Recent Progress and Morphological Distribution of Polydopamine-Based Biomaterials and Their Applications
Abstract
1. Introduction
2. History
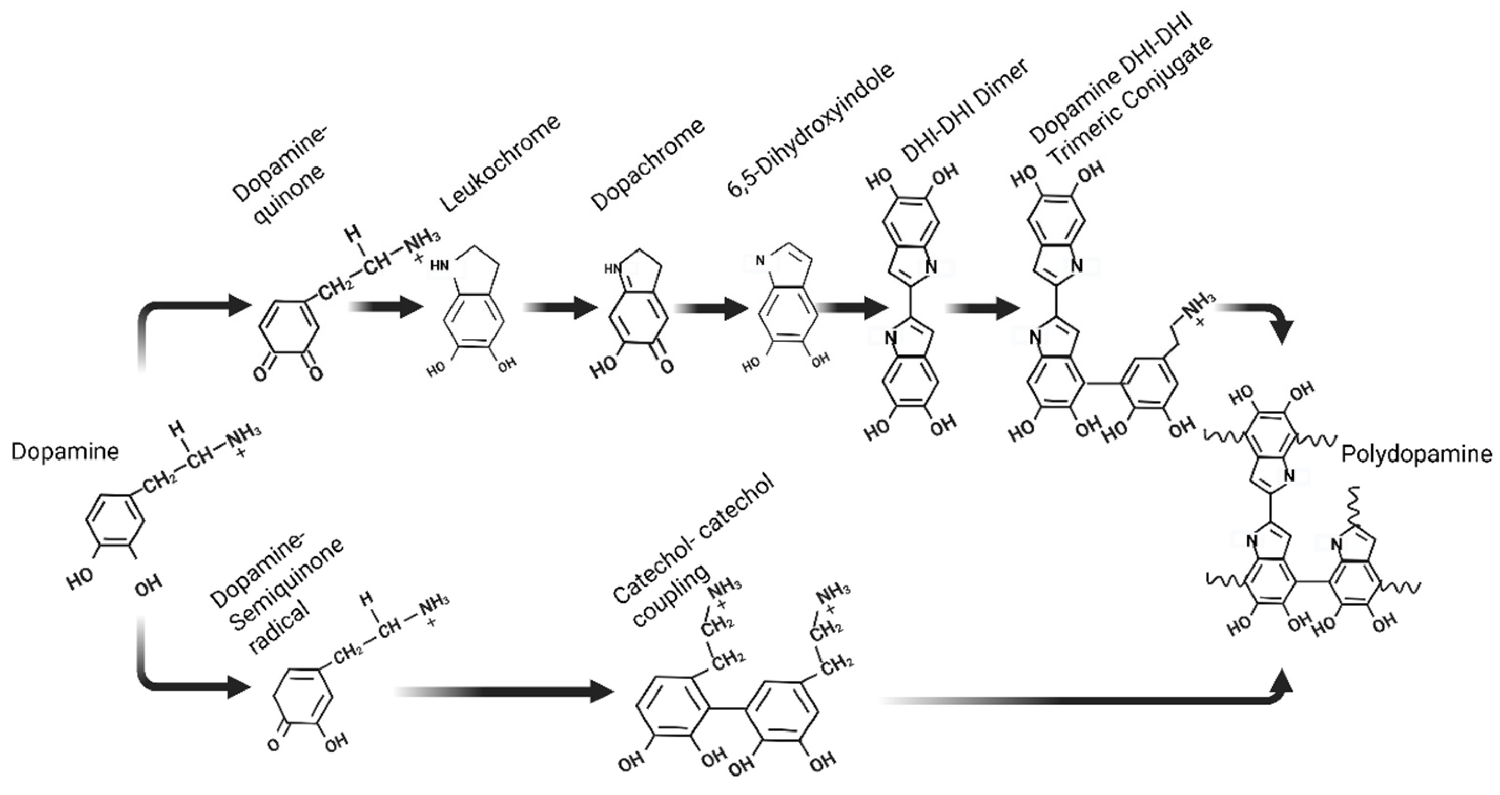
3. Chemistry Inside PDA Biomaterials
3.1. Dopamine and Catechol Derivatives
3.2. Polymerization and Surface Functionalization
4. Structural Distribution
4.1. Polydopamine-Based Hydrogels

4.2. Polydopamine Coatings/Sheets

4.3. Polydopamine Fibers

| Type of Macromolar Martial | Name | Use | PDA Functional Requirement | Advantages | Disadvantages | Other Functional Components |
|---|---|---|---|---|---|---|
| Hydrogels | GelMA-MPF (GMPF) | Skin wound healing, tissue regeneration | Enhances adhesion, self-assembly, and antifibrosis | Antibacterial properties, Biocompatibility | Limited structural stability | Fibrinogen, copper ions [120] |
| N.D. | Wound healing, tissue regeneration | Facilitates bioactive compound delivery via self-healing | Strong adhesion properties | Limited spatiotemporal control | Dopamine-modified cellulose, chitosan, Vitamin C, Mangiferin [121] | |
| UPA microspheres | Gout treatment | Polymerizes dopamine, enhances drug release | Targeted, controlled release | N.D. | Uricase [122] | |
| PDA-modified hydrogel | Periodontal bone healing, tissue regeneration | Antioxidative, immunomodulatory, conductive | Promotes mesenchymal stem cell (MSC) migration, angiogenesis | Limited by diabetes-induced inflammation | Poly(3,4-ethylenedioxythiopene)-assembled silk microfiber (PEDOT-PSF) [123] | |
| Lv/Hb-PDA-based Supramolecular Gel | Cancer Therapy, Tumor Microenvironment Targeting | Facilitating Gelation, Tumor Oxygenation | Enhanced Ferroptosis, Immunogenic Cell Death | Gel Degradation Over Time | Lovastatin, Hemoglobin, Catechol Groups [124] | |
| HPC/GPC/PFD | Diabetic foot ulcer healing | Stimulates controlled release of pirfenidone | Antibacterial effects, Biocompatibility | Cytotoxicity concerns | Reduced graphene oxide, fullerene, hyaluronic acid [125] | |
| Pul-SH/PDA/MoS2 | Electronic skin, wearable technology | Improves adhesion to wet tissue and flexibility | Enhances tissue adhesion | Potential network defects | Graphene oxide, pullulan, molybdenum disulfide [126] | |
| NGF-AGHC | Nerve repair | Guides axons with conductivity and topographical cues | Cell adhesion promotion | Limited mechanical strength | Reduced graphene oxide, poly(vinyl alcohol), PDA [127] | |
| N.D. | Cartilage regeneration | Enhances cell differentiation via the piezoelectric effect | Enhanced stability | Limited cellular internalization | Barium titanate, graphene oxide [128] | |
| PCBUT (Polyzwitterionic hydrogel) | Infected diabetic wound healing | Regulates wound microenvironment | Antioxidant capacity | Complex preparation process | Carboxybetaine urethane acrylate, zwitterionic monomer [129] | |
| PNI-PAAM/PDA Hybrid Nanogels | Cancer immunotherapy | Captures and delivers antigens to dendritic cells | Strong adhesive properties, High stability | Cytotoxicity at high doses | Manganese dioxide, magnetic metal–organic framework [130] | |
| HD/alum/ICG hydrogel | Immunophototherapy for cancer | Provides CD8+ T-cell immune responses | Photothermal properties | Limited mechanical properties | Alum, ICG [131] | |
| CLDAFR hydrogel | Chronic pain-exacerbated myocardial reperfusion injury | Targets SCG, controlled drug release | Enhanced tissue compatibility | Limited degradation rate | Celecoxib, ropivacaine [132] | |
| C60@PDA/GelMA hydrogel | Skin wound healing | Scavenges ROS, promotes tissue regeneration | Tissue adhesiveness, Antibacterial capacity | Thermal instability | Fullerene nanocomposites, GelMA [133] | |
| FPDA hydrogel | Cardiac repair post-MI | Promotes antioxidant/conductive properties | N.D. | N.D. | α-Tocopherol, Pluronic F127 [108] | |
| HBSS hydrogel | Burn wound healing | Stimulates regenerative gas signaling, eliminates pathogens | Antibacterial properties, Promotes healing | Cytotoxicity at high doses | N-(benzoyl mercapto) benzamide [102] | |
| PNH-CBLs | Bacterial keratitis treatment | Provides antibacterial effects | Antibacterial, Surface modification | Cytotoxicity, Slow deposition | Ag/Cu bimetallic nanoparticles, Heparin [104] | |
| Alum-Tuned Hydrogel | Cancer therapy | Cancer treatment | Cytokines [131] | |||
| GelDA-PDA-PPy Hydrogel | Cardiac repair | Enhanced conductivity and tissue adhesion | Enhanced osteogenesis capacity | Limited clinical efficacy | Astragaloside IV, Gelatin [103] | |
| Gel-pBP@Mg Hydrogel | Myocardial infarction repair | Enhance adhesion and controlled release | N.D. | N.D. | Magnesium, Polysaccharides [108] | |
| Gel-pBP@Mg | Myocardial infarction repair | Stabilizes BPNSs | Enhances material stability | Reacts with oxygen | Magnesium (Mg), Black Phosphorus Nanosheets (BPNSs) [134] | |
| TPQGel | Bone defect repair | Provides antioxidant properties | Antioxidant properties | Limited mechanical properties | Tri-calcium Phosphate (TCP), QK peptide [135] | |
| Sheet/Coating | PDA-rGO electrode | Cardiac repair, self-powered sensor | Bioelectrical stimulation, mechanical energy harvesting | Self-powered, enhanced electroactivity | Increased sheet resistance | Reduced graphene oxide (rGO) [136] |
| PDA@LDHs | Bone regeneration, drug release | Enhancing drug release and scaffold strength | Improved mechanical strength, controlled drug release | Potential burst release of drugs | LDHs, DMOG, eugenol [137] | |
| PDA-heparin modified sponge | Whole blood autotransfusion, anticoagulant | Anticoagulation, blood coagulation factor inactivation | Efficient anticoagulation, rapid sorption | Potential for side effects | Heparin-mimetic polymers (HMP) [138] | |
| PDA melanin-like pigment | Surface biofunctionalization, pigment coating | Progressive assembly, surface modification | Surface adhesion, NIR-to-heat conversion | Adhesive, prone to uncontrolled coating | PAINT initiator-loaded template [139] | |
| PDA@MS and B/PDA@MS | Bone regeneration, stem cell therapy | Improves sEV loading and release | Enhanced sEV loading, optimized release | N.D. | PDA, CaP [140] | |
| MFO coating | Osseointegration in RA, inflammation modulation | Regulates ROS, mitochondria dynamics, Ca2+ overload | Improved osteoimmunomodulation, M2 polarization | N.D. | MnFe2O4 nanoparticles, TiO2 [141] | |
| Sheltered positive charge polymeric coating | Antithrombotic applications, blood-contacting devices | Prevents surface-induced coagulation activation | Prevents thrombogenesis, avoids interfering with hemostasis | Still requires optimization for some clinical applications | Polymer (SpCM), PEG (polyethylene glycol), PDA [142] | |
| Fiber | N.D. | Piezoelectric energy harvesting and sensing | Enhances interfacial adhesion and piezoelectricity | Multifunctional energy harvesting | Challenges in interfacial compatibility | Barium titanate (BTO), Polyvinylidene fluoride (PVDF) [117] |
| Corn protein fiber | Wound healing monitoring, strain sensing | Forms conductive sensing layer | Versatile adhesion | Limited stability | Silver [143] | |
| PDA-mSF composite patch | Periodontal tissue regeneration in diabetes | ROS scavenging, inflammation modulation | Anti-inflammatory, promotes periodontal regeneration | Limited specificity in targeting | Metformin-ZIF system [144] | |
| Fe3O4@PDA hydrospongel | Localized drug delivery, tumor ablation, chemotherapy, magnetothermal therapy | Enhances drug release, photothermal properties | Enhanced drug delivery, tumor-targeted therapy, high mechanical stability | Potential iron toxicity, limited degradation rate | Fe3O4 nanoparticles, cellulose nanofibers, PDA [145] | |
| PFS@AM/CeO2 | Bone repair, inflammation reversal | Adhesion and loading of enzymes | Activates macrophage efferocytosis | N.D. | Apoptosis-mimetic CeO2 nanoenzymes [146] | |
| PLLA/CFO fiber | Wound healing via multibiophysical stimuli | Facilitates magnetic, mechanical, and electrical stimulation | Enhanced interfacial coupling | Nondegradability | CFO nanoparticles, PLLA (Poly(lactic acid)) [116] |
4.4. Polydopamine Nanoparticles
4.5. Irregularly Shaped Nanoparticles

4.6. Mesoporous Polydopamine

4.7. Polydopamine Spheres
4.8. Polydopamine Hollow Capsules
4.9. Polydopamine Rods
| Name | Size/ Diameter | Applications | Function of PDA | Advantages | Disadvantages | Other Functional Components | |
|---|---|---|---|---|---|---|---|
| Particles | Pt@PDA nanobowls | 220–270 nm | Thrombolytic therapy | Photothermal conversion | Excellent catalytic performance | Limited motion under certain conditions | Platinum nanoparticles (Pt), PC liposomes [183] |
| ZIF-8@PDA NPs (MOF PDA nanoparticles) | 109.08 ± 0.8 nm | RNAi delivery, pest control (S. frugiperda) | Protects dsRNA from degradation, enhances uptake | Enhanced stability of dsRNA, synergistic effects with gut bacteria | Limited efficiency in some pest species | ZIF-8 (zeolitic imidazolate framework), dsRNA (double-stranded RNA) [184] | |
