 pixels and fitted with a red filter to filter out the light at the frequency of the laser. The dye used absorbs the laser light and then fluoresces at a different frequency, not blocked by the filter.

2.1. Measurement Methods

2.1.1. Fluid Density Measurement

The fluid reduced gravity (2) is directly analogous to the pollutant concentration field in the building wake. The reduced gravity was measured using planar light-induced fluorescence (PLIF) following the procedure used in [25]. The dense salt solution was dyed with sodium fluorescein, whose fluorescence under laser illumination is linearly proportional to the dye concentration for the ranges used. Dye attenuation was negligible, so the laser sheet intensity was effectively uniform during each experiment.
The camera measured the combined background light and fluorescence signal. Following the approach used previously, the concentration (C) was determined from:
C x , z C n = I ( x , z ) I B ( x , z ) I A ( x , z ) I B ( x , z )
where C n is the uniform dye concentration present in the background, (IB) is the ambient background intensity with all lights off, and (IA) is the light intensity of the ambient flow with the laser on. Before each run, short videos were recorded to obtain (IB), (IA), and the source-concentration intensity (Iref), collected by injecting the source solution directly into the laser sheet. Because reduced gravity (alternatively known as buoyancy) is linearly proportional to dye concentration, the local reduced gravity and source buoyancy follow the same relationship. Herein, results are reported as the normalized reduced gravity ( Γ ) calculated using:
Γ = g g 0 = I I A I r e f I A

2.1.2. Velocity Field Measurement

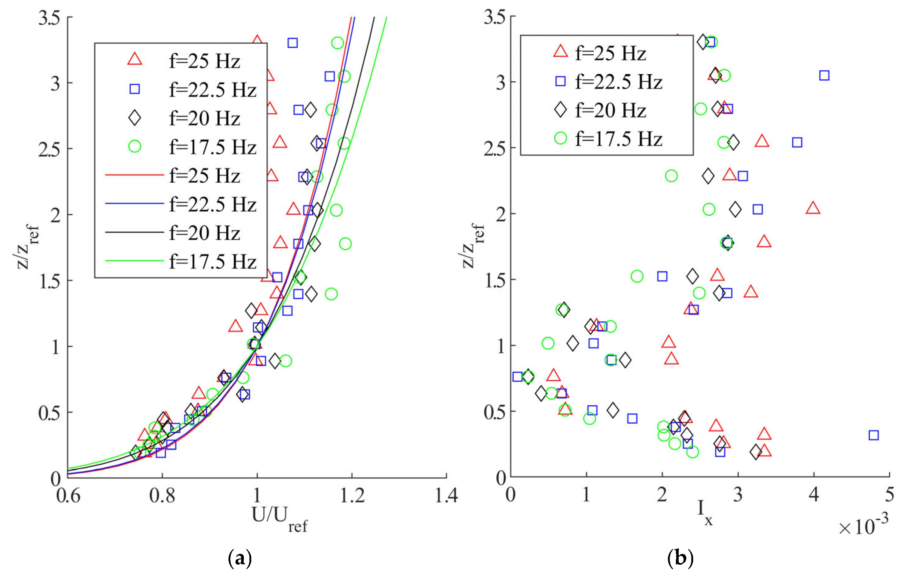
The flow velocity was measured using an acoustic Doppler velocimetry (ADV) probe. Boundary-layer profiles were collected at four pump frequencies without the model building installed. The measurements were taken at the location where the building would be placed for the experiments. A power-law fit described the mean profiles well. The reference velocity for each experiment was taken as the time-averaged ADV measurement at the building height (10 cm above the flume bed). The measured time-averaged velocity profiles are shown in Figure 3a. The boundary layer was formed by lining the upstream section of the flume bed with coarse gravel. The upstream fetch was approximately 3 m long and produced a boundary layer that is well described by a power-law function up to a height approximately 1.5–2 times the model building height. The turbulence intensity was also measured by the ADV, and the profiles are shown in Figure 3b.
The ADV did not take measurements during the experiments. Instead, the flowrate was controlled by the frequency applied to the pump by the VFD. Only four frequencies were used in the experiments and corresponded to the frequencies for which profiles were measured (Figure 3). As a check to make sure that the flow during each experiment corresponded to the same flow in the calibration runs, the head of the weir was measured to ensure that it, and therefore the total flow rate, corresponded to the same value as in the calibration tests. The initial depth of water in the sump tank was also kept constant for both the calibration and experimental runs.

