Next Article in Journal
Investigation of Heat Transfer Enhancement Mechanisms in Elastic Tube Bundles Subjected to Exogenous Self-Excited Fluid Oscillation
Previous Article in Journal
On Numerical Simulations of Turbulent Flows over a Bluff Body with Aerodynamic Flow Control Based on Trapped Vortex Cells: Viscous Effects
 
 
Font Type:
Arial Georgia Verdana
Font Size:
Aa Aa Aa
Line Spacing:
Column Width:
Background:
Article

Design of a Portable Integrated Fluid–Structure Interaction-Based Piezoelectric Flag Energy-Harvesting System

by
Haochen Wang
1,
Xingrong Huang
1,
Zhe Li
2 and
Le Fang
1,*
1
Ecole Centrale de Pékin, Beihang University, Beijing 100191, China
2
Ecole Centrale Nantes, CNRS, LHEEA, Nantes Université, UMR 6598, F-44000 Nantes, France
*
Author to whom correspondence should be addressed.
Fluids 2025, 10(5), 121; https://doi.org/10.3390/fluids10050121
Submission received: 6 March 2025 / Revised: 26 April 2025 / Accepted: 6 May 2025 / Published: 8 May 2025
(This article belongs to the Section Mathematical and Computational Fluid Mechanics)

Abstract

Fluid–structure interaction-based energy-harvesting technology has gained significant attention due to its potential for energy conversion. However, most existing studies primarily focus on energy capture, resulting in incomplete systems with limited portability and a lack of integrated circuitry. To address these limitations, this study presents a portable, integrated piezoelectric flag energy-harvesting system that achieves a complete closed-loop conversion from fluid kinetic energy, through structural strain energy, to electrical energy. The system utilizes an upstream bluff body to generate vortex-induced vibrations, a downstream support structure that maintains operational stability, and an internally integrated wiring channel that enables overall energy conversion. Charge–discharge experiments on the energy storage unit enable a comprehensive evaluation of system performance, marking the first efficiency measurement of a fully integrated energy-harvesting system. Experimental results demonstrate the first quantified map of losses across all conversion stages in a portable piezo-flag platform, highlighting the system’s potential for powering small-scale, low-power self-sustaining devices. This work establishes a reference framework and provides a novel technological pathway for advancing practical applications of fluid-induced energy harvesting, contributing to the development of autonomous power sources in various engineering fields.

1. Introduction

Renewable energy harvesting from fluid flows has attracted considerable interest in both academic and industrial communities, driven by the global shift toward cleaner power sources and the need for sustainable energy solutions. Among the various mechanisms available, fluid–structure interaction (FSI) phenomena—which involve the continuous interplay between fluid motion and structural deformation—offer a promising approach to converting the kinetic energy of wind [1], river currents [2,3], and ocean waves [4,5,6] into useful electrical energy. In addition to large-scale applications such as utility wind farms and hydropower stations, recent studies have focused on developing smaller-scale FSI-based devices suitable for remote or off-grid environments [7], thereby supporting low-consumption systems such as wireless sensors and self-sufficient Internet of Things (IoT) networks.
Within the FSI-based energy-harvesting paradigm, piezoelectric transduction has emerged as an attractive mechanism due to its direct conversion of mechanical deformation into electrical charge [8,9,10]. In particular, piezoelectric flag harvesters exploit self-sustained oscillatory motions induced by fluid flow to achieve energy conversion over a wide range of operating conditions [11,12]. Structural enhancements—such as optimizing stiffness, geometry, and mass ratio—have improved the power outputs of these harvesters [7,13,14]. However, relatively few studies have addressed the full integration of structural design with power management circuitry into a single, portable platform. Such an integrated approach is crucial for practical implementation, as it combines robust mechanical frameworks, resilient transducer materials, and high-efficiency circuitry for rectifying, regulating, and storing the generated electrical signals.
In response to these challenges, the present study proposes the design and development of a portable, fully integrated piezoelectric flag energy-harvesting system. This system encompasses the entire energy conversion chain—from the piezoelectric flag transducer to the energy storage circuitry—and is intended to drive practical low-power applications. By addressing both structural and circuit-level challenges concurrently, this work aims to enhance the technological capabilities of FSI-based energy harvesters across diverse operating environments.
A novel structural design approach employing three-dimensional (3D) printing was used to create a modular upstream cylindrical bluff body and a supporting framework for the downstream flag, improving the portability and integration of the piezoelectric flag energy-harvesting system. The cylindrical bluff body ensures mechanical stability and integrates an internal conduit for concealed wiring, enhancing both functionality and aesthetics. Additionally, the modular design simplifies assembly and disassembly, allowing for rapid experimental adjustments and on-site modifications.
From an electrical energy management perspective, the energy-harvesting circuit was implemented using the LTC 3588-1 energy-harvesting IC (Analog Devices, Norwood, MA, USA)—which integrates rectification and DC–DC regulation within a single module. The LTC3588-1 energy-harvesting IC (Analog Devices Inc., Wilmington, MA, USA) effectively addresses the high-impedance, low-frequency alternating signals characteristic of piezoelectric flags [15]. When coupled with a carefully configured capacitor bank for energy buffering, the system efficiently converts kinetic energy from fluid flow into a stable direct current (DC) output. The use of a final-stage LED load to demonstrate the complete energy conversion process visually confirms the system’s capability to transform fluid dynamic input into practical electrical power.
The objectives of this study are twofold. First, the overall efficiency of the system is rigorously quantified by evaluating the energy output of the piezoelectric flag and the effectiveness of energy storage when supplying a small-scale load under realistic flow conditions. Second, the portability and scalability of this self-contained harvester are assessed in practical deployment scenarios, highlighting its potential as a flexible and sustainable low-power energy solution. By adopting a holistic approach that integrates aerodynamic excitation, structurally optimized flag design, and power management electronics within a single experimental platform, this study delivers the first stage-resolved performance map of a piezoelectric flag energy-harvesting system and provides a methodological framework and benchmark for future self-powered sensing and IoT applications.

2. State of the Art in FSI-Based Energy Harvesting

2.1. Fundamentals of FSI-Based Energy Harvesting

Fluid–structure interaction (FSI) describes the coupling between fluid flow and structural response. In these systems, forces exerted by the fluid induce deformations or motions in the structure, while changes in the structure, in turn, modify the characteristics of the flow. This reciprocal interaction underpins a wide array of engineering applications—from aerospace to civil engineering—and has, in recent decades, spurred a rapidly growing research area in energy-harvesting systems.
The fundamental principle of FSI-based energy harvesting is to exploit flow-induced vibrations (FIVs)—including vortex-induced vibrations (VIVs), flutter, galloping, and related phenomena—to convert the kinetic energy of moving fluids (such as air, water, or other media) into usable electrical energy [16,17]. The performance of these harvesters critically depends on carefully balancing structural design parameters, fluid flow characteristics, and the selected transduction mechanism. By optimizing factors such as stiffness, damping, geometry, and mass ratio, researchers have demonstrated that it is possible to fine-tune the amplitude and frequency of oscillations to maximize power output [11,13,18,19,20,21,22].
Moreover, FSI-driven energy harvesters hold the promise of tapping into abundant, clean, and often underutilized renewable resources. Studies have shown that flow-induced vibration phenomena can be effectively harnessed in a variety of fluid environments, including wind currents [1], river flows [2,3], ocean waves [6], and tidal streams [4,5]. This versatility, stemming from the ubiquitous presence of moving fluids in nature, positions FSI-based devices as promising contributors to the global renewable energy landscape.

2.2. Flow-Induced Vibration Mechanisms

Various classes of flow-induced vibrations have been explored for energy-harvesting applications. Each mechanism offers distinct advantages and limitations in terms of operating frequency, amplitude response, and sensitivity to flow speed. Among the earliest FSI-based devices, vortex-induced vibration (VIV) energy harvesters typically employ a bluff body positioned within a fluid flow, which results in periodic vortex shedding downstream. This shedding induces transverse oscillations in the structure that can be converted into electrical energy using electromechanical or piezoelectric transducers [23,24]. Another class of FSI-based harvesters harnesses flutter-induced dynamics. When a flexible beam or plate is exposed to a fluid flow, self-sustained oscillations may emerge due to aerodynamic or hydrodynamic flutter, offering a continuous source of motion for energy conversion [25]. Additionally, flow-induced galloping represents a further viable mechanism in FSI-based energy harvesting. In galloping harvesters, an asymmetric bluff body can experience large-amplitude, low-frequency oscillations in the transverse direction under moderate fluid velocities [26]. Unlike VIV—which relies on synchronization between vortex shedding and the structure’s natural frequency—galloping occurs over a broader range of flow speeds, thereby enhancing its suitability for variable flow conditions.
Due to their inherent adaptability, FSI-based harvesters are particularly attractive for distributed power generation in off-grid settings, such as sensor networks and self-sustaining IoT nodes. These systems diminish the reliance on battery replacements or wired connections, underscoring the practicality of harnessing fluid flows as a consistent energy source.

