Interpretable Machine Learning Insights into Adhesion and Modulus of Biomedical HA–Dopamine Hydrogels
Abstract
1. Introduction
2. Results and Discussion
2.1. Dataset Construction and Feature Analysis
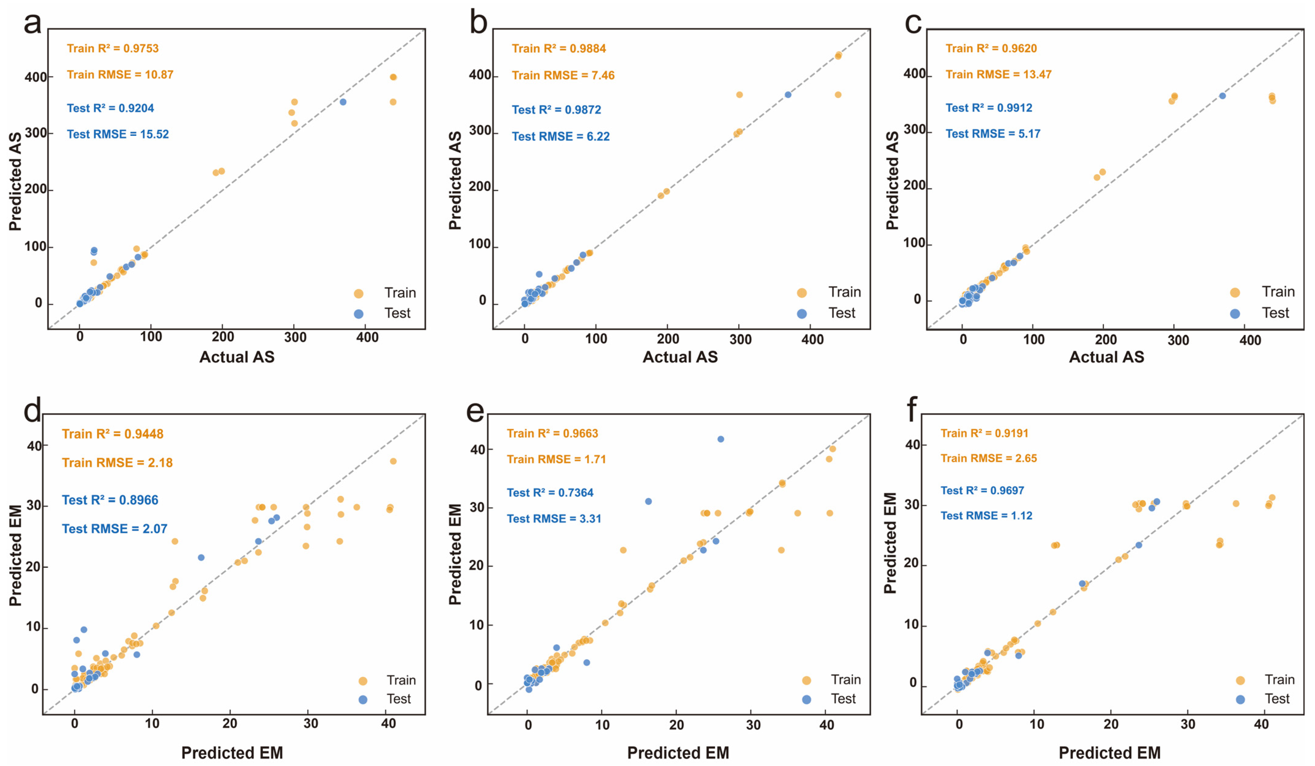
2.2. Model Development and Hyperparameter Optimization
2.3. SHAP Analysis and Feature Interactions
3. Conclusions
4. Materials and Methods
4.1. Data Collection and Preprocessing
4.2. Model Development and Evaluation
4.3. Interpretability Analysis
Supplementary Materials
Author Contributions
Funding
Institutional Review Board Statement
Informed Consent Statement
Data Availability Statement
Conflicts of Interest
References
- Nejati, S.; Mongeau, L. Injectable, Pore-Forming, Self-Healing, and Adhesive Hyaluronan Hydrogels for Soft Tissue Engineering Applications. Sci. Rep. 2023, 13, 14303. [Google Scholar] [CrossRef]
- Wang, X.; Si, Y.; Zheng, K.; Guo, X.; Wang, J.; Xu, Y. Mussel-Inspired Tough Double Network Hydrogel As Transparent Adhesive. ACS Appl. Energy Mater. 2019, 1, 2998–3007. [Google Scholar] [CrossRef]
- Chen, L.; Xiao, L.; Ma, Y.; Xie, P.; Liu, J.; Wang, C.; Chen, N.; Wang, X.; He, L. Bioengineered Composite Hydrogel Scaffold for Accelerated Skin Regeneration and Wound Repair. Chem. Eng. J. 2025, 504, 158773. [Google Scholar] [CrossRef]
- Wu, K.; Li, J.; Ran, H.; Zhao, C.; Gao, J.; Tian, Y.; Wu, C.; Ding, J.; Wei, D.; Yu, Y.; et al. Hyaluronan-Based Rapid-Gelling Hemostatic Powder to Bridge Dynamic Wound Sealing and Tissue Regeneration. Biomacromolecules 2025, 26, 5409–5422. [Google Scholar] [CrossRef]
- Xing, Q.; Huang, Z.; Zou, S.; Fan, Z.; Ba, L.; Wang, A.; Zhang, G. Dopamine-Modified Hyaluronic Acid Hydrogel’s Role in Spinal Cord Injury. Int. J. Biol. Macromol. 2025, 321, 146165. [Google Scholar] [CrossRef] [PubMed]
- Zhang, C.; Wu, B.; Zhou, Y.; Zhou, F.; Liu, W.; Wang, Z. Mussel-Inspired Hydrogels: From Design Principles to Promising Applications. Chem. Soc. Rev. 2020, 49, 3605–3637. [Google Scholar] [CrossRef] [PubMed]
- Lee, H.; Dellatore, S.M.; Miller, W.M.; Messersmith, P.B. Mussel-Inspired Surface Chemistry for Multifunctional Coatings. Science 2007, 318, 426–430. [Google Scholar] [CrossRef]
- Li, J.; Chen, Q.; Li, S.; Zeng, X.; Qin, J.; Li, X.; Chen, Z.; Zheng, W.; Zhao, Y.; Huang, Z.; et al. An Adhesive Hydrogel Implant Combining Chemotherapy and Tumor Microenvironment Remodeling for Preventing Postoperative Recurrence and Metastasis of Breast Cancer. Chem. Eng. J. 2023, 473, 145212. [Google Scholar] [CrossRef]