2.1.3. Procedure

The experimental procedure followed the same protocol described in [25] for finite release tests. For each run, a balloon was filled with one of five volumes (100 mL, 200 mL, 300 mL, 400 mL, and 600 mL) of dyed saline solution and connected to a quarter-turn valve to remove air prior to placement. The balloon was positioned with the center of the balloon at one of three upstream distances of 5 cm, 10 cm, and 15 cm from the model building. A metal ruler was used to ensure consistent alignment with the flume centerline. A schematic diagram of the experimental setup showing the release distance, model building, laser light sheet, and viewing window for the experiments in Figure 4.
Prior to each release, background ( I B ) and laser-only ( I A ) images were recorded to measure ambient and illuminated intensities following the same procedure as [25]. After setting the desired flow rate, the balloon was placed in the flow and popped using a fine needle mounted on a thin wooden rod. The balloon burst instantly, releasing the dense fluid into the flow. Visual observation of the rupturing of the balloon showed that there was some shear induced around the surface of the dense salt solution cloud, but that this shear was small compared to the flow induced by the interaction with the ambient flow and the collapsing of the cloud under its own density. The experiment was recorded from the moment of release until the dye in the building wake fully dissipated. Experiments were run for a combination of three different release distances (D), six different release volumes, and a broad range of Richardson numbers. See Table 1 for a list of cases run for this study.
Herein, the Richardson number is defined as follows:
R i = g 0 H U H 2
where g 0 is the reduced gravity of the salt solution released from the balloon, H is the height of the model building (10 cm in these tests), and U H is the time-averaged velocity of the ambient flow measured at the height of the top of the model building. The results presented in Section 3 and Section 4 are presented in non-dimensional form. Non-dimensional time is given by:
τ = t U r e f h
where h = 10   c m is the building height, U r e f is the reference flow velocity measured at the height of the building, and t is time measured from when the dense fluid is released. Non-dimensional concentration is directly equivalent to non-dimensional reduced gravity, given by:
Γ = g g 0 .

3. Qualitative Results

Qualitative results are presented for a representative sample of experimental cases. The first set shows the flow field for a 300 mL release at different upstream release distances (D) and Richardson numbers (Ri). The second set is for different release volumes released at 10 cm upstream of the model building.

3.1. Role of Release Distance

Figure 5 shows images of the instantaneous normalized concentration ( Γ ) at different times for three different upstream release distances and four Richardson numbers. The release volume is 300 mL for all cases. As previously reported in [25], there are three main flow regimes denoted as well-mixed, transitional, and layered. The well-mixed regime is characterized by concentration fields that are relatively uniform and distributed over much of the building wake. See, for example, the top left corner of Figure 5. The layered regime is characterized by a thin, lower-density layer with a sharp interface and relatively low concentration above the layer. See, for example, the case of Ri = 9 and D = 5 cm in Figure 5. The transitional regime has dense fluid occupying a significant depth within the wake, with the concentration increasing closer to the ground. See, for example, the case of Ri = 3 and D = 5 in Figure 5. In general, flows with a higher Richardson number are layered, while low Ri flows are well mixed. The exact transition points are discussed later.
Another way of visualizing the flow structure is to look at the vertical distribution of Γ . These data are shown in Figure 6. Each image plots the vertical stratification of Γ over time at different downstream distances for the same cases as Figure 5. Well-mixed flows are characterized by vertical profiles that stretch to most or all of the wake height and decrease in concentration over time. See, for example, the case of Ri = 0.5 and D = 10 cm in Figure 6. Layered flows are characterized by the bulk of the wake having Γ 0 for much of the height and a sharp, dense lower layer. See, for example, the case of Ri = 9 and D = 5 cm in Figure 6. In some cases, the wake concentration is very low, indicating either little of the dense fluid is drawn into the wake, or it is rapidly flushed. For example, the case of Ri = 0.5 and D = 5 cm in Figure 6.
The determination of whether a flow is well-mixed, transitional, or layered can require analysis of both individual snapshots of Γ (Figure 5) and the vertical concentration contours (Figure 6). As stated above, the flows transition from well-mixed, through transitional, to layered as the Richardson number increases. However, there are also variations in the regime for the same Ri, depending on the upstream release distance. For example, the Ri = 3 flow is transitional for D = 5 cm but layered for D = 10 and 15 cm. More discussion of possible explanations for these transitions is presented in Section 5.

3.2. Role of Release Volume

Snapshots in time of concentration for three representative Richardson numbers and four release volumes are shown in Figure 7. The corresponding vertical concentration profiles over time are shown in Figure 8. Both sets of figures are for a release distance of 10 cm. The same well-mixed, transitional, and layered flow regimes are observed as seen in Figure 3 and Figure 4. The transition from well-mixed to layered is again seen to depend on the Richardson number. For example, for a 100 mL release, the Ri = 1 flow is fairly well mixed, Ri = 3 is transitional, and Ri = 12 is layered. The role of release volume on the flow regime is slightly less clear. For example, for all but the largest release volume, the Ri = 1 cases are well mixed; however, for a release volume of 600 mL, the flow is transitional. For Ri = 3, the 200 mL and 300 mL appear layered, whereas for the 600 mL release, the layer is substantially thicker and less sharp, indicating a more transitional flow. Again, potential explanations for this behavior are discussed in Section 5.

