Performance of an L-Shaped Duct OWC-WEC Integrated into Vertical and Sloped Breakwaters by Using a Free-Surface RANS-Based Numerical Model
Abstract
1. Introduction
2. L-Shaped Duct OWC Integrated into Breakwaters
3. Free-Surface Flow Model
3.1. Governing Equations for the 2D Wave Flume
3.2. Numerical Model
3.3. Boundary Conditions
3.3.1. Wells Turbine Model
3.3.2. Wave Generation
3.3.3. Wave Absorption Technique
3.4. Initial Conditions
3.5. Monitoring
3.6. Wave Flume Mesh and Validation
3.6.1. Mesh Study
3.6.2. Validation of the Numerical Wave Flume and OWC Devices
3.6.3. Wave Flume Meshes for the Study of OWC Integrated into Breakwaters
4. Results and Discussion
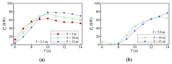
4.1. Mean Pneumatic Power Analysis
- There is a wave period, Tmax, in which PP reaches its maximum, PP,max, diminishing rapidly for wave periods below Tmax and decreasing smoothly above it, independently of the type of OWC chamber and breakwater, l and b.
- PP,max and Tmax increase as the length of the L-shaped duct OWC, b, increases. In addition, the smaller PP,max and Tmax are always obtained for the smaller b and the larger ones for the larger b independently of the value of l.
- In general, PP decreases with the increases of b for smaller wave periods. This behavior is inverted for larger wave periods. The shift in PP variation occurs in the intermediate wave period range. For this reason, none of the configurations provide the highest PP along the wave period range.
- Tmax for l = 5.0 m is higher than the one for l = 2.5 m considering the same b.
4.2. Energy Balance Analysis
- Ee and Er have inverse behaviors, i.e., when one percentage increases the other decreases. This is an expected trend since higher Cr implicates lower energy harvested by the device.
- Ee is maximum when Er is minimum.
- The increase in l, i.e., the reduction of the water entrance of the L-shaped duct OWC, leads to an increase in Er for smaller wave periods, which indicates that the frontal wall submersion blocks the water flow that passes through the OWC chamber and the energy flux that is essentially concentrated in the proximity of the free surface. At larger wave periods, Er decreases since the energy flux is distributed over the entire water column.
- The efficiency (Ee) has similar behaviors to those observed in the variations in PP with b and l.
- For the incident agitation conditions tested, there is no wave breaking, only a kind of standing wave for the vertical breakwater and a surging one for the sloped 2:3 breakwater.
5. Conclusions
Author Contributions
Funding
Data Availability Statement
Acknowledgments
Conflicts of Interest
References
- Mørk, G.; Barstow, S.; Kabuth, A.; Pontes, M.T. Assessing the Global wave energy potential. In Proceedings of the 29th International Conference on Ocean, Offshore Mechanics and Artic Engineering, OMAE (2010), Honolulu, HI, USA, 16–17 February 2010. [Google Scholar]
- Gunn, K.; Stock-Williams, C. Quantifying the Global wave power resource. Renew. Energy 2012, 44, 296–304. [Google Scholar] [CrossRef]
- Reguero, B.G.; Losada, I.J.; Méndez, F.J. A global wave power resource and its seasonal, interannual and long-term variability. Appl. Energy 2015, 148, 366–380. [Google Scholar] [CrossRef]
- Ahamed, R.; KcKee, K.; Howard, I. Advanced of wave energy converters based on power take off (PTO) systems: A review. Ocean Eng. 2020, 204, 107248. [Google Scholar] [CrossRef]
