Hairy Gels: A Computational Study
Abstract
1. Introduction
2. Results and Discussion
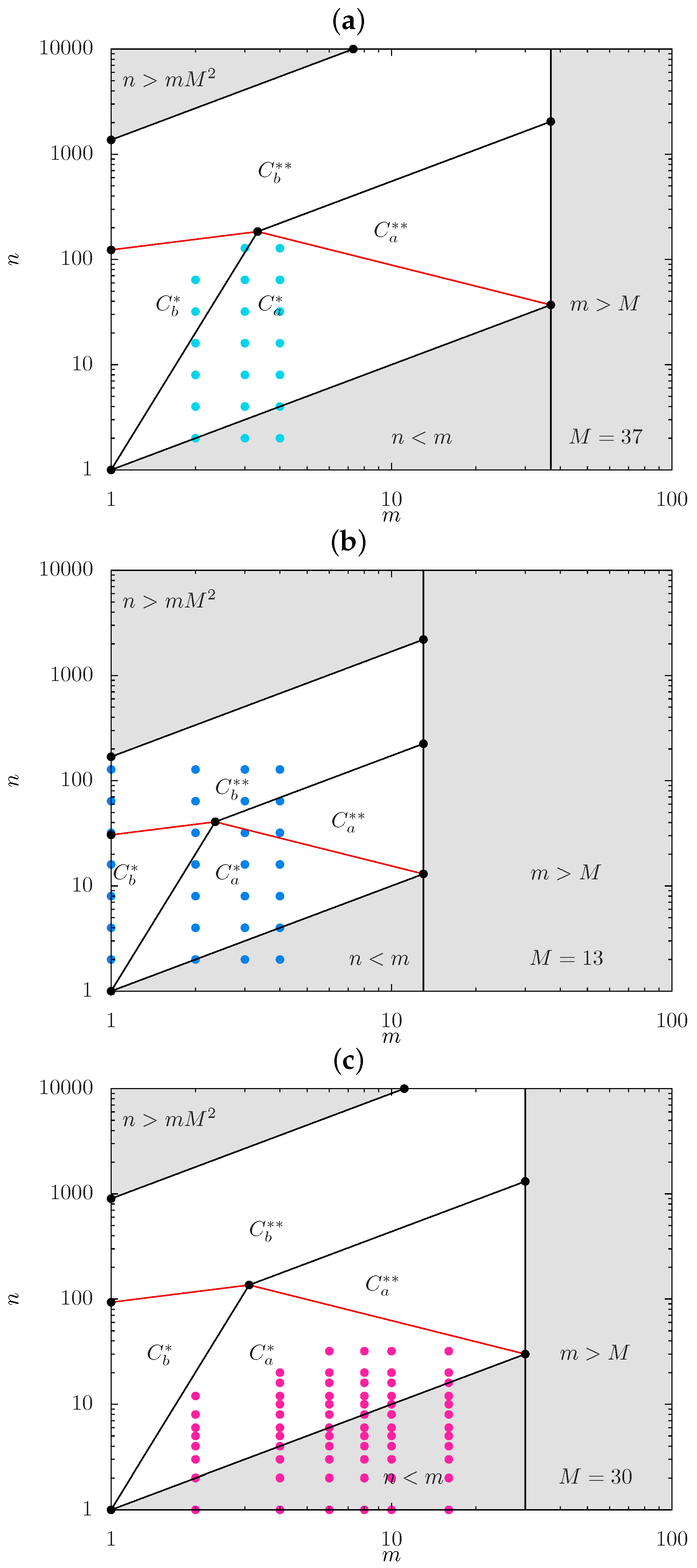
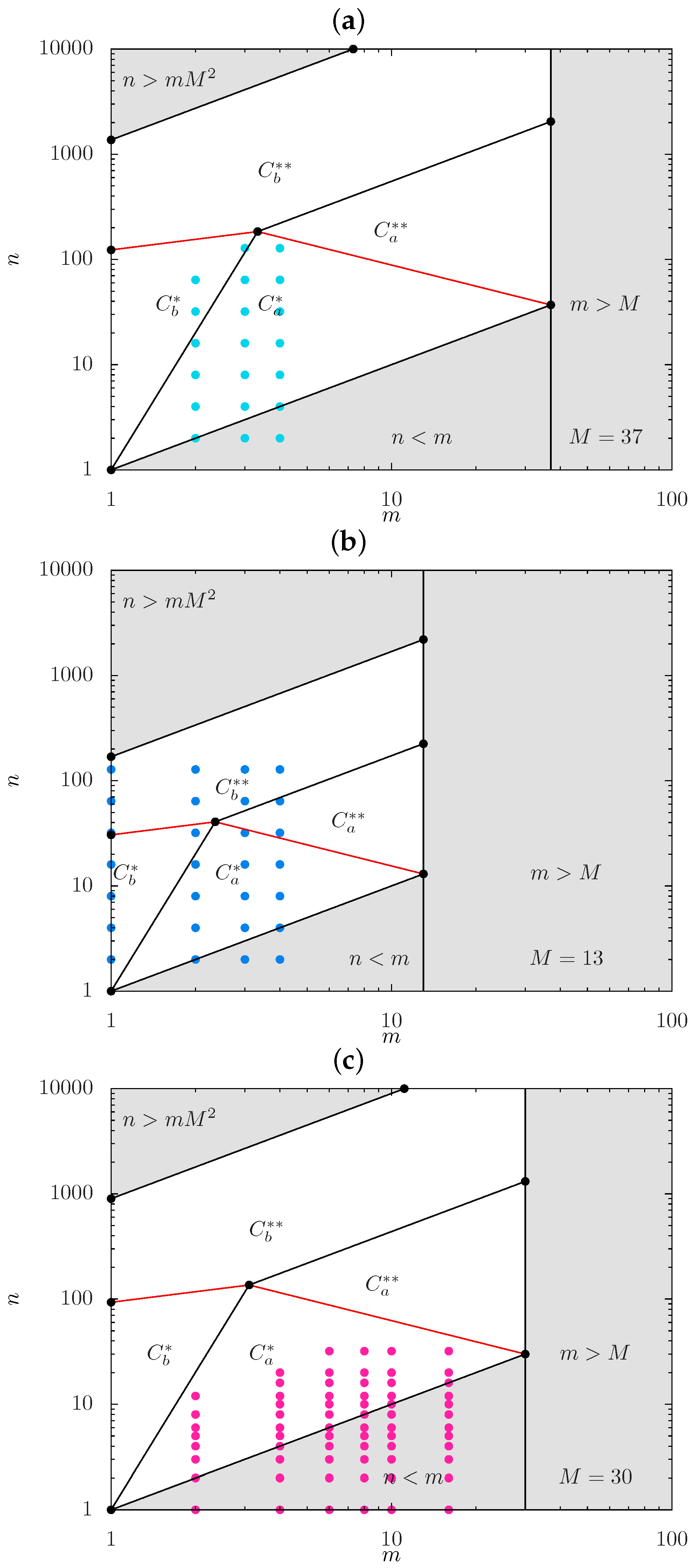
2.1. “Hairy” Polymer Gel: Scaling Model
2.2. Computer Simulations of Hairy Gel
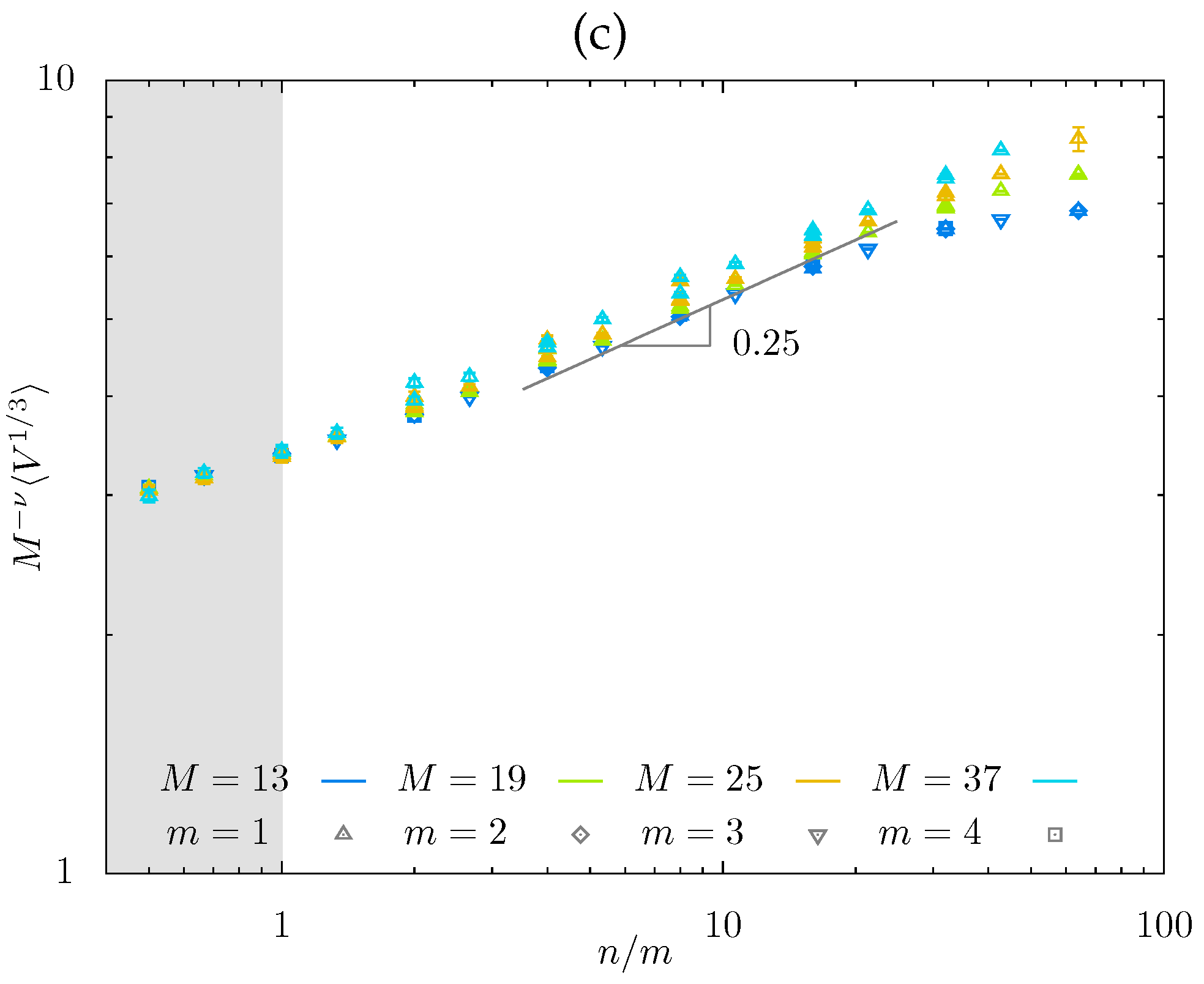
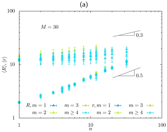
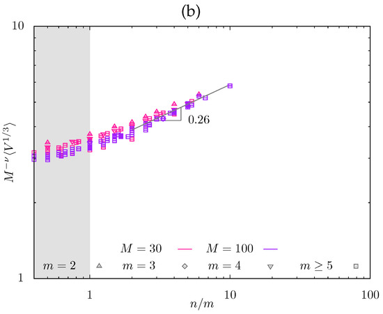
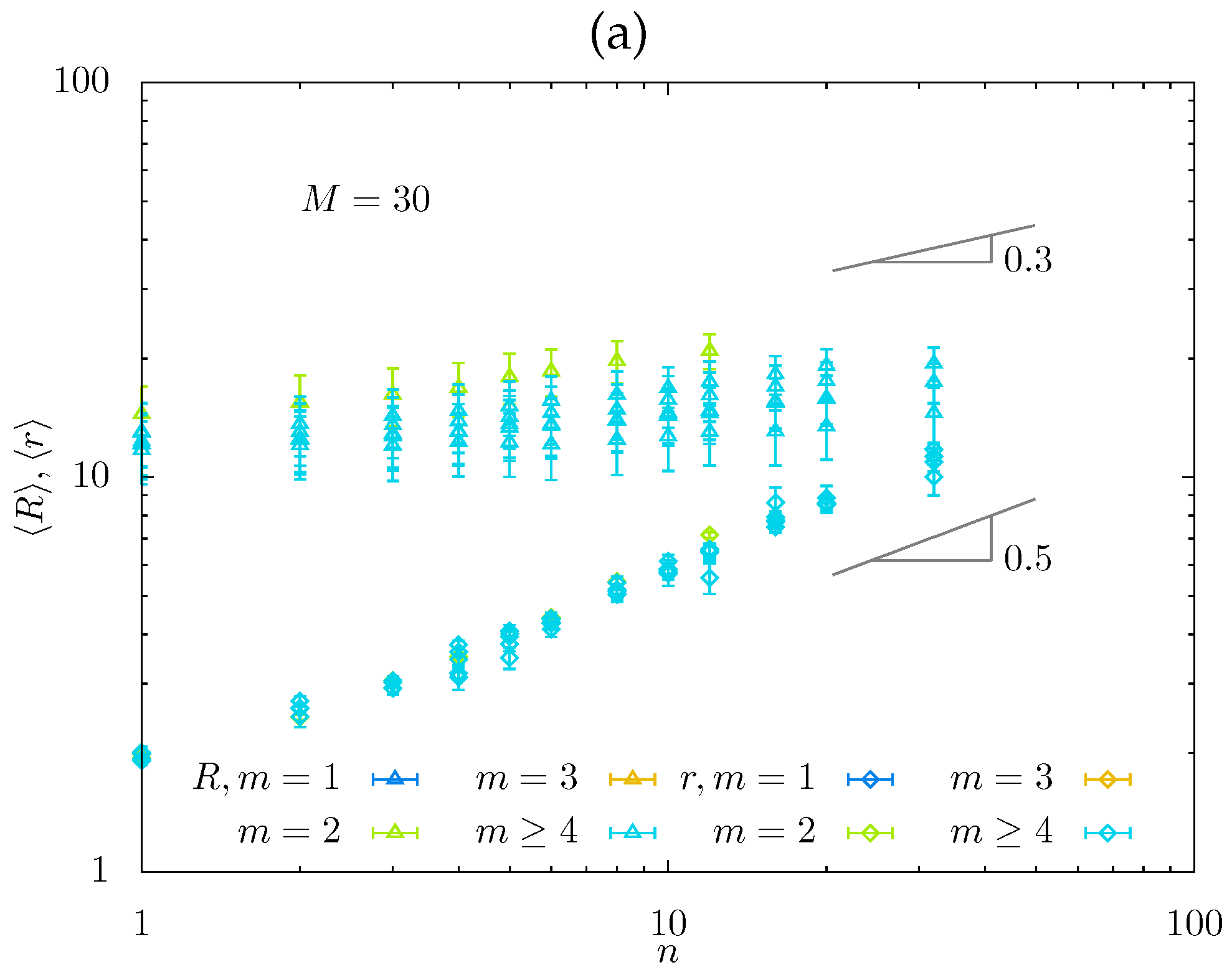
2.2.1. Average End-to-End Distances of Strands and Side Chains
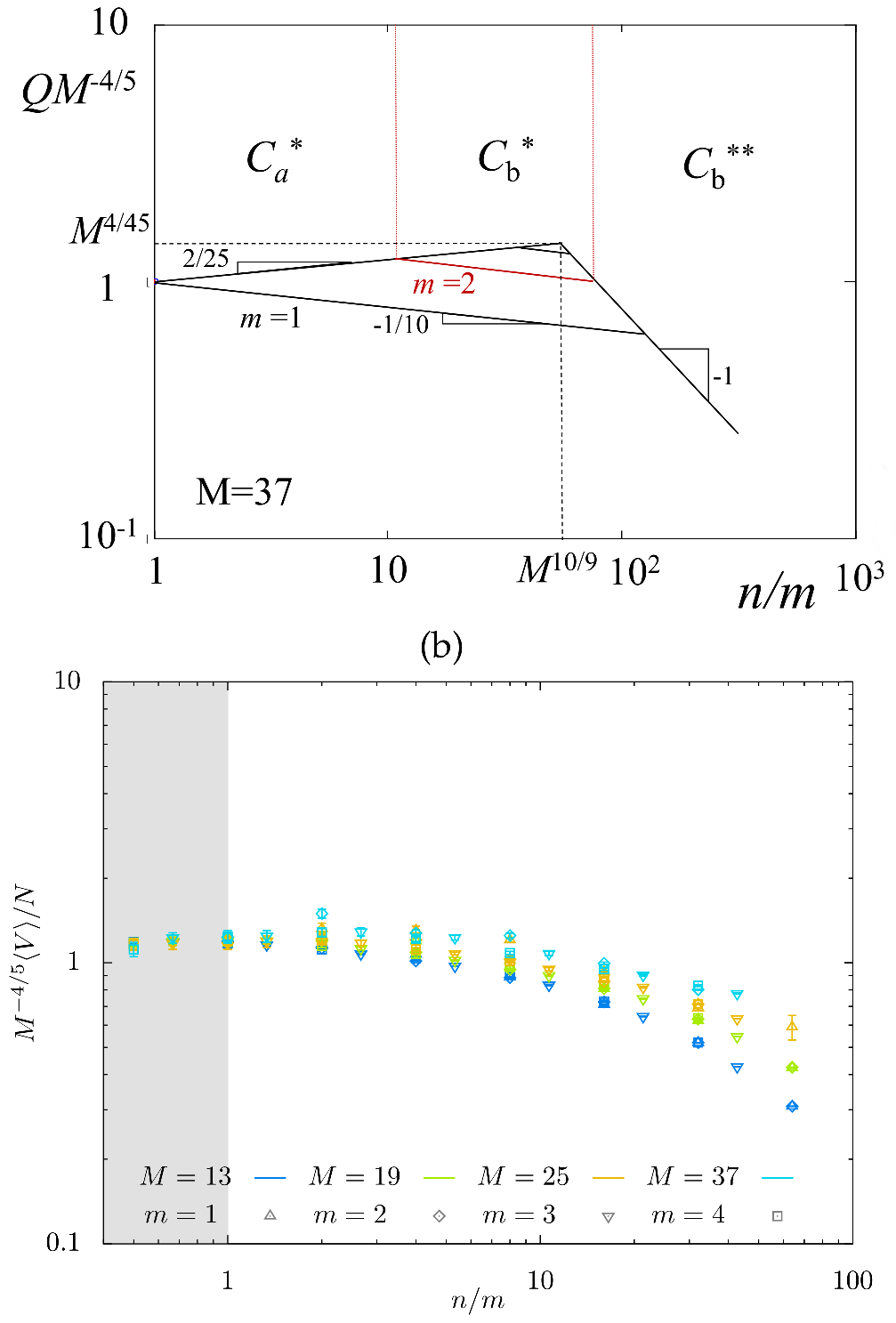
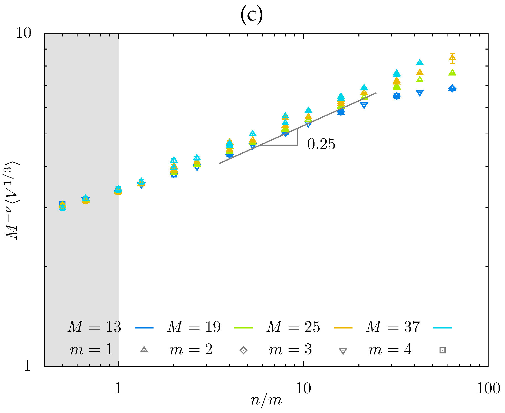
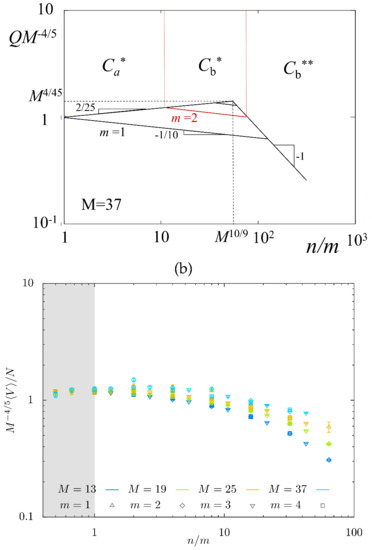
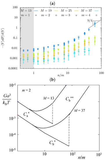
2.2.2. Gel Swelling Coefficient
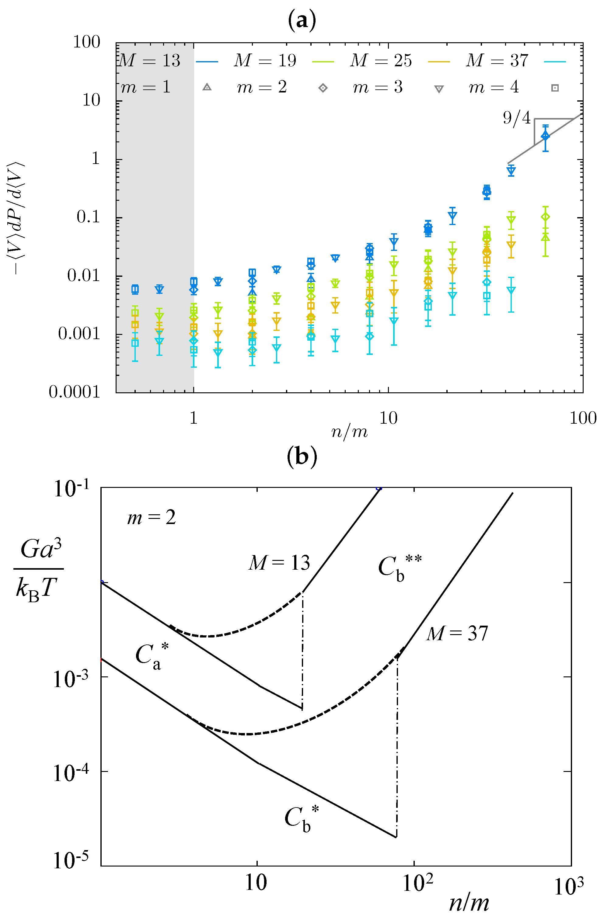
2.2.3. Osmotic Bulk Modulus
3. Conclusions
4. Materials and Methods
4.1. Monte Carlo Simulations
4.2. Molecular Dynamics Simulations
Author Contributions
Funding
Institutional Review Board Statement
Conflicts of Interest
References
- Sheiko, S.S.; Sumerlin, B.S.; Matyjaszewski, K. Cylindrical molecular brushes: Synthesis, characterization and properties. Prog. Polym. Sci. 2008, 33, 759–785. [Google Scholar] [CrossRef]
- Verduzco, R.; Li, X.; Pesek, S.L.; Stein, G.E. Structure, function, self-assembly of bottlebrush copolymers. Chem. Soc. Rev. 2015, 44, 2405–2420. [Google Scholar] [CrossRef] [PubMed]
- Müllner, M.; Müller, A.H.E. Cylindrical polymer brushes—Anisotropic building blocks, unimolecular templates and particulate nanocarriers. Polymer 2016, 98, 389–401. [Google Scholar] [CrossRef]
- Rzayev, J. Molecular Bottlebrushes: New Opportunities in Nanomaterials Fabrication. ACS Macro Lett. 2012, 1, 1146–1149. [Google Scholar] [CrossRef] [PubMed]
- Li, X.; Prukop, S.L.; Biswal, S.L.; Verduzco, R. Surface Properties of Bottlebrush Polymer Thin Films. Macromolecules 2012, 45, 7118–7127. [Google Scholar] [CrossRef]
- Liang, H.; Sheiko, S.S.; Dobrynin, A.V. Supersoft Polymer Networks with Brushlike Strands. Macromolecules 2018, 51, 638–645. [Google Scholar] [CrossRef]
- Yuan, J.; Müller, A.H.E.; Matyjaszewski, K.; Sheiko, S. Polymer Science: A Comprehensive Reference; Matyjaszewski, K., Möller, M., Eds.; Elsevier: Amsterdam, The Netherlands, 2012. [Google Scholar]
- Clair, C.; Lallam, A.; Rosenthal, M.; Sztucki, M.; Vatankhah-Varnosfaderani, M.; Keith, A.N.; Cong, Y.; Liang, H.; Dobrynin, A.V.; Sheiko, S.S.; et al. Strained Bottlebrushes in Super-Soft Physical Networks. ACS Macro Lett. 2019, 8, 530–534. [Google Scholar] [CrossRef]
- Xie, G.; Martinez, M.R.; Olszewski, M.; Sheiko, S.S.; Matyjaszewski, K. Molecular Bottlebrushes as Novel Materials. Biomacromolecules 2019, 20, 27–54. [Google Scholar] [CrossRef]
- Rathgeber, S.; Pakula, T.; Wilk, A.; Matyjaszewski, K.; Beers, K.L. On the shape of bottle-brush macromolecules: Systematic variation of architectural parameters. J. Chem. Phys. 2005, 122, 124904. [Google Scholar] [CrossRef]
- Li, Z.; Tang, M.; Liang, S.; Zhang, M.; Biesold, G.M.; He, Y.; Hao, S.-M.; Choi, W.; Liu, Y.; Peng, J.; et al. Bottlebrush polymers: From controlled synthesis, self-assembly, properies to applications. Prog. Polym. Sci. 2021, 116, 101397. [Google Scholar] [CrossRef]
- Li, T.; Huang, F.; Diaz-Dussan, D.; Zhao, J.; Srinivas, S.; Narain, R.; Tian, W.; Hao, X. Preparation and Characterization of Thermoresponsive PEG-Based Injectable Hydrogels and Their Application for 3D Cell Culture. Biomacromolecules 2020, 21, 1254–1263. [Google Scholar] [CrossRef] [PubMed]
- Sarapas, J.M.; Chan, E.P.; Rettner, E.M.; Beers, K.L. Compressing and Swelling To Study the Structure of Extremely Soft Bottlebrush Networks Prepared by ROMP. Macromolecules 2018, 51, 2359–2366. [Google Scholar] [CrossRef]
- Sheiko, S.S.; Vashahi, F.; Morgan, Ḃ.J.; Maw, M.; Dashtimoghadam, E.; Fahimipour, F.; Jacobs, M.; Keith, Ȧ.N.; Vatankhah-Varnosfaderani, M.; Dobrynin, A.V. Mechanically Diverse Gels with Equal Solvent Content. ACS Cent. Sci. 2022, 8, 845–852. [Google Scholar] [CrossRef]
- Zhulina, E.B.; Sheiko, S.S.; Borisov, O.V. Polymer Networks Formed by Molecular Brushes: Scaling Theory. Polym. Sci. Ser. A 2019, 61, 799–804. [Google Scholar] [CrossRef]
- Zhulina, E.B.; Borisov, O.V. Bottlebrush polymer gels: Architectural control over swelling and elastic moduli. Soft Matter 2022, 18, 1239–1246. [Google Scholar] [CrossRef]
- Jacobs, M.; Liang, H.; Dashtimoghadam, E.; Morgan, B.J.; Sheiko, S.S.; Dobrynin, A.V. Nonlinear Elasticity and Swelling of Comb and Bottlebrush Networks. Macromolecules 2019, 52, 5095–5101. [Google Scholar] [CrossRef]
- Kerr, A.; Hartlieb, M.; Sanchis, J.; Smith, T.; Perrier, S. Complex multiblock bottle-brush architectures by RAFT polymerization. Chem.Commun. 2017, 53, 11901–11904. [Google Scholar] [CrossRef]
- Börner, H.G.; Duran, D.; Matyjaszewski, K.; Da Silva, M.; Sheiko, S.S. Synthesis of molecular brushes with gradient in grafting density by atom transfer polymerization. Macromolecules 2002, 35, 3387–3394. [Google Scholar] [CrossRef]
- Liang, X.; Liu, Y.; Huang, J.; Wei, L.; Wang, G. Synthesis and characterization of novel barbwire-like graft polymers poly(ethylene oxide)-g-poly(-caprolactone)4 by the ‘grafting from’ strategy. Polym. Chem. 2015, 6, 466–475. [Google Scholar] [CrossRef]
- Uhrig, D.; Mays, J.W. Synthesis of Combs, Centipedes, and Barbwires: Thinspace Poly(isoprene-graft-styrene) Regular Multigraft Copolymers with Trifunctional, Tetrafunctional, and Hexafunctional Branch Points. Macromolecules 2002, 35, 7182–7190. [Google Scholar] [CrossRef]
- Pelras, T.; Mahon, C.S.; Nonappa; Ikkala, O.; Gröschel, A.H.; Müllner, M. Polymer Nanowires with Highly Precise Internal Morphology and Topography. J. Am. Chem. Soc. 2018, 140, 12736–12740. [Google Scholar] [CrossRef] [PubMed]
- Rosen, B.M.; Wilson, C.J.; Wilson, D.A.; Peterca, M.; Imam, M.R.; Perec, V. Dendron-mediated self-assembly, disassembly, and self-organization of complex systems. Chem. Rev. 2009, 109, 6275–6540. [Google Scholar] [CrossRef] [PubMed]
- Evans, C.W.; Ho, D.; Marlow, J.B.; King, J.J.; Hee, C.; Wong, L.N.; Atkin, R.; Smith, N.M.; Warr, G.G.; Norret, M.; et al. Intracellular Communication between Synthetic Macromolecules. JACS 2022, 144, 14112–14120. [Google Scholar] [CrossRef]
- Kröger, M.; Peleg, O.; Halperin, A. From Dendrimers to Dendronized Polymers and Forests: Scaling Theory and its Limitations. Macromolecules 2010, 43, 6213–6224. [Google Scholar] [CrossRef]
- Borisov, O.V.; Polotsky, A.A.; Rud, O.V.; Zhulina, E.B.; Leermakers, F.A.M.; Birshtein, T.M. Dendron Brushes and Dendronized Polymers: A Theoretical Outlook. Soft Matter 2014, 10, 2093–2101. [Google Scholar] [CrossRef]
- Mikhailov, I.V.; Darinskii, A.A.; Zhulina, E.B.; Borisov, O.V.; Leermakers, F.A.M. Persistence length of dendronized polymers: The self-consistent field theory. Soft Matter 2015, 11, 9367–9378. [Google Scholar] [CrossRef]
- Konak, C.; Reschel, T.; Oupicky, D.; Ulbrich, K. Thermally controlled association in aqueous solutions of poly(l-lysine) grafted with poly(N-isopropylacrylamide). Langmuir 2002, 18, 8217–8222. [Google Scholar] [CrossRef]
- Jiang, X.; Lu, G.; Feng, C.; Li, Y.; Huang, X. Poly(acrylic acid)-graft-poly(N-vinylcaprolactam): A novel pH and thermo dual-stimuli responsive system. Polym. Chem. 2013, 4, 3876–3884. [Google Scholar] [CrossRef]
- Zhang, D.; Dashtimoghadam, E.; Fahimipour, F.; Hu, X.; Li, Q.; Bersenev, E.A.; Ivanov, D.A.; Vatankhah-Varnoosfaderani, M.; Sheiko, S.S. Tissue-adaptive materials with independently regulated modulus and transition temperature. Adv. Mater. 2020, 32, 2005314. [Google Scholar] [CrossRef]
- Vashahi, F.; Martinez, M.R.; Dashtimoghadam, E.; Fahimipour, F.; Keith, A.N.; Bersenev, E.A.; Ivanov, D.A.; Zhulina, E.B.; Popryadukhin, P.; Matyjaszewski, K.; et al. Injectable bottlebrush hydrogels with tissue-mimetic mechanical properties. Sci. Adv. 2022, 8, eabm2469. [Google Scholar] [CrossRef]
- Borisov, O.V.; Zhulina, E.B. Amphiphilic Graft Copolymers in a Selective Solvent: Intramolecular Structures and Conformational Transitions. Macromolecules 2005, 38, 2506–2514. [Google Scholar] [CrossRef]
- Kosovan, P.; Kuldova, J.; Limpouchova, Z.; Prochazka, K.; Zhulina, E.B.; Borisov, O.V. Amphiphilic Graft Copolymers in Selective Solvents: Molecular Dynamics Simulations and Scaling Theory. Macromolecules 2009, 42, 6748–6760. [Google Scholar] [CrossRef]
- Prokacheva, V.M.; Rud, O.V.; Uhlik, F.; Borisov, O.V. Intramolecular micellization and nanopatterning in pH-and thermo-responsive molecular brushes. Soft Matter 2020, 16, 208–218. [Google Scholar] [CrossRef]
- Borisov, O.V.; Shavykin, O.V.; Zhulina, E.B. Theory of polyelectrolyte dendrigrafts. Colloid Polym. Sci. 2020, 298, 951–959. [Google Scholar] [CrossRef]
- Birshtein, T.M.; Borisov, O.V.; Zhulina, Y.B.; Khokhlov, A.R.; Yurasova, T.A. Conformations of comb-like macromolecules. Polym. Sci. USSR 1987, 29, 1293–1300. [Google Scholar] [CrossRef]
- Fredrickson, G.H. Surfactant-induced lyotropic behavior of flexible polymer solutions. Macromolecules 1993, 26, 2825–2831. [Google Scholar] [CrossRef]
- Borisov, O.V.; Birshtein, T.M.; Zhulina, Y.B. Temperature-Concentration Diagram of State for Solutions of Comb-like Macromolecules. Polym. Sci. USSR 1987, 29, 1552–1559. [Google Scholar] [CrossRef]
- Zhulina, E.B.; Sheiko, S.S.; Borisov, O.V. Solution and Melts of Barbwire Bottlebrushes: Hierarchical Structure and Scale-Dependent Elasticity. Macromolecules 2019, 52, 1671–1684. [Google Scholar] [CrossRef]
- Sheiko, S.S.; Borisov, O.V.; Prokhorova, S.A.; Möller, M. Cylindrical molecular brushes under poor solvent conditions: Microscopic observations and scaling analysis. Eur. Phys. J. E 2004, 13, 125–131. [Google Scholar] [CrossRef]
- Subbotin, A.V.; Semenov, A.N. Spatial Self-Organization of Comb Macromolecules. Polym. Sci. Ser. A 2007, 49, 1328–1357. [Google Scholar] [CrossRef]
- Zhulina, E.B.; Sheiko, S.S.; Borisov, O.V. Theoretical advances on molecular bottlebrushes: Solutions, gels, and self-assembly. Soft Matter 2022, 18, 8714–8732. [Google Scholar] [CrossRef]
- Feuz, L.; Leermakers, F.A.M.; Textor, M.; Borisov, O. Bending rigidity and induced persistence length of molecular bottle brushes: A self-consistent-field theory. Macromolecules 2005, 38, 8891–8901. [Google Scholar] [CrossRef]
- MSaariaho; Ikkala, O.; Szleifer, I.; Erukhimovich, I.; ten Brinke, G. On lyotropic behavior of molecular bottle-brushes: A Monte Carlo computer simulation study. J. Chem. Phys. 1997, 107, 3267–3276. [Google Scholar] [CrossRef]
- Saariaho, M.; Szleifer, I.; Ikkala, O.; ten Brinke, G. Extended conformations of isolated molecular bottle-brushes: Influence of side-chain topology. Macromol. Theor. Simul. 1998, 7, 211–216. [Google Scholar] [CrossRef]
- Subbotin, A.; Saariaho, M.; Ikkala, O.; ten Brinke, G. Elasticity of comb copolymer cylindrical brushes. Macromolecules 2000, 33, 3447–3452. [Google Scholar] [CrossRef][Green Version]
- Elli, S.; Ganazzoli, F.; Timoshenko, E.G.; Kuznetsov, Y.A.; Connolly, R. Size and persistence length of molecular bottle-brushes by Monte Carlo simulations. J. Chem. Phys. 2004, 120, 6257–6267. [Google Scholar] [CrossRef]
- Theodorakis, P.E.; Hsu, H.-P.; Paul, W.; Binder, K. Computer simulation of bottle-brush polymers with flexible backbone: Good solvent versus theta solvent conditions. J. Chem. Phys. 2011, 135, 164903. [Google Scholar] [CrossRef]
- Cao, Z.; Carrillo, J.-M.Y.; Sheiko, S.S.; Dobrynin, A.V. Computer Simulations of Bottle Brushes: From Melts to Soft Networks. Macromolecules 2015, 48, 5006–5015. [Google Scholar] [CrossRef]
- Hsu, H.-P.; Paul, W.; Binder, K. One- and Two-Component Bottle-Brush Polymers: Simulations Compared toTheoretical Predictions. Macromol. Theory Simul. 2007, 16, 660–689. [Google Scholar] [CrossRef]
- Hsu, H.-P.; Paul, W.; Binder, K. Standard definitions of persistence length do not describe the local intrinsic stiffness of real polymer chains. Macromolecules 2010, 43, 3094–3102. [Google Scholar] [CrossRef]
- Hsu, H.-P.; Paul, W.; Binder, K. Estimation of persistence lengths of semiflexible polymers: Insight from simulations. Polym. Sci. Ser. C 2013, 55, 39–59. [Google Scholar] [CrossRef]
- Muhammadi, E.; Joshi, S.J.; Deshmukh, S.A. Review of computational studies of bottlebrush polymers. Computational Materials Science 2021, 199, 110720. [Google Scholar] [CrossRef]
- Zamurovic, M.; Christodoulou, S.; Vazaios, A.; Iatrou, E.; Pitsikalis, M.; Hadjichristidis, N. Micellization Behavior of Complex Comblike Block Copolymer Architectures. Macromolecules 2007, 40, 5835–5849. [Google Scholar] [CrossRef]
- Li, Z.; Ma, J.; Xheng, C.; Zhang, K.; Wooley, K.L. Synthesis of Hetero-Grafted Amphiphilic Diblock Molecular Brushes and Their Self-Assembly in Aqueous Medium. Macromolecules 2010, 43, 1182–1184. [Google Scholar] [CrossRef]
- Fenyves, R.; Schmutz, M.; Horner, I.J.; Bright, F.V.; Rzaev, J. Aqueous Self-Assembly of Giant Bottlebrush Block Copolymer Sufactants as Shape-Tunable Building Blocks. J. Am. Chem. Soc. 2014, 136, 7762–7770. [Google Scholar] [CrossRef]
- Alaboalirat, M.; Qi, L.; Arrington, K.J.; Qian, S.; Keum, J.K.; Mei, H.; Littrell, K.C.; Sumpter, B.G.; Carrillo, J.-M.Y.; Verduzco, R.; et al. Amphiphilic Bottlebrush Block Copolymers: Analysis of Aqueous Self-Assembly by Small-Angle Neutron Scattering and Surface Tension Measurements. Macromolecules 2019, 52, 465–476. [Google Scholar] [CrossRef]
- Kim, S.; Cho, Y.; Kim, J.H.; Song, S.; Lim, J.; Choi, S.-H.; Char, K. Structural Analysis of Bottlebrush Block Copolymer Micelles Using Small-angle X-ray Scattering. ACS Macro Lett. 2020, 9, 1261–1266. [Google Scholar] [CrossRef]
- Taipaleenmaki, E.; Mouritzen, S.A.; Schattling, P.; Zhang, Y.; Städler, B. Mucopenetrating micelles with a PEG corona. Nanoscale 2017, 9, 18438–18448. [Google Scholar] [CrossRef]
- Wang, Y.; Shao, F.; Sauve, E.R.; Tonge, C.M.; Hudson, Z.M. Self-assembly of giant bottlebrush block copolymer surfactants from luminescent organic electronic materials. Soft Matter 2019, 15, 5421–5430. [Google Scholar] [CrossRef]
- Unsal, H.; Onbulak, S.; Calik, F.; Er-Rafik, M.; Schmutz, M.; Sanyal, A.; Rzayev, J. Interplay between Molecular Packing, Drug Loading, and Core Cross-Linking in Bottlebrush Copolymer Micelles. Macromolecules 2017, 50, 1342–1352. [Google Scholar] [CrossRef]
- Patel, B.B.; Pan, T.; Changc, Y.; Walsha, D.J.; Kwokb, J.J.; Parka, K.S.; Patela, K.; Guironneta, D.; Singa, C.E.; Diao, Y. Concentration-Driven Self-Assembly of PS-b-PLA Bottlebrush Diblock Copolymers in Solution. ACS Polym. Au 2022, 2, 232–244. [Google Scholar] [CrossRef] [PubMed]
- Shibuya, Y.; Nguyen, H.V.T.; Johnson, J.A. Mikto-Brush-Arm Star Polymers via Cross-Linking of Dissimilar Bottlebrushes: Synthesis and Solution Morphologies. ACS Macro Lett. 2017, 6, 963–968. [Google Scholar] [CrossRef] [PubMed]
- Henn, D.M.; Holmes, J.A.; Kent, E.W.; Zhao, B. Worm-to-Sphere Shape Transition of Thermoresponsive Linear Molecular Bottlebrushes in Moderately Concentrated Aqueous Solution. J. Phys. Chem. B 2018, 122, 7015–7025. [Google Scholar] [CrossRef] [PubMed]
- Zhulina, E.B.; Borisov, O.V. Micelles Formed by AB Copolymer with Bottlebrush blocks. Scaling Theory. J. Phys. Chem. B 2021, 125, 12603–12616. [Google Scholar] [CrossRef] [PubMed]
- Lebedeva, I.O.; Zhulina, E.B.; Borisov, O.V. Self-assembly of bottlebrush block copolymers in selective solvent: Micellar structures. Polymers 2021, 13, 1351. [Google Scholar] [CrossRef]
- De Gennes, P.-G. Scaling Concepts in Polymer Physics; Cornell University Press: Ithaca, NY, USA; London, UK, 1979. [Google Scholar]
- Duane, S.; Kennedy, A.D.; Pendleton, B.J.; Roweth, D. Hybrid Monte-Carlo. Phys. Lett. B. 1987, 195, 216–222. [Google Scholar] [CrossRef]
- Metropolis, N.; Rosenbluth, A.W.; Rosenbluth, M.N.; Teller, A.H.; Teller, E. Equation of State Calculations by Fast Computing Machines. J. Chem. Phys. 1953, 21, 1087–1092. [Google Scholar] [CrossRef]
- Irback, A. Hybrid Monte Carlo simulation of polymer chains. J. Chem. Phys. 1994, 101, 1661–1667. [Google Scholar] [CrossRef][Green Version]
- Grest, G.S.; Kremer, K. Molecular-Dynamics Simulation for Polymers in the Presence of a Heat Bath. Phys. Rev. A 1986, 33, 3628–3631. [Google Scholar] [CrossRef]
- Jones, J.E. On the determination of molecular fields. I. From the variation of the viscosity of a gas with temperature. Proc. R. Soc. London. Ser. A 1924, 106, 441–462. [Google Scholar]
- Behbahani, A.F.; Schneider, L.; Rissanou, A.; Chazirakis, A.; Bacova, P.; Jana, P.K.; Li, W.; Doxastakis, M.; Polinska, P.; Burkhart, C.; et al. Dynamics and Rheology of Polymer Melts via Hierarchical Atomistic, Coarse-Grained, and Slip-Spring Simulations. Macromolecules 2021, 54, 2740–2762. [Google Scholar] [CrossRef]
- McDonald, I.R. NPT-ensemble Monte Carlo calculations for binary liquid mixtures. Mol. Phys. 1971, 23, 41–58. [Google Scholar] [CrossRef]
- Flyvbjerg, H.; Petersen, H.G. Error-Estimates on Averages of Correlated Data. J. Chem. Phys. 1989, 91, 461–466. [Google Scholar] [CrossRef]
- Jin, S.; Collins, L.R. Dynamics of dissolved polymer chains in isotropic turbulence. New J. Phys. 2007, 9, 360. [Google Scholar] [CrossRef]












Publisher’s Note: MDPI stays neutral with regard to jurisdictional claims in published maps and institutional affiliations. |
© 2022 by the authors. Licensee MDPI, Basel, Switzerland. This article is an open access article distributed under the terms and conditions of the Creative Commons Attribution (CC BY) license (https://creativecommons.org/licenses/by/4.0/).
Share and Cite
Uhlik, F.; Rud, O.V.; Borisov, O.V.; Zhulina, E.B. Hairy Gels: A Computational Study. Gels 2022, 8, 793. https://doi.org/10.3390/gels8120793
Uhlik F, Rud OV, Borisov OV, Zhulina EB. Hairy Gels: A Computational Study. Gels. 2022; 8(12):793. https://doi.org/10.3390/gels8120793
Chicago/Turabian StyleUhlik, Filip, Oleg V. Rud, Oleg V. Borisov, and Ekaterina B. Zhulina. 2022. "Hairy Gels: A Computational Study" Gels 8, no. 12: 793. https://doi.org/10.3390/gels8120793
APA StyleUhlik, F., Rud, O. V., Borisov, O. V., & Zhulina, E. B. (2022). Hairy Gels: A Computational Study. Gels, 8(12), 793. https://doi.org/10.3390/gels8120793