4. Quantitative Results

Following the analysis approach of [24,25], we now examine the time variation in concentration at a particular location. For consistency with these prior publications, data are reported for Γ ( τ ) at χ = ζ = 0.1 .

4.1. Role of Release Distance

Plots of Γ ( τ ) at χ = ζ = 0.1 for four different Richardson numbers are shown in Figure 9. For lower Richardson numbers (top row of Figure 9), the concentration rises rapidly and then decays away. The closer the release is to the cube (smaller D), the earlier the concentration peaks. This behavior is less clear for the largest Ri = 25, where there is little impact of the release distance on the measured concentration. For higher Richardson numbers, the initial spike in concentration is followed by a rapid drop off to a low mean with, at times, large spikes, for example, with Ri = 25. This is due to the formation of a thin layer of dense fluid below ζ = 0.1 , which shows spikes due to small patches of dense fluid being peeled off the top of the layer and mixed upward.

4.2. Role of Release Volume

The impact of release volume on the wake concentration is shown in Figure 10 for five different Richardson number releases. For low Ri (top row of Figure 8), there is a broad range of behaviors. For the largest releases (600 mL—black line), the concentration is generally higher and decays more slowly compared to smaller releases. However, there are small release cases that have similar peak concentrations (for example, 300 mL for Ri = 1 and 100 mL for Ri = 3). For higher Ri, there is either minimal measured effect (Ri = 6 and 25) or the behavior is reversed (Ri = 12). For Ri = 12, the largest release volume has the lowest concentration, and the smaller the release volume, the higher the concentration.