| ICPs@PDA/CuO2 NPs | 116.45 ± 18.32 nm | Tumor therapy with PTT, CDT, and CT | Nanoparticle stability and drug delivery | High therapeutic efficiency, tunable ratio of drugs | Limited PTT efficiency at deeper tumors | PDA-Fe, CuO2, DOX, Gossypol [185] | |
| CMPBC (Cisplatin-loaded MSN/PB@CWL) | 180 nm | Targeted drug delivery, cancer therapy | Self-thermophoretic propulsion, gas generation | Improved drug delivery efficiency, reduced side effects | Limited penetration in certain areas | MSN (mesoporous silica), PB (PDA-loaded nitric oxide donor), CWL (Lactobacillus rhamnosus GG cell wall) [186] | |
| AGPDA nanoparticles | ~53.1 nm to 210 nm | Vaccine delivery, antigen presentation | Antigen presentation, immune modulation | Enhanced immune response, simple preparation | Limited clinical validation | miRNA, antigenic proteins [187] | |
| FMn@PMS | ~280 nm | RA treatment, drug delivery | Cartilage adhesion, drug release | Improved joint retention, ROS response | Degradation in non-ROS conditions | MnO2, rapamycin [188] | |
| PDA@EM | 83.5 ± 6.7 nm | Cancer diagnostics, subtype discrimination | Fluorescence quenching and restoration mechanism | High sensitivity, rapid profiling | Fluorescence quenching limitations | Erythrocyte membranes, fluorescent proteins [189] | |
| PDA-BP-ZnO composite | N.D. | Antibacterial, medical implants | Enhance corrosion resistance, antibacterial properties | Improved biocompatibility, antibacterial effect | Photothermal effect degradation under prolonged use | Black Phosphorus, Zinc Oxide [190] | |
| PDA-CRISPR–Cas system | ~200 nm | Tumor gene therapy, gene editing | Tumor targeting, gene delivery | Deep tissue penetration, precise gene editing | Potential immune response, stability | CRISPR–Cas system [191] | |
| SPzyme | Diameter ~1 μm (spores) | Colitis treatment, ROS scavenging | Enhance spore germination | ROS scavenging, precise targeting | Limited to colitis treatment | Palladium nanoparticles, spore nutrient germinant [192] | |
| AGPDA, APDA | ~53.1 nm to 210 nm | Atherosclerosis treatment, miRNA delivery | Antioxidant, drug delivery, MRI contrast | Enhanced ROS scavenging, biocompatibility | Limited stability in harsh environments | Gadolinium (Gd3+), Arginine (Arg), miR-146a [193] | |
| BaSO4@PDA@CeO2/DSP (BPCD) | N.D. | IBD treatment, CT imaging | Scavenges ROS, delivers drugs | Reduced ROS, targeted drug delivery | Toxicity risk, system complexity | CeO2, DSP [194] | |
| Tm@PDA-GA | 131.8–5.6 nm | TNBC therapy, immune response | Drug loading, targeting | Enhanced immune response, drug penetration | N.D. | 4T1 cell membrane, GA [195] | |
| PDA (pD) and polynorepinephrine (pNE) coatings | 200 nm | Drug delivery, stabilization of nanocrystals | Surface functionalization, stabilization | High grafting density, stability improvements | Rapid clearance, liver uptake | PEG, polycatecholamines [196] | |
| CuS@PDA | 236.9–11.1 nm | Biofilm Elimination, Antibacterial | Photothermal Conversion | Biofilm Disruption, Antibacterial, Synergistic Effect | Limited by NIR Absorption Spectrum | KG7 Peptide, CuS Nanoparticles [197] | |
| PDA Nanoparticles (PDNPs) | 197.5–8.4 nm | Neuron and Myotube Activity Modulation | Photothermal Activation | Biocompatibility, Biodegradability, Antioxidant Properties | Potential Oxidative Stress During NIR Irradiation | Catechol, Quinone Reactive Groups [198] | |
| i-crystal | 200 nm thickness | Controlled insulin release | Regulate insulin release | High insulin loading, prolonged release | Potential low stability over long-term use | Poly-L-lysine, FPBA microdomains [199] | |
| PtHD (Platinum-hyaluronic acid-poldopamine nanoparticle) | 100.1 ± 3.0 nm | Gouty arthritis treatment, inflammation control | Catalytic activity for urate removal, photothermal effects | Multimodal therapy: urate removal, macrophage reprogramming, inflammation control | Potential immune response issues, complex system to produce | Platinum nanoparticles, hyaluronic acid, liposomes, M2 macrophage exosomes [200] | |
| Lv/Hb-PDA | 50–200 nm | Tumor-targeted drug delivery | Facilitates self-assembly | Enhanced colloidal stability | Limited degradation | Lovastatin, Hemoglobin [124] | |
| PCN-DOX@PDA | N.D. | Tumor diagnosis, drug delivery | Photothermal agent, drug release | Enhanced absorption properties, High biocompatibility | Limited size control, Potential for toxicity | Fe-MOF, Doxorubicin [201] | |
| PLNP@PDA@DMMA/DOX | 17.37 ± 1.57 nm | Tumor imaging, chemo-PTT therapy | Tumor-targeting, stability | Enhanced stability, Functional versatility | Limited drug loading, Potential cytotoxicity | Doxorubicin, DMMA, PEG [202] | |
| Pt0.8Co0.2@NC | ~3.43 nm | Oxygen reduction, catalyst | Prevent Pt leaching, enhance stability | Enhanced stability, Antipoisoning ability | Reduced ORR activity with thick coatings | Nitrogen-doped graphene, Co [203] | |
| tBT@PDA-CPT NPs | N.D. | Tumor therapy, cell internalization | Enhance cell internalization | Biocompatibility, Biodegradability | Potential toxicity | Camptothecin (CPT), BaTiO3 [204] | |
| PDA@siBRAF/CaP | N.D. | Melanoma therapy | Enhance drug delivery | Enhanced drug delivery, Biocompatibility | Limited stability under neutral pH, Potential toxicity | Calcium phosphate (CaP) [165] | |
| Fe-BTC@PDA | N.D. | Pt adsorption | Enhance Pt recovery | Enhanced stability, | Limited regeneration efficiency | Thiol groups (DIP) [205] | |
| NDC Nanocages | N.D. | Tumor cell identification | Enhance SERS sensitivity | Biocompatibility | SERS signal suppression | Nitrogen doping (N) [206] | |
| CuSAE | N.D. | Tumor therapy | Enhance tumor penetration | High stability, Efficient internalization | Limited therapeutic activity | Glucose oxidase (GOx) [207] | |
| Co-SAEs/HNCS | N.D. | Cancer therapy | Enhance ROS generation | Photothermal conversion | Limited penetration depth | Hollow N-doped carbon sphere (HNCS) [208] | |
| PDA@SiO2 composite nanoparticles | Pore sizes: 15.4−86.5 nm | Cargo delivery, nanomotors | Multisized pores, tunable | On-demand drug delivery | Excessive porosity reduces integrity | SiO2 [170] | |
| PFV/CaCO3/PDA@PEG | N.D. | Antimetastasis, PDT | Calcium release, adhesion enhancement | High biocompatibility, efficient ROS generation | Limited stability under neutral pH | PFV, CaCO3, PDA, PEG [169] | |
| Pt−Ni nanoparticles | N.D. | Oxidase-like activity, biosensing | Oxidase-like activity | Robust antioxidants | Background signal interference | Nickel, Platinum [209] | |
| PDA@QLipo | N.D. | Hair regrowth, AGA treatment | ROS scavenging, angiogenesis | Biocompatibility, anti-inflammatory effects | Potential toxicity | Quercetin, Lipo [168] | |
| Cuf-TMB@PDA nanoparticles | N.D. | Antibacterial wound healing | Scavenges ROS, improves antibacterial efficacy | Enhanced antimicrobial properties | Limited long-term stability | Copper (Cu) [210] | |
| PD-G-MSNPs (Mesoporous Silica Nanoparticles) | ~250–300 nm | Glutamine delivery for islet survival | Controlled nutrient release | Biocompatible | Potential toxicity | Glutamine (G), PD coating [65] | |
| Mesoporous Structure | mPDA | N.D. | Scavenges ROS, inhibits neuroinflammation | Provides antioxidative properties | Efficient ROS scavenging | Precision treatment challenge | Minocycline (drug) [174] |
| mPDA-SeMn-IR | 228.3 ± 15.6 nm | Parkinson’s disease therapy | Antioxidant, photothermal, and neurostimulation functions | Simultaneous neuroprotection and modulation | Limited by the challenge of long-term treatment | SePh, MnO2, IR-1048 [211] | |
| Fe3O4@SiO2&mPDA | Diameter ~464 nm | Biofilm destruction, wound healing | Wetting behavior manipulation at the interface | Enhanced nanomotor properties, biofilm penetration | Limited to biofilm and wound healing | Magnetic nanoparticles, lanthanide fluorescent nanoparticles, Au nanorods [212] | |
| PDA-modified PLGA microscaffolds | ~200 μm | Bone regeneration | Adsorption of sEVs | Enhanced loading efficiency | Limited release duration without biomineralization | CaP biomineralization [140] | |
| Mesoporous Carbon (MC) | N.D. | CO2 reduction | Modifies the electronic structure for reduced activation energy | Biocompatibility, Drug delivery | Toxicity concerns, Complex synthesis | Manganese (Mn) [171] | |
| (mPDA) | N.D. | Enhances antitumor immunity via photothermal therapy | Provides a photothermal effect | High biocompatibility | Instability in circulation | Salmonella-derived membrane vesicles [213] | |
| MSN&mPDA (Mesoporous Silica and PDA) | ~150 nm (MSN); ~120 nm (mPDA) | Used in biological logic gates, drug delivery | Provides surface functionalization for logic gates | Biocompatibility, Targeted drug delivery | Limited loading capacity | No additional components [175] | |