2.3. Energy Transduction for FSI-Based Harvesters

In addition to the mechanical design of FSI-based harvesters, the conversion of mechanical energy into electrical energy is a critical aspect of these systems. Two primary transduction mechanisms are widely employed: electromagnetic transduction and piezoelectric transduction. Electromagnetic transduction relies on the relative motion between magnets and coils to induce electrical currents [3,4]. In contrast, piezoelectric transduction utilizes the deformation of piezoelectric materials to generate voltage. This mechanism establishes a direct relationship between mechanical deformation and electric charge output, making it an attractive option for harvesting vibrational or flow-induced motion [10].
Among the various piezoelectric materials employed for flow–structure energy conversion, lead zirconate titanate (PZT) and polyvinylidene fluoride (PVDF) are frequently cited as representative examples [9]. PZT exhibits high piezoelectric constants and has been extensively investigated for energy-harvesting applications. Its relatively high stiffness and strong electromechanical coupling make it well suited for scenarios involving significant mechanical forces. By contrast, PVDF offers distinct advantages in terms of lightweight design, mechanical flexibility, and chemical stability, rendering it particularly attractive for fluidic energy harvesters intended for portable or low-profile applications. Although PVDF’s piezoelectric coefficients are typically lower than those of PZT, its films can be fabricated in various thicknesses, shapes, and multilayer configurations to enhance output performance. This adaptability, coupled with PVDF’s capacity for large deformations and inherent resilience, makes it a favorable candidate in flow-dominated contexts where flexibility and conformity to curved surfaces are critical.
It is also important to note that piezoelectric materials can be configured into various geometries to maximize energy harvesting in fluid–structure interactions. Common device configurations include cantilever beams [10], which serve as canonical testbeds for vibration-based energy conversion, as well as flexible flag architectures that exploit flutter- or vortex-induced vibrations in flowing fluids [18]. In particular, piezoelectric flags offer several notable advantages for energy harvesting: they provide a larger fluid–structure interface and operate effectively over a broader range of flow velocities.

2.4. Numerical and Experimental Research on Piezoelectric Flags for Energy Harvesting

2.4.1. Numerical Research on Piezoelectric Flags

The numerical analysis of piezoelectric flag energy-harvesting systems entails coupling fluid dynamics, structural mechanics, and electrical circuits into a unified framework, often referred to as fluid–structure–electric interaction (FSEI) or fluid–structure–piezoelectric interaction (FSPEI). As a variant of traditional fluid–structure interaction (FSI) problems, these systems present additional complexity due to the bidirectional coupling between structural deformations and the electrical output generated by embedded piezoelectric layers [27]. Typically, the fluid flow is governed by the Navier–Stokes equations, while the structural behavior is described by beam theories. When piezoelectric materials are incorporated, the electromechanical coupling is captured through appropriate circuit models or voltage–charge relations.
A variety of numerical techniques have been proposed to address the multiphysics coupling inherent in these systems. Lattice Boltzmann method (LBM)-based approaches, for instance, have garnered increasing attention for simulating the fluid domain due to their high computational efficiency and low numerical dissipation. A two-dimensional nine-speed (D2Q9) LBM scheme has been shown to effectively capture essential fluid flow patterns. Tian et al. [28] employed an immersed boundary method combined with a multi-block LBM solver to account for large structural displacements, thereby facilitating the accurate transfer of hydrodynamic and structural forces at the fluid–solid interface. Similarly, Bi et al. [29] and Wang et al. [30] demonstrated a fully coupled multiphysics model that integrated LBM for fluid flow, the finite element method (FEM) to simulate the flexible motion of an inverted flag, and circuit equations to capture electrical dynamics. Their model enabled the investigation of different circuit topologies (e.g., RC and RLC configurations), revealing how the electrical interface design can significantly influence the flag’s oscillation characteristics and energy conversion efficiency. Further advancing this field, Li et al. [31] proposed a strongly coupled LBM–FEM–PEM (piezoelectric model) framework to handle large-amplitude flag vibrations without sub-iterations at each time step. This strategy underscores the importance of robust coupling among the fluid, structural, and electrical subsystems to ensure numerical stability and accurate predictions of oscillation behavior and energy output.
Various placement and geometric configurations have been explored to optimize the fluid-induced vibrations (FIVs) of piezoelectric flags and, consequently, maximize power harvesting. One widely adopted configuration is the regular flag, in which the leading edge is fixed to a support and the trailing edge is free to oscillate in the incoming flow [8,11,12,13,14,18,19,32]. This arrangement leverages flutter-induced vibrations and has been extensively studied both numerically and experimentally. In contrast, the inverted flag configuration, where the trailing edge is clamped and the leading edge remains free, often exhibits enhanced power output and a broader effective flow velocity range [7,20,21,22,33,34,35]. These performance gains are attributed to the unique flow patterns and structural dynamics that develop when the fixed end is positioned downstream relative to the freestream flow.
Beyond the basic single-flag setups, several strategies have been proposed to modify the flow field and amplify the desired fluid–structure interactions. For instance, placing a bluff body upstream of the flag can induce large-scale vortex shedding, which serves as an external mechanism to drive or synchronize the flag’s oscillations [32,36,37]. Similarly, modifying the geometry of the leading or trailing edges (depending on whether the flag is regular or inverted) can alter vortex formation and enhance flutter over specific velocity ranges [38]. Moreover, multi-flag arrays have garnered significant attention for their potential to increase power density by harnessing both the individual interactions between each flag and the flow and the hydrodynamic coupling among neighboring flags [39,40]. When arranged in tandem or side by side, upstream flags can generate coherent vortical structures that excite downstream flags, leading to more pronounced oscillations.
Early numerical studies on regular flags have provided a solid foundation for understanding how structural properties and flow parameters jointly determine the onset and amplitude of self-sustained oscillations. For example, Connell and Yue [13] demonstrated that, as the mass ratio increases, the motion of a conventional flag transitions through three distinct regimes—static mode, limit-cycle oscillations, and chaotic oscillations. Michelin and Doaré [12] as well as Xia et al. [11] further showed that achieving high-energy oscillation modes requires careful tuning of dimensionless flow velocity and bending stiffness, since even small deviations from optimal conditions can suppress large-amplitude flutter. Additional studies have noted the significance of hysteresis phenomena, which become more pronounced with decreasing bending stiffness or increasing mass ratio and Reynolds number [19]. These complexities underscore the challenge of maintaining consistently high oscillation amplitudes in real-world scenarios—particularly at lower wind speeds.
In contrast, numerical research on inverted flags has revealed a distinct dynamic behavior. With a clamped trailing edge and a free leading edge, inverted flags exhibit oscillatory modes at lower flow speeds compared to conventional flags [41]. Researchers commonly categorize inverted-flag motion into three regimes: a static mode, a large-amplitude limit-cycle oscillation mode, and a fully deflected mode. The large-amplitude limit-cycle oscillation regime is particularly attractive for energy harvesting because it induces more pronounced bending of the flag material, thereby increasing the strain in the piezoelectric layers. Ryu et al. [21] identified vortex-induced vibrations (VIVs) as a key mechanism driving these large deflections, while subsequent work by Tavallaeinejad et al. [22] suggests that, for sufficiently high mass ratios, self-excited structural instabilities also contribute to triggering persistent oscillations. Moreover, geometric parameters—particularly aspect ratio—and bending stiffness critically modulate these oscillation modes, with slender, flexible inverted flags often transitioning between static and oscillatory states in response to subtle changes in flow conditions [20,42].

2.4.2. Experimental Research on Piezoelectric Flags

Building on insights from numerical modeling, experimental investigations have provided critical validation and a deeper understanding of piezoelectric flag behavior. In conventional flags, researchers have consistently shown that flag dimensions (length, width, thickness), boundary constraints, and external flow velocity profoundly influence both flutter characteristics and energy conversion efficiency. For example, experiments by Allen et al. [8] confirmed that introducing an upstream bluff body can induce flutter in piezoelectric strips, while Nishigaki et al. [18] demonstrated that carefully tuning flag geometry and support conditions significantly enhances power output at moderate wind speeds. Akaydin et al. [43] further provided evidence that resonance effects—when the wake vortex frequency aligns with the flag’s natural frequency—result in amplified oscillations and improved electrical output, although precautions are necessary to avoid instability at higher wind speeds.
In contrast, inverted flags—with a free leading edge and a clamped trailing edge—have exhibited even greater potential for large-amplitude flutter, as verified through both laboratory and outdoor tests. Experimental studies by Orrego et al. [7] have confirmed that inverted flags readily enter substantial limit-cycle oscillations at lower flow speeds compared to conventional flags. Moreover, the structural and aerodynamic parameters that trigger these high-energy modes—such as bending stiffness, can be finely tuned to target a broader operational wind speed range. A notable approach for inverted flags involves the use of composite or multilayer structures to achieve better stiffness control and to match the device’s natural frequency to a desired range [34,35]. These composite layers typically consist of an active piezoelectric layer bonded to one or more non-active layers (e.g., metals or polymers with higher stiffness). By fine-tuning the relative thicknesses and elastic moduli of each layer, researchers aim to optimize flutter onset, maintain robust large-amplitude oscillations, and maximize mechanical strain under realistic flow conditions.
In summary, these cumulative experimental findings—when interpreted alongside advanced numerical predictions—underscore the delicate balance among geometry, material layering, flow velocity, and structural properties that shapes the flutter response and energy-harvesting potential of piezoelectric flag systems.

2.5. Circuit Integration and Energy Management

Despite the extensive research on FSI-based energy-harvesting devices, several challenges remain. Many studies have primarily focused on energy capture efficiency by refining structural parameters to better match flow conditions and maximize power output. However, less attention has been given to the complete energy management process, including energy conditioning, distribution, and storage.
The typical electrical output of piezoelectric FSI-based harvesters is characterized by high voltages, high internal impedances, low-frequency alternating signals, and low power levels under typical flow-induced deformations [12]. Consequently, such outputs cannot be directly utilized by external systems. These inherent properties necessitate tailored front-end circuitry to rectify and regulate the harvested energy prior to storage and delivery to the load. Recent investigations have emphasized the importance of full-bridge rectification techniques for converting alternating signals into usable direct current, as well as minimizing leakage through optimized diode- or transistor-based pathways [44,45]. In parallel, step-up and step-down converters (e.g., boost and buck converters) have been employed to accommodate a wide range of voltages, thereby ensuring compatibility with various storage elements and load requirements [46].
Additionally, the system must ensure that the harvested energy is properly buffered, typically using supercapacitors [47] or batteries [48], and then dispatched to the load as needed, whether for intermittent wireless sensor nodes, wearable devices, or other distributed applications. Importantly, the choice of energy storage medium directly influences circuit design. For instance, supercapacitors offer significant advantages over batteries in applications that demand rapid charge–discharge capability, and long-term reliability. Their ability to deliver instantaneous power stems from their inherently high power density, which facilitates efficient energy capture and release within seconds. This feature is particularly beneficial in energy-harvesting systems, where intermittent or pulsed power inputs require a storage medium capable of dynamically responding to fluctuating energy availability. Unlike batteries—which require longer charge cycles and tend to degrade over repeated use—supercapacitors can endure millions of charge–discharge cycles with minimal performance loss, thereby reducing maintenance needs and ensuring sustained operational efficiency.