- Luo, W.; Pan, X.; Ren, C.; Wang, T.; Li, G.; Jin, L.; Zhang, D. Anti-Swelling and ROS-Scavenging Nanofiber Hydrogel to Prevent Postoperative Abdominal Adhesion. Chem. Eng. J. 2025, 516, 164202. [Google Scholar] [CrossRef]
- Ye, X.; Gu, W.; Liu, H.; Chu, M.; Ming, L.; Wu, Y.; Li, P.; Liao, J. Mild Photothermal Stimulation Driven Nanoparticles Hybrid Dual-Network Hydrogels for Bone Repair. Small 2026, e12528. [Google Scholar] [CrossRef] [PubMed]
- Quan, V.M.; Le, K.M.; Dat, H.T.; Van, P.-T.H.; Le, M.-A.T.; Nguyen, K.T.-T.; Huynh, D.P.; Doan, H.N.; Nguyen, T.-H. Design of a Non-Oxidative Adhesive Dopamine-Grafted Hyaluronic Acid/NOCC Hydrogel for Enhanced Cell Spheroid Formation and Soft Tissue Regeneration. React. Funct. Polym. 2025, 206, 106108. [Google Scholar] [CrossRef]
- Zhou, Y.; Xu, Y.; Zhang, R.; Wang, H.; Wang, F.; Wang, Z.; Zhang, C.; Zhang, Z.; Mei, J.; Tao, S. Hyaluronic Acid-Dopamine-NCSN Hydrogel Combined with Extracellular Matrix Promotes Wound Healing. Macromol. Biosci. 2024, 24, 2300549. [Google Scholar] [CrossRef] [PubMed]
- Luo, W.; Li, Z.; Che, J.; Li, X.; Zhang, H.; Tian, J.; Wang, C.; Li, G.; Jin, L. Near-Infrared Responsive Nanocomposite Hydrogel Dressing with Anti-Inflammation and Pro-Angiogenesis for Wound Healing. ACS Appl. Mater. Interfaces 2024, 16, 34720–34731. [Google Scholar] [CrossRef]
- Wang, R.; Liu, L.; He, X.; Xia, Z.; Zhao, Z.; Xi, Z.; Yu, J.; Wang, J. Dynamic Crosslinked Injectable Mussel-Inspired Hydrogels with Adhesive, Self-Healing, and Biodegradation Properties. Polymers 2023, 15, 1876. [Google Scholar] [CrossRef]
- Wang, Z.; Han, X.; Xiao, W.; Wang, P.; Wang, J.; Zou, D.; Luo, X.; Shi, L.; Wu, J.; Guo, L.; et al. Mussel-Inspired Adhesive Drug-Loaded Hydrogels for Oral Ulcers Treatment. Acta Biomater. 2024, 187, 98–109. [Google Scholar] [CrossRef]
- Zhang, K.; Wei, Z.; Xu, X.; Feng, Q.; Xu, J.; Bian, L. Efficient Catechol Functionalization of Biopolymeric Hydrogels for Effective Multiscale Bioadhesion. Mater. Sci. Eng. C 2019, 103, 109835. [Google Scholar] [CrossRef]
- Zhang, X.; Wusiman, H.; Wang, Y.; Wang, L.; Chen, W.; Huang, D. The Mussel-Inspired GelMA/Dopamine/Hyaluronic Acid Composite Hydrogel Dressing for Wet Surface Adhesion. Int. J. Biol. Macromol. 2025, 302, 140448. [Google Scholar] [CrossRef]