| Mesoporous WO3 | ~180 nm | Sensing biomarkers for foodborne bacteria | Enhances gas-sensing properties | Biocompatibility, Drug delivery | Toxicity concerns, High production cost | Phosphorus (P) [214] | |
| Fe3O4@DMS&PDA@MnO2-SRF | 170 nm | Boosting ferroptosis in tumor therapy | Synergizing GSH depletion and ferroptosis | Targeted drug delivery | Ferroptosis inhibition | MnO2, SRF [215] | |
| Nano Sphere | AM/GW@PDA | N.D. | Immune modulation, hepatocellular carcinoma | Targeting exosome biogenesis and PD-L1 expression | Tumor-specific targeting, immune modulation | Limited release and degradation control | GW4869, amlodipine (AM) [216] |
| MLS [185] | 15 nm shell thickness | Cell protection, biocompatibility | Shell formation via dopamine oxidation | Enhanced protection, adaptability | Limited scalability of the process | Saccharomyces cerevisiae, alcohol oxidase, horseradish peroxidase [217] | |
| Dp825/ARS@PDA−Fe(III)−FA ICP NCPs | 111.9 ± 37.1 nm | Tumor targeting and therapy | Stability, drug release | High drug loading, stability | Limited tumor penetration | IR825, DOX, FA, Fe(III) [218] | |
| PS@PDA-ICG | 1 μm | Photothermal therapy, NIR imaging | Encapsulation, fluorescence enhancement | High biocompatibility, efficient propulsion | Complex fabrication, potential fluorescence quenching | ICG, PS core [219] | |
| PS@PDA-ICG | N.D. | Tumor photothermal therapy | Shell for fluorescence and propulsion | Active motion, real-time tracking | N.D. | ICG (fluorescent agent) [219] | |
| ZnO-Ag-mercaptoacetamide@chitosan (ZAN@CS) | N.D. | H. pylori eradication with gut microbiota protection | Active targeting, mucosal penetration | Targeting capability | Potential gut flora disruption | ZnO, Ag, mercaptoacetamide, chitosan [176] | |
| Synthetic melanin nanoparticles | 70–500 nm | Mimic skin phototypes for biomedical optics | Light absorption and scattering for PA imaging | Good biocompatibility | Potential toxicity, Aggregation issues | None [220] | |
| PDA | N.D. | Bone repair and tumor treatment | Photothermal and prodrug release | Drug delivery system | Potential toxicity, Limited stability | Pt(IV) prodrug [221] | |
| Capsule | CuS@PPDA nanoplatform | 220–255 nm | Biofilm disruption | Enhance adhesion, stability | High photothermal efficiency, biofilm penetration | Reduced light absorption efficiency | CuS nanoparticles [197] |
| Gold Nanorods (AuNRs) | Length: 81.6 ± 9.3 nm, Diameter: 18.0 ± 2.4 nm | Tumor therapy, photocatalysis, sensing | To suppress the cytotoxicity of CTAB, enhance the plasmonic properties | Targeted drug delivery | Possible aggregation | PEG, PEGylated graphene oxide, Rhodamine 123 [181] | |
| Fe3O4@Au Hybrid Nanorods | Fe3O4 NRs: 20 nm × 110 nm, Au NRs: 41 ± 4 × 93 ± 8 nm | Magnetic alignment for photoacoustic imaging | Magnetic alignment, modulation of plasmonic excitation | Biocompatibility | Signal noise | PEG, cystamine [222] | |
| Nano Rod | Au Nanorods, Au@Ag Nanorods | Au Nanorods: 41 ± 4 × 93 ± 8 nm | FRET efficiency enhancement, biosensing | Self-assembly, FRET enhancement | Biocompatibility | Limited spectral tuning flexibility | PEG, Au@Ag [223] |
| Gold Nanorods (GNRs) | Length: 54 ± 2 nm, Diameter: 15 ± 1 nm | Tumor therapy (chemo-thermal therapy) | To suppress the cytotoxicity of CTAB, high cisplatin loading, stable iodine-125 labeling | Targeted delivery, Stability enhancement | Potential cytotoxicity | PEG (Polyethylene glycol), Cisplatin, RGD peptides, Iodine-125 [224] |
4.10. Other Types
5. Applications
5.1. Cancer Treatment
5.2. Chemodynamical Therapy
5.3. Drug Delivery System
5.4. Immune Modulation
5.5. Anti-Inflammatory Effects
5.6. Photothermal Therapy
5.7. Tissue Repair
6. Potential Future Applications
7. Outlook and Future Perspectives
Author Contributions
Funding
Data Availability Statement
Acknowledgments
Conflicts of Interest
Abbreviations
References
- Wu, W.; Lu, Z.; Lu, C.; Sun, X.; Ni, B.; Cölfen, H.; Xiong, R. Bioinspired Stabilization of Amorphous Calcium Carbonate by Carboxylated Nanocellulose Enables Mechanically Robust, Healable, and Sensing Biocomposites. ACS Nano 2023, 17, 6664–6674. [Google Scholar] [CrossRef] [PubMed]
- Jiang, L.; Li, Y.; Cao, Y.; Gan, D.; Zou, F.; Yuan, L.; Zhang, D.; Xie, C.; Lu, X. Polydopamine-Mediated Nanofillers Reinforced Zwitterion Hydrogel Electrodes for Supercapacitors in Bioelectronics. Nano Lett. 2025, 25, 2939–2948. [Google Scholar] [CrossRef] [PubMed]
- Jia, W.; Wang, T.; Chen, F.; Liu, Z.; Hou, X.; Cao, W.; Zhao, X.; Lu, B.; Hu, Y.; Dong, Y.; et al. Low-Intensity Pulsed Ultrasound Responsive Scaffold Promotes Intramembranous and Endochondral Ossification via Ultrasonic, Thermal, and Electrical Stimulation. ACS Nano 2025, 19, 4422–4439. [Google Scholar] [CrossRef] [PubMed]
- Dellatolas, I.; Bantawa, M.; Damerau, B.; Guo, M.; Divoux, T.; Del Gado, E.; Bischofberger, I. Local Mechanism Governs Global Reinforcement of Nanofiller-Hydrogel Composites. ACS Nano 2023, 17, 20939–20948. [Google Scholar] [CrossRef]
- Peng, X.; Zhang, J.; Xiao, P. Photopolymerization Approach to Advanced Polymer Composites: Integration of Surface-Modified Nanofillers for Enhanced Properties. Adv. Mater. 2024, 36, e2400178. [Google Scholar] [CrossRef]
- Zhu, X.; Ji, X.; Kong, N.; Chen, Y.; Mahmoudi, M.; Xu, X.; Ding, L.; Tao, W.; Cai, T.; Li, Y.; et al. Intracellular Mechanistic Understanding of 2D MoS(2) Nanosheets for Anti-Exocytosis-Enhanced Synergistic Cancer Therapy. ACS Nano 2018, 12, 2922–2938. [Google Scholar] [CrossRef]
- Li, K.; Xu, K.; Liu, S.; He, Y.; Tan, M.; Mao, Y.; Yang, Y.; Wu, J.; Feng, Q.; Luo, Z.; et al. All-in-One Engineering Multifunctional Nanoplatforms for Sensitizing Tumor Low-Temperature Photothermal Therapy In Vivo. ACS Nano 2023, 17, 20218–20236. [Google Scholar] [CrossRef]
- Yang, J.; Du, L.; Du, H.; Yang, G.; Fu, W.; Zhai, L.; Yang, Z.; Chen, S.; Yang, Q.; Wan, W. Bioinspired Immunomodulatory Scaffold Based on Mineralized Lotus Stalks Laden with MnCO Microspheres for Accelerated Bone Regeneration. Adv. Mater. 2025, 37, e2502919. [Google Scholar] [CrossRef]
- Hemmatpour, H.; De Luca, O.; Crestani, D.; Stuart, M.C.; Lasorsa, A.; van der Wel, P.C.; Loos, K.; Giousis, T.; Haddadi-Asl, V.; Rudolf, P. New insights in polydopamine formation via surface adsorption. Nat. Commun. 2023, 14, 664. [Google Scholar] [CrossRef]
- Wu, M.X.; Yang, Y.W. Metal-Organic Framework (MOF)-Based Drug/Cargo Delivery and Cancer Therapy. Adv. Mater. 2017, 29, 1606134. [Google Scholar] [CrossRef]
- Kim, T.G.; Shin, H.; Lim, D.W. Biomimetic scaffolds for tissue engineering. Adv. Funct. Mater. 2012, 22, 2446–2468. [Google Scholar] [CrossRef]
- Chu, B.; Chen, Z.; Wu, X.; Shi, H.; Jin, X.; Song, B.; Cui, M.; Zhao, Y.; Zhao, Y.; He, Y. Photoactivated gas-generating nanocontrast agents for long-term ultrasonic imaging-guided combined therapy of tumors. ACS Nano 2024, 18, 15590–15606. [Google Scholar] [CrossRef] [PubMed]
- Huang, Y.; Mu, L.; Zhao, X.; Han, Y.; Guo, B. Bacterial growth-induced tobramycin smart release self-healing hydrogel for Pseudomonas aeruginosa-infected burn wound healing. ACS Nano 2022, 16, 13022–13036. [Google Scholar] [CrossRef] [PubMed]
- Li, Y.; Zhang, Q.; Wang, Y.; Li, S.; Jiang, C.; Lu, L. Ultrasound-Induced In Situ Dopamine Polymerization and Deep Mucosal Penetration for Intraluminal Drug Administration. ACS Nano 2024, 18, 20611–20623. [Google Scholar] [CrossRef]
- Lee, H.; Lee, B.P.; Messersmith, P.B. A reversible wet/dry adhesive inspired by mussels and geckos. Nature 2007, 448, 338–341. [Google Scholar] [CrossRef]
- Guo, Y.; Ma, Y.; Chen, X.; Li, M.; Ma, X.; Cheng, G.; Xue, C.; Zuo, Y.Y.; Sun, B. Mucus penetration of surface-engineered nanoparticles in various pH microenvironments. ACS Nano 2023, 17, 2813–2828. [Google Scholar] [CrossRef]
- Wei, W.; Petrone, L.; Tan, Y.; Cai, H.; Israelachvili, J.N.; Miserez, A.; Waite, J.H. An underwater surface-drying peptide inspired by a mussel adhesive protein. Adv. Funct. Mater. 2016, 26, 3496–3507. [Google Scholar] [CrossRef]
- Pinnaratip, R.; Bhuiyan, M.S.A.; Meyers, K.; Rajachar, R.M.; Lee, B.P. Multifunctional biomedical adhesives. Adv. Healthc. Mater. 2019, 8, 1801568. [Google Scholar] [CrossRef]
- Xia, Y.; Chen, Z.; Zheng, Z.; Chen, H.; Chen, Y. Nanomaterial-integrated injectable hydrogels for craniofacial bone reconstruction. J. Nanobiotechnol. 2024, 22, 525. [Google Scholar] [CrossRef]
- Heil, C.M.; Patil, A.; Vanthournout, B.; Singla, S.; Bleuel, M.; Song, J.-J.; Hu, Z.; Gianneschi, N.C.; Shawkey, M.D.; Sinha, S.K. Mechanism of structural colors in binary mixtures of nanoparticle-based supraballs. Sci. Adv. 2023, 9, eadf2859. [Google Scholar] [CrossRef]
- Tiwari, J.N.; Vij, V.; Kemp, K.C.; Kim, K.S. Engineered carbon-nanomaterial-based electrochemical sensors for biomolecules. ACS Nano 2016, 10, 46–80. [Google Scholar] [CrossRef] [PubMed]