2.6. Persisting Gaps in Integrated Energy Harvesting

Despite substantial advances in flutter control and flag-level power output, current research treats the transducer, rectifier and storage stages as discrete, weakly coupled subsystems. Most experimental papers stop at open-circuit or resistive-load measurements, leaving essential power-conditioning functions—unidirectional current flow and voltage regulation—unaddressed. As a result, the “overall efficiencies” often quoted in the literature exclude the losses introduced by full-bridge rectifiers and dc–dc converters. No published study has produced a quantitative loss ledger—flag, rectifier, converter, and storage—for a self-contained device operating in an energy-harvesting system. Without such data, it is impossible to identify the dominant dissipation mechanisms or to prioritize material versus circuit innovations rationally.
Taken together, these gaps make it difficult to identify the main sources of loss and keep laboratory prototypes from maturing into compact, reliable milliwatt-level power supplies. Solving them is a necessary step toward turning piezo-flag harvesters into practical energy sources for self-powered sensors and IoT devices.

3. Materials and Methods: System Design and Implementation

3.1. Mechanical Structure Design

In this study, we have selected a flexible piezoelectric film sensor (model LDT4-028K/L, P/N 1-1002405-0; TE Connectivity Ltd., Berwyn, PA, USA) as the primary flag, as shown in Figure 1. The sensor consists of a piezoelectric film element laminated with a polyester film. The polyester layer not only protects the internal piezoelectric element but also aids in the routing of the sensor leads, which can be twisted or bent to suit various constraints. The polyester film used in this study has a nominal thickness of 28  μ m. The overall sensor width is 22 mm (with an active piezoelectric region of 19 mm), and the sensor length is 171 mm (with an active piezoelectric region of 156 mm). The total flag thickness reaches 157  μ m, and its equivalent capacitance is 11 nF. This model offers the largest piezoelectric area in the LDT series, ensuring a larger wind-facing surface and higher oscillation amplitude during flutter or vortex-induced vibration (VIV), thereby promising enhanced electrical output.
Table 1 summarizes the key sensor parameters.
To enhance the output performance of the piezoelectric flag, the design employs an upstream bluff body. This bluff body generates a periodic Kármán vortex street that causes the flag to flutter more vigorously. Although different bluff body shapes and flow velocities can lead to variable excitation effects, our research focuses on the overall system design rather than optimizing the bluff body geometry.
For simplicity and versatility, we selected a cylindrical bluff body that is easily fabricated via 3D printing and provides sufficient internal space for system wiring. Specifically, a hollow cylinder with an outer diameter of 20 mm and a height of 150 mm is mounted on a rectangular base measuring 40 mm × 24 mm × 5 mm. Inside the cylinder is a 12 mm diameter wire-routing channel that connects to the exterior via a 4 mm wide inlet on the downstream side at a height of 110 mm above the base. On the upstream side, a 6.4 mm × 20 mm wire outlet is provided. The flag’s leads can be inserted through the inlet, routed upward via the internal channel, and then exit at the bottom through the outlet. This configuration leaves the gap between the bluff body and the flag largely unobstructed, allowing for parametric studies on their relative positioning. Additionally, by concealing the wiring, this design minimizes interference with the fluid flow and improves visual aesthetics—particularly when multiple flags are in use.
We adopted a puzzle interlocking slot on the cylinder’s base to streamline its integration with other system modules. This mechanism enables a quick swap or modification of the upstream bluff body without affecting the downstream flag. Researchers can easily test alternative bluff body geometries or dimensions by printing new variants and securing them with the interlocking interface, enhancing overall adaptability and maintenance efficiency. Table 2 lists the key dimensions for the bluff body.
A separate downstream support structure is used to secure the flag. The support rod has a width of 2 mm, a length of 13 mm, and a height of 150 mm, matching the cylinder height. The rod’s slim profile was chosen to minimize its wind-facing area, thereby reducing interference with the downstream flow field. It is attached to a base with dimensions 40 mm × 80 mm × 5 mm. Triangular stiffeners, measuring 2 mm in width and 35 mm in height, are positioned on either side of the rod where it meets the base to maintain rigidity during large-amplitude oscillations.
Table 3 provides the parameters for the downstream support structure used to hold the flag.
The downstream base also features a puzzle interlocking tab that pairs with the cylinder’s puzzle interlocking slot, allowing easy reconfiguration. Thus, adjustments to the flag–cylinder distance or multiple-flag layouts can be made by switching to a different downstream support without needing to modify the entire test rig.
Figure 2 shows an illustration of the upstream cylindrical bluff body and the downstream support structure.
To secure the piezoelectric flag to the support rod, double-sided adhesive tape is employed, as shown in Figure 3. This method provides a low-profile, uniform attachment that avoids introducing any additional geometric features near the flag. Consequently, the streamlined interface minimizes interference with the fluid flow, ensuring that vortex formation is predominantly influenced by the upstream bluff body and not by the attachment mechanism. This design choice supports a more accurate representation of the intended aerodynamic conditions and enhances the overall efficiency of the energy-harvesting device.

3.2. Circuit Design

The energy-harvesting system is built around the LTC3588-1 energy-harvesting IC, an ultra-low-power energy-harvesting solution that converts the high-impedance, low-frequency AC output of the piezoelectric transducer into a stable DC supply. This is achieved by combining an internal full-wave bridge rectifier with a high-efficiency buck converter, thereby eliminating the need for multiple external components. The LTC3588-1 energy-harvesting IC features an integrated protective shunt, a wide input voltage range, and selectable output levels (1.8 V, 2.5 V, 3.3 V, or 3.6 V), along with an extremely low quiescent current to enable long-term operation in remote or self-powered sensor applications. Table 4 lists the main functions of several important pins of the LTC3588.
Key internal components are shown in Figure 4 and their functions include the following:
  • Full-Wave Bridge Rectifier: Converts the alternating output from the piezo element into pulsating DC, storing the signal on a capacitor at the VIN pin. At currents around 10  μ A, the typical voltage drop is about 400 mV, while the bridge can carry up to 50 mA.
  • Protective Shunt Regulator: Clamps VIN at approximately 20 V to suppress high-voltage transients.
  • High-Efficiency Buck Converter: Steps down the accumulated voltage to a user-selectable DC output using a hysteretic control method. An internal PMOS ramps the inductor current up to roughly 260 mA before an NMOS discharges it, ensuring efficient energy transfer.
  • Undervoltage Lockout (UVLO): Minimizes quiescent current when VIN is below a threshold, allowing a weak source to charge the external capacitor without unnecessary losses.
The whole circuit design is shown in Figure 5. An external capacitor is placed between the VIN pin and ground to store the harvested energy. During the charging phase, the rectified DC voltage gradually increases until either the source’s maximum potential is reached or the protective shunt clamps the voltage. When powering a load, the buck converter steps down the capacitor voltage to a stable 1.8 V. For demonstration, a protection resistor and a 1.7 V, 1 mA LED (ParaLight L319EGWASS) are connected in series at the output VOUT pin. By varying the capacitor sizes and series resistor values, the effect on charging behavior and discharge profiles can be systematically investigated. Additionally, two manual switches control the charging and discharging cycles: one between the capacitor and the VIN (closed during charging) and another between the VOUT and the resistor–LED load (closed to power the LED).
Multiple piezoelectric flags can be connected either in series or in parallel. In a series configuration, the voltages add up, which can help the LTC3588-1 energy-harvesting IC reach its startup threshold if a single flag’s output is insufficient. Conversely, a parallel configuration combines the current contributions at the same voltage level, which is beneficial if the individual flag voltage is already adequate but the total current is low. Comparative tests among single-flag, series multi-flag, and parallel multi-flag setups are performed to evaluate which configuration yields the best power output and conversion efficiency at identical flow speeds.