5. Discussion

Based on the results above, the concentration distribution in the building wake involves a complex interaction between release distance, release volume, and Richardson number. The behavior of the flow in the building wake takes three basic forms, denoted as ‘Mixed’, ‘Transitional’, and ‘Layered’ as previously observed by [25]. Mixed flows are characterized by a concentration field that extends over the whole height of the wake and is somewhat uniform. In contrast, layered flows have higher densities, but the concentration is confined to a thin layer at ground level. The transitional regime is intermediate between the mixed and layered flows. Transitional flows have concentration predominantly in the lower portions of the wake but still exhibit significant vertical mixing. In general, low Richardson number flows are mixed, flows are layered for high Ri, and the transitional flow is observed for intermediate Ri flows.
Examples of these flows are shown in Figure 11 and Figure 12. Figure 11 shows snapshots in time of the concentration field showing, from left to right, mixed, transitional, and layered behavior. Figure 12 shows vertical concentration contours varying over time for the same flows as Figure 9. For the mixed flow, there are patches of dense fluid at all heights. This is more clearly seen in Figure 12a, where concentration measurements extend to the top of the wake. The transitional flow is seen in Figure 11b and Figure 12b. In Figure 11b, the concentration is clearly confined to the lower part of the wake; however, there is still significant vertical mixing. The time-varying vertical concentration (Figure 12b) shows concentrations at the base of the wake with patches of lower concentration dense fluid above the lower layer. The layered flow is shown in Figure 11c and Figure 12c. Here, the dense fluid is clearly concentrated at ground level with minimal vertical mixing.
While it is generally the case that high Ri flows are layered and low Ri flows are mixed, there are examples of cases where flows of the same Ri exhibit different behavior. To understand this behavior, it is important to examine the flow development of finite releases in the absence of a downstream building. Schematic diagrams of this flow development are shown in Figure 13. For low Ri flows, the density has little influence on the flow, and the cloud is advected downstream while mixing with the ambient fluid. Therefore, the cloud size increases and its density decreases with downstream distance (Figure 13 top). In contrast, for high Ri flows, the cloud collapses due to the higher density and spreads out laterally (Figure 13, bottom). The flow behavior in the building wake will depend on the size and shape of the cloud when it reaches the building and, therefore, will depend on the volume of the release, how far upstream it is released, and the Richardson number, which controls whether it will entrain and expand (Figure 13 top) or collapse (Figure 13 bottom).
There are several possible cases for the interaction of the cloud with the building. Releases near the building will have little time to adjust before striking the front of the building. This is shown in Figure 14a,c. However, for clouds to be released further upstream, they could adjust before reaching the building. Low Ri clouds would be bigger and less dense on impact (Figure 14b), whereas high Ri clouds will have time to collapse (Figure 14d). Note that the schematic diagrams are based on observations outside the view of the camera setup used in these experiments, as they were focused on the behavior in the building wake downstream of the release. A series of visualization experiments was conducted using a color camera with the dense fluid dyed red and the test rig painted white. Images from this set of experiments are shown in Figure 15 and show the impact of cloud shape and size on the flow over and around the building for different Richardson numbers ( R i ).
Based on these images and the above discussion, the flow observed in the wake will depend on the size of the release, characterized in terms of the cloud’s initial radius R , the upstream release distance D , the time taken for the cloud to reach the building T t r a v e l = D / U r e f , and the characteristic time for the cloud to collapse that can be approximated by T c o l a p s e ~ R / g 0 R where g 0 is the initial cloud reduced gravity. Dimensional analysis indicates that the flow regime will, therefore, be controlled by the ratio of the two length scales and the ratio of the two time scales. That is,
R e g i m e = f D R , T t r a v e l T c o l a p s e
Without loss of generality, we take the regime to be a function of the square of the time ratio instead of the linear ratio. This leads to:
R e g i m e = f D R , g D 2 U r e f 2 R = f D R , R i *
where
R i * = g D 2 U r e f 2 R
is an adjusted Richardson number. The Richardson number ( R i ) defined in (5), and used in all previous figures, uses the building height as the reference length such that:
R i * = R i H R D 2 .
The regular Richardson number quantifies the difficulty the cloud will have being advected over the top of the building of height H with higher Richardson numbers indicating denser flows that will tend to flow along at ground level. However, the adjusted Richardson number ( R i * ) quantifies the relative likelihood that the cloud will collapse and form a thin dense layer prior to reaching the building. As such, higher R i * clouds have relatively more time to collapse before the cloud reaches the building, compared to lower values of R i * .
Each test case from the experiments presented herein and the experiments from [25] was reviewed, and the flow regime was classified based on the descriptions given above. The resulting flow regimes are plotted against the Richardson number ( R i ) and D / R in Figure 16a. Figure 16b plots the regime as a function of D / R and R i * (defined in Equation (10)) based on the square of the ratio of the travel time to the collapse time.
The data in Figure 16 illustrates that the transition between regimes is not smooth or consistent. For example, at the value of D / R = 2.4 for which the most data was collected, there are examples of all three regimes, mixed, transitional, and layered, over the range of 0.6 < R i < 2.5 ( 0.6 < R i * < 3 ). However, plotting the regime in R i * D / R space appears to reduce the overlap in data and show some clearer trends. For example, it appears that mixed flows occur at higher values of R i * for higher D / R , though additional data at lower D / R would be needed to confirm this. This is consistent with the idea that larger D leads to more dilution of small R i * flows prior to impacting the building.
The change from transitional to layered flows appears to occur at lower R i * for higher D / R . This is consistent with the idea that relatively shorter release distances or relatively large releases will result in the cloud reaching and interacting with the building before the cloud has adjusted to a different shape or size. Therefore, the relative importance of mixing induced by the interaction with the building will be more significant compared to the suppression of mixing due to the cloud density once the cloud has collapsed.

6. Conclusions

Results are presented from an extensive series of small-scale laboratory experiments that examine the role of pollutant density in the dispersion of a finite volume release of dense gas upstream of a building. Experiments were run for a range of upstream release distances, release volumes, and cloud density. Three distinct flow regimes (mixed, transitional, and layered) were identified that controlled the behavior of the flow and the structure of the density distribution in the building’s wake. The observed regime is a function of the relative upstream release distance ( D / R ) and the adjusted Richardson number ( R i * ). In general, lower R i * flows exhibited the mixed flow regime. However, as R i * increases the regime adjusts to the transitional and, for higher R i * , the layered regime. However, the flow regime is also a function of the relative upstream release distance D / R . For larger release distances, the released cloud has time to adjust by either mixing with the ambient while expanding (for low R i * ) or collapsing to ground level (for high R i * ).
The flow regime impacts the structure of the density distribution in the wake. For the mixed regime, dense fluid is measured over the whole wake height, whereas for the layered regime, the dense fluid is concentrated near the ground in a thin layer with very little vertical mixing. In this case, the dispersion is driven by small packets of dense fluid being peeled off the surface of the dense layer, driven upstream toward the leeward face of the building and then flushed vertically up that face of the building. The time taken to completely flush the pollutant cloud from the wake increases significantly with increasing R i * .
While care was taken to run experiments with a large enough Reynolds number to ensure that the flow around the model building was in the Reynolds number-independent regime, there are still some limitations of the study presented. First, despite the large number of experiments conducted, there are some gaps in the parameter space. See, for example, the gap in intermediate R i * for D / R = 1.2 in Figure 16b. Second, the flume used for the testing was only 60 cm wide. While this is six times the building size, there were likely still some high Richardson number experiments where the collapsing dense cloud would reach the flume side walls and reflect back toward the building.
Future work should focus on computational modeling of these experiments to examine repeatability of the experiments and develop ensemble-averaged statistics for the mixing and dispersion. CFD simulations could also be used to fill in the gaps in the parameter space (see Figure 16b) and to better refine the transition criteria for the various flow regimes. While the direct application of these results to operational urban dispersion models is limited, the identification of the role of the collapsing and travel times, parameterized using R i * , significantly advances our understanding of the role of release location and topography on urban dispersion. This non-dimensional framework can be used to analyze and better understand existing field data and improve the design of future studies.