- Chen, Y.; Wen, W.; Wang, J.; Zhu, X.; Xu, J.; Ren, Q.; Li, K.; Xu, Y.; Zhu, C.; Xu, L.; et al. Multi-Functional Antibacterial Bio-Patch Based on Modified Hyaluronic Acid for Skin Infected Incision Repair. Int. J. Biol. Macromol. 2026, 336, 149111. [Google Scholar] [CrossRef]
- Liu, Y.; Wang, K.; Ren, W.; Gao, N.; Li, J.; Wang, H. A Dry Patch with In Situ Solid-to-Gel Transformation for All-in-One Skin Wound Care. ACS Appl. Mater. Interfaces 2024, 16, 64087–64100. [Google Scholar] [CrossRef]
- Rong, H.; Dong, Y.; Zhao, J.; Zhang, X.; Li, S.; Sun, Y.; Lu, T.; Yu, S.; Hu, H. Fetal Milieu-Simulating Hyaluronic Acid-Dopamine-Chondroitin Sulfate Hydrogel Promoting Angiogenesis and Hair Regeneration for Wound Healing. Int. J. Biol. Macromol. 2023, 248, 125739. [Google Scholar] [CrossRef] [PubMed]
- Fan, R.; Chuan, D.; Liu, Z.; Chen, H.; Chen, C.; Guo, G.; Xu, J. Antioxidant MnO2 Nanozymes-Encapsulated Hydrogel Synergistically Regulate the Spinal ROS Microenvironment and Promote Spinal Cord Repair. Chem. Eng. J. 2023, 478, 147148. [Google Scholar] [CrossRef]
- Yan, B.; Shi, Y.; Liu, S.; Wang, W.; Ba, Z.; Li, H.; Wang, J.; Xiao, Z.; Peng, T.; Liang, D.; et al. Development and Optimization of Lithium-Ion Sieves Through Machine Learning in Complex Brine Systems. Sep. Purif. Technol. 2025, 374, 133726. [Google Scholar] [CrossRef]
- Hu, Q.; Chen, K.; Liu, F.; Zhao, M.; Liang, F.; Xue, D. Smart Materials Prediction: Applying Machine Learning to Lithium Solid-State Electrolyte. Materials 2022, 15, 1157. [Google Scholar] [CrossRef] [PubMed]
- Chan, C.H.; Sun, M.; Huang, B. Application of Machine Learning for Advanced Material Prediction and Design. EcoMat 2022, 4, e12194. [Google Scholar] [CrossRef]
- Vishnyakov, A. Machine Learning in Computational Design and Optimization of Disordered Nanoporous Materials. Materials 2025, 18, 534. [Google Scholar] [CrossRef] [PubMed]
- Zhu, Q.; Feng, S.; Feng, Y.; Ma, C.; Chu, Z.; Tang, K.; Mao, C.; Guan, Y.; Gerecht, S.; Wan, M. Application of Machine Learning in the Design of Biomedical Nanomaterials. Chem. Eng. J. 2026, 530, 173408. [Google Scholar] [CrossRef]
- Ba, Z.; Shi, Y.; Zhang, H.; Robiños, A.; Zafar, M.S.; Li, Y.; Yu, F.; Bobacka, J.; Liang, D.; Wang, Y.; et al. Machine Learning to Predict Electrochemical Performance of Biomass Carbon Electrodes in Lithium/Sodium Ion Batteries. Appl. Energy 2025, 401, 126845. [Google Scholar] [CrossRef]
- Li, H.; Shi, Y.; Liu, J.; Ba, Z.; Liu, S.; Yan, B.; Liang, D.; Xie, Y. Elucidating Microplastic Adsorption Mechanisms in Biomass Composite Materials Through Interpretable Machine Learning. J. Hazard. Mater. 2026, 501, 140700. [Google Scholar] [CrossRef]