3.3. Experimental Design

A series of experiments were carried out to validate the proposed mechanical and circuit designs in a steady jet generated by a household hair dryer. The hair dryer outlet is annular, with an outer diameter of 55 mm and an inner diameter of 45 mm. The airflow is discharged through the annulus between these two radii. As demonstrated in the next subsection, this geometry modifies the near-field velocity distribution, whereas beyond the immediate vicinity of the nozzle, the combined stream behaves effectively as a single jet. The hair dryer is positioned such that its central axis is 8.5 cm above the laboratory table surface. Apart from this table, no other walls or obstacles lie within a 2 m radius, so the only unavoidable boundary is the tabletop itself. Because the jet issues 8.5 cm from the table, any near-wall influence on the flow is expected to be minimal.
For the experiments, the cylinder bluff body was placed immediately adjacent to the hair dryer’s annular outlet without a gap, and the piezoelectric flags were mounted directly downstream of the cylinder to flutter in the induced airflow. The flow velocity along the flag’s axial direction was measured at discrete locations using an anemometer (DELI DL333203). Ten independent recordings were taken at each location. In the Results Section, we report the mean axial velocity, V flow , with error bars representing ± σ V , where σ V is the standard deviation over the ten measurements.
Table 5 lists the directly measured electrical parameters, which are recorded in real time using high-impedance multimeters or an oscilloscope. Multimeters are preferred over the oscilloscope in most cases because their internal resistance of 10 M Ω is significantly higher than the oscilloscope’s 1 M Ω , thereby reducing measurement-induced loading in this ultra-low-power system.
These measured voltages ( U in ,   U out ,   U LED ,   U R ) form the basis for subsequent calculations. The capacitor voltage U in will be monitored to characterize the charging behavior under different capacitor capacities and flag configurations.
All DC voltages were logged with a digital multimeter (TOPLIA TM103, input impedance 10 M Ω ) connected through low-capacitance probes. For the slowly varying capacitor voltage U in , the 20 V DC range (resolution 10 mV) was used; for the regulated output U out and the LED forward voltage U LED , the 2000 mV DC range (resolution 1 mV) was selected. The AC peak-to-peak voltage across the series resistor, U R , was captured with a digital storage oscilloscope (Tektronix TDS1002B, input impedance 1 M Ω ).
Each operating point was repeated five times; in Section 4, each voltage is reported as the sample mean, U, with error bars of ± σ U . The instrumentation and corresponding measurement ranges and resolutions are summarized in Table 6.
The energy-harvesting process is divided into three stages. In the first stage (piezoelectric conversion), the kinetic energy of the fluid is converted into electrical energy by means of the vibrating piezoelectric flag. The flag’s output power, P flag , is determined by placing a resistor R in series with the piezoelectric element, varying R, and measuring the resulting voltage. The piezoelectric conversion efficiency η piezo is then given by
η piezo = P flag P flow .
In the second stage (rectification), the AC output from the piezoelectric element is rectified and stored in a capacitor. The rectification efficiency η recti quantifies the power transferred to the capacitor relative to that produced by the piezoelectric flag:
η recti = P capa P flag ,
where P capa is computed by monitoring the capacitor voltage over time and calculating both the stored energy and the instantaneous power.
The third stage (voltage conversion) consists of discharging the capacitor through a the buck converter to deliver power to the load. The voltage-conversion efficiency η conv is defined as
η conv = W load W capa ,
where W load is the energy delivered to the load, and P capa is the energy drawn from the charged capacitor.
These three stages constitute the complete pathway of energy transfer from the fluid flow to the final load.
The total system efficiency, η sys , is obtained by combining these stage-wise efficiencies:
η sys = η piezo × η recti × η conv .
Table 7 summarizes the relevant parameters and their associated formulas.
Charging and discharging profiles are then analyzed to identify the most favorable design parameters. Various configurations, such as series or parallel flag connections, different spatial layouts (e.g., overlapping versus separately spaced flags), and a range of storage capacitor sizes or series resistor values, are evaluated. By examining their impact on charging rate, stored energy, and final power delivery, a comprehensive framework for optimizing each step of the energy-harvesting process is established.

4. Results

4.1. Piezoelectric Conversion Stage

To ensure consistent flow conditions, the axial velocity profile was measured at 21 equally spaced stations along the hair dryer centerline. The symbols in Figure 6 therefore represent the centerline velocity distribution in the wake of the cylinder, i.e., the actual flow field that excites the flags in subsequent experiments.
The peak mean velocity reached 17.36 m s 1 ( ± 2.91 m s 1 ) at approximately 4 cm downstream of the flag’s leading edge—while the mean velocity at the trailing edge fell to 11.05 m s 1 ( ± 2.01 m s 1 ) owing to divergence of the flow. The arithmetic mean of the axial velocities measured at all sampling points along the full length of the flag was 14.33 m s 1 .
This evolution of wind speed can be approximately explained by using the Schlichting jet solution [49]. With this self-similar solution, the axis velocity component is
u = ν x F ( η ) η ,
where x is the axis distance, ν is the viscosity, and F ( η ) is a self-similar function
F ( η ) = 4 ( Re η ) 2 32 / 3 + ( Re η ) 2
where the Reynolds number Re is defined by using flow flux and η = r / x with the radial coordinate r. We approximately consider that the anemometer measures an averaged velocity of a small circle with radius r 0 , then this locally averaged velocity is written as
u ¯ ( x ) = 1 π r 0 2 0 r 0 2 π r u d r = 24 Re 2 ν x 3 Re 2 r 0 2 + 32 x 2 .
Considering that both Re and r 0 are unknown in the measurement, we use a general form u ¯ ( x ) = a x b + x 2 and fit the coefficients a and b. Figure 6 shows that this model is in good agreement with experiment data. Note that the discrepancy in the near field ( x < 0.05 m ) originates from the wake produced by the hair dryer’s annular nozzle, as detailed in Section 3.3.
When the cylinder and the piezoelectric flag were placed close to each other, the flag exhibited a large flapping amplitude, as shown in Figure 7.
To quantify the available power from the airflow, we applied the standard wind power relation:
P flow = 1 2 ρ A V flow 3 ,
where ρ is the air density, V flow denotes the arithmetic mean of the axial velocities measured at all sampling points distributed along the full length of the flag, and A is the effective cross-sectional area perpendicular to the flow. In our experiments, the configuration shown in Figure 3 was employed. In this arrangement, the piezoelectric flags are organized in three rows: from the bottom to the top, the first two rows contain two superposed flags each, while the third row comprises a single flag. Given that each flag has a height of 22 mm, the overall vertical dimension is 3 × 22 mm = 66 mm . Moreover, the maximum lateral displacement (i.e., the maximum tip-to-tip distance during flapping) was measured to be approximately 100 mm. Therefore, the effective area used in the calculation is defined as
A = 100 mm × 66 mm .
This explicit definition of A ensures that the interaction between the airflow and the flag system is accurately captured in our energy-harvesting analysis.
Next, the piezoelectric flag was connected in series with an external load resistor to measure the electrical output. Figure 8 shows the equivalent circuit, consisting of the piezoelectric element, the external resistor R, and the measurement points for voltage. By systematically varying R, we recorded the output voltage U R and calculated the effective load resistance R eq , accounting for the oscilloscope’s internal resistance. Figure 9 presents a typical oscilloscope trace of the piezoelectric flag’s output voltage.
From the recorded data, we computed the electrical power of the piezoelectric flag as
P flag = 1 8 U R 2 R eq ,
and defined the power density P flag by normalizing P flag to the active PVDF area of the piezoelectric flag. Figure 10 illustrates how both the output voltage and power density change with load resistance.
We observe that the output voltage increases with higher load resistance, implying that the flag has a relatively high internal impedance. Consequently, using a sufficiently large load resistance allows most of the generated voltage to appear across the output. Notably, when R eq = 0.375 M Ω , the external load closely matches the internal impedance of the piezoelectric source, thereby maximizing power transfer. Under these conditions, the output voltage U R reached 31.8 V ( ± 0.87 V ) , yielding a peak power P flag of 0.34 mW ( ± 0.01 mV ) and a power density of 0.81 mW / cm 3 ( ± 0.04 mW / cm 3 ) based on the active PDVF column. Throughout the following sections, P flag = 0.34 mW is adopted as the representative piezoelectric output of the flag.

4.2. Rectification Stage

In the second stage, the LTC3588-1 energy-harvesting IC was used to rectify the alternating voltage generated by the piezoelectric flags and store the harvested energy in a capacitor connected to the VIN pin. Figure 11 shows the circuit configuration.
First, we investigated how the number of flags and their electrical connections (series vs. parallel) affected the output. A 10 μ F storage capacitor was chosen so that the rise in voltage would be more evident. We tested from one and five piezoelectric flags. Figure 12a shows the charging curves for series connections, while Figure 12b presents the results for parallel connections.
In the series configuration, both the final voltage and the power output increase slightly with the number of flags. In contrast, with parallel connections, both the maximum voltage and the slope of the voltage–time curve increase substantially as the number of flags increases. This behavior likely occurs because the full-bridge rectifier’s efficiency is enhanced by a higher input current, which is summed in parallel. As a result, the charging efficiency of the circuit improves with more flags in parallel. Notably, when five flags are connected in parallel, the final voltage approaches 20 V , fully utilizing the LTC3588-1 energy-harvesting IC’s recommended input range.
Additionally, we determined the maximum charging voltage and the average charging power,
P capa , avg = 1 2 C ( U in , final 2 U in , init 2 ) t charge ,
as functions of the number of flags, plotted in Figure 13. For any given number of piezoelectric flags, both the maximum capacitor voltage and average charging power are higher in the parallel configuration than in the series configuration. The difference is most pronounced for the average charging power, which is a key indicator of the charging rate; the parallel setup yielded an improvement of approximately 2–3 times compared to the series setup.
With five flags connected in parallel, we explored different mechanical arrangements. Figure 14 illustrates the three mechanical layouts investigated for the five-flag, parallel-electrical-connection case.
Here, the storage capacitor was 100 μ F . Figure 15 compares the three charging curves for these configurations.
From Figure 15, it is apparent that placing all five flags side-by-side in the airflow yields lower output because the wind outlet cannot fully cover all flags. By superimposing flags in a 2 + 2 + 1 arrangement, each row receives adequate airflow, leading to larger flapping amplitudes and higher electrical output. When multiple flags are used, bonding their tails can help them flap in phase rather than opposing each other. In configurations lacking bonded tails, desynchronization in the flags’ flapping motion may occur during the charging process, thereby diminishing the final voltage and the overall charging power. Properly bonded flags behave like a single ensemble with an altered aspect ratio, enhancing overall flapping dynamics and improving power generation.
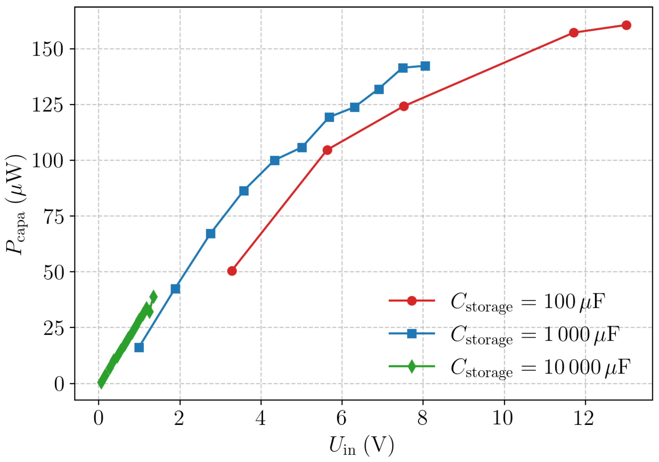
For the same five-flag circuit (in parallel) and mechanical arrangement (2 + 2 + 1 with bonded tails), we examined the performance when charging different capacitor values: 10 μ F , 100 μ F , 1000 μ F , 10 , 000 μ F , 0.1 F , and 1 F . Figure 16a,b depict the voltage–time and instantaneous charging-power–time curves, respectively.
As capacitance increases, the voltage across the capacitor rises more slowly, which keeps the instantaneous charging power relatively low in the early stages. Although the piezoelectric flags supply a comparable total amount of energy, larger capacitors require more time to accumulate a significant voltage. It might because the instantaneous charging power is proportional to the voltage across the capacitor, so a lower voltage corresponds to lower power. For example, with a 100 μ F capacitor, as U in increases from 2.85 V to 13.83 V , the instantaneous charging power rises from approximately 40 μ W to 140 μ W . By contrast, with a 10 , 000 μ F capacitor, the voltage only reaches 1.3 V after 7.5 min, and for 0.1 F or 1 F capacitors, the voltage remains below 0.05 V in the same time frame, resulting in very low charging power.
Figure 17 highlights how the instantaneous charging power P capa scales with the capacitor size. As expected, there is a strong correlation between the instantaneous charging power and the input voltage across the capacitor, reflecting that rectification efficiency depends on the voltage at the VIN pin.
For subsequent efficiency calculations, the mean average charging power over the entire charging cycle of the 100 μ F capacitor was used, as its charging curve was nearly complete. This value was obtained from the five repeated experiments, yielding an average charging power of 97.38 μ W with a standard deviation of 1.95 μ W .

4.3. Voltage Conversion Stage

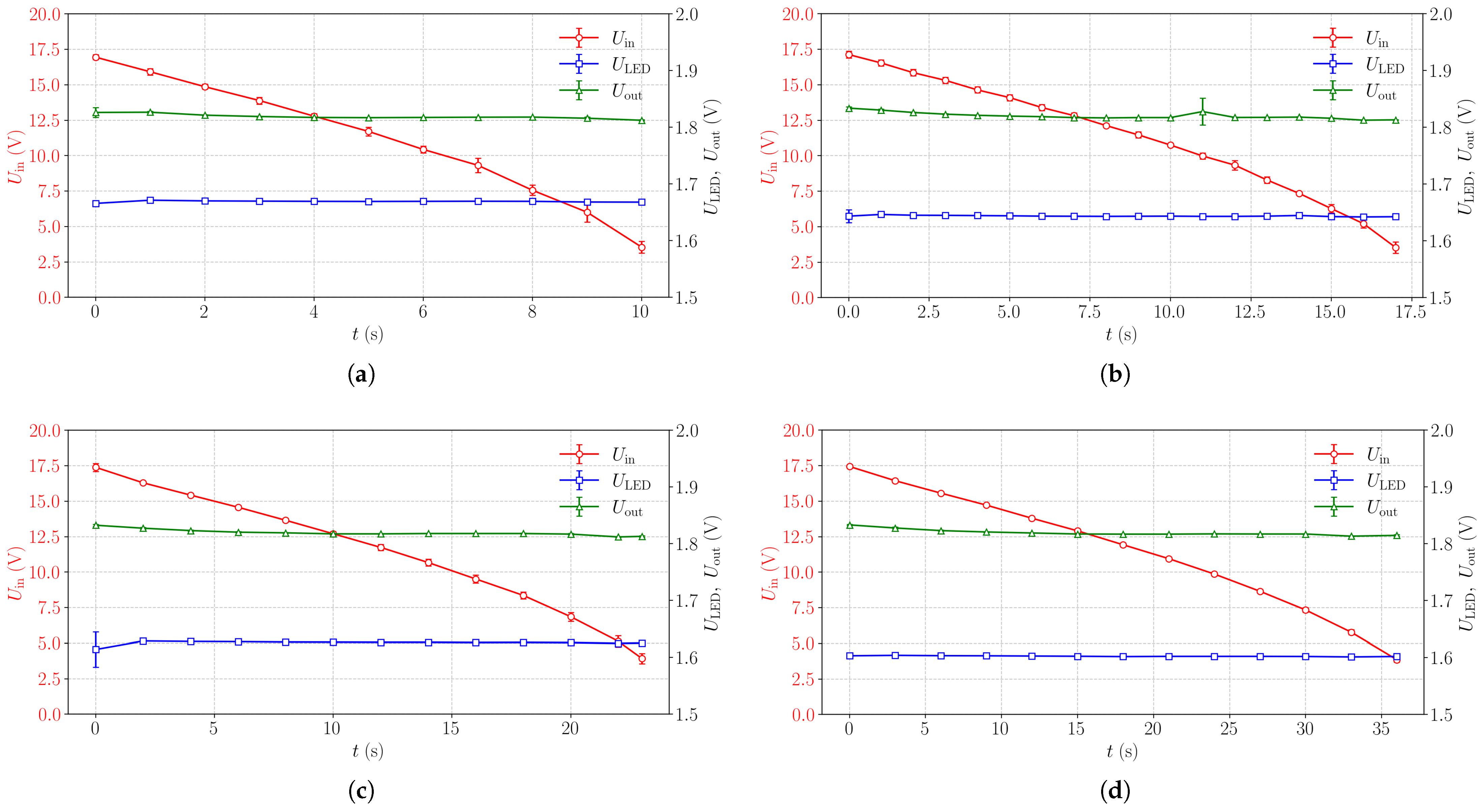
Once the capacitor at the VIN pin of the LTC3588-1 energy-harvesting IC was charged, the IC’s built-in buck converter regulated the voltage at the VOUT pin to power an LED in series with a resistor. The circuit configuration is shown in Figure 18.
In this experiment, a 100 μ F capacitor was pre-charged to a target voltage around 18 V before being connected to the VIN pin. The LTC3588-1 energy-harvesting IC then provided a stable 1.8 V output at VOUT . By varying the series resistor ( 300 Ω , 600 Ω , 900 Ω , and 1.6 k Ω ), we controlled the current through the LED, thus modifying its operating point.
Figure 19 shows the capacitor voltage ( U in ) over time, alongside the VOUT pin voltage ( U out ) and the LED supply voltage ( U LED ). In each case, the buck converter maintained a stable voltage across the LED–resistor circuit, slightly above 1.8 V . As expected, higher load resistance led to lower current draw, prolonging the duration before the capacitor’s voltage dropped below the regulated level.
The energy conversion efficiency η conv was determined for each resistor setting by comparing the total output energy delivered to the load W load to the energy drawn from the capacitor W capa . Figure 20 summarizes these efficiency values. As the output current increased from 0.14 mA to 0.50 mA , the buck converter efficiency rose from approximately 0.61 to 0.68 , indicating that the converter achieves better performance at higher load currents within this operating range.

4.4. Overall Efficiency

Finally, we combined the results from all three stages to estimate the overall system efficiency as defined in Equation (4). To further illustrate the power flow at each stage, Table 8 presents both the input and output power along with the efficiency for the following:
(i)
Piezoelectric conversion (Equation (1)).
(ii)
Rectification (Equation (2)).
(iii)
Buck conversion (Equation (3)).
In the piezoelectric conversion stage, the harvested electrical power from the flag was compared with the available power in the airflow. A flow velocity of 14.33 m / s through a 100 mm × 66 mm cross-section provided approximately 11.70 W of aerodynamic power. The flag’s peak electrical output was 0.34 mW , resulting in a piezoelectric efficiency η piezo 0.003 % .
During the rectification stage, the storage capacitor received an average power of about 97.38 μ W . With the flag supplying 0.34 mW , the rectification efficiency η recti was around 29 % . Finally, the LTC3588-1 energy-harvesting IC buck converter provided up to 66 % efficiency η conv when powering a constant 1.8 V LED load, depending on the output current.
By multiplying these individual stage efficiencies (Equation (4)), the overall end-to-end conversion efficiency from airflow to final load was found to be on the order of 10 4 % . Although this net value is small, such performance is typical in low-power energy-harvesting systems where the key objective is to sustain operation of low-consumption devices.

5. Discussion

From Table 8, it is evident that the largest losses occur in the piezoelectric conversion stage. In this stage, the fluid flow first induces deformation of the piezoelectric flag, which subsequently converts the mechanical strain into electrical output via the piezoelectric effect. This two-step energy transfer process inherently introduces significant losses, resulting in an efficiency of only 0.003% at this stage—far lower than the 30–80% often reported for conventional flow turbines using electromagnetic induction. Notably, the first-stage efficiency of 0.003% is on the same order of magnitude as the 0.0035% efficiency found in the coupled system simulation by Akaydin et al. [27].
In the rectification stage, the measured efficiency is around 29%, which is considerably lower than the typical 70–80% achieved by standard full-bridge rectifier circuits under similar load conditions. This reduced performance is likely related to the high internal resistance and low current output of piezoelectric devices. As the results indicate, improving rectification efficiency requires increasing both the input current and output voltage levels, for example by incorporating additional piezoelectric flags in parallel. Moreover, advanced rectification techniques such as Synchronized Switch Harvesting on Inductor (SSHI), which actively controls the switching to reduce energy loss, could be explored in future studies to further enhance performance.
For the voltage conversion stage, our system already achieves a typical converter efficiency ranging from 60% to 70%. While this falls within a standard range for commercial power converters, additional improvements in circuitry design and load matching may further enhance the energy transfer efficiency of this stage.
In the context of FSI-driven piezoelectric flags, the prototype presented here delivers a credible power output. Silva-León et al. [35] reported a maximum of 0.8 mW from multiple LDT2-028K inverted flags across a wind speed range of 0 26 m s 1 , and 0.6 mW at U 15 m s 1 . By comparison, our platform yields 0.34 mW at U = 14.33 m s 1 . These results validate the mechanical structure of our harvester while leaving ample scope for higher output through refined flag geometry, inverted-flag layouts, and impedance-matched electronics.
In summary, the experimental results confirm that the piezoelectric flag and LTC3588-1 energy-harvesting IC-based energy-harvesting system effectively convert airflow into usable electrical power. The final regulated output is capable of continuously driving an LED at a stable brightness for a controllable duration. To further enhance system performance and efficiency, optimization of the flag’s mechanical configuration and bluff body geometry, selection of appropriate capacitor sizes, and careful matching of the load impedance are all critical steps. Potential future improvements include refining the aerodynamic design of the piezoelectric flags (e.g., using inverted-flag configurations), implementing higher-efficiency rectification strategies (such as SSHI), and employing more sophisticated power management techniques (e.g., maximum power point tracking) to boost the overall energy-harvesting efficiency.

6. Conclusions

In this work, we demonstrate a truly self-contained, fluid–structure interaction-based piezoelectric flag energy-harvesting system that integrates every step of the conversion chain—from ambient flow to usable electrical power—within a single, portable framework. By combining an upstream bluff body, a downstream support structure, piezoelectric flags, and the LTC3588-1 energy-harvesting IC-based power electronics into one coherent system, we realize, for the first time, a complete energy transformation process.
Systematic parametric studies—covering flag arrangements, capacitor sizing, and mechanical modifications—show that both mechanical and electrical optimizations significantly enhance device performance. Crucially, these experiments mark the first rigorous quantification of the stage-resolved efficiency map and overall efficiency for a fully integrated piezoelectric harvester under realistic flow conditions, revealing the piezoelectric conversion stage as the dominant loss mechanism and furnishing a practical framework and performance benchmark for energy-harvesting mechanisms and applications. Nonetheless, optimized load selection and circuit design yield rectification and buck conversion efficiencies of 29% and 66%, respectively, underscoring the feasibility of powering low-consumption devices under moderate flows without external power.
Beyond verifying end-to-end energy conversion, this study highlights avenues for further improvement: refined bluff body geometries, optimized flag materials, and advanced power-conditioning schemes (e.g., active or synchronized switching) could bolster energy output and raise overall efficiency. Inverted-flag architectures may also drive larger-amplitude flapping and higher power generation. By uniting structural ingenuity, robust piezoelectric materials, and integrated circuitry, this prototype bridges laboratory-scale research and practical deployments, setting the stage for distributed sensing networks, remote monitoring, and other emerging applications in sustainable energy.

Author Contributions

Conceptualization, X.H., Z.L. and L.F.; methodology, H.W., X.H. and L.F.; formal analysis, H.W., X.H. and Z.L.; writing—original draft preparation, H.W.; writing—review and editing, H.W., X.H., Z.L. and L.F. All authors have read and agreed to the published version of the manuscript.

Funding

We acknowledge the financial support from the National Natural Science Foundation of China (Grants Nos. 12388101 and U2341231) and the Science Center for GasTurbine Project (Grant No. P2022-C-III-001-001).

Data Availability Statement

The data that support the findings of this study are available from the corresponding author upon reasonable request.

Acknowledgments

The authors are grateful to Wei-Xi Huang for the helpful discussions.

Conflicts of Interest

The authors declare no conflicts of interest. The funders had no role in the design of the study; in the collection, analyses, or interpretation of data; in the writing of the manuscript; or in the decision to publish the results.

Abbreviations

The following abbreviations are used in this manuscript:
ACAlternating Current
DCDirect current
FEMFinite element method
FIVFlow-induced vibration
FSIFluid–structure interaction
ICIntegrated circuit
IoTInternet of Things
LBMLattice Boltzmann method
LEDLight-Emitting Diode
PEMPiezoelectric model
PVDFPolyvinylidene fluoride
PZTLead zirconate titanate
SSHISynchronized Switch Harvesting on Inductor
UVLOUndervoltage Lockout
VIVVortex-induced vibration
Nomenclature
AEffective cross-sectional area swept by the flag
CStorage capacitor capacitance
I out Current at the output circuit during discharge
P capa Instantaneous rate of charge of capacitor energy
P flag Electrical power generated by the piezoelectric flag
P flow Mechanical power delivered by the fluid to the flag
P load Power delivered to the load
RSeries resistor used for flag characterization
R out Load resistance in the discharge circuit
t charge Charging time
t discharge Discharge time
U in Input voltage at the LTC3588-1 VIN pin
U out Output voltage at the LTC3588-1 VOUT pin
U LED Voltage measured across the LED terminals
U R Peak-to-peak voltage across series resistor
V flow Mean axial flow velocity acting on the flag
W capa Energy stored in the capacitor
W load Energy delivered to the load
Δ t Sampling interval for voltage measurement
ρ Air density
σ U Standard deviation of repeated voltage measurements
σ V Standard deviation of repeated velocity measurements
η piezo Piezoelectric conversion efficiency
η recti Rectification efficiency
η conv Buck converter efficiency
η sys Overall system efficiency

References

  1. Robbins, W.P.; Morris, D.; Marusic, I.; Novak, T.O. Wind-Generated Electrical Energy Using Flexible Piezoelectric Materials. In Proceedings of the ASME International Mechanical Engineering Congress and Exposition, Aerospace, Chicago, IL, USA, 5–10 November 2006; pp. 581–590. [Google Scholar]
  2. Sun, W.; Zhao, D.; Tan, T.; Yan, Z.; Guo, P.; Luo, X. Low velocity water flow energy harvesting using vortex induced vibration and galloping. Appl. Energy 2019, 251, 113392. [Google Scholar] [CrossRef]
  3. Nishi, Y.; Fukuda, K.; Shinohara, W. Experimental energy harvesting from fluid flow by using two vibrating masses. J. Sound Vib. 2017, 394, 321–332. [Google Scholar] [CrossRef]
  4. Bernitsas, M.M.; Raghavan, K.; Ben-Simon, Y.; Garcia, E.M.H. VIVACE (Vortex Induced Vibration Aquatic Clean Energy): A New Concept in Generation of Clean and Renewable Energy From Fluid Flow. J. Offshore Mech. Arct. Eng. 2008, 130, 041101. [Google Scholar] [CrossRef]
  5. Bernitsas, M.M.; Ben-Simon, Y.; Raghavan, K.; Garcia, E.M.H. The VIVACE Converter: Model Tests at High Damping and Reynolds Number Around 105. J. Offshore Mech. Arct. Eng. 2008, 131, 011102. [Google Scholar] [CrossRef]
  6. Wang, Y.; Liu, X.; Chen, T.; Wang, H.; Zhu, C.; Yu, H.; Song, L.; Pan, X.; Mi, J.; Lee, C.; et al. An underwater flag-like triboelectric nanogenerator for harvesting ocean current energy under extremely low velocity condition. Nano Energy 2021, 90, 106503. [Google Scholar] [CrossRef]
  7. Orrego, S.; Shoele, K.; Ruas, A.; Doran, K.; Caggiano, B.; Mittal, R.; Kang, S.H. Harvesting ambient wind energy with an inverted piezoelectric flag. Appl. Energy 2017, 194, 212–222. [Google Scholar] [CrossRef]
  8. Allen, J.J.; Smits, A.J. Energy harvesting eel. J. Fluids Struct. 2001, 15, 629–640. [Google Scholar] [CrossRef]
  9. Vatansever, D.; Hadimani, R.L.; Shah, T.; Siores, E. An investigation of energy harvesting from renewable sources with PVDF and PZT. Smart Mater. Struct. 2011, 20, 055019. [Google Scholar] [CrossRef]
  10. Safaei, M.; Sodano, H.A.; Anton, S.R. A review of energy harvesting using piezoelectric materials: State-of-the-art a decade later (2008–2018). Smart Mater. Struct. 2019, 28, 113001. [Google Scholar] [CrossRef]
  11. Xia, Y.; Michelin, S.; Doaré, O. Resonance-induced enhancement of the energy harvesting performance of piezoelectric flags. Appl. Phys. Lett. 2015, 107, 263901. [Google Scholar] [CrossRef]
  12. Michelin, S.; Doaré, O. Energy harvesting efficiency of piezoelectric flags in axial flows. J. Fluid Mech. 2013, 714, 489–504. [Google Scholar] [CrossRef]
  13. Connell, B.S.H.; Yue, D.K.P. Flapping dynamics of a flag in a uniform stream. J. Fluid Mech. 2007, 581, 33–67. [Google Scholar] [CrossRef]
  14. Cho, K.-H.; Park, H.-Y.; Heo, J.S.; Priya, S. Structure–performance relationships for cantilever-type piezoelectric energy harvesters. J. Appl. Phys. 2014, 115, 204108. [Google Scholar] [CrossRef]
  15. Khairudin, A.R.M.; Salleh, H. Multisource energy harvesting circuit for low power application. AIP Conf. Proc. 2018, 2030, 020042. [Google Scholar]
  16. Ma, X.; Zhou, S. A review of flow-induced vibration energy harvesters. Energy Convers. Manag. 2022, 254, 115223. [Google Scholar] [CrossRef]
  17. Wang, J.; Geng, L.; Ding, L.; Zhu, H.; Yurchenko, D. The state-of-the-art review on energy harvesting from flow-induced vibrations. Appl. Energy 2020, 267, 114902. [Google Scholar] [CrossRef]
  18. Nishigaki, T. Development of a piezoelectric polymer energy harvesting flag. In Active and Passive Smart Structures and Integrated Systems 2013; Sodano, H., Ed.; SPIE (International Society for Optics and Photonics): Bellingham, WA, USA, 2013; Volume 8688, p. 86881K. [Google Scholar]
  19. Lee, J.H.; Huang, W.-X.; Sung, H.J. Flapping dynamics of a flexible flag in a uniform flow. Fluid Dyn. Res. 2014, 46, 055517. [Google Scholar] [CrossRef]
  20. Tang, C.; Liu, N.-S.; Lu, X.-Y. Dynamics of an inverted flexible plate in a uniform flow. Phys. Fluids 2015, 27, 073601. [Google Scholar] [CrossRef]
  21. Ryu, J.; Park, S.G.; Kim, B.; Sung, H.J. Flapping dynamics of an inverted flag in a uniform flow. J. Fluids Struct. 2015, 57, 159–169. [Google Scholar] [CrossRef]
  22. Tavallaeinejad, M.; Gidcumb, B.C.; Luhar, M.; Porfiri, M. Flapping of heavy inverted flags: A fluid-elastic instability. J. Fluid Mech. 2020, 904, R5. [Google Scholar] [CrossRef]
  23. Williamson, C.H.K.; Govardhan, R. A brief review of recent results in vortex-induced vibrations. J. Wind Eng. Ind. Aerodyn. 2008, 96, 713–735. [Google Scholar] [CrossRef]
  24. Williamson, C.H.K.; Govardhan, R. Vortex-induced vibrations. Annu. Rev. Fluid Mech. 2004, 36, 413–455. [Google Scholar] [CrossRef]
  25. McCarthy, J.M.; Watkins, S.; Deivasigamani, A.; John, S.J. Fluttering energy harvesters in the wind: A review. J. Sound Vib. 2016, 361, 355–377. [Google Scholar] [CrossRef]
  26. Zhang, Y.; Cheng, G.; Seok, J.; Ding, J.; Sun, W. Enhancing output performance of galloping-based energy harvesting using asymmetric bluff body. Ocean Eng. 2024, 294, 116793. [Google Scholar] [CrossRef]
  27. Akaydin, H.D.; Elvin, N.; Andreopoulos, Y. Energy harvesting from highly unsteady fluid flows using piezoelectric materials. J. Intell. Mater. Syst. Struct. 2010, 21, 1263–1278. [Google Scholar] [CrossRef]
  28. Tian, F.-B.; Luo, H.; Zhu, L.; Liao, J.C.; Lu, X.-Y. An efficient immersed boundary-lattice Boltzmann method for the hydrodynamic interaction of elastic filaments. J. Comput. Phys. 2011, 230, 7266–7283. [Google Scholar] [CrossRef]
  29. Bi, X.; Wang, C.; Zhu, Q.; Tang, H. Energy harvesting using an inverted piezohydroelastic flag with resistor–inductor–capacitor circuit. J. Fluid Mech. 2023, 975, A49. [Google Scholar] [CrossRef]
  30. Wang, X.; Alben, S.; Li, C.; Young, Y.L. Stability and scalability of piezoelectric flags. Phys. Fluids 2016, 28, 023601. [Google Scholar] [CrossRef]
  31. Li, Z.; Huang, X.-R.; Fang, L. Numerical modeling of fluid–structure–piezoelectric interaction for energy harvesting. Comput. Methods Appl. Mech. Eng. 2023, 414, 116164. [Google Scholar] [CrossRef]
  32. Latif, U.; Uddin, E.; Younis, M.Y.; Aslam, J.; Ali, Z.; Sajid, M.; Abdelkefi, A. Experimental electro-hydrodynamic investigation of flag-based energy harvesting in the wake of inverted C-shape cylinder. Energy 2021, 215, 119195. [Google Scholar] [CrossRef]
  33. Umair, M.; Latif, U.; Uddin, E.; Abdelkefi, A. Experimental hydrodynamic investigations on the effectiveness of inverted flag-based piezoelectric energy harvester in the wake of bluff body. Ocean Eng. 2022, 245, 110454. [Google Scholar] [CrossRef]
  34. Cioncolini, A.; Nabawy, M.R.A.; Silva-Leon, J.; O’Connor, J.; Revell, A. An Experimental and Computational Study on Inverted Flag Dynamics for Simultaneous Wind–Solar Energy Harvesting. Fluids 2019, 4, 87. [Google Scholar] [CrossRef]
  35. Silva-Leon, J.; Cioncolini, A.; Nabawy, M.R.A.; Revell, A.; Kennaugh, A. Simultaneous wind and solar energy harvesting with inverted flags. Appl. Energy 2019, 239, 846–858. [Google Scholar] [CrossRef]
  36. Hu, Y.; Yang, B.; Chen, X.; Wang, X.; Liu, J. Modeling and experimental study of a piezoelectric energy harvester from vortex shedding-induced vibration. Energy Convers. Manag. 2018, 162, 145–158. [Google Scholar] [CrossRef]
  37. Yu, Y.; Liu, Y. Flapping dynamics of a piezoelectric membrane behind a circular cylinder. J. Fluids Struct. 2015, 55, 347–363. [Google Scholar] [CrossRef]
  38. Li, S.; Lipson, H. Vertical-Stalk Flapping-Leaf Generator for Wind Energy Harvesting. In Proceedings of the ASME 2009 Conference on Smart Materials, Adaptive Structures and Intelligent Systems, Volume 2: Multifunctional Materials; Enabling Technologies and Integrated System Design; Structural Health Monitoring/NDE; Bio-Inspired Smart Materials and Structures, Oxnard, CA, USA, 21–23 September 2009; pp. 611–619. [Google Scholar]
  39. Yu, Y.; Liu, Y. Energy harvesting with two parallel pinned piezoelectric membranes in fluid flow. J. Fluids Struct. 2016, 65, 381–397. [Google Scholar] [CrossRef]
  40. Jia, K.; Fang, L.; Huang, W.-X. Coupled states of dual side-by-side inverted flags in a uniform flow. J. Fluids Struct. 2019, 91, 102768. [Google Scholar] [CrossRef]
  41. Kim, D.; Cossé, J.; Huertas Cerdeira, C.; Gharib, M. Flapping dynamics of an inverted flag. J. Fluid Mech. 2013, 736, R1. [Google Scholar] [CrossRef]
  42. Lim, S.H.; Park, S.G. Numerical analysis of energy harvesting system including an inclined inverted flag. Phys. Fluids 2022, 34, 013601. [Google Scholar] [CrossRef]
  43. Akaydın, H.D.; Elvin, N.; Andreopoulos, Y. Wake of a cylinder: A paradigm for energy harvesting with piezoelectric materials. Exp. Fluids 2010, 49, 291–304. [Google Scholar] [CrossRef]
  44. Szarka, G.D.; Stark, B.H.; Burrow, S.G. Review of Power Conditioning for Kinetic Energy Harvesting Systems. IEEE Trans. Power Electron. 2012, 27, 803–815. [Google Scholar] [CrossRef]
  45. Dell’Anna, F.; Dong, T.; Li, P.; Wen, Y.; Yang, Z.; Casu, M.R.; Azadmehr, M.; Berg, Y. State-of-the-Art Power Management Circuits for Piezoelectric Energy Harvesters. IEEE Circ. Syst. Mag. 2018, 18, 27–48. [Google Scholar] [CrossRef]
  46. Lefeuvre, E.; Audigier, D.; Richard, C.; Guyomar, D. Buck-Boost Converter for Sensorless Power Optimization of Piezoelectric Energy Harvester. IEEE Trans. Power Electron. 2007, 22, 2018–2025. [Google Scholar] [CrossRef]
  47. Zhao, B.; Zhang, X.; Xu, T.-B. Charging process behaviors and energy transportation efficiencies from a piezoelectric energy harvester to a super-capacitor. J. Energy Storage 2025, 110, 115236. [Google Scholar] [CrossRef]
  48. Sodano, H.A.; Park, G.; Leo, D.J.; Inman, D.J. Use of piezoelectric energy harvesting devices for charging batteries. In Smart Structures and Materials 2003: Smart Sensor Technology and Measurement Systems; Inaudi, D., Udd, E., Eds.; SPIE: Bellingham, WA, USA, 2003; Volume 5050, pp. 101–108. [Google Scholar]
  49. Schlichting, H. Laminare Strahlausbreitung. ZAMM—J. Appl. Math. Mech. 1933, 13, 260–263. [Google Scholar] [CrossRef]
Figure 1. The LDT series piezoelectric sensor.
Figure 1. The LDT series piezoelectric sensor.
Fluids 10 00121 g001
Figure 2. The upstream cylindrical bluff body and the downstream support structure. (a) Schematic of the components; (b) 3D-printed prototype.
Figure 2. The upstream cylindrical bluff body and the downstream support structure. (a) Schematic of the components; (b) 3D-printed prototype.
Fluids 10 00121 g002
Figure 3. The energy-harvesting device, in which the piezoelectric flags are attached to the support rod using double-sided adhesive tape.
Figure 3. The energy-harvesting device, in which the piezoelectric flags are attached to the support rod using double-sided adhesive tape.
Fluids 10 00121 g003
Figure 4. Block diagram of the energy-harvesting IC.
Figure 4. Block diagram of the energy-harvesting IC.
Fluids 10 00121 g004
Figure 5. The experimental circuit based on the LTC3588-1 energy-harvesting IC.
Figure 5. The experimental circuit based on the LTC3588-1 energy-harvesting IC.
Fluids 10 00121 g005
Figure 6. Blue symbols: Centerline velocity profile of the hair dryer jet. Red dashed line: fit of the empirical model u ¯ ( x ) = a x / ( b + x 2 ) . The background photograph serves only to illustrate the spatial arrangement used in the flag-flapping tests; the support rod and flags were removed during the velocity survey.
Figure 6. Blue symbols: Centerline velocity profile of the hair dryer jet. Red dashed line: fit of the empirical model u ¯ ( x ) = a x / ( b + x 2 ) . The background photograph serves only to illustrate the spatial arrangement used in the flag-flapping tests; the support rod and flags were removed during the velocity survey.
Fluids 10 00121 g006
Figure 7. The flapping dynamics of the piezoelectric flag.
Figure 7. The flapping dynamics of the piezoelectric flag.
Fluids 10 00121 g007
Figure 8. Equivalent circuit used to measure the electrical output of the piezoelectric flag.
Figure 8. Equivalent circuit used to measure the electrical output of the piezoelectric flag.
Fluids 10 00121 g008
Figure 9. An oscilloscope trace of the voltage across the resistor.
Figure 9. An oscilloscope trace of the voltage across the resistor.
Fluids 10 00121 g009
Figure 10. Voltage–resistance and power density–resistance relationships for the piezoelectric flag.
Figure 10. Voltage–resistance and power density–resistance relationships for the piezoelectric flag.
Fluids 10 00121 g010
Figure 11. Schematic of the rectification stage using the LTC3588-1 energy-harvesting IC.
Figure 11. Schematic of the rectification stage using the LTC3588-1 energy-harvesting IC.
Fluids 10 00121 g011
Figure 12. Comparison of capacitor charging curves for different connection configurations. (a) Charging curves for flags in series. (b) Charging curves for flags in parallel.
Figure 12. Comparison of capacitor charging curves for different connection configurations. (a) Charging curves for flags in series. (b) Charging curves for flags in parallel.
Fluids 10 00121 g012
Figure 13. Maximum charging voltage and average charging power as functions of the number of piezoelectric flags for series and parallel configurations.
Figure 13. Maximum charging voltage and average charging power as functions of the number of piezoelectric flags for series and parallel configurations.
Fluids 10 00121 g013
Figure 14. Mechanical layouts evaluated for the five-flag, parallel-connection experiments. (Left) Five independent flags with free trailing edges. (Center) Three-row 2 + 2 + 1 configuration in which the lower two rows comprise superposed flag pairs; all tails remain free. (Right) Same 2 + 2 + 1 configuration, but the tails of each row of flags are bonded together using transparent tape to promote in-phase flapping.
Figure 14. Mechanical layouts evaluated for the five-flag, parallel-connection experiments. (Left) Five independent flags with free trailing edges. (Center) Three-row 2 + 2 + 1 configuration in which the lower two rows comprise superposed flag pairs; all tails remain free. (Right) Same 2 + 2 + 1 configuration, but the tails of each row of flags are bonded together using transparent tape to promote in-phase flapping.
Fluids 10 00121 g014
Figure 15. Measured charging curves under different mechanical arrangements of five piezoelectric flags connected in parallel.
Figure 15. Measured charging curves under different mechanical arrangements of five piezoelectric flags connected in parallel.
Fluids 10 00121 g015
Figure 16. Comparison of charging behavior for various capacitor sizes. (a) Voltage response. (b) Instantaneous charging-power response.
Figure 16. Comparison of charging behavior for various capacitor sizes. (a) Voltage response. (b) Instantaneous charging-power response.
Fluids 10 00121 g016
Figure 17. Instantaneous charging power as a function of the capacitor input voltage for various capacitor sizes, illustrating the dependence of rectification efficiency on the input voltage.
Figure 17. Instantaneous charging power as a function of the capacitor input voltage for various capacitor sizes, illustrating the dependence of rectification efficiency on the input voltage.
Fluids 10 00121 g017
Figure 18. Circuit configuration for the buck converter stage.
Figure 18. Circuit configuration for the buck converter stage.
Fluids 10 00121 g018
Figure 19. Capacitor voltage ( U in ), buck converter output ( U out ), and LED supply voltage ( U LED ) for different load resistors. (a) R = 300 Ω . (b) R = 600 Ω . (c) R = 900 Ω . (d) R = 1.6 k Ω .
Figure 19. Capacitor voltage ( U in ), buck converter output ( U out ), and LED supply voltage ( U LED ) for different load resistors. (a) R = 300 Ω . (b) R = 600 Ω . (c) R = 900 Ω . (d) R = 1.6 k Ω .
Fluids 10 00121 g019
Figure 20. Calculated buck converter efficiencies under different load resistor values.
Figure 20. Calculated buck converter efficiencies under different load resistor values.
Fluids 10 00121 g020
Table 1. Piezoelectric sensor parameters.
Table 1. Piezoelectric sensor parameters.
ParameterValueUnit
Polyester film thickness28 μ m
Overall sensor width22mm
Active region width19mm
Sensor length171mm
Active region length156mm
Total flag thickness157 μ m
Equivalent capacitance11nF
Table 2. Upstream cylindrical bluff body parameters.
Table 2. Upstream cylindrical bluff body parameters.
ParameterValueUnit
Cylindrical outer diameter20mm
Cylindrical height150mm
Rectangular base (L × W × T)40 × 24 × 5mm
Internal routing channel diameter12mm
Downstream inlet width4mm
Upstream outlet (W × H)6.4 × 20mm
Inlet height above base110mm
Table 3. Downstream support structure parameters.
Table 3. Downstream support structure parameters.
ParameterValueUnit
Support rod width2mm
Support rod length13mm
Support rod height150mm
Support base (L × W × T)40 × 80 × 5mm
Triangular stiffener (W × H)2 × 35mm
Table 4. Key pins of the LTC3588-1 energy-harvesting IC.
Table 4. Key pins of the LTC3588-1 energy-harvesting IC.
PinFunction
PZ1, PZ2AC input pins for the piezoelectric flag.
VINRectified input voltage pin.
VOUTRegulated output pin.
GNDGround reference.
Table 5. Directly measured parameters.
Table 5. Directly measured parameters.
SymbolDefinition
U in Input voltage at the LTC3588-1 VIN pin 1.
U out Output voltage at the LTC3588-1 VOUT pin.
U LED Voltage measured across the LED terminals.
U R Peak-to-peak voltage across the series resistor of the piezoelectric flag.
1 Equal to the storage capacitor voltage.
Table 6. Summary of instrumentation and electrical ranges.
Table 6. Summary of instrumentation and electrical ranges.
QuantityInstrument (Model)Range/ResolutionAccuracy
V flow DELI DL3332030–30 m s−1/0.1 m s−1 ± ( 5 % + 0.1 m s−1)
U in TOPLIA TM1030–20 V/10 mV ± ( 0.5 % + 2 dgt)
U out , U LED TOPLIA TM1030–2 V/1 mV ± ( 0.5 % + 2 dgt)
U R Tektronix TDS1002B0–400V/8 bits ± ( 3 % )
Table 7. Calculated parameters and formulas.
Table 7. Calculated parameters and formulas.
ParameterDefinitionFormula
Fluid Power aMechanical power delivered by the fluid to the flag P flow = 1 2 ρ A V flow 3
Flag Output Power bElectrical power generated by the piezoelectric flag P flag = U R 2 8 R
Capacitor Energy cEnergy stored in the capacitor during charging W capa = 1 2 C U in 2
Capacitor Power dInstantaneous rate of change of capacitor energy P capa = 1 2 C U t + Δ t 2 U t 2 Δ t
Output Current eCurrent at the output circuit during discharge I out = U out U LED R out
Output PowerPower delivered to the load during discharge P load = U out · I out
Output Energy fEnergy delivered to the load during discharge W load = P load · t discharge
Piezoelectric EfficiencyEfficiency of converting fluid energy to electrical energy of flag η piezo = P flag P fluid
Rectification EfficiencyEfficiency of converting the electrical output of flag into stored capacitor energy η recti = P capa P flag
Converter EfficiencyEfficiency of the buck converter transferring energy to the load η conv = W load W capa
Total System EfficiencyOverall efficiency from fluid input to electrical output η sys = η piezo · η recti · η conv
a ρ: fluid density (kg/m3); A: cross-sectional area (m2); Vflow: average fluid flow velocity (m/s). b UR: voltage across the series resistor (V); R: resistance of the series resistor (Ω). c  C: capacitance (F); Uin: voltage across the capacitor (V). d Δt: time interval for voltage measurement (s). e Uout: output voltage (V); ULED: voltage drop across the LED (V); Rout: load resistance (Ω). f tdischarge: discharge time (s).
Table 8. Power and efficiency at each stage of the energy-harvesting system.
Table 8. Power and efficiency at each stage of the energy-harvesting system.
StageInput PowerOutput PowerEfficiency
(i) Piezoelectric Conversion∼11.70  W 0.34 mW ∼0.003%
(ii) Rectification 0.34 mW 97.38 μ W ∼29%
(iii) Buck Conversion 13.73 mJ 9.02 mJ ∼66%
Overall System Efficiency∼0.0006%
Disclaimer/Publisher’s Note: The statements, opinions and data contained in all publications are solely those of the individual author(s) and contributor(s) and not of MDPI and/or the editor(s). MDPI and/or the editor(s) disclaim responsibility for any injury to people or property resulting from any ideas, methods, instructions or products referred to in the content.

Share and Cite

MDPI and ACS Style

Wang, H.; Huang, X.; Li, Z.; Fang, L. Design of a Portable Integrated Fluid–Structure Interaction-Based Piezoelectric Flag Energy-Harvesting System. Fluids 2025, 10, 121. https://doi.org/10.3390/fluids10050121

AMA Style

Wang H, Huang X, Li Z, Fang L. Design of a Portable Integrated Fluid–Structure Interaction-Based Piezoelectric Flag Energy-Harvesting System. Fluids. 2025; 10(5):121. https://doi.org/10.3390/fluids10050121

Chicago/Turabian Style

Wang, Haochen, Xingrong Huang, Zhe Li, and Le Fang. 2025. "Design of a Portable Integrated Fluid–Structure Interaction-Based Piezoelectric Flag Energy-Harvesting System" Fluids 10, no. 5: 121. https://doi.org/10.3390/fluids10050121

APA Style

Wang, H., Huang, X., Li, Z., & Fang, L. (2025). Design of a Portable Integrated Fluid–Structure Interaction-Based Piezoelectric Flag Energy-Harvesting System. Fluids, 10(5), 121. https://doi.org/10.3390/fluids10050121

Article Metrics

Back to TopTop