- Shi, H.; Zhang, W.; Liu, X.; Zeng, S.; Yu, T.; Zhou, C. Synergistic effects of citric acid-sodium alginate on physicochemical properties of α-tricalcium phosphate bone cement. Ceram. Int. 2019, 45, 2146–2152. [Google Scholar] [CrossRef]
- Macknojia, A.; Ayyagari, A.; Zambrano, D.; Rosenkranz, A.; Shevchenko, E.V.; Berman, D. Macroscale superlubricity induced by MXene/MoS2 nanocomposites on rough steel surfaces under high contact stresses. ACS Nano 2023, 17, 2421–2430. [Google Scholar] [CrossRef] [PubMed]
- Lim, C.; Park, C.; Sunwoo, S.-H.; Kim, Y.G.; Lee, S.; Han, S.I.; Kim, D.; Kim, J.H.; Kim, D.-H.; Hyeon, T. Facile and scalable synthesis of whiskered gold nanosheets for stretchable, conductive, and biocompatible nanocomposites. ACS Nano 2022, 16, 10431–10442. [Google Scholar] [CrossRef]
- Gu, C.; Wang, Z.; Pan, Y.; Zhu, S.; Gu, Z. Tungsten-based nanomaterials in the biomedical field: A bibliometric analysis of research progress and prospects. Adv. Mater. 2023, 35, 2204397. [Google Scholar] [CrossRef]
- Liu, W.L.; Zou, M.Z.; Qin, S.Y.; Cheng, Y.J.; Ma, Y.H.; Sun, Y.X.; Zhang, X.Z. Recent advances of cell membrane-coated nanomaterials for biomedical applications. Adv. Funct. Mater. 2020, 30, 2003559. [Google Scholar] [CrossRef]
- Lee, H.A.; Park, E.; Lee, H. Polydopamine and its derivative surface chemistry in material science: A focused review for studies at KAIST. Adv. Mater. 2020, 32, 1907505. [Google Scholar] [CrossRef]
- Kong, N.; Zhang, H.; Feng, C.; Liu, C.; Xiao, Y.; Zhang, X.; Mei, L.; Kim, J.S.; Tao, W.; Ji, X. Arsenene-mediated multiple independently targeted reactive oxygen species burst for cancer therapy. Nat. Commun. 2021, 12, 4777. [Google Scholar] [CrossRef]
- Sha, B.; Zhao, S.; Gu, M.; Khodagholy, D.; Wang, L.; Bi, G.-Q.; Du, Z. Doping-induced assembly interface for noninvasive in vivo local and systemic immunomodulation. Proc. Natl. Acad. Sci. USA 2023, 120, e2306777120. [Google Scholar] [CrossRef]
- Sauvage, F.; Nguyen, V.P.; Li, Y.; Harizaj, A.; Sebag, J.; Roels, D.; Van Havere, V.; Peynshaert, K.; Xiong, R.; Fraire, J.C. Laser-induced nanobubbles safely ablate vitreous opacities in vivo. Nat. Nanotechnol. 2022, 17, 552–559. [Google Scholar] [CrossRef]
- Montes-García, V.; Samorì, P. Janus 2D materials via asymmetric molecular functionalization. Chem. Sci. 2022, 13, 315–328. [Google Scholar] [CrossRef]
- Liu, Y.; Liu, J.; Chen, S.; Lei, T.; Kim, Y.; Niu, S.; Wang, H.; Wang, X.; Foudeh, A.M.; Tok, J.B.-H. Soft and elastic hydrogel-based microelectronics for localized low-voltage neuromodulation. Nat. Biomed. Eng. 2019, 3, 58–68. [Google Scholar] [CrossRef] [PubMed]
- Xu, X.; Bai, B.; Wang, H.; Suo, Y. A near-infrared and temperature-responsive pesticide release platform through core–shell polydopamine@ PNIPAm nanocomposites. ACS Appl. Mater. Interfaces 2017, 9, 6424–6432. [Google Scholar] [CrossRef] [PubMed]
- Goldmann, A.S.; Boase, N.R.; Michalek, L.; Blinco, J.P.; Welle, A.; Barner-Kowollik, C. Adaptable and reprogrammable surfaces. Adv. Mater. 2019, 31, 1902665. [Google Scholar] [CrossRef] [PubMed]
- Sedó, J.; Saiz-Poseu, J.; Busqué, F.; Ruiz-Molina, D. Catechol-based biomimetic functional materials. Adv. Mater. 2013, 25, 653–701. [Google Scholar] [CrossRef]
- Saiz-Poseu, J.; Mancebo-Aracil, J.; Nador, F.; Busqué, F.; Ruiz-Molina, D. Die chemischen Grundlagen der Adhäsion von Catechol. Angew. Chem. 2019, 131, 706–725. [Google Scholar] [CrossRef]
- Repenko, T.; Fokong, S.; De Laporte, L.; Go, D.; Kiessling, F.; Lammers, T.; Kuehne, A.J. Water-soluble dopamine-based polymers for photoacoustic imaging. Chem. Commun. 2015, 51, 6084–6087. [Google Scholar] [CrossRef]
- Shao, H.; Stewart, R.J. Biomimetic underwater adhesives with environmentally triggered setting mechanisms. Adv. Mater. 2010, 22, 729. [Google Scholar] [CrossRef]
- Poppinga, S.; Zollfrank, C.; Prucker, O.; Rühe, J.; Menges, A.; Cheng, T.; Speck, T. Toward a new generation of smart biomimetic actuators for architecture. Adv. Mater. 2018, 30, 1703653. [Google Scholar] [CrossRef]
- Yah, W.O.; Xu, H.; Soejima, H.; Ma, W.; Lvov, Y.; Takahara, A. Biomimetic dopamine derivative for selective polymer modification of halloysite nanotube lumen. J. Am. Chem. Soc. 2012, 134, 12134–12137. [Google Scholar] [CrossRef]
- Yu, X.; Fan, H.; Wang, L.; Jin, Z. Formation of polydopamine nanofibers with the aid of folic acid. Angew. Chem. Int. Ed. 2014, 53, 12600–12604. [Google Scholar] [CrossRef] [PubMed]
- Rodriguez-Emmenegger, C.; Preuss, C.M.; Yameen, B.; Pop-Georgievski, O.; Bachmann, M.; Mueller, J.O.; Bruns, M.; Goldmann, A.S.; Bastmeyer, M.; Barner-Kowollik, C. Controlled cell adhesion on poly (dopamine) interfaces photopatterned with non-fouling brushes. Adv. Mater. 2013, 25, 6123–6127. [Google Scholar] [CrossRef] [PubMed]
- Park, J.; Brust, T.F.; Lee, H.J.; Lee, S.C.; Watts, V.J.; Yeo, Y. Polydopamine-based simple and versatile surface modification of polymeric nano drug carriers. ACS Nano 2014, 8, 3347–3356. [Google Scholar] [CrossRef] [PubMed]
- Zhou, J.; Wang, P.; Wang, C.; Goh, Y.T.; Fang, Z.; Messersmith, P.B.; Duan, H. Versatile core–shell nanoparticle@ metal–organic framework nanohybrids: Exploiting mussel-inspired polydopamine for tailored structural integration. ACS Nano 2015, 9, 6951–6960. [Google Scholar] [CrossRef]
- Ma, F.X.; Wu, H.B.; Xia, B.Y.; Xu, C.Y.; Lou, X.W. Hierarchical β-Mo2C nanotubes organized by ultrathin nanosheets as a highly efficient electrocatalyst for hydrogen production. Angew. Chem. Int. Ed. 2015, 54, 15395–15399. [Google Scholar] [CrossRef]
- Li, Z.; Zhang, J.; Guan, B.; Wang, D.; Liu, L.-M.; Lou, X.W. A sulfur host based on titanium monoxide@ carbon hollow spheres for advanced lithium–sulfur batteries. Nat. Commun. 2016, 7, 13065. [Google Scholar] [CrossRef]
- Guo, J.; Tardy, B.L.; Christofferson, A.J.; Dai, Y.; Richardson, J.J.; Zhu, W.; Hu, M.; Ju, Y.; Cui, J.; Dagastine, R.R. Modular assembly of superstructures from polyphenol-functionalized building blocks. Nat. Nanotechnol. 2016, 11, 1105–1111. [Google Scholar] [CrossRef]
- Horejs, C.-M.; St-Pierre, J.-P.; Ojala, J.R.; Steele, J.A.; da Silva, P.B.; Rynne-Vidal, A.; Maynard, S.A.; Hansel, C.S.; Rodriguez-Fernandez, C.; Mazo, M.M. Preventing tissue fibrosis by local biomaterials interfacing of specific cryptic extracellular matrix information. Nat. Commun. 2017, 8, 15509. [Google Scholar] [CrossRef]
- Kim, S.H.; Im, S.-K.; Oh, S.-J.; Jeong, S.; Yoon, E.-S.; Lee, C.J.; Choi, N.; Hur, E.-M. Anisotropically organized three-dimensional culture platform for reconstruction of a hippocampal neural network. Nat. Commun. 2017, 8, 14346. [Google Scholar] [CrossRef]
- Xiong, Q.; Lim, C.Y.; Ren, J.; Zhou, J.; Pu, K.; Chan-Park, M.B.; Mao, H.; Lam, Y.C.; Duan, H. Magnetic nanochain integrated microfluidic biochips. Nat. Commun. 2018, 9, 1743. [Google Scholar] [CrossRef]
- Nam, J.; Son, S.; Ochyl, L.J.; Kuai, R.; Schwendeman, A.; Moon, J.J. Chemo-photothermal therapy combination elicits anti-tumor immunity against advanced metastatic cancer. Nat. Commun. 2018, 9, 1074. [Google Scholar] [CrossRef] [PubMed]
- Song, C.; Zhang, X.; Wang, L.; Wen, F.; Xu, K.; Xiong, W.; Li, C.; Li, B.; Wang, Q.; Xing, M.M. An injectable conductive three-dimensional elastic network by tangled surgical-suture spring for heart repair. ACS Nano 2019, 13, 14122–14137. [Google Scholar] [CrossRef] [PubMed]
- Le, Q.-V.; Suh, J.; Choi, J.J.; Park, G.T.; Lee, J.W.; Shim, G.; Oh, Y.-K. In situ nanoadjuvant-assembled tumor vaccine for preventing long-term recurrence. ACS Nano 2019, 13, 7442–7462. [Google Scholar] [CrossRef] [PubMed]
- Zhou, J.; Lin, Z.; Penna, M.; Pan, S.; Ju, Y.; Li, S.; Han, Y.; Chen, J.; Lin, G.; Richardson, J.J. Particle engineering enabled by polyphenol-mediated supramolecular networks. Nat. Commun. 2020, 11, 4804. [Google Scholar] [CrossRef]
- Wu, X.; Zhao, H.; Natalia, A.; Lim, C.Z.; Ho, N.R.; Ong, C.-A.J.; Teo, M.C.; So, J.B.; Shao, H. Exosome-templated nanoplasmonics for multiparametric molecular profiling. Sci. Adv. 2020, 6, eaba2556. [Google Scholar] [CrossRef]
- Peng, L.; Peng, H.; Liu, Y.; Wang, X.; Hung, C.-T.; Zhao, Z.; Chen, G.; Li, W.; Mai, L.; Zhao, D. Spiral self-assembly of lamellar micelles into multi-shelled hollow nanospheres with unique chiral architecture. Sci. Adv. 2021, 7, eabi7403. [Google Scholar] [CrossRef]
- Hu, S.; Pei, X.; Duan, L.; Zhu, Z.; Liu, Y.; Chen, J.; Chen, T.; Ji, P.; Wan, Q.; Wang, J. A mussel-inspired film for adhesion to wet buccal tissue and efficient buccal drug delivery. Nat. Commun. 2021, 12, 1689. [Google Scholar] [CrossRef]
- Wang, S.; Nie, Y.; Zhu, H.; Xu, Y.; Cao, S.; Zhang, J.; Li, Y.; Wang, J.; Ning, X.; Kong, D. Intrinsically stretchable electronics with ultrahigh deformability to monitor dynamically moving organs. Sci. Adv. 2022, 8, eabl5511. [Google Scholar] [CrossRef]