- Falcão, A.F.O. Wave energy utilization: A review of technologies. Renew. Sustain. Energy Rev. 2010, 14, 889–918. [Google Scholar] [CrossRef]
- Aderinto, T.; Li, H. Ocean wave energy converters: Status and challenges. Energies 2018, 11, 1250. [Google Scholar] [CrossRef]
- Masuda, Y.; McCormick, M.E. Experiences in Pneumatic Wave Energy Conversion in Japan. In Utilization of Ocean Waves: Wave to Energy Conversion; McCormick, M.E., Kim, Y.C., Eds.; ASCE: New York, NY, USA, 1987. [Google Scholar]
- Takahashi, S.; Nakada, H.; Ohneda, H.; Shikamori, M. Wave power conversion by a prototype wave power extracting caisson in Sakata port. In Proceedings of the 23rd International Conference on Coastal Engineering, ASCE, Reston, VA, USA, 29 January 1992. [Google Scholar]
- Raju, V.S.; Neelamani, S. Concrete caisson for a 150 KW wave energy pilot plant: Design, construction and installation aspects. In Proceedings of the 2nd International Offshore Polar Engineering Conference, San Francisco, CA, USA, 14–19 June 1992. [Google Scholar]
- Heath, T.; Whittaker, T.J.T.; Boake, C.B. The design, construction and operation of the LIMPET wave energy converter. In Proceedings of the 4th European Wave Energy Conference, Aalborg, Denmark, 4–6 December 2000. [Google Scholar]
- Falcão, A.F.O. Stochastic modelling in wave power-equipment optimization: Maximum energy production versus maximum profit. Ocean Eng. 2004, 31, 1407–1421. [Google Scholar] [CrossRef]
- Josset, C.; Clément, A.H. A time-domain numerical simulator for oscillating water column wave power plants. Renew. Energy 2007, 32, 1379–1402. [Google Scholar] [CrossRef]
- Brito-Melo, A.; Neuman, F.; Sarmento, A.J.N.A. Full-scale data assessment in OWC Pico plant. Int. J. Offshore Polar Eng. 2008, 18, 27–34. [Google Scholar]
- Torre-Enciso, Y.; Ortubia, I.; Lopez de Aguileta, L.I.; Marques, J. Mutriku wave power plant: From the thinking out to the reality. In Proceedings of the 8th European Wave Tidal Energy Conference, Uppsala, Sweden, 7–10 September 2009. [Google Scholar]
- Boccotti, P. Comparison between a U-OWC and a conventional OWC. Ocean Eng. 2007, 34, 799–805. [Google Scholar] [CrossRef]
- Sentürk, U.; Özdamar, A. Wave energy extraction by an oscillating water column with a gap on the fully submerged front wall. Appl. Ocean Res. 2012, 37, 174–182. [Google Scholar] [CrossRef]
- Ashlin, S.J.; Sundar, S.; Sannasiraj, S.A. Effects of bottom profile of an oscillating water column device on its hydrodynamic characteristics. Renew. Energy 2016, 96, 341–353. [Google Scholar] [CrossRef]
- Rezanejad, K.; Bhattacharjee, J.; Soares, G.C. Analytical and numerical study of dual-chamber oscillating water columns on stepped bottom. Renew. Energy 2015, 75, 272–282. [Google Scholar] [CrossRef]
- Ning, D.; Wang, R.; Chen, L.; Sun, K. Experimental investigation of a land-based dual-chamber OWC wave energy converter. Renew. Sustain. Energy Rev. 2019, 105, 48–60. [Google Scholar] [CrossRef]
- Haghighi, A.T.; Nikseresht, A.H.; Hayati, M. Numerical analysis of hydrodynamic performance of a dual-chamber Oscillating Water Column. Energy 2021, 221, 119892. [Google Scholar] [CrossRef]
- Dizadji, N.; Sajadian, S.E. Modeling and optimization of the chamber of OWC system. Energy 2011, 36, 2360–2366. [Google Scholar] [CrossRef]
- Ram, K.R.; Ahmed, M.R.; Zullah, M.A.; Lee, Y.-H. Experimental studies of the flow characteristics in an inclined bend-free OWC device. J. Ocean Eng. Sci. 2016, 1, 77–83. [Google Scholar] [CrossRef]