Author Contributions

Conceptualization, N.B.K.; methodology, N.B.K. and R.A.; software, R.A. and N.B.K.; validation, R.A.; formal analysis, R.A. and N.B.K.; investigation, R.A.; resources, N.B.K.; data curation, R.A.; writing—original draft preparation, R.A. and N.B.K.; writing—review and editing, N.B.K. and R.A.; visualization, R.A. and N.B.K.; supervision, N.B.K.; project administration, N.B.K.; funding acquisition, N.B.K. All authors have read and agreed to the published version of the manuscript.

Funding

This work was funded by the U.S. National Science Foundation (NSF) under Grant No. 1703548.

Data Availability Statement

The raw data supporting the conclusions of this article will be made available by the authors upon request.

Acknowledgments

The authors would like to thank Daniel Metz, Scott Black, and Caleb Jackson for their technical support in building the test rigs. This material is based upon work supported by the National Science Foundation (NSF) under Grant No. 1703548. Any opinions, findings, and conclusions or recommendations expressed in the material are those of the authors and do not necessarily reflect the views of the NSF.

Conflicts of Interest

The authors declare no conflicts of interest.

References

  1. Heather, E.; Kenedy. ASHRAE Handbook—Fundamentals; American Society of Heating, Refrigerating and Air-Conditioning Engineers: Peachtree Corners, GA, USA, 2021. [Google Scholar]
  2. Goodfellow, H.; Tahti, E. (Eds.) Industrial Ventilation Design Guidebook; Elsevier: Amsterdam, The Netherlands, 2001. [Google Scholar]
  3. Zhang, Q.; Zhang, X.; Ye, W.; Liu, L.; Nielsen, P.V. Experimental study of dense gas contaminant transport characteristics in a large space chamber. Build. Environ. 2018, 138, 98–105. [Google Scholar] [CrossRef]
  4. Larose, G. 2 Toxic Releases in Louisiana Under Federal Investigation for Safety Recommendations. Available online: https://lailluminator.com/2024/04/06/toxic-releases/ (accessed on 6 April 2024).
  5. Spicer, T.; Havens, J. User’s Guide for the DEGADIS 2.1 Dense Gas Dispersion Model; Technical Report No. EPA-450/4-89-019; Environmental Protection Agency: New York, NY, USA, 1989. [Google Scholar]
  6. Morgan, D.L.; Morris, L.; Ermak, D. SLAB: A Time-Dependent Computer Model for the Dispersion of Heavy Gas Released in the Atmosphere; Lawrence Livermore National Laboratory: Livermore, CA, USA, 1993. [Google Scholar]
  7. Fthenakis, V.M. HGSYSTEM: A review, critique, and comparison with other models. J. Loss Prev. Proc. Ind. 1999, 12, 525–531. [Google Scholar] [CrossRef]
  8. Baratian-Ghorghi, Z.; Kaye, N.B. Modeling the purging of dense fluid from a street canyon driven by an interfacial mixing flow and skimming flow. Phys. Fluids 2013, 25, 076603. [Google Scholar] [CrossRef]
  9. Baratian-Ghorghi, Z.; Kaye, N.B. Shear driven flushing of dense fluid from a canyon. J. Vis. 2013, 16, 29–37. [Google Scholar] [CrossRef]
  10. Strang, E.J.; Fernando, H.J.S. Shear-induced mixing and transport from a rectangular cavity. J. Fluid Mech. 2004, 520, 23–49. [Google Scholar] [CrossRef]
  11. Kirkpatrick, M.P.; Armfield, S.W. Experimental and large eddy simulation results for the purging of salt water from a cavity by an overflow of fresh water. Int. J. Heat Mass Transf. 2005, 48, 341–359. [Google Scholar] [CrossRef]
  12. Puttock, J.S.; Colenbrander, G.W. Thorney Island data and dispersion modelling. J. Hazard. Mater. 1985, 11, 381–397. [Google Scholar] [CrossRef]
  13. Johnson, D.R. Thorney Island trials: Systems development and operational procedures. J. Hazard. Mater. 1985, 11, 35–64. [Google Scholar] [CrossRef]
  14. McQuaid, J.; Roebuck, B. Large Scale Field Trials on Dense Vapour Dispersion; Report No. EUR 10029 (EN); Commission of the European Communities: Luxembourg, 1985. [Google Scholar]
  15. Linden, P.F. Mixing in stratified fluids. Geophys. Astrophys. Fluid Dyn. 1979, 13, 3. [Google Scholar] [CrossRef]
  16. Fox, S.; Hanna, S.; Mazzola, T.; Spicer, T.; Chang, J.; Gant, S. Overview of the Jack Rabbit II (JR II) field experiments and summary of the methods used in the dispersion model comparisons. Atmos. Environ. 2022, 269, 118783. [Google Scholar] [CrossRef]
  17. Hanna, S.R.; Britter, R.; Argenta, E.; Chang, J. The Jack Rabbit chlorine release experiments: Implications of dense gas removal from a depression and downwind concentrations. Atmos. Environ. 2012, 213–214, 406–412. [Google Scholar] [CrossRef] [PubMed]
  18. Gant, S.; Weil, J.; Delle Monache, L.; McKenna, B.; Garcia, M.M.; Tickle, G.; Tucker, H.; Stewart, J.; Kelsey, A.; McGillivray, A.; et al. Dense gas dispersion model development and testing for the Jack Rabbit II phase I chlorine release experiments. Atmos. Environ. 2018, 192, 218–240. [Google Scholar] [CrossRef]
  19. Mazzola, T.; Hanna, S.; Chang, J.; Bradley, S.; Meris, R.; Simpson, S.; Miner, S.; Gant, S.; Weil, J.; Harper, M.; et al. Results of comparisons of the predictions of 17 dense gas dispersion models with observations from the Jack Rabbit II chlorine field experiment. Atmos. Environ. 2021, 244, 117887. [Google Scholar] [CrossRef]
  20. Hanna, S. Meteorological data recommendations for input to dispersion models applied to Jack Rabbit II trials. Atmos. Environ. 2020, 235, 117516. [Google Scholar] [CrossRef]
  21. Spicer, T.; Miller, D. Quantifying the mass discharge rate of flashing two phase releases through simple holes to the atmosphere. Process Saf. Prog. 2018, 37, 382–396. [Google Scholar] [CrossRef]
  22. Spicer, T.O.; Havens, J.A. Modeling the Phase I Thorney Island experiments. J. Hazard. Mater. 1985, 11, 237–260. [Google Scholar] [CrossRef]
  23. Spicer, T.O.; Tickle, G. Simplified source description for atmospheric dispersion model comparison of the Jack Rabbit II chlorine field experiments. Atmos. Environ. 2021, 244, 117866. [Google Scholar] [CrossRef]
  24. Akhter, R.; Kaye, N.B. Measurements of Wake Concentration from the Continuous Release of a Dense Fluid Upstream of a Cubic Obstacle. Fluids 2025, 10, 46. [Google Scholar] [CrossRef]
  25. Akhter, R.; Kaye, N. Measurements of Wake Concentration from a Finite Release of a Dense Fluid Upstream of a Cubic Obstacle. Fluids 2025, 10, 194. [Google Scholar] [CrossRef]
  26. Hall, D.J.; Waters, R.A. Wind tunnel model comparisons with the Thorney Island dense gas release field trials. J. Hazard. Mater. 1985, 11, 209–235. [Google Scholar] [CrossRef]
  27. Crimaldi, J.P. Planar laser induced fluorescence in aqueous flows. Exp. Fluids 2008, 44, 851–863. [Google Scholar] [CrossRef]
  28. Allgayer, D.; Hunt, G.R. On the application of the light-attenuation technique as a tool for non-intrusive buoyancy measurements. Exp. Therm. Fluid Sci. 2012, 38, 257. [Google Scholar] [CrossRef]
  29. Davies, M.E.; Singh, S. The phase II trials: A data set on the effect of obstructions. J. Hazard. Mater. 1985, 11, 301–323. [Google Scholar] [CrossRef]
  30. Deaves, D.M. Three-dimensional model predictions for the upwind building trial of Thorney Island phase II. J. Hazard. Mater. 1985, 11, 341–346. [Google Scholar] [CrossRef]
  31. Linden, P.F.; Lane-Serff, G.F.; Smeed, D.A. Emptying filling boxes, the fluid mechanics of natural ventilation. J. Fluid Mech. 1990, 212, 309–335. [Google Scholar] [CrossRef]
  32. Baines, W.D.; Turner, J.S. Turbulent buoyant convection from a source in a confined region. J. Fluid Mech. 1969, 37, 51–80. [Google Scholar] [CrossRef]
  33. Kaye, N.B.; Hunt, G.R. Smoke filling time for a small fire in a room: The effect of ceiling height to floor width aspect ratio. Fire Saf. J. 2007, 42, 329–339. [Google Scholar] [CrossRef]
Figure 1. Side view of the experimental setup showing the flume, model building, the finite release, and the laser light sheet. Arrows indicate direction of flow.
Figure 1. Side view of the experimental setup showing the flume, model building, the finite release, and the laser light sheet. Arrows indicate direction of flow.
Fluids 11 00058 g001
Figure 2. Top view of the experimental setup. The upstream distance was measured from the center of the balloon to the upstream face of the model building (block). This distance was held constant at 10 cm for all the experiments reported herein.
Figure 2. Top view of the experimental setup. The upstream distance was measured from the center of the balloon to the upstream face of the model building (block). This distance was held constant at 10 cm for all the experiments reported herein.
Fluids 11 00058 g002
Figure 3. (a) Velocity profile and corresponding fit. (b) Turbulent intensity profile at four different pump frequencies (f) given in Hertz in the legends. Taken from [25].
Figure 3. (a) Velocity profile and corresponding fit. (b) Turbulent intensity profile at four different pump frequencies (f) given in Hertz in the legends. Taken from [25].
Fluids 11 00058 g003
Figure 4. Schematic side view of the test setup showing the release distances, the model building (gray square), laser light sheet (green triangle), and viewing window used for analysis (red square).
Figure 4. Schematic side view of the test setup showing the release distances, the model building (gray square), laser light sheet (green triangle), and viewing window used for analysis (red square).
Fluids 11 00058 g004
Figure 5. Snapshots in time of Γ across the central streamwise plane of the building wake at different times τ (indicated in bold above each image).
Figure 5. Snapshots in time of Γ across the central streamwise plane of the building wake at different times τ (indicated in bold above each image).
Fluids 11 00058 g005
Figure 6. Time contours of vertical concentration profile at different downstream locations ( χ , given above each image).
Figure 6. Time contours of vertical concentration profile at different downstream locations ( χ , given above each image).
Fluids 11 00058 g006
Figure 7. Snapshots in time of Γ across the central streamwise plane of the building wake at different times τ (indicated in bold above each image).
Figure 7. Snapshots in time of Γ across the central streamwise plane of the building wake at different times τ (indicated in bold above each image).
Fluids 11 00058 g007aFluids 11 00058 g007b
Figure 8. Time contours of vertical concentration profile at different downstream locations ( χ , given above each image).
Figure 8. Time contours of vertical concentration profile at different downstream locations ( χ , given above each image).
Fluids 11 00058 g008aFluids 11 00058 g008b
Figure 9. Plots of Γ ( τ ) at χ = ζ = 0.1 for four different Richardson numbers, a release volume of 300 mL, and different release distances. Line colors correspond to different release distances (D). Blue—D = 5 cm, black—D = 10 cm, and green—D = 15 cm.
Figure 9. Plots of Γ ( τ ) at χ = ζ = 0.1 for four different Richardson numbers, a release volume of 300 mL, and different release distances. Line colors correspond to different release distances (D). Blue—D = 5 cm, black—D = 10 cm, and green—D = 15 cm.
Fluids 11 00058 g009
Figure 10. Plots of Γ ( τ ) at χ = ζ = 0.1 for five different Richardson numbers and different release volumes with a release distance of D = 10 cm. The release volumes are shown by different colored lines represented by blue—100 mL, red—200 mL, green—300 mL, magenta—400 mL, and black—600 mL.
Figure 10. Plots of Γ ( τ ) at χ = ζ = 0.1 for five different Richardson numbers and different release volumes with a release distance of D = 10 cm. The release volumes are shown by different colored lines represented by blue—100 mL, red—200 mL, green—300 mL, magenta—400 mL, and black—600 mL.
Fluids 11 00058 g010
Figure 11. Time snapshots of Γ for (a) a well-mixed case (Ri = 0.5, D/R = 3.6), (b) a transitional case (Ri = 1, D/R = 1.9), and (c) a layered case (Ri = 9, D/R = 3.6).
Figure 11. Time snapshots of Γ for (a) a well-mixed case (Ri = 0.5, D/R = 3.6), (b) a transitional case (Ri = 1, D/R = 1.9), and (c) a layered case (Ri = 9, D/R = 3.6).
Fluids 11 00058 g011
Figure 12. Time contours of the vertical distribution of Γ at χ = 0.1 for (a) a well-mixed case (Ri = 0.5, D/R = 3.6), (b) a transitional case (Ri = 1, D/R = 1.9), and (c) a layered case (Ri = 9, D/R = 3.6).
Figure 12. Time contours of the vertical distribution of Γ at χ = 0.1 for (a) a well-mixed case (Ri = 0.5, D/R = 3.6), (b) a transitional case (Ri = 1, D/R = 1.9), and (c) a layered case (Ri = 9, D/R = 3.6).
Fluids 11 00058 g012
Figure 13. Schematic diagrams of the dense cloud development for very low Richardson number clouds (top) and very high Richardson number clouds (bottom). The arrow shows the direction of the ambient flow.
Figure 13. Schematic diagrams of the dense cloud development for very low Richardson number clouds (top) and very high Richardson number clouds (bottom). The arrow shows the direction of the ambient flow.
Fluids 11 00058 g013
Figure 14. Schematic diagrams showing the cloud shape when it is about to impact the building. The cases shown are (a) a small cloud released close to the building, (b) a low Ri cloud that was released far upstream and has grown and diluted substantially prior to impacting the building, (c) A large release that is released near the building (d) a high Ri cloud that was released far upstream and has collapsed to a thin layer. The arrow shows the direction of the ambient flow.
Figure 14. Schematic diagrams showing the cloud shape when it is about to impact the building. The cases shown are (a) a small cloud released close to the building, (b) a low Ri cloud that was released far upstream and has grown and diluted substantially prior to impacting the building, (c) A large release that is released near the building (d) a high Ri cloud that was released far upstream and has collapsed to a thin layer. The arrow shows the direction of the ambient flow.
Fluids 11 00058 g014
Figure 15. Images from a series of finite release flow visualization experiments taken every τ = 2.9 (5 s in dimensional time) for a range of Richardson numbers. The objects observed in the third row of frames for the center two columns are balloon fragments. Reproduced with permission from [24].
Figure 15. Images from a series of finite release flow visualization experiments taken every τ = 2.9 (5 s in dimensional time) for a range of Richardson numbers. The objects observed in the third row of frames for the center two columns are balloon fragments. Reproduced with permission from [24].
Fluids 11 00058 g015
Figure 16. Flow regime as a function of Richardson number and D/R for (a) Richardson number ( R i ) , and (b) R i * and D / R . Note that there is a blue square and a black circle almost overlapping on D / R = 1.2 in (b).
Figure 16. Flow regime as a function of Richardson number and D/R for (a) Richardson number ( R i ) , and (b) R i * and D / R . Note that there is a blue square and a black circle almost overlapping on D / R = 1.2 in (b).
Fluids 11 00058 g016
Table 1. List of experimental cases. The list of Richardson numbers for 300 mL released at D = 10 cm upstream of the building only shows cases from [25] that have corresponding Richardson numbers in the new data set. R is the mean radius of the release balloon.
Table 1. List of experimental cases. The list of Richardson numbers for 300 mL released at D = 10 cm upstream of the building only shows cases from [25] that have corresponding Richardson numbers in the new data set. R is the mean radius of the release balloon.
Volume (mL) Distance—D (cm) Richardson Numbers D/R
100101, 3, 123.5
200101, 3, 122.8
30050.5, 0.9, 3.1, 9, 251.2
300100.5, 0.9, 1, 3.1, 9, 13, 252.4
300150.5, 0.9, 3.1, 9, 253.6
4001012.2
600101, 3, 6, 12, 251.9
Disclaimer/Publisher’s Note: The statements, opinions and data contained in all publications are solely those of the individual author(s) and contributor(s) and not of MDPI and/or the editor(s). MDPI and/or the editor(s) disclaim responsibility for any injury to people or property resulting from any ideas, methods, instructions or products referred to in the content.

Share and Cite

MDPI and ACS Style

Akhter, R.; Kaye, N.B. Parametric Study of Wake Concentration from the Instantaneous Release of a Dense Fluid Upstream of a Cubic Obstacle. Fluids 2026, 11, 58. https://doi.org/10.3390/fluids11020058

AMA Style

Akhter R, Kaye NB. Parametric Study of Wake Concentration from the Instantaneous Release of a Dense Fluid Upstream of a Cubic Obstacle. Fluids. 2026; 11(2):58. https://doi.org/10.3390/fluids11020058

Chicago/Turabian Style

Akhter, Romana, and Nigel B. Kaye. 2026. "Parametric Study of Wake Concentration from the Instantaneous Release of a Dense Fluid Upstream of a Cubic Obstacle" Fluids 11, no. 2: 58. https://doi.org/10.3390/fluids11020058

APA Style

Akhter, R., & Kaye, N. B. (2026). Parametric Study of Wake Concentration from the Instantaneous Release of a Dense Fluid Upstream of a Cubic Obstacle. Fluids, 11(2), 58. https://doi.org/10.3390/fluids11020058

Article Metrics

Back to TopTop