- Liu, Y.; Zheng, M.; O’Connor, B.; Dong, J.; Zhu, Y. Curvilinear soft electronics by micromolding of metal nanowires in capillaries. Sci. Adv. 2022, 8, eadd6996. [Google Scholar] [CrossRef]
- Liu, S.; Jiang, Y.; Liu, P.; Yi, Y.; Hou, D.; Li, Y.; Liang, X.; Wang, Y.; Li, Z.; He, J. Single-atom gadolinium nano-contrast agents with high stability for tumor T 1 magnetic resonance imaging. ACS Nano 2023, 17, 8053–8063. [Google Scholar] [CrossRef]
- Liu, M.; Shang, C.; Zhao, T.; Yu, H.; Kou, Y.; Lv, Z.; Hou, M.; Zhang, F.; Li, Q.; Zhao, D. Site-specific anisotropic assembly of amorphous mesoporous subunits on crystalline metal–organic framework. Nat. Commun. 2023, 14, 1211. [Google Scholar] [CrossRef]
- Jiang, Z.; Liu, X.; Liu, X.-Z.; Huang, S.; Liu, Y.; Yao, Z.-C.; Zhang, Y.; Zhang, Q.-H.; Gu, L.; Zheng, L.-R. Interfacial assembly of binary atomic metal-Nx sites for high-performance energy devices. Nat. Commun. 2023, 14, 1822. [Google Scholar] [CrossRef] [PubMed]
- Wang, Y.; Xu, X.; Fang, Y.; Yang, S.; Wang, Q.; Liu, W.; Zhang, J.; Liang, D.; Zhai, W.; Qian, K. Self-Assembled Hyperbranched Gold Nanoarrays Decode Serum United Urine Metabolic Fingerprints for Kidney Tumor Diagnosis. ACS Nano 2024, 18, 2409–2420. [Google Scholar] [CrossRef]
- Liu, Y.; Wang, S.; Zhang, J.; Sun, Q.; Xiao, Y.; Chen, J.; Yao, M.; Zhang, G.; Huang, Q.; Zhao, T. Reprogramming the myocardial infarction microenvironment with melanin-based composite nanomedicines in mice. Nat. Commun. 2024, 15, 6651. [Google Scholar] [CrossRef] [PubMed]
- Primavera, R.; Wang, J.; Buchwald, P.; Ganguly, A.; Patel, S.; Bettencourt, L.; Chetty, S.; Yarani, R.; Regmi, S.; Levitte, S. Controlled Nutrient Delivery to Pancreatic Islets Using Polydopamine-Coated Mesoporous Silica Nanoparticles. Nano Lett. 2025, 25, 939–950. [Google Scholar] [CrossRef] [PubMed]
- Zhang, X.; Yang, H.; He, Y.; Zhang, D.; Lu, G.; Ren, M.; Lyu, Y.; Yuan, Z.; He, S. Yeast-inspired orally-administered nanocomposite scavenges oxidative stress and restores gut immune homeostasis for inflammatory bowel disease treatment. ACS Nano 2025, 19, 7350–7369. [Google Scholar] [CrossRef]
- Lee, H.; Dellatore, S.M.; Miller, W.M.; Messersmith, P.B. Mussel-inspired surface chemistry for multifunctional coatings. Science 2007, 318, 426–430. [Google Scholar] [CrossRef]
- Lee, H.; Scherer, N.F.; Messersmith, P.B. Single-molecule mechanics of mussel adhesion. Proc. Natl. Acad. Sci. USA 2006, 103, 12999–13003. [Google Scholar] [CrossRef]
- Della Vecchia, N.F.; Avolio, R.; Alfè, M.; Errico, M.E.; Napolitano, A.; d’Ischia, M. Building-block diversity in polydopamine underpins a multifunctional eumelanin-type platform tunable through a quinone control point. Adv. Funct. Mater. 2013, 23, 1331–1340. [Google Scholar] [CrossRef]
- Hong, S.; Na, Y.S.; Choi, S.; Song, I.T.; Kim, W.Y.; Lee, H. Non-covalent self-assembly and covalent polymerization co-contribute to polydopamine formation. Adv. Funct. Mater. 2012, 22, 4711–4717. [Google Scholar] [CrossRef]
- Du, X.; Li, L.; Li, J.; Yang, C.; Frenkel, N.; Welle, A.; Heissler, S.; Nefedov, A.; Grunze, M.; Levkin, P.A. UV-triggered dopamine polymerization: Control of polymerization, surface coating, and photopatterning. Adv. Mater. 2014, 26, 8029–8033. [Google Scholar] [CrossRef] [PubMed]
- Waite, J.H.; Tanzer, M.L. Polyphenolic substance of Mytilus edulis: Novel adhesive containing L-dopa and hydroxyproline. Science 1981, 212, 1038–1040. [Google Scholar] [CrossRef] [PubMed]
- Yang, J.; Stuart, M.A.C.; Kamperman, M. Jack of all trades: Versatile catechol crosslinking mechanisms. Chem. Soc. Rev. 2014, 43, 8271–8298. [Google Scholar] [CrossRef] [PubMed]
- Kim, K.; Ryu, J.H.; Lee, D.Y.; Lee, H. Bio-inspired catechol conjugation converts water-insoluble chitosan into a highly water-soluble, adhesive chitosan derivative for hydrogels and LbL assembly. Biomater. Sci. 2013, 1, 783–790. [Google Scholar] [CrossRef]
- Ryu, J.H.; Jo, S.; Koh, M.Y.; Lee, H. Bio-Inspired, Water-Soluble to Insoluble Self-Conversion for Flexible, Biocompatible, Transparent, Catecholamine Polysaccharide Thin Films. Adv. Funct. Mater. 2014, 24, 7709–7716. [Google Scholar] [CrossRef]
- Kim, K.; Kim, K.; Ryu, J.H.; Lee, H. Chitosan-catechol: A polymer with long-lasting mucoadhesive properties. Biomaterials 2015, 52, 161–170. [Google Scholar] [CrossRef]
- Ryu, J.H.; Lee, Y.; Kong, W.H.; Kim, T.G.; Park, T.G.; Lee, H. Catechol-functionalized chitosan/pluronic hydrogels for tissue adhesives and hemostatic materials. Biomacromolecules 2011, 12, 2653–2659. [Google Scholar] [CrossRef]
- Park, E.; Ryu, J.H.; Lee, D.; Lee, H. Freeze–thawing-induced macroporous catechol hydrogels with shape recovery and sponge-like properties. ACS Biomater. Sci. Eng. 2021, 7, 4318–4329. [Google Scholar] [CrossRef]
- Hong, S.H.; Kim, S.; Park, J.P.; Shin, M.; Kim, K.; Ryu, J.H.; Lee, H. Dynamic bonds between boronic acid and alginate: Hydrogels with stretchable, self-healing, stimuli-responsive, remoldable, and adhesive properties. Biomacromolecules 2018, 19, 2053–2061. [Google Scholar] [CrossRef]
- Lee, C.; Shin, J.; Lee, J.S.; Byun, E.; Ryu, J.H.; Um, S.H.; Kim, D.-I.; Lee, H.; Cho, S.-W. Bioinspired, calcium-free alginate hydrogels with tunable physical and mechanical properties and improved biocompatibility. Biomacromolecules 2013, 14, 2004–2013. [Google Scholar] [CrossRef]
- Hong, S.H.; Ryu, J.H.; Lee, H. Effect of charge on in vivo adhesion stability of catechol-conjugated polysaccharides. J. Ind. Eng. Chem. 2019, 79, 425–430. [Google Scholar] [CrossRef]
- Byun, E.; Lee, H. Enhanced loading efficiency and sustained release of doxorubicin from hyaluronic acid/graphene oxide composite hydrogels by a mussel-inspired catecholamine. J. Nanosci. Nanotechnol. 2014, 14, 7395–7401. [Google Scholar] [CrossRef] [PubMed]
- Hong, S.; Yang, K.; Kang, B.; Lee, C.; Song, I.T.; Byun, E.; Park, K.I.; Cho, S.W.; Lee, H. Hyaluronic acid catechol: A biopolymer exhibiting a pH-dependent adhesive or cohesive property for human neural stem cell engineering. Adv. Funct. Mater. 2013, 23, 1774–1780. [Google Scholar] [CrossRef]
- Simon-Yarza, T.; Mielcarek, A.; Couvreur, P.; Serre, C. Nanoparticles of metal-organic frameworks: On the road to in vivo efficacy in biomedicine. Adv. Mater. 2018, 30, 1707365. [Google Scholar] [CrossRef] [PubMed]
- Wang, W.; Yan, H.; Anand, U.; Mirsaidov, U. Visualizing the conversion of metal–organic framework nanoparticles into hollow layered double hydroxide nanocages. J. Am. Chem. Soc. 2021, 143, 1854–1862. [Google Scholar] [CrossRef]
- Zeng, Y.; Du, X.; Hou, W.; Liu, X.; Zhu, C.; Gao, B.; Sun, L.; Li, Q.; Liao, J.; Levkin, P.A. UV-Triggered polydopamine secondary modification: Fast deposition and removal of metal nanoparticles. Adv. Funct. Mater. 2019, 29, 1901875. [Google Scholar] [CrossRef]
- Paul, R.; Zhu, L.; Chen, H.; Qu, J.; Dai, L. Recent advances in carbon-based metal-free electrocatalysts. Adv. Mater. 2019, 31, 1806403. [Google Scholar] [CrossRef]
- Liu, D.; Dai, L.; Lin, X.; Chen, J.F.; Zhang, J.; Feng, X.; Müllen, K.; Zhu, X.; Dai, S. Chemical approaches to carbon-based metal-free catalysts. Adv. Mater. 2019, 31, 1804863. [Google Scholar] [CrossRef]
- Usman, J.; Baig, N.; Aljundi, I.H. Superhydrophilic and underwater superoleophobic ceramic membranes grafted by layered polydopamine and polydopamine encapsulated silica particles for efficient separation of oil-in-water emulsions. J. Environ. Chem. Eng. 2023, 11, 110011. [Google Scholar] [CrossRef]
- Vauthier, M.; Jierry, L.; Oliveira, J.C.; Hassouna, L.; Roucoules, V.; Bally-Le Gall, F. Interfacial thermoreversible chemistry on functional coatings: A focus on the Diels–Alder reaction. Adv. Funct. Mater. 2019, 29, 1806765. [Google Scholar] [CrossRef]
- Holten-Andersen, N.; Fantner, G.E.; Hohlbauch, S.; Waite, J.H.; Zok, F.W. Protective coatings on extensible biofibres. Nat. Mater. 2007, 6, 669–672. [Google Scholar] [CrossRef]
- Fang, R.H.; Kroll, A.V.; Gao, W.; Zhang, L. Cell membrane coating nanotechnology. Adv. Mater. 2018, 30, 1706759. [Google Scholar] [CrossRef] [PubMed]
- Ji, X.; Tian, W.; Jin, K.; Wen, C.; Zhang, Y.; Yu, J.; Zhang, J. Cellulose-based photothermal coating: A sustainable solution for seed protection and long-term grain storage. ACS Nano 2023, 17, 13861–13871. [Google Scholar] [CrossRef] [PubMed]
- Chen, X.; Zhang, X.; Liu, Y.; Chen, Y.; Zhao, Y. Upconversion Nanoparticle-Anchored Metal–Organic Framework Nanostructures for Remote-Controlled Cancer Optogenetic Therapy. J. Am. Chem. Soc. 2024, 146, 34475–34490. [Google Scholar] [CrossRef] [PubMed]
- Gan, D.; Xing, W.; Jiang, L.; Fang, J.; Zhao, C.; Ren, F.; Fang, L.; Wang, K.; Lu, X. Plant-inspired adhesive and tough hydrogel based on Ag-Lignin nanoparticles-triggered dynamic redox catechol chemistry. Nat. Commun. 2019, 10, 1487. [Google Scholar] [CrossRef]
- Demirel, M.C.; Vural, M.; Terrones, M. Composites of proteins and 2D nanomaterials. Adv. Funct. Mater. 2018, 28, 1704990. [Google Scholar] [CrossRef]
- Chen, J.; Wang, D.; Wang, L.H.; Liu, W.; Chiu, A.; Shariati, K.; Liu, Q.; Wang, X.; Zhong, Z.; Webb, J. An adhesive hydrogel with “Load-Sharing” effect as tissue bandages for drug and cell delivery. Adv. Mater. 2020, 32, 2001628. [Google Scholar] [CrossRef]
- Yadid, M.; Feiner, R.; Dvir, T. Gold nanoparticle-integrated scaffolds for tissue engineering and regenerative medicine. Nano Lett. 2019, 19, 2198–2206. [Google Scholar] [CrossRef]
- Ding, Y.; Li, W.; Zhang, F.; Liu, Z.; Zanjanizadeh Ezazi, N.; Liu, D.; Santos, H.A. Electrospun fibrous architectures for drug delivery, tissue engineering and cancer therapy. Adv. Funct. Mater. 2019, 29, 1802852. [Google Scholar] [CrossRef]
- Jung, S.H.; Jang, B.H.; Kwon, S.; Park, S.J.; Park, T.E.; Kang, J.H. Nematic fibrin fibers enabling vascularized thrombus implants facilitate scarless cutaneous wound healing. Adv. Mater. 2023, 35, 2211149. [Google Scholar] [CrossRef]
- Yang, Z.; Huang, R.; Zheng, B.; Guo, W.; Li, C.; He, W.; Wei, Y.; Du, Y.; Wang, H.; Wu, D. Highly stretchable, adhesive, biocompatible, and antibacterial hydrogel dressings for wound healing. Adv. Sci. 2021, 8, 2003627. [Google Scholar] [CrossRef]
- Zhang, H.; Zhou, W.; Wang, H.; Zhang, J.; Yang, H.; Chen, J.; Wang, S.; Zhao, W.; Li, M.; Luo, Z. Hydrogel-Based Bioactive Synthetic Skin Stimulates Regenerative Gas Signaling and Eliminates Interfacial Pathogens to Promote Burn Wound Healing. ACS Nano 2025, 19, 15002–15017. [Google Scholar] [CrossRef] [PubMed]
- Li, X.; Zhang, X.; Qi, Y.; Jin, W.; Wen, Z.; Zhao, Y.; Li, X.; Yao, X.; Shen, Z.; Zhang, F. Conductive bioadhesive hydrogel with controlled astragaloside IV release for ferroptosis-mediated cardiac repair. J. Control. Release 2025, 384, 113874. [Google Scholar] [CrossRef] [PubMed]
- Dai, Y.; Zhang, J.; Zhang, S.; Li, L.; Qu, C.; Chen, J.; Lu, L. Ag/Cu nanoparticles-loaded glycocalyx biomimetic corneal bandage lenses for combatting bacterial keratitis. J. Control. Release 2024, 376, 382–394. [Google Scholar] [CrossRef] [PubMed]
- Hu, X.; Li, P.; Guo, Y.; Wang, H.; Leak, R.K.; Chen, S.; Gao, Y.; Chen, J. Microglia/macrophage polarization dynamics reveal novel mechanism of injury expansion after focal cerebral ischemia. Stroke 2012, 43, 3063–3070. [Google Scholar] [CrossRef]
- Li, H.; Li, B.; Zheng, Y. Role of microglia/macrophage polarisation in intraocular diseases. Int. J. Mol. Med. 2024, 53, 45. [Google Scholar] [CrossRef]
- Pan, T.; Huang, Y.; Wei, J.; Lai, C.; Chen, Y.; Nan, K.; Wu, W. Implantation of biomimetic polydopamine nanocomposite scaffold promotes optic nerve regeneration through modulating inhibitory microenvironment. J. Nanobiotechnol. 2024, 22, 683. [Google Scholar] [CrossRef]
- Zhang, F.; Zhang, Y.; Qian, S.; Qian, X.; Jiao, J.; Ma, B.; Chen, J.; Cheng, H.; Li, X.; Lin, Y. Injectable and conductive nanomicelle hydrogel with α-tocopherol encapsulation for enhanced myocardial infarction repair. ACS Nano 2024, 18, 10216–10229. [Google Scholar] [CrossRef]
- Zhang, J.; Kim, K.; Kim, H.J.; Meyer, D.; Park, W.; Lee, S.A.; Dai, Y.; Kim, B.; Moon, H.; Shah, J.V. Smart soft contact lenses for continuous 24-hour monitoring of intraocular pressure in glaucoma care. Nat. Commun. 2022, 13, 5518. [Google Scholar] [CrossRef]
- Zhang, Z.; Sun, Y.; Dang, Z.; Zhang, L. Unraveling the mechanistic effects of oxidation and ionization on polydopamine-Pb (II) interaction: MD and DFT study. J. Environ. Chem. Eng. 2024, 12, 114924. [Google Scholar] [CrossRef]
- Deng, Z.; Li, L.; Tang, P.; Jiao, C.; Yu, Z.-Z.; Koo, C.M.; Zhang, H.-B. Controllable surface-grafted MXene inks for electromagnetic wave modulation and infrared anti-counterfeiting applications. ACS Nano 2022, 16, 16976–16986. [Google Scholar] [CrossRef]
- Zeng, Q.; Xing, C.; Xu, Z.; Liu, Q.; Yang, L.; Yang, H.; Zhang, Y.; Peng, Z. Fast Electrodeposition of MXene/PDA Composites for High-Performance Bioelectronic Interfaces: An In Vitro Evaluation. Adv. Funct. Mater. 2024, 34, 2312770. [Google Scholar] [CrossRef]
- Heng, B.C.; Zhang, X.; Aubel, D.; Bai, Y.; Li, X.; Wei, Y.; Fussenegger, M.; Deng, X. An overview of signaling pathways regulating YAP/TAZ activity. Cell. Mol. Life Sci. 2021, 78, 497–512. [Google Scholar] [CrossRef] [PubMed]
- Ren, S.; Tang, X.; Liu, L.; Meng, F.; Yang, X.; Li, N.; Zhang, Z.; Aimaijiang, M.; Liu, M.; Liu, X. Reinforced blood-derived protein hydrogels enable dual-level regulation of bio-physiochemical microenvironments for personalized bone regeneration with remarkable enhanced efficacy. Nano Lett. 2022, 22, 3904–3913. [Google Scholar] [CrossRef] [PubMed]
- Hu, Y.; Dan, W.; Xiong, S.; Kang, Y.; Dhinakar, A.; Wu, J.; Gu, Z. Development of collagen/polydopamine complexed matrix as mechanically enhanced and highly biocompatible semi-natural tissue engineering scaffold. Acta Biomater. 2017, 47, 135–148. [Google Scholar] [CrossRef]
- Zhang, Q.; Zhu, J.; Liu, H.; Fei, X.; Zhu, M. Magneto-mechano-electric cascade stimulation system accelerates wound healing constructed by biodegradable magnetoelectric nanofibers. Adv. Funct. Mater. 2024, 34, 2309968. [Google Scholar] [CrossRef]
- Cui, D.; Wang, J.; Zhang, M.; Cheng, T.; Yue, N.; Qiu, D.; Lu, B.; Dong, B.; Shen, C.; Liu, C. Bioinspired Multistimulus-Responsive Piezoelectric Polymeric Nanoheterostructures via Interface-Confined Configurations. Adv. Funct. Mater. 2024, 34, 2404503. [Google Scholar] [CrossRef]
- Rahman, A.U.; Saeed, M.; Mohammed, M.A.; Krishnamoorthy, S.; Kadry, S.; Eid, F. An integrated algorithmic MADM approach for heart diseases’ diagnosis based on neutrosophic hypersoft set with possibility degree-based setting. Life 2022, 12, 729. [Google Scholar] [CrossRef]
- Pieperhoff, L.; Lorenzini, L.; Mastenbroek, S.; Tranfa, M.; Shekari, M.; Wink, A.M.; Wolz, R.; Grootoonk, S.; Ritchie, C.; Boada, M. Amyloid PET predicts atrophy in older adults without dementia: Results from the AMYPAD Prognostic & Natural History study. NeuroImage Clin. 2025, 48, 103912. [Google Scholar]
- He, C.; Yin, M.; Zhou, H.; Qin, J.; Wu, S.; Liu, H.; Yu, X.; Chen, J.; Zhang, H.; Zhang, L. Magnetic nanoactuator-protein fiber coated hydrogel dressing for well-balanced skin wound healing and tissue regeneration. ACS Nano 2025, 19, 1713–1731. [Google Scholar] [CrossRef]
- Hong, G.; Li, J.; Wei, W.; Wu, Y.; Li, L.; Chen, Y.; Xie, D.; Qu, Q.; Rojas, O.J.; Hu, G. Starfish-Inspired Synergistic Reinforced Hydrogel Wound Dressing: Dual Responsiveness and Enhanced Bioactive Compound Delivery for Advanced Skin Regeneration and Management. ACS Nano 2025, 19, 10180–10198. [Google Scholar] [CrossRef]
- Tang, Y.; Du, Y.; Ye, J.; Deng, L.; Cui, W. Intestine-targeted explosive hydrogel microsphere promotes uric acid excretion for gout therapy. Adv. Mater. 2024, 36, 2310492. [Google Scholar] [CrossRef] [PubMed]
- Fang, X.; Wang, J.; Ye, C.; Lin, J.; Ran, J.; Jia, Z.; Gong, J.; Zhang, Y.; Xiang, J.; Lu, X. Polyphenol-mediated redox-active hydrogel with H2S gaseous-bioelectric coupling for periodontal bone healing in diabetes. Nat. Commun. 2024, 15, 9071. [Google Scholar] [CrossRef] [PubMed]
- Cai, W.; Sun, Y.; Xu, W.; Kuang, X.; Zhang, Z.; Cao, X.; Xu, J.; Li, Y.; Huang, Y.; Shen, S. Ascorbic acid-derived supramolecular gels induce immunogenic ferroptosis in cancer cells to potentiate tumor immunotherapy. ACS Nano 2025, 19, 32405–32421. [Google Scholar] [CrossRef] [PubMed]
- Pan, G.; Li, M.; Mu, L.; Huang, Y.; Liang, Y.; Guo, B. Photothermal/photodynamic synergistic antibacterial hydrogel dressing with pH/glucose dual responsive pirfenidone release for diabetic foot ulcers. Adv. Funct. Mater. 2025, 35, 2416205. [Google Scholar] [CrossRef]
- Roy, S.; Deo, K.A.; Lee, H.P.; Soukar, J.; Namkoong, M.; Tian, L.; Jaiswal, A.; Gaharwar, A.K. 3D printed electronic skin for strain, pressure and temperature sensing. Adv. Funct. Mater. 2024, 34, 2313575. [Google Scholar] [CrossRef]
- Cai, Y.; Wang, P.; Li, Y.; Tang, T.W.; Zhang, L.; Shu, H.; Wong, H.; Li, Y.; Li, J.; Arias, A.C. Triple-Cue-Guided Multichannel Hydrogel Conduit to Synergistically Enhance Peripheral Nerve Repair. ACS Nano 2025, 19, 22163–22178. [Google Scholar] [CrossRef]
- Ricotti, L.; Cafarelli, A.; Manferdini, C.; Trucco, D.; Vannozzi, L.; Gabusi, E.; Fontana, F.; Dolzani, P.; Saleh, Y.; Lenzi, E. Ultrasound stimulation of piezoelectric nanocomposite hydrogels boosts chondrogenic differentiation in vitro, in both a normal and inflammatory milieu. ACS Nano 2024, 18, 2047–2065. [Google Scholar] [CrossRef]
- Pang, Y.; Wang, H.; Yao, Y.; Chen, D.; Yang, R.; Wang, Z.; Yang, J.; Li, Y.; Liu, W. An injectable self-crosslinked wholly supramolecular polyzwitterionic hydrogel for regulating microenvironment to boost infected diabetic wound healing. Adv. Funct. Mater. 2023, 33, 2303095. [Google Scholar] [CrossRef]