- Gaspar, A.L.; Teixeira, P.R.F.; Didier, E. Numerical analysis of the performance of two onshore oscillating water column wave energy converters at different chamber wall slopes. Ocean Eng. 2020, 201, 107119. [Google Scholar] [CrossRef]
- Güths, A.K.; Teixeira, P.R.F.; Didier, E. A Novel Geometry of an Onshore Oscillating Water Column Wave Energy Converter. Renew. Energy 2022, 201, 938–949. [Google Scholar] [CrossRef]
- Rosa-Santos, P.; Taveira-Pinto, F.; Clemente, D.; Cabral, T.; Fiorentin, F.; Belga, F.; Morais, T. Experimental study of a hybrid wave energy converter integrated in a harbor breakwater. J. Mar. Sci. Eng. 2019, 7, 33. [Google Scholar] [CrossRef]
- Koutrouveli, T.I.; Di Lauro, E.; das Neves, L.; Calheiros-Cabral, T.; Rosa-Santos, P.; Taveira-Pinto, F. Proof of concept of a breakwater-integrated hybrid wave energy converter using a composite modelling approach. J. Mar. Sci. Eng. 2021, 9, 226. [Google Scholar] [CrossRef]
- Cabral, T.; Clemente, D.; Rosa-Santos, P.; Taveira-Pinto, F.; Morais, T.; Belga, F.; Cestaro, H. Performance assessment of a hybrid wave energy converter integrated into a harbor breakwater. Energies 2020, 13, 236. [Google Scholar] [CrossRef]
- Howe, D.; Nader, J.R. OWC WEC integrated within a breakwater versus isolated: Experimental and numerical theoretical study. Int. J. Mar. Energy 2017, 20, 165–182. [Google Scholar] [CrossRef]
- Rezanejad, K.; Souto-Iglesias, A.; Guedes Soares, C. Experimental investigation on the hydrodynamic performance of an L-shaped duct oscillating water column wave energy converter. Ocean Eng. 2019, 173, 388–398. [Google Scholar] [CrossRef]
- López, I.; Carballo, R.; Fouz, D.M.; Iglesias, G. Design selection and geometry in OWC wave energy converters for performance. Energies 2021, 14, 1707. [Google Scholar] [CrossRef]
- Ma, Q.W. Nonlinear analysis of hydrodynamic performance of oscillating water column wave energy device with a lateral opening. In Proceedings of the 14th Offshore Mechanics and Artic Engineering Conference, Copenhagen, Denmark, 18–22 June 1995. [Google Scholar]
- Horko, M. CFD Optimisation of an Oscillating Water Column Wave Energy Converter. Master’s Thesis, University of Western Australia, Perth, Australia, 2007. [Google Scholar]
- Ansys. FLUENT—User’s Guide; ANSYS Inc.: Canonsburg, PA, USA, 2016. [Google Scholar]
- Conde, J.M.P.; Teixeira, P.R.F.; Didier, E. Numerical Simulation of an Oscillating Water Column Wave Energy Converter: Comparison of Two Numerical Codes. In Proceedings of the 21st International Offshore Polar Engineering Conference, Maui, HI, USA, 19–24 June 2011. [Google Scholar]
- Didier, E.; Conde, J.M.P.; Teixeira, P.R.F. Numerical simulation of an oscillation water column wave energy converter with and without damping. In Proceedings of the Fourth International Conference on Computational Methods in Marine Engineering, Lisbon, Portugal, 28–30 September 2011. [Google Scholar]
- Dias, J.; Mendonça, A.; Didier, E.; Neves, M.G.; Conde, J.M.P.; Teixeira, P.R.F. Application of URANS-VOF models in hydrodynamics study of oscillating water column. In Proceedings of the SCACR2015—International Short Course/Conference on Applied Coastal Research, Florence, Italy, 28 September–1 October 2015. [Google Scholar]
- Mendonça, A.; Dias, J.; Didier, E.; Fortes, C.J.E.M.; Neves, M.G.; Reis, M.T.; Paixão Conde, J.M.; Poseiro, P.; Teixeira, P.R.F. An Integrated Tool for Modelling OWC-WECs in Vertical Breakwaters: Preliminary Developments. J. Hydro-Environ. Res. 2018, 19, 198–213. [Google Scholar] [CrossRef]
- Elhanafi, A.; Fleming, A.; Leong, Z.; Macfarlane, G. Effect of RANS-based turbulence models on nonlinear wave generation in a two-phase numerical wave tank. Prog. Comput. Fluid Dyn. 2016, 17, 141–158. [Google Scholar] [CrossRef]
- Tseng, R.S.; Wu, R.H.; Huang, C.C. Model study of a shoreline wave-power system. Ocean Eng. 2000, 27, 801–821. [Google Scholar] [CrossRef]
- Teixeira, P.R.F.; Didier, E. Numerical analysis of performance of an oscillating water column wave energy converter inserted into a composite breakwater with rubble mound foundation. Ocean Eng. 2023, 278, 114421. [Google Scholar] [CrossRef]
- Wiener, G.F.; Teixeira, P.R.F.; Didier, E. Numerical evaluation of optimal sizes of Wells turbine and chamber of a cluster of Oscillating Water Columns integrated into a breakwater on the Southern Brazilian Coast. J. Waterw. Port Coast. Ocean Eng. 2022, 148, 04022009. [Google Scholar] [CrossRef]
- Didier, E.; Teixeira, P.R.F. Numerical analysis of 3D hydrodynamics and performance of an array of oscillating water column wave energy converters integrated into a vertical breakwater. Renew. Energy 2024, 225, 120297. [Google Scholar] [CrossRef]
- Teixeira, P.R.F.; Didier, E. Numerical analysis of the response of an onshore oscillating water column wave energy converter to random waves. Energy 2021, 220, 119719. [Google Scholar] [CrossRef]
- Didier, E.; Teixeira, P.R.F. Performance of an oscillating water column wave energy converter integrated with three type of harbor protection structures. Defect Diffus. Forum 2023, 427, 63–73. [Google Scholar] [CrossRef]
- Wilcox, D.C. Turbulence Modeling for CFD; DCW Industries, Inc.: La Canada, CA, USA, 1993. [Google Scholar]
- Versteeg, H.K.; Malalasekera, W. An Introduction to Computational Fluid Dynamics; Longman: Petaling Jaya, Malasia, 2007. [Google Scholar]
- Menter, F.R. Two-equation Eddy-viscosity Turbulence Models for Engineering Applications. AIAA J. 1994, 32, 1598–1605. [Google Scholar] [CrossRef]
- Zhan, J.-M.; Fan, Q.; Hu, W.-Q.; Gong, Y.-J. Hybrid realizable κ-ε/laminar method in the application of 3D heaving OWCs. Renew. Energy 2020, 155, 691–702. [Google Scholar] [CrossRef]
- Didier, E.; Teixeira, P.R.F. A RANS-based numerical model to simulate overtopping-type wave energy converters integrated into breakwaters. Int. J. Offshore Polar Eng. 2023, 33, 420–427. [Google Scholar] [CrossRef]
- Hirt, C.W.; Nichols, B.D. Volume of fluid (VoF) method for the dynamics of free boundaries. J. Comput. Phys. 1981, 39, 201–225. [Google Scholar] [CrossRef]
- van Doormall, J.P.; Raithby, G.D. Enhancements of the Simple Method for Predicting Incompressible Fluid Flows. Numer. Heat Transf. 1984, 7, 147–163. [Google Scholar]
- van Leer, B. Towards the ultimate conservative difference scheme. V. A second-order sequel to Godunov’s method. J. Comput. Phys. 1979, 32, 101–136. [Google Scholar] [CrossRef]
- Youngs, D.L. Time-dependent multi-material flow with large fluid distortion. Numer. Methods Fluid Dyn. 1982, 24, 273–285. [Google Scholar]
- Didier, E.; Teixeira, P.R.F.; Neves, M.G. A 3D Numerical Wave Tank for Coastal Engineering Studies. Defect Diffus. Forum 2017, 372, 1–10. [Google Scholar] [CrossRef]
- Teixeira, P.R.F.; Didier, E.; Neves, M.G. A 3D RANS-VOF wave tank for oscillating water column device studies. In Proceedings of the VII International Conference Computational Methods Marine Engineering, Nantes, France, 15–17 May 2017. [Google Scholar]
- Lisboa, R.C.; Teixeira, P.R.F.; Torres, F.R.; Didier, E. Numerical evaluation of the power output of an oscillating water column wave energy converter installed in the Southern Brazilian coast. Energy 2018, 162, 1115–1124. [Google Scholar] [CrossRef]
- Neves, M.G.; Didier, E.; Brito, M.; Clavero, M. Numerical and physical modelling of wave overtopping on a smooth impermeable dike with promenade under strong incident waves. J. Mar. Sci. Eng. 2021, 9, 865. [Google Scholar] [CrossRef]
- Didier, E.; Teixeira, P.R.F. Validation and comparisons of methodologies implemented in a RANS-VoF numerical model for applications to coastal structures. J. Mar. Sci. Eng. 2022, 10, 1298. [Google Scholar] [CrossRef]
- Lin, P.; Liu, P.L.-F. A numerical study of breaking waves in the surf zone. J. Fluid Mech. 1998, 359, 239–264. [Google Scholar] [CrossRef]
- Dean, R.G.; Dalrymple, R.A. Water Wave Mechanics for Engineers and Scientists, Advanced Series on Ocean Engineering; World Scientific: Singapore, 2000. [Google Scholar]
- Chakrabarti, S.K. Hydrodynamics of Offshore Structures: Mathematical Theory and Its Applications in Structures; WIT Press: Billerica, MA, USA, 1987. [Google Scholar]
- Schäffer, H.; Klopman, G. Review of multidirectional active wave absorption methods. J. Waterw. Port Coast. Ocean Eng. 2000, 126, 88–97. [Google Scholar] [CrossRef]
- Lara, J.L.; Ruju, A.; Losada, I.J. Reynolds averaged Navier-Stokes modelling of long waves induced by transient wave group on a beach. Proc. R. Soc. A 2011, 467, 1215–1242. [Google Scholar] [CrossRef]
- Higuera, P.; Lara, J.L.; Losada, I.J. Realistic wave generation and active wave absorption for Navier-Stokes models applications to OpenFoam®. Coast. Eng. 2013, 71, 102–118. [Google Scholar] [CrossRef]
- Didier, E.; Neves, M.G. A Semi-Infinite Numerical Wave Flume using Smoothed Particle Hydrodynamics. Int. J. Offshore Polar Eng. 2012, 22, 193–199. [Google Scholar]
- Didier, E.; Neves, M.G.; Teixeira, P.R.F. Analysis of Forces on a submarine outfall by RANS-VoF numerical wave tank. Defect Diffus. Forum 2019, 396, 50–59. [Google Scholar] [CrossRef]
- Mansard, E.P.D.; Funke, E.R. The Measurement of incident and reflected spectra using a least squares method. Coast. Eng. 1980, 4, 154–174. [Google Scholar] [CrossRef]
- Teixeira, P.R.F.; Davyt, D.P.; Didier, E.; Ramalhais, R. Numerical Simulation of an Oscillating Water Column Device Using a Code Based on Navier-Stokes Equations. Energy 2013, 61, 513–530. [Google Scholar] [CrossRef]
- Cisco, L.A.; Maciel, R.P.; Oleinik, P.H.; dos Santos, E.D.; Gomes, M.N.; Rocha, L.A.O.; Isoldi, L.A.; Machado, B.N. Numerical Analysis of the Available Power in an Overtopping Wave Energy Converter Subjected to a Sea State of the Coastal Region of Tramandaí, Brazil. Fluids 2022, 7, 359. [Google Scholar] [CrossRef]
- Lopes, M.F.P.; Ricci, P.; Gato, L.M.C.; Falcão, A.F.O. Experimental and numerical analysis of the oscillating water column inside a surface-piercing vertical cylinder in regular waves. In Proceedings of the 7th European Wave and Tidal Energy Conference, Porto, Portugal, 11–14 September 2007. [Google Scholar]
- Jacobsen, N.G.; Fuhrman, D.R.; Fredsoe, J. A Wave Generation Toolbox for the Open-source CFD Library: OpenFOAM(R). Int. J. Numer. Methods Fluids 2012, 70, 1073–1088. [Google Scholar] [CrossRef]
- Brown, S.A.; Greaves, D.M.; Magar, V.; Conley, D.C. Evaluation of Turbulence Closure Models under Spilling and Plunging Breakers in the Surf Zone. Coast. Eng. 2016, 114, 177–193. [Google Scholar] [CrossRef]
- Devolver, B.; Trouch, P.; Rauwoens, P. Performance of a Buoyancy-modified k-ω and k-ω SST Turbulence Model for Simulating Wave Breaking under Regular Waves Using OpenFOAM®. Coast. Eng. 2018, 138, 49–65. [Google Scholar] [CrossRef]












| Mesh | Cells Number | Wave Propagation Zone | OWC Chamber | ||||
|---|---|---|---|---|---|---|---|
| NH | NV | Domain | dx1 (m) | dx2 (m) | dx1 (m) | dx2 (m) | |
| M1 | 25 | 5 | 4950 | 4.50 | 0.220 | 0.600 | 0.280 |
| M2 | 37 | 9 | 11,585 | 3.10 | 0.110 | 0.340 | 0.140 |
| M3 | 70 | 20 | 34,985 | 1.60 | 0.050 | 0.192 | 0.070 |
| M4 | 151 | 40 | 121,388 | 0.75 | 0.025 | 0.096 | 0.035 |
| Mesh | Pneum. Power (kW) | pac (kPa) | η OWC (m) | η Front Wall (m) | ||||
|---|---|---|---|---|---|---|---|---|
| Pp | Pmax | pac− | pac+ | η− | η+ | η− | η+ | |
| M1 | 59.91 | 166.96 | 3.265 | 4.062 | 0.575 | 0.748 | 0.574 | 0.733 |
| M2 | 59.88 | 175.94 | 3.149 | 4.165 | 0.580 | 0.744 | 0.599 | 0.745 |
| M3 | 59.26 | 177.18 | 3.119 | 4.176 | 0.583 | 0.738 | 0.584 | 0.708 |
| M4 | 59.22 | 176.96 | 3.120 | 4.175 | 0.582 | 0.737 | 0.582 | 0.711 |
| Mesh | Pneum. Power (%) | pac (%) | η OWC (%) | η Front Wall (%) | ||||
|---|---|---|---|---|---|---|---|---|
| Pp | Pmax | pac− | pac+ | η− | η+ | η− | η+ | |
| M1 | 1.17 | 5.65 | 4.65 | 2.71 | 1.20 | 1.49 | 1.37 | 3.09 |
| M2 | 1.11 | 0.57 | 0.93 | 0.24 | 0.34 | 0.95 | 2.92 | 4.78 |
| M3 | 0.07 | 0.13 | 0.03 | 0.02 | 0.17 | 0.14 | 0.34 | 0.42 |
| M4 | - | - | - | - | - | - | - | - |
Disclaimer/Publisher’s Note: The statements, opinions and data contained in all publications are solely those of the individual author(s) and contributor(s) and not of MDPI and/or the editor(s). MDPI and/or the editor(s) disclaim responsibility for any injury to people or property resulting from any ideas, methods, instructions or products referred to in the content. |
© 2025 by the authors. Licensee MDPI, Basel, Switzerland. This article is an open access article distributed under the terms and conditions of the Creative Commons Attribution (CC BY) license (https://creativecommons.org/licenses/by/4.0/).
Share and Cite
Didier, E.; Teixeira, P.R.F. Performance of an L-Shaped Duct OWC-WEC Integrated into Vertical and Sloped Breakwaters by Using a Free-Surface RANS-Based Numerical Model. Fluids 2025, 10, 114. https://doi.org/10.3390/fluids10050114
Didier E, Teixeira PRF. Performance of an L-Shaped Duct OWC-WEC Integrated into Vertical and Sloped Breakwaters by Using a Free-Surface RANS-Based Numerical Model. Fluids. 2025; 10(5):114. https://doi.org/10.3390/fluids10050114
Chicago/Turabian StyleDidier, Eric, and Paulo R. F. Teixeira. 2025. "Performance of an L-Shaped Duct OWC-WEC Integrated into Vertical and Sloped Breakwaters by Using a Free-Surface RANS-Based Numerical Model" Fluids 10, no. 5: 114. https://doi.org/10.3390/fluids10050114
APA StyleDidier, E., & Teixeira, P. R. F. (2025). Performance of an L-Shaped Duct OWC-WEC Integrated into Vertical and Sloped Breakwaters by Using a Free-Surface RANS-Based Numerical Model. Fluids, 10(5), 114. https://doi.org/10.3390/fluids10050114