- Wang, Y.; Zhang, Y.; Yang, Y.-P.; Jin, M.-Y.; Huang, S.; Zhuang, Z.-M.; Zhang, T.; Cao, L.-L.; Lin, X.-Y.; Chen, J.; et al. Versatile Dopamine-Functionalized Hyaluronic Acid-Recombinant Human Collagen Hydrogel Promoting Diabetic Wound Healing via Inflammation Control and Vascularization Tissue Regeneration. Bioact. Mater. 2024, 35, 330–345. [Google Scholar] [CrossRef]
- Wang, D.; Xu, P.; Wang, S.; Li, W.; Liu, W. Rapidly Curable Hyaluronic Acid-Catechol Hydrogels Inspired by Scallops as Tissue Adhesives for Hemostasis and Wound Healing. Eur. Polym. J. 2020, 134, 109763. [Google Scholar] [CrossRef]
- Li, C.; Gerile, S.; Du, N.; Zou, L.; Wang, Z.; Liu, Y.; Hou, J.; Song, K.; Xiao, Y.; Ren, H.; et al. Multi-Active-Site Antibacterial Modification of Dopamine-Hyaluronic Acid Hydrogel with N-Halamine for Skin Tissue Engineering. Carbohydr. Polym. 2025, 358, 123565. [Google Scholar] [CrossRef]
- Li, W.; Wen, Y.; Wang, K.; Ding, Z.; Wang, L.; Chen, Q.; Xie, L.; Xu, H.; Zhao, H. Developing a Machine Learning Model for Accurate Nucleoside Hydrogels Prediction Based on Descriptors. Nat. Commun. 2024, 15, 2603. [Google Scholar] [CrossRef]
- Chen, G.; Shen, Z.; Iyer, A.; Ghumman, U.F.; Tang, S.; Bi, J.; Chen, W.; Li, Y. Machine-Learning-Assisted De Novo Design of Organic Molecules and Polymers: Opportunities and Challenges. Polymers 2020, 12, 163. [Google Scholar] [CrossRef]
- Gao, C.; Min, X.; Fang, M.; Tao, T.; Zheng, X.; Liu, Y.; Wu, X.; Huang, Z. Innovative Materials Science via Machine Learning. Adv. Funct. Mater. 2022, 32, 2108044. [Google Scholar] [CrossRef]
- Xu, P.; Ji, X.; Li, M.; Lu, W. Small Data Machine Learning in Materials Science. npj Comput. Mater. 2023, 9, 42. [Google Scholar] [CrossRef]
- Han, Y.; Cao, J.; Li, M.; Ding, P.; Yang, Y.; Okoro, O.V.; Sun, Y.; Jiang, G.; Shavandi, A.; Nie, L. Fabrication and Characteristics of Multifunctional Hydrogel Dressings Using Dopamine Modified Hyaluronic Acid and Phenylboronic Acid Modified Chitosan. Front. Chem. 2024, 12, 1402870. [Google Scholar] [CrossRef] [PubMed]
- Zhang, S.; Hou, J.; Yuan, Q.; Xin, P.; Cheng, H.; Gu, Z.; Wu, J. Arginine Derivatives Assist Dopamine-Hyaluronic Acid Hybrid Hydrogels to Have Enhanced Antioxidant Activity for Wound Healing. Chem. Eng. J. 2020, 392, 123775. [Google Scholar] [CrossRef]
- Hu, J.; Tao, M.; Sun, F.; Chen, C.; Chen, G.; Wang, G. Multifunctional Hydrogel Based on Dopamine-Modified Hyaluronic Acid, Gelatin and Silver Nanoparticles for Promoting Abdominal Wall Defect Repair. Int. J. Biol. Macromol. 2022, 222, 55–64. [Google Scholar] [CrossRef]
- Nie, L.; Wang, L.; Hu, S.; Wei, Z.; Ding, X.; Lu, Y.; Tang, H.; Ding, P. Dopamine-Conjugated Hyaluronic Acid Hydrogel Interpenetrated by Genipin Crosslinked Quaternary Ammonium Chitosan for Potential Biomedical Adhesives Applications. Colloids Surf. B Biointerfaces 2025, 252, 114683. [Google Scholar] [CrossRef] [PubMed]
- Melnik, T.; Ben Ameur, S.; Kanfar, N.; Vinet, L.; Delie, F.; Jordan, O. Bioadhesive Hyaluronic Acid/Dopamine Hydrogels for Vascular Applications Prepared by Initiator-Free Crosslinking. Int. J. Mol. Sci. 2022, 23, 5706. [Google Scholar] [CrossRef]
- Vo, Q.M.; Nguyen, K.T.-T.; Le, K.-L.; Hua, T.T.A.; Nguyen, K.-Q.; Le, K.M.; Le Tran, M.-A.; To, H.T.N.; Doan, H.N.; Nguyen, T.-H. Calcium Peroxide Embedded in Dopamine-Grafted Hyaluronic Acid Hydrogel with Tunable Physicochemical Properties and Biocompatibility for Soft Tissue Regeneration. ACS Biomater. Sci. Eng. 2025, 11, 7412–7428. [Google Scholar] [CrossRef] [PubMed]
- Wang, Y.; Gao, H.; Wang, X.; Li, D.; Zhang, W.; Meng, X.; Wang, L.; Zhu, T.; Dong, P.; Chen, Y.; et al. Dual Cross-Linked Self-Healing Hydrogel Enhanced by Dopamine Nanoparticles and Raffinose for Wound Healing. Int. J. Biol. Macromol. 2024, 271, 132615. [Google Scholar] [CrossRef]
- Xiong, J.; Yang, Z.-R.; Lv, N.; Du, K.; Suo, H.; Du, S.; Tao, J.; Jiang, H.; Zhu, J. Self-Adhesive Hyaluronic Acid/Antimicrobial Peptide Composite Hydrogel with Antioxidant Capability and Photothermal Activity for Infected Wound Healing. Macromol. Rapid Commun. 2022, 43, 2200176. [Google Scholar] [CrossRef]
- Zhou, D.; Li, S.; Pei, M.; Yang, H.; Gu, S.; Tao, Y.; Ye, D.; Zhou, Y.; Xu, W.; Xiao, P. Dopamine-Modified Hyaluronic Acid Hydrogel Adhesives with Fast-Forming and High Tissue Adhesion. ACS Appl. Mater. Interfaces 2020, 12, 18225–18234. [Google Scholar] [CrossRef]
- Koivusalo, L.; Kauppila, M.; Samanta, S.; Parihar, V.S.; Ilmarinen, T.; Miettinen, S.; Oommen, O.P.; Skottman, H. Tissue Adhesive Hyaluronic Acid Hydrogels for Sutureless Stem Cell Delivery and Regeneration of Corneal Epithelium and Stroma. Biomaterials 2019, 225, 119516. [Google Scholar] [CrossRef]
- Lee, R.; Hall, E.K.; Aljohani, B.A.; McClements, J.; Peeters, M.; Geoghegan, M. Elastic Modulus of Hyaluronic Acid Hydrogels by Compression Testing. J. Mater. Sci. Mater. Med. 2025, 36, 59. [Google Scholar] [CrossRef]
- Milne, C.; Song, R.; Johnson, M.; Zhao, C.; Santoro Ferrer, F.; Sigen, A.; Lyu, J.; Wang, W. Dual-Modified Hyaluronic Acid for Tunable Double Cross-Linked Hydrogel Adhesives. Biomacromolecules 2024, 25, 2645–2655. [Google Scholar] [CrossRef] [PubMed]
- Zhang, Q.; Liu, D.; Gao, J.; Wu, X.; Hu, W.; Han, L. Surface-Engineered Hydrophobic Hydrogels via Cholesterol Micelle Rearrangement for Robust Wet Adhesion and Oral Mucositis Therapy. Mater. Today Bio 2025, 34, 102126. [Google Scholar] [CrossRef] [PubMed]
- Cui, L.; Li, J.; Guan, S.; Zhang, K.; Zhang, K.; Li, J. Injectable Multifunctional CMC/HA-DA Hydrogel for Repairing Skin Injury. Mater. Today Bio 2022, 14, 100257. [Google Scholar] [CrossRef]
- Cai, B.; Fang, J.; Zhou, S.; Xie, M.; Zhang, K.; Li, J.; Yin, G. Enzyme-Crosslinked Hyaluronic Acid Hydrogel Scaffolds for BMSCs Microenvironment and Wound Healing. Int. J. Biol. Macromol. 2025, 295, 139566. [Google Scholar] [CrossRef]






Disclaimer/Publisher’s Note: The statements, opinions and data contained in all publications are solely those of the individual author(s) and contributor(s) and not of MDPI and/or the editor(s). MDPI and/or the editor(s) disclaim responsibility for any injury to people or property resulting from any ideas, methods, instructions or products referred to in the content. |
© 2026 by the authors. Licensee MDPI, Basel, Switzerland. This article is an open access article distributed under the terms and conditions of the Creative Commons Attribution (CC BY) license.
Share and Cite
Zhang, Y.; Xu, Y.; Shi, Y.; Liang, D. Interpretable Machine Learning Insights into Adhesion and Modulus of Biomedical HA–Dopamine Hydrogels. Gels 2026, 12, 206. https://doi.org/10.3390/gels12030206
Zhang Y, Xu Y, Shi Y, Liang D. Interpretable Machine Learning Insights into Adhesion and Modulus of Biomedical HA–Dopamine Hydrogels. Gels. 2026; 12(3):206. https://doi.org/10.3390/gels12030206
Chicago/Turabian StyleZhang, Yuze, Yabei Xu, Yimin Shi, and Daxin Liang. 2026. "Interpretable Machine Learning Insights into Adhesion and Modulus of Biomedical HA–Dopamine Hydrogels" Gels 12, no. 3: 206. https://doi.org/10.3390/gels12030206
APA StyleZhang, Y., Xu, Y., Shi, Y., & Liang, D. (2026). Interpretable Machine Learning Insights into Adhesion and Modulus of Biomedical HA–Dopamine Hydrogels. Gels, 12(3), 206. https://doi.org/10.3390/gels12030206