- Yalamandala, B.N.; Huynh, T.M.H.; Chiang, M.R.; Weng, W.H.; Chang, C.W.; Chiang, W.H.; Hu, S.H. Programmed catalytic therapy and antigen capture-mediated dendritic cells harnessing cancer immunotherapies by in situ-forming adhesive nanoreservoirs. Adv. Funct. Mater. 2023, 33, 2210644. [Google Scholar] [CrossRef]
- Kim, S.; Ahn, J.-H.; Jeong, D.I.; Yang, M.; Jeong, J.-H.; Choi, Y.E.; Kim, H.J.; Han, Y.; Karmakar, M.; Ko, H.-J. Alum-tuned hyaluronic acid-based hydrogel with immune checkpoint inhibition for immunophoto therapy of cancer. J. Control. Release 2023, 362, 1–18. [Google Scholar] [CrossRef] [PubMed]
- Wu, F.; He, W.; Song, D.; Wu, Z.; Dai, P.; Zheng, X.; Wang, H.; Xie, C. Ropivacaine and celecoxib-loaded injectable composite hydrogel for improved chronic pain-exacerbated myocardial ischemia-reperfusion injury. J. Control. Release 2025, 379, 266–284. [Google Scholar] [CrossRef] [PubMed]
- Chen, X.; Zhang, Y.; Yu, W.; Zhang, W.; Tang, H.; Yuan, W.-E. In situ forming ROS-scavenging hybrid hydrogel loaded with polydopamine-modified fullerene nanocomposites for promoting skin wound healing. J. Nanobiotechnol. 2023, 21, 129. [Google Scholar] [CrossRef] [PubMed]
- Zhang, J.; Sun, D.; Guo, Y.; Tong, J.; Liu, Q.; Gao, R.; Wei, Y.; Guo, X. Targeted delivery of black phosphorus nanosheets by ROS responsive complex hydrogel based on angiogenesis and antioxidant promotes myocardial infarction repair. J. Nanobiotechnol. 2024, 22, 433. [Google Scholar] [CrossRef]
- Zhang, H.; Wang, Y.; Qiao, W.; Hu, X.; Qiang, H.; Xia, K.; Du, L.; Yang, L.; Bao, Y.; Gao, J. An injectable multifunctional nanocomposite hydrogel promotes vascularized bone regeneration by regulating macrophages. J. Nanobiotechnol. 2025, 23, 1–24. [Google Scholar] [CrossRef]
- Qiu, R.; Zhang, X.; Song, C.; Xu, K.; Nong, H.; Li, Y.; Xing, X.; Mequanint, K.; Liu, Q.; Yuan, Q. E-cardiac patch to sense and repair infarcted myocardium. Nat. Commun. 2024, 15, 4133. [Google Scholar] [CrossRef]
- Zhu, Z.; Li, C.; Lin, Y.; Li, L.; Liu, K.; Wen, W.; Ding, S.; Zhou, C.; Lai, Y.; Luo, B. Versatile 3D printing scaffold with Spatiotemporal release of multiple drugs for bone regeneration. ACS Nano 2025, 19, 13637–13653. [Google Scholar] [CrossRef]
- Xu, T.; Ji, H.; Xu, L.; Cheng, S.; Liu, X.; Li, Y.; Zhong, R.; Zhao, W.; Kizhakkedathu, J.N.; Zhao, C. Self-anticoagulant sponge for whole blood auto-transfusion and its mechanism of coagulation factor inactivation. Nat. Commun. 2023, 14, 4875. [Google Scholar] [CrossRef]
- Jeong, H.; Lee, J.; Kim, S.; Moon, H.; Hong, S. Site-specific fabrication of a melanin-like pigment through spatially confined progressive assembly on an initiator-loaded template. Nat. Commun. 2023, 14, 3432. [Google Scholar] [CrossRef]
- Gao, Y.; Yuan, X.; Gu, R.; Wang, N.; Ren, H.; Song, R.; Wan, Z.; Huang, J.; Yi, K.; Xiong, C. Affinity Modifications of Porous Microscaffolds Impact Bone Regeneration by Modulating the Delivery Kinetics of Small Extracellular Vesicles. ACS Nano 2025, 19, 17813–17823. [Google Scholar] [CrossRef]
- Chen, S.; Liu, X.; Zhang, W.; Li, B.; Liu, F.; Zhang, Y.; Han, Y. Nanozyme coating-mediated mitochondrial metabolic reprogramming of macrophages for immunomodulatory osseointegration in rheumatoid arthritis case. ACS Nano 2025, 19, 26127–26146. [Google Scholar] [CrossRef]
- Ji, H.; Yu, K.; Abbina, S.; Xu, L.; Xu, T.; Cheng, S.; Vappala, S.; Arefi, S.A.; Rana, M.M.; Chafeeva, I. Antithrombotic coating with sheltered positive charges prevents contact activation by controlling factor XII–biointerface binding. Nat. Mater. 2025, 24, 626–636. [Google Scholar] [CrossRef]
- Liu, L.; Li, R.; Liu, F.; Huang, L.; Liu, W.; Wang, J.; Wu, Z.; Reddy, N.; Cui, W.; Jiang, Q. Highly elastic and strain sensing corn protein electrospun fibers for monitoring of wound healing. ACS Nano 2023, 17, 9600–9610. [Google Scholar] [CrossRef] [PubMed]
- Gong, J.; Ye, C.; Ran, J.; Xiong, X.; Fang, X.; Zhou, X.; Yi, Y.; Lu, X.; Wang, J.; Xie, C. Polydopamine-mediated immunomodulatory patch for diabetic periodontal tissue regeneration assisted by metformin-ZIF system. ACS Nano 2023, 17, 16573–16586. [Google Scholar] [CrossRef] [PubMed]
- Wu, T.; Li, T.; Zhang, C.; Tian, Y.; Li, H.; He, Y.; Yan, X.; Gong, T.; Zhao, J.; Wang, Z. A hollow-tube-like hydrospongel for multimodal therapy of advanced colorectal cancer. Nat. Commun. 2025, 16, 7464. [Google Scholar] [CrossRef] [PubMed]
- Wang, H.; Zhang, Y.; Zhang, Y.; Li, C.; Zhang, M.; Wang, J.; Zhang, Y.; Du, Y.; Cui, W.; Chen, W. Activating macrophage continual efferocytosis via microenvironment biomimetic short fibers for reversing inflammation in bone repair. Adv. Mater. 2024, 36, 2402968. [Google Scholar] [CrossRef]
- Winterwerber, P.; Harvey, S.; Ng, D.Y.; Weil, T. Lichtgesteuerte Polymerisation von Dopamin auf DNA-Origami im Nanometer-Regime. Angew. Chem. 2020, 132, 6200–6205. [Google Scholar] [CrossRef]
- Bailey, C.G.; Nothling, M.D.; Fillbrook, L.L.; Vo, Y.; Beves, J.E.; McCamey, D.R.; Stenzel, M.H. Polydopamine as a visible-light photosensitiser for photoinitiated polymerisation. Angew. Chem. 2023, 135, e202301678. [Google Scholar] [CrossRef]
- Acter, S.; Moreau, M.; Ivkov, R.; Viswanathan, A.; Ngwa, W. Polydopamine nanomaterials for overcoming current challenges in cancer treatment. Nanomaterials 2023, 13, 1656. [Google Scholar] [CrossRef]
- Yang, H.C.; Waldman, R.Z.; Wu, M.B.; Hou, J.; Chen, L.; Darling, S.B.; Xu, Z.K. Membranes: Dopamine: Just the Right Medicine for Membranes. Adv. Funct. Mater. 2018, 28, 1870052. [Google Scholar]
- Liu, Z.; Li, W.; Sheng, W.; Liu, S.; Li, R.; Li, Q.; Li, D.; Yu, S.; Li, M.; Li, Y. Tunable hierarchically structured meso-macroporous carbon spheres from a solvent-mediated polymerization-induced self-assembly. J. Am. Chem. Soc. 2023, 145, 5310–5319. [Google Scholar] [CrossRef] [PubMed]
- Gong, L.; Yang, W.; Sun, Y.; Zhou, C.; Wu, F.; Zeng, H. Fabricating tunable superhydrophobic surfaces enabled by surface-initiated emulsion polymerization in water. Adv. Funct. Mater. 2023, 33, 2214947. [Google Scholar] [CrossRef]
- Ball, V.; Del Frari, D.; Toniazzo, V.; Ruch, D. Kinetics of polydopamine film deposition as a function of pH and dopamine concentration: Insights in the polydopamine deposition mechanism. J. Colloid Interface Sci. 2012, 386, 366–372. [Google Scholar] [CrossRef] [PubMed]
- Salomäki, M.; Marttila, L.; Kivelä, H.; Ouvinen, T.; Lukkari, J. Effects of pH and oxidants on the first steps of polydopamine formation: A thermodynamic approach. J. Phys. Chem. B 2018, 122, 6314–6327. [Google Scholar] [CrossRef]
- Djermane, R.; Nieto, C.; Vargas, J.C.; Vega, M.; del Valle, E.M.M. Insight into the influence of the polymerization time of polydopamine nanoparticles on their size, surface properties and nanomedical applications. Polym. Chem. 2022, 13, 235–244. [Google Scholar] [CrossRef]
- Huang, C.; Wang, X.; Yang, P.; Shi, S.; Duan, G.; Liu, X.; Li, Y. Size regulation of polydopamine nanoparticles by boronic acid and Lewis base. Macromol. Rapid Commun. 2023, 44, 2100916. [Google Scholar] [CrossRef]
- Du, J.; Liu, X.; Liu, W.; Wu, Z.; Chen, H. One-step preparation of vinyl-functionalized material surfaces: A versatile platform for surface modification. Sci. China Chem. 2014, 57, 654–660. [Google Scholar] [CrossRef]
- Pujari, S.P.; Scheres, L.; Marcelis, A.T.; Zuilhof, H. Covalent surface modification of oxide surfaces. Angew. Chem. Int. Ed. 2014, 53, 6322–6356. [Google Scholar] [CrossRef]
- Wronska, M.A.; O’Connor, I.B.; Tilbury, M.A.; Srivastava, A.; Wall, J.G. Adding functions to biomaterial surfaces through protein incorporation. Adv. Mater. 2016, 28, 5485–5508. [Google Scholar] [CrossRef]
- Zhao, Z.; Zhang, P.; Zhao, Y.; Wang, L.; Zhang, J.; Bu, F.; Zhou, W.; Zhao, R.; Zhang, X.; Lv, Z. Versatile synthesis of uniform mesoporous superparticles from stable monomicelle units. Nat. Protoc. 2025, 20, 1310–1351. [Google Scholar] [CrossRef]
- Lam, K.Y.; Lee, C.S.; Tan, R.Y.H. NIR-induced photothermal-responsive shape memory polyurethane for versatile smart material applications. RSC Adv. 2024, 14, 24265–24286. [Google Scholar] [CrossRef]
- Huang, X.; Liu, Y.; Yung, B.; Xiong, Y.; Chen, X. Nanotechnology-enhanced no-wash biosensors for in vitro diagnostics of cancer. ACS Nano 2017, 11, 5238–5292. [Google Scholar] [CrossRef]
- Huang, X.; Wu, Y.; Li, K.; Xing, W.; Zhao, N.; Chen, Z.; Tao, W.; Zhou, X.; Yang, M.; Huang, J. Advanced nanotechnology-driven innovations for corneal neovascularization therapy: Smart drug delivery and enhanced treatment strategies. Adv. Mater. 2025, 37, 2508726. [Google Scholar] [CrossRef] [PubMed]
- Knowles, T.P.; Buehler, M.J. Nanomechanics of functional and pathological amyloid materials. Nat. Nanotechnol. 2011, 6, 469–479. [Google Scholar] [CrossRef] [PubMed]
- Lu, J.; Song, J.; Zhang, P.; Huang, Y.; Lu, X.; Dai, H.; Xi, J. Biomineralized polydopamine nanoparticle-based sodium alginate hydrogels for delivery of anti-serine/threonine protein kinase B-rapidly accelerated fibrosarcoma siRNA for metastatic melanoma therapy. Acs Nano 2023, 17, 18318–18331. [Google Scholar] [CrossRef]
- Filek, M.; Zembala, M.; Szechyńska-Hebda, M. The influence of phytohormones on zeta potential and electrokinetic charges of winter wheat cells. Z. Naturforschung C 2002, 57, 696–704. [Google Scholar] [CrossRef] [PubMed]
- Wang, H.; Di, W.; Gao, X.; Guo, Y.; Tang, T.; Bai, X.; Cao, H. Materials, Syntheses and Biomedical Applications of Nano-Quercetin Formulations: A Comprehensive Literature Review. Int. J. Nanomed. 2025, 20, 8729–8764. [Google Scholar] [CrossRef]
- Yang, W.; Lv, Y.; Wang, B.; Luo, S.; Le, Y.; Tang, M.; Zhao, R.; Li, Y.; Kong, X. Polydopamine synergizes with quercetin nanosystem to reshape the perifollicular microenvironment for accelerating hair regrowth in androgenetic alopecia. Nano Lett. 2024, 24, 6174–6182. [Google Scholar] [CrossRef]
- He, J.; Wang, Y.; Ren, Y.; Yuan, Q.; Zhang, Z.; Li, L.; Bao, B.; Jia, W.; Zhang, X.; Li, M. Calcium-mediated cell adhesion enhancement-based antimetastasis and synergistic antitumor therapy by conjugated polymer–calcium composite nanoparticles. Acs Nano 2024, 18, 24953–24967. [Google Scholar] [CrossRef]
- Wang, Z.; Zhang, M.; Du, X. Construction of Yolk@ shell Nanocomposite Particles with Controlled Multisized Pore Structures by Monomicelle Confined Assembly. ACS Nano 2024, 18, 27511–27523. [Google Scholar] [CrossRef]
- Wang, M.; Yao, Y.; Tian, Y.; Yuan, Y.; Wang, L.; Yang, F.; Ren, J.; Hu, X.; Wu, F.; Zhang, S. Atomically dispersed manganese on carbon substrate for aqueous and aprotic CO2 electrochemical reduction. Adv. Mater. 2023, 35, 2210658. [Google Scholar] [CrossRef]
- Xiong, Y.; Wakhloo, A.K.; Fisher, M. Advances in acute ischemic stroke therapy. Circ. Res. 2022, 130, 1230–1251. [Google Scholar] [CrossRef] [PubMed]
- Lakhan, S.E.; Kirchgessner, A.; Hofer, M. Inflammatory mechanisms in ischemic stroke: Therapeutic approaches. J. Transl. Med. 2009, 7, 97. [Google Scholar] [CrossRef] [PubMed]
- Wu, D.; Zhou, J.; Zheng, Y.; Zheng, Y.; Zhang, Q.; Zhou, Z.; Chen, X.; Chen, Q.; Ruan, Y.; Wang, Y. Pathogenesis-adaptive polydopamine nanosystem for sequential therapy of ischemic stroke. Nat. Commun. 2023, 14, 7147. [Google Scholar] [CrossRef] [PubMed]
- Zhao, T.; Chen, L.; Liu, M.; Lin, R.; Cai, W.; Hung, C.-T.; Wang, S.; Duan, L.; Zhang, F.; Elzatahry, A. Emulsion-oriented assembly for Janus double-spherical mesoporous nanoparticles as biological logic gates. Nat. Chem. 2023, 15, 832–840. [Google Scholar] [CrossRef]
- Liu, C.; Chen, S.; Sun, C.; Zuo, W.; Wu, P.; Wang, S.; Dai, J.; Xing, Y.; Hou, Y.; Ju, Y. Protonated charge reversal nanodrugs for active targeting clearance of Helicobacter pylori accompanied by gut microbiota protection. Adv. Funct. Mater. 2023, 33, 2300682. [Google Scholar] [CrossRef]
- Zhou, J.; Xu, M.; Jin, Z.; Borum, R.M.; Avakyan, N.; Cheng, Y.; Yim, W.; He, T.; Zhou, J.; Wu, Z. Versatile polymer nanocapsules via redox competition. Angew. Chem. 2021, 133, 26561–26566. [Google Scholar] [CrossRef]
- Xie, L.; Liu, T.; He, Y.; Zeng, J.; Zhang, W.; Liang, Q.; Huang, Z.; Tang, J.; Liang, K.; Jiang, L. Kinetics-Regulated Interfacial Selective Superassembly of Asymmetric Smart Nanovehicles with Tailored Topological Hollow Architectures. Angew. Chem. Int. Ed. 2022, 61, e202200240. [Google Scholar] [CrossRef]
- Yim, W.; Takemura, K.; Zhou, J.; Zhou, J.; Jin, Z.; Borum, R.M.; Xu, M.; Cheng, Y.; He, T.; Penny, W. Enhanced photoacoustic detection of heparin in whole blood via melanin nanocapsules carrying molecular agents. ACS Nano 2021, 16, 683–693. [Google Scholar] [CrossRef]
- Liu, J.; Hu, X.; Feng, L.; Lin, Y.; Liang, S.; Zhu, Z.; Shi, S.; Dong, C. Carbonic anhydrase IX-targeted H-APBC nanosystem combined with phototherapy facilitates the efficacy of PI3K/mTOR inhibitor and resists HIF-1α-dependent tumor hypoxia adaptation. J. Nanobiotechnol. 2022, 20, 187. [Google Scholar] [CrossRef]
- Aguilar-Ferrer, D.; Vasileiadis, T.; Iatsunskyi, I.; Ziółek, M.; Żebrowska, K.; Ivashchenko, O.; Błaszkiewicz, P.; Grześkowiak, B.; Pazos, R.; Moya, S. Understanding the photothermal and photocatalytic mechanism of polydopamine coated gold nanorods. Adv. Funct. Mater. 2023, 33, 2304208. [Google Scholar] [PubMed]
- Chen, P.; Xu, C.; Wu, P.; Liu, K.; Chen, F.; Chen, Y.; Dai, H.; Luo, Z. Wirelessly powered electrical-stimulation based on biodegradable 3D piezoelectric scaffolds promotes the spinal cord injury repair. ACS Nano 2022, 16, 16513–16528. [Google Scholar] [CrossRef] [PubMed]
- Xia, Y.; Chen, Z.; Zhang, X.; Yang, P.; Wang, Z. Phosphatidylcholine Liposome Accelerated Platinum Nanomachines (PLANEs) With Enhanced Penetration Capability for Thrombus Mechanotherapy. Adv. Mater. 2025, 37, 2418590. [Google Scholar] [CrossRef] [PubMed]
- Gao, Z.; Rensing, C.; Wang, J.; Shen, C.; Elzaki, M.E.A.; Li, X.; Tan, J.; Jiang, X. Increased and synergistic RNAi delivery using MOF polydopamine nanoparticles for biopesticide applications. Nat. Commun. 2025, 16, 6384. [Google Scholar] [CrossRef]
- Zhu, H.; Huang, C.; Di, J.; Chang, Z.; Li, K.; Zhang, S.; Li, X.; Wu, D. Doxorubicin-Fe (III)-Gossypol Infinite Coordination Polymer@ PDA: CuO2 composite nanoparticles for cost-effective programmed photothermal-chemodynamic-coordinated dual drug chemotherapy trimodal synergistic tumor therapy. ACS Nano 2023, 17, 12544–12562. [Google Scholar]
- Wang, Z.-H.; Zeng, X.; Huang, W.; Yang, Y.; Zhang, S.; Yang, M.; Liu, H.; Zhao, F.; Li, A.; Zhang, Z. Bioactive nanomotor enabling efficient intestinal barrier penetration for colorectal cancer therapy. Nat. Commun. 2025, 16, 1678. [Google Scholar] [CrossRef]
- Pan, C.; Wang, L.; Zhang, M.; Li, J.; Liu, J.; Liu, J. In situ polymerization-mediated antigen presentation. J. Am. Chem. Soc. 2023, 145, 13261–13272. [Google Scholar] [CrossRef]
- Ma, H.; Li, X.; Feng, X.; Li, Y.; Liu, D.; Han, L. Mesoporous Silica-Based Nanomotors Loaded with Rapamycin for Synergistic Treatment of Rheumatoid Arthritis. ACS Nano 2025, 19, 22914–22930. [Google Scholar] [CrossRef]
- Zhu, X.; Chen, J.; Liao, J.; Wang, M.; Long, Y.; Liu, M.; Zhang, Y.; Wang, H.-H. Functionalized Multichannel Fluorescence-Encoded Nanosystem on Erythrocyte-Coated Nanoparticles for Precise Cancer Subtype Discrimination. Nano Lett. 2024, 25, 426–433. [Google Scholar]
- Yang, Y.; Sha, P.; Li, P.; Xu, Z.; Cui, Y.; Ban, X.; Wang, Z.; Wang, C.; Guo, Y.; Yu, Z. Near-infrared triggered black phosphorus/Zinc oxide nanocoatings are used to resist bacterial infections in additively manufactured NiTi alloy implants. Nano Lett. 2025, 25, 12769–12778. [Google Scholar]
- Luo, W.; Zhang, Z.; Zhou, D.; Jiang, Y.; Yang, J.; He, B.; Yu, H.; Song, Y. Deep tumor penetration of CRISPR-cas system for photothermal-sensitized immunotherapy via probiotics. Nano Lett. 2023, 23, 8081–8090. [Google Scholar] [CrossRef]
- Yang, X.; Nie, W.; Wang, C.; Fang, Z.; Shang, L. A Droplet Microfluidic-Derived Pathological Microenvironment-Activated Spore Nanozyme Device for the Precise Regulation and Treatment of Colitis. ACS Nano 2025, 19, 26473–26488. [Google Scholar] [CrossRef]
- Li, X.; Chen, Y.; Cao, X.; Feng, W.; Chen, Y.; Zhang, J. Inflammatory Macrophage-Targeted Atherosclerosis Treatment by miRNA-Delivered, MRI-Visible, and Anti-Inflammatory Nanomedicine. ACS Nano 2025, 19, 20472–20490. [Google Scholar] [CrossRef] [PubMed]
- He, Y.; Jin, Z.; Wang, Y.; Wu, C.; He, X.; Weng, W.; Cai, X.; Cheng, K. Multifunctional double-loaded oral nanoplatform for computed tomography imaging-guided and integrated treatment of inflammatory bowel disease. ACS Nano 2025, 19, 14893–14913. [Google Scholar] [CrossRef] [PubMed]
- Lan, J.; Zeng, R.; Li, Z.; Yang, X.; Liu, L.; Chen, L.; Sun, L.; Shen, Y.; Zhang, T.; Ding, Y. Biomimetic nanomodulators with synergism of photothermal therapy and vessel normalization for boosting potent anticancer immunity. Adv. Mater. 2024, 36, 2408511. [Google Scholar] [CrossRef] [PubMed]
- Emilsson, G.; Liu, K.; Höök, F.; Svensson, L.; Rosengren, L.; Lindfors, L.; Sigfridsson, K. The in vivo fate of polycatecholamine coated nanoparticles is determined by a fibrinogen enriched protein corona. ACS Nano 2023, 17, 24725–24742. [Google Scholar] [CrossRef]
- Chen, C.; Gao, Y.; Qiao, X.; Feng, Y.; Yu, X.; Cai, J.; Hu, Q.; Lin, X.; Xuan, Q.; Li, H. Functional Amyloid Phenol-Soluble Modulin α1-Targeting Photothermal Nanoplatform for Effective Elimination of Biofilm-Associated Infections. ACS Nano 2025, 19, 20613–20632. [Google Scholar] [CrossRef]
- Carmignani, A.; Yamazaki, T.; Battaglini, M.; Vu, C.Q.; Marino, A.; Takayanagi-Kiya, S.; Kiya, T.; Armirotti, A.; Di Fonzo, A.; Arai, S. Cellular Activity Modulation Mediated by Near Infrared-Irradiated Polydopamine Nanoