Reduction of PVA Aerogel Flammability by Incorporation of an Alkaline Catalyst
Abstract
1. Introduction
2. Results and Discussion
2.1. Apparent Density and Mechanical Performance
2.2. Morphology
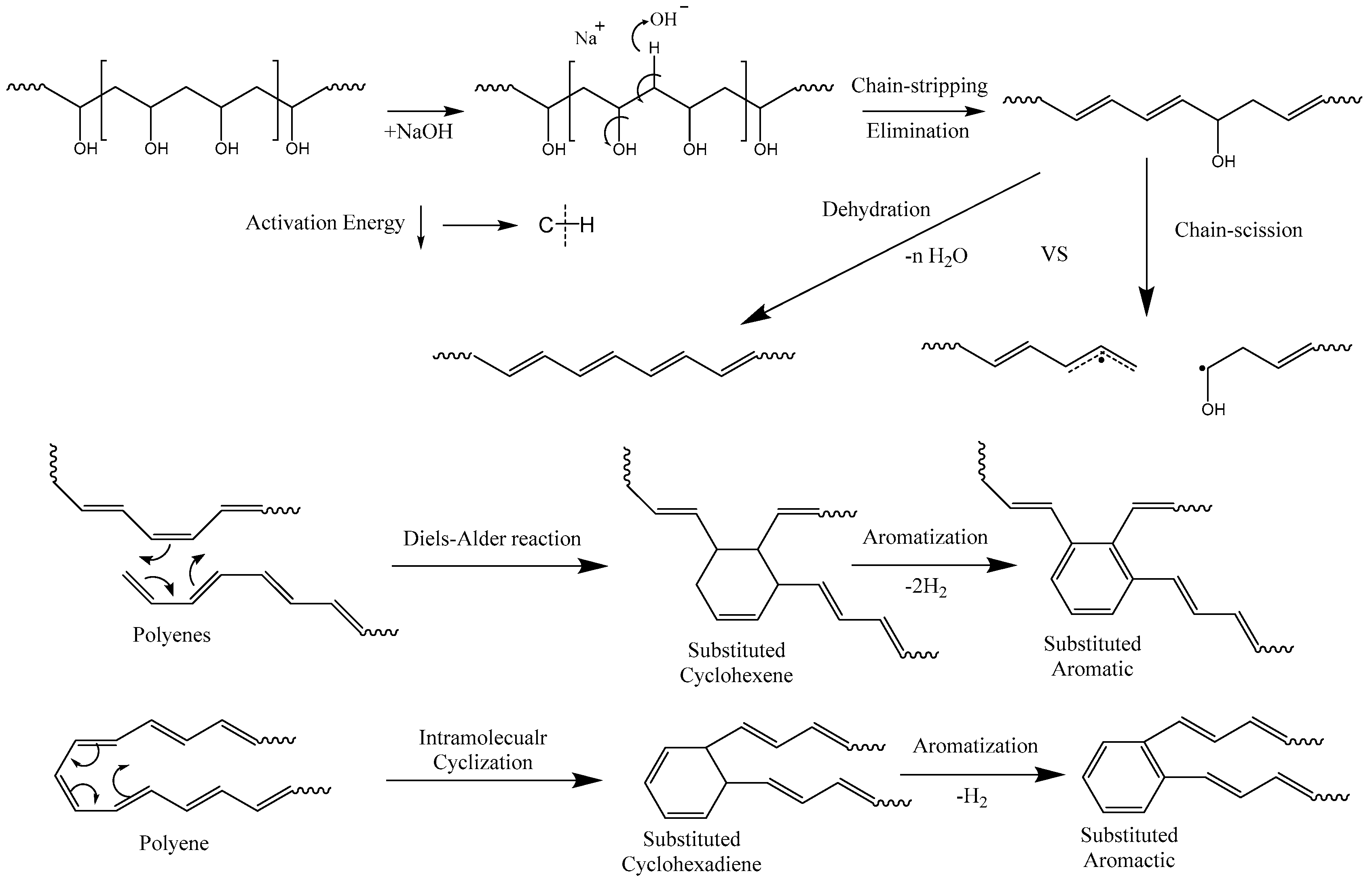
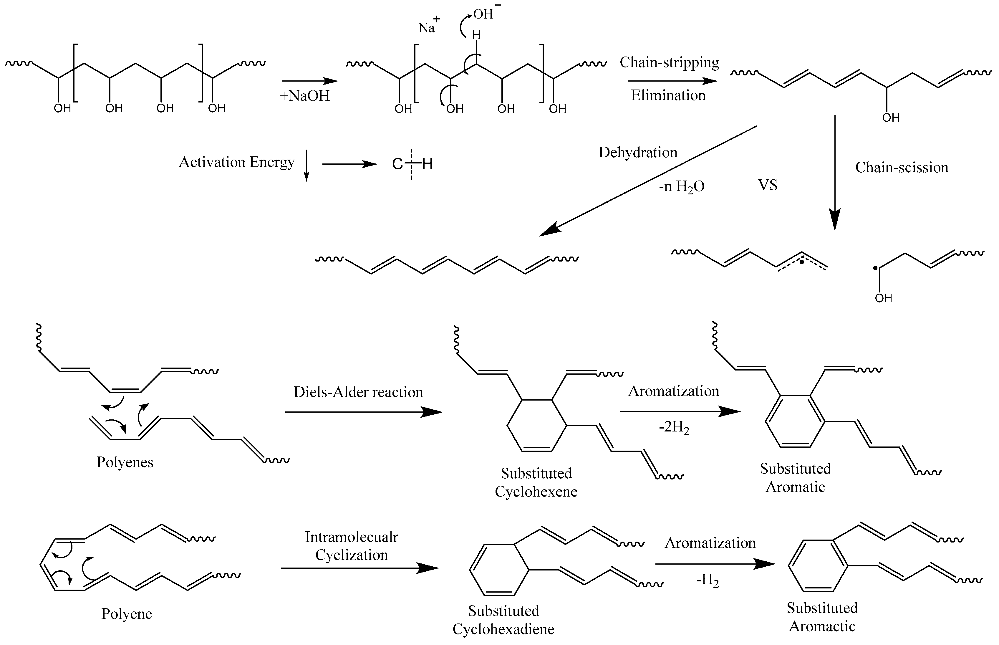
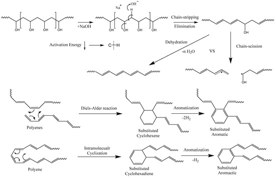
2.3. Thermal Stability & Degradation Mechanism
2.4. Combustion Behavior
3. Conclusions
4. Materials and Methods
4.1. Preparation of Aerogels
4.2. Characterization
Author Contributions
Funding
Data Availability Statement
Conflicts of Interest
References
- Kistler, S.S. Coherent Expanded Aerogels and Jellies. Nature 1931, 127, 741. [Google Scholar] [CrossRef]
- Aaltonen, O.; Jauhiainen, O. The Preparation of Lignocellulosic Aerogels from Ionic Liquid Solutions. Carbohydr. Polym. 2009, 75, 125–129. [Google Scholar] [CrossRef]
- Wang, Y.-T.; Zhao, H.-B.; Degracia, K.; Han, L.-X.; Sun, H.; Sun, M.; Wang, Y.-Z.; Schiraldi, D.A. Green Approach to Improving the Strength and Flame Retardancy of Poly(Vinyl Alcohol)/Clay Aerogels: Incorporating Biobased Gelatin. ACS Appl. Mater. Interfaces 2017, 9, 42258–42265. [Google Scholar] [CrossRef]
- Long, H.; Harley-Trochimczyk, A.; Pham, T.; Tang, Z.; Shi, T.; Zettl, A.; Carraro, C.; Worsley, M.A.; Maboudian, R. High Surface Area MoS2/Graphene Hybrid Aerogel for Ultrasensitive NO2 Detection. Adv. Funct. Mater. 2016, 26, 5158–5165. [Google Scholar] [CrossRef]
- Chen, H.-B.; Schiraldi, D.A. Flammability of Polymer/Clay Aerogel Composites: An Overview. Polym. Rev. 2019, 59, 1–24. [Google Scholar] [CrossRef]
- Feng, J.; Le, D.; Nguyen, S.T.; Tan Chin Nien, V.; Jewell, D.; Duong, H.M. Silica-cellulose Hybrid Aerogels for Thermal and Acoustic Insulation Applications. Colloids Surfaces A Physicochem. Eng. Asp. 2016, 506, 298–305. [Google Scholar] [CrossRef]
- Feng, J.; Nguyen, S.T.; Fan, Z.; Duong, H.M. Advanced Fabrication and Oil Absorption Properties of Super-Hydrophobic Recycled Cellulose Aerogels. Chem. Eng. J. 2015, 270, 168–175. [Google Scholar] [CrossRef]
- Cui, J.; Xi, Y.; Chen, S.; Li, D.; She, X.; Sun, J.; Han, W.; Yang, D.; Guo, S. Prolifera-Green-Tide as Sustainable Source for Carbonaceous Aerogels with Hierarchical Pore to Achieve Multiple Energy Storage. Adv. Funct. Mater. 2016, 26, 8487–8495. [Google Scholar] [CrossRef]
- Xia, W.; Qu, C.; Liang, Z.; Zhao, B.; Dai, S.; Qiu, B.; Jiao, Y.; Zhang, Q.; Huang, X.; Guo, W.; et al. High-Performance Energy Storage and Conversion Materials Derived from a Single Metal–Organic Framework/Graphene Aerogel Composite. Nano Lett. 2017, 17, 2788–2795. [Google Scholar] [CrossRef]
- Pajonk, G.M. Aerogel Catalysts. Appl. Catal. 1991, 72, 217–266. [Google Scholar] [CrossRef]
- Finlay, K.; Gawryla, M.D.; Schiraldi, D.A. Biologically Based Fiber-Reinforced/Clay Aerogel Composites. J. Ind. Eng. Chem. Res. 2008, 47, 615–619. [Google Scholar] [CrossRef]
- Gawryla, M.D.; Nezamzadeh, M.; Schiraldi, D.A. Foam-like Materials Produced from Abundant Natural Resources. Green Chem. 2008, 10, 1078. [Google Scholar] [CrossRef]
- Chen, H.-B.; Wang, Y.-Z.; Schiraldi, D.A. Preparation and Flammability of Poly(Vinyl Alcohol) Composite Aerogels. ACS Appl. Mater. Interfaces 2014, 6, 6790–6796. [Google Scholar] [CrossRef]
- Zheng, Q.; Cai, Z.; Gong, S. Green Synthesis of Polyvinyl Alcohol (PVA)–Cellulose Nanofibril (CNF) Hybrid Aerogels and Their Use as Superabsorbents. J. Mater. Chem. A 2014, 2, 3110–3118. [Google Scholar] [CrossRef]
- De France, K.J.; Hoare, T.; Cranston, E.D. Review of Hydrogels and Aerogels Containing Nanocellulose. Chem. Mater. 2017, 29, 4609–4631. [Google Scholar] [CrossRef]
- Liu, A.; Medina, L.; Berglund, L.A. High-Strength Nanocomposite Aerogels of Ternary Composition: Poly(Vinyl Alcohol), Clay, and Cellulose Nanofibrils. ACS Appl. Mater. Interfaces 2017, 9, 6453–6461. [Google Scholar] [CrossRef]
- Wicklein, B.; Kocjan, A.; Salazar-Alvarez, G.; Carosio, F.; Camino, G.; Antonietti, M.; Bergström, L. Thermally Insulating and Fire-Retardant Lightweight Anisotropic Foams Based on Nanocellulose and Graphene Oxide. Nat. Nanotechnol. 2015, 10, 277–283. [Google Scholar] [CrossRef] [PubMed]
- Fire Loss in the United States During 2017; NFPA National Fire Protectio n Association: Quincy, MA, USA, 2018.
- Darnerud, P.O. Toxic Effects of Brominated Flame Retardants in Man and in Wildlife. Environ. Int. 2003, 29, 841–853. [Google Scholar] [CrossRef]
- Rahman, F.; Langford, K.H.; Scrimshaw, M.D.; Lester, J.N. Polybrominated Diphenyl Ether (PBDE) Flame Retardants. Sci. Total Environ. 2001, 275, 1–17. [Google Scholar] [CrossRef]
- Safe, S.; Hutzinger, O. Polychlorinated Biphenyls (PCBs) and Polybrominated Biphenyls (PBBs): Biochemistry, Toxicology, and Mechanism of Action. CRC Crit. Rev. Toxicol. 1984, 13, 319–395. [Google Scholar] [CrossRef] [PubMed]
- Chen, H.-B.; Wang, Y.-Z.; Sánchez-Soto, M.; Schiraldi, D.A. Low Flammability, Foam-like Materials Based on Ammonium Alginate and Sodium Montmorillonite Clay. Polymers 2012, 53, 5825–5831. [Google Scholar] [CrossRef]
- Troitzsch, J.H. Overview of Flame Retardants. Chem. Today 1998, 16, 18–24. [Google Scholar]
- Morgan, A.B.; Wilkie, C.A. Flame Retardant Polymer Nanocomposites; Wiley-Interscience: Hoboken, NJ, USA, 2007. [Google Scholar]
- Holland, B.J.; Hay, J.N. The thermal degradation of poly(vinyl alcohol). Polymer 2001, 42, 6775–6783. [Google Scholar] [CrossRef]
- Yang, H.; Xu, S.; Jiang, L.; Dan, Y. Thermal Decomposition Behavior of Poly (Vinyl Alcohol) with Different Hydroxyl Content. J. Macromol. Sci. Part B Phys. 2012, 51, 464–480. [Google Scholar] [CrossRef]
- Zaikov, G.E.; Lomakin, S.M. New aspects of ecologically friendly polymer flame retardant systems. Polym. Degrad. Stab. 1996, 54, 223–233. [Google Scholar] [CrossRef]
- Arora, S.; Kumar, M.; Kumar, M. Thermal and flammability studies of poly(vinyl alcohol) composites filled with sodium hydroxide. J. Appl. Polym. Sci. 2013, 127, 3877–3884. [Google Scholar] [CrossRef]
- Wang, L.; Sánchez-Soto, M.; Maspoch, M.L. Polymer/Clay Aerogel Composites with Flame Retardant Agents: Mechanical, Thermal and Fire Behavior. Mater. Des. 2013, 52, 609–614. [Google Scholar] [CrossRef]
- Johnson, J.R.; Spikowski, J.; Schiraldi, D.A. Mineralization of Clay/Polymer Aerogels: A Bioinspired Approach to Composite Reinforcement. ACS Appl. Mater. Interfaces 2009, 1, 1305–1309. [Google Scholar] [CrossRef] [PubMed]
- Chen, H.-B.; Liu, B.; Huang, W.; Wang, J.-S.; Zeng, G.; Wu, W.-H.; Schiraldi, D.A. Fabrication and Properties of Irradiation-Cross-Linked Poly(vinyl alcohol)/Clay Aerogel Composites. ACS Appl. Mater. Interfaces 2014, 6, 16227–16236. [Google Scholar] [CrossRef]
- Wang, Y.; Gawryla, M.D.; Schiraldi, D.A. Effects of Freezing Conditions on the Morphology and Mechanical Properties of Clay and Polymer/Clay Aerogels. J. Appl. Polym. Sci. 2013, 129, 1637–1641. [Google Scholar] [CrossRef]
- Cheng, Z.; DeGracia, K.; Schiraldi, D.; Cheng, Z.; DeGracia, K.; Schiraldi, D.A. Sustainable, Low Flammability, Mechanically-Strong Poly(Vinyl Alcohol) Aerogels. Polymers (Basel) 2018, 10, 1102. [Google Scholar] [CrossRef]
- Gilman, J.W.; Vanderhardt, D.L.; Kashiwagi, T. Thermal Decomposition Chemistry of Poly (Vinyl Alcohol): Char Characterization and Reactions with Bismaleimides. In Fire and Polymers II; A.C.S.: Washington, DC, USA, 1995; pp. 161–185. [Google Scholar]
- Pandey, S.; Pandey, S.K.; Parashar, V.; Mehrotra, G.K.; Pandey, A.C. Ag/PVA Nanocomposites: Optical and Thermal Dimensions. J. Mater. Chem. 2011, 21, 17154. [Google Scholar] [CrossRef]
- Mittelbach, M. Advances in biodiesel catalysts and processing technologies. In Advances in Biodiesel Production; Luque, R., Melero, J.A., Eds.; Woodhead Publishing: Cambridge, UK, 2012; pp. 133–153. [Google Scholar]
- Cheirsilp, B.; Srinuanpan, S.; Mandik, Y.I. Efficient Harvesting of Microalgal biomass and Direct Conversion of Microalgal Lipids into Biodiesel. In Microalgae Cultivation for Biofuels Production; Yousuf, A., Ed.; Academic Press: Cambridge, MA, USA, 2020; pp. 83–96. [Google Scholar]
- Hanspal, S. The Guerbet Coupling of Ethanol into Butanol over Calcium Hydroxyapatite Catalysts. Ph.D. Thesis, University of Virginia, Charlottesville, VA, USA, May 2016. [Google Scholar]
- Grand, A.; Wilkie, C. Fire Retardancy of Polymeric Materials; CRC Press: Boca Raton, FL, USA, 2000. [Google Scholar]
- Schartel, B.; Hull, T.R. Development of Fire-Retarded Materials—Interpretation of Cone Calorimeter Data. Fire Mater. 2007, 31, 327–354. [Google Scholar] [CrossRef]
- Ferrari, A.C.; Robertson, J. Interpretation of Raman Spectra of Disordered and Amorphous Carbon. Phys. Rev. B 2000, 61, 14095–14107. [Google Scholar] [CrossRef]
- Ferrari, A.C.; Meyer, J.C.; Scardaci, V.; Casiraghi, C.; Lazzeri, M.; Mauri, F.; Piscanec, S.; Jiang, D.; Novoselov, K.S.; Roth, S.; et al. Raman Spectrum of Graphene and Graphene Layers. Phys. Rev. Lett. 2006, 97, 187401. [Google Scholar] [CrossRef]
- Huang, Y.; Yang, Y.; Ma, J.; Yang, J. Preparation of Ferric Phosphonate/Phosphinate and Their Special Action on Flame Retardancy of Epoxy Resin. J. Appl. Polym. Sci. 2018, 135, 46206. [Google Scholar] [CrossRef]
- Kaufman, J.H.; Metin, S.; Saperstein, D.D. Symmetry Breaking in Nitrogen-Doped Amorphous Carbon: Infrared Observation of the Raman-Active G and D Bands. Phys. Rev. B 1989, 39, 13053–13060. [Google Scholar] [CrossRef]
- Song, S.; Ma, J.; Cao, K.; Chang, G.; Huang, Y.; Yang, J. Synthesis of a Novel Dicyclic Silicon-/Phosphorus Hybrid and Its Performance on Flame Retardancy of Epoxy Resin. Polym. Degrad. Stab. 2014, 99, 43–52. [Google Scholar] [CrossRef]
- Dippel, B.; Jander, H.; Chemical, J.H.-P.C. NIR FT Raman Spectroscopic Study of Flame Soot. Phys. Chem. Chem. Phys. 1999, 1, 4707–4712. [Google Scholar] [CrossRef]
- Dippel, B.; Heinzenberg, J. Soot Characterization in Atmospheric Particles from Different Sources by NIR FT. Raman Spectroscopy. J. Aerosol Sci. 1999, 30, S907–S908. [Google Scholar] [CrossRef]
- Sadezky, A.; Muckenhuber, H.; Grothe, H.; Niessner, R.; Pöschl, U. Raman Microspectroscopy of Soot and Related Carbonaceous Materials: Spectral Analysis and Structural Information. Carbon N. Y. 2005, 43, 1731–1742. [Google Scholar] [CrossRef]
- Coccato, A.; Jehlicka, J.; Moens, L.; Vandenabeele, P. Raman Spectroscopy for the Investigation of Carbon-Based Black Pigments. J. Raman Spectrosc. 2015, 46, 1003–1015. [Google Scholar] [CrossRef]






| Sample | PVA (g) | NaOH (g)/(mol/L) | DI Water (g) | pH |
|---|---|---|---|---|
| P5 | 5 | 0/0 | 100 | 5.8 |
| P5/S0.001 | 5 | 0.001/2.5 × 10−4 | 100 | 6.0 |
| P5/S0.01 | 5 | 0.01/2.5 × 10−3 | 100 | 8.3 |
| P5/S0.1 | 5 | 0.1/2.5 × 10−2 | 100 | 11.7 |
| P5/S0.5 | 5 | 0.5/2.5 × 10−2 | 100 | 12.8 |
| Sample | Modulus (MPa) | Density (g/cm3) | Specific Modulus (MPa cm3/g) |
|---|---|---|---|
| P5 | 0.31 ± 0.11 | 0.065 ± 0.002 | 4.8 ± 1.6 |
| P5/S0.001 | 0.36 ± 0.01 | 0.066 ± 0.002 | 5.5 ± 0.2 |
| P5/S0.01 | 0.47 ± 0.08 | 0.067 ± 0.001 | 7.1 ± 1.3 |
| P5/S0.1 | 0.55 ± 0.16 | 0.066 ± 0.002 | 8.3 ± 2.0 |
| P5/S0.5 | 1.30 ± 0.30 | 0.079 ± 0.001 | 16.3 ± 3.0 |
| Sample | Td5% (°C) | Td20% (°C) | Tdmax (°C) | Dw/dt (%/°C) | Residue (%) |
|---|---|---|---|---|---|
| P5 | 246 | 262 | 274 | 2.71 | 7.9 |
| P5/S0.001 | 249 | 266 | 277 | 2.68 | 11.3 |
| P5/S0.01 | 244 | 258 | 270 | 2.63 | 9.3 |
| P5/S0.1 | 224 | 238 | 243 | 1.60 | 16.4 |
| P5/S0.5 | 171 | 189 | 199 | 1.98 | 23.5 |
| Sample | Weight (g) | TTI (s) | PHRR (kW/m2) | TTPHRR (s) | THR (MJ/m2) | THR/Mass (MJ/(m2 g)) |
|---|---|---|---|---|---|---|
| P5 | 5.3 | 8 | 533 ± 35 | 32 | 12.9 | 2.4 ± 0.0 |
| P5/S0.001 | 6.6 | 10 | 424 ± 37 | 55 | 14.0 | 2.1 ± 0.0 |
| P5/S0.01 | 4.8 | 11 | 314 ± 13 | 45 | 9.9 | 2.1 ± 0.0 |
| P5/S0.1 | 5.3 | 10 | 311 ± 31 | 35 | 11.2 | 2.1 ± 0.0 |
| P5/S0.5 | 5.9 | 5 | 160 ± 20 | 13 | 9.5 | 1.6 ± 0.0 |
Publisher’s Note: MDPI stays neutral with regard to jurisdictional claims in published maps and institutional affiliations. |
© 2021 by the authors. Licensee MDPI, Basel, Switzerland. This article is an open access article distributed under the terms and conditions of the Creative Commons Attribution (CC BY) license (https://creativecommons.org/licenses/by/4.0/).
Share and Cite
Cheng, Z.-H.; Guo, M.-L.; Chen, X.-Y.; Wang, T.; Wang, Y.-Z.; Schiraldi, D.A. Reduction of PVA Aerogel Flammability by Incorporation of an Alkaline Catalyst. Gels 2021, 7, 57. https://doi.org/10.3390/gels7020057
Cheng Z-H, Guo M-L, Chen X-Y, Wang T, Wang Y-Z, Schiraldi DA. Reduction of PVA Aerogel Flammability by Incorporation of an Alkaline Catalyst. Gels. 2021; 7(2):57. https://doi.org/10.3390/gels7020057
Chicago/Turabian StyleCheng, Zhi-Han, Mo-Lin Guo, Xiao-Yi Chen, Ting Wang, Yu-Zhong Wang, and David A. Schiraldi. 2021. "Reduction of PVA Aerogel Flammability by Incorporation of an Alkaline Catalyst" Gels 7, no. 2: 57. https://doi.org/10.3390/gels7020057
APA StyleCheng, Z.-H., Guo, M.-L., Chen, X.-Y., Wang, T., Wang, Y.-Z., & Schiraldi, D. A. (2021). Reduction of PVA Aerogel Flammability by Incorporation of an Alkaline Catalyst. Gels, 7(2), 57. https://doi.org/10.3390/gels7020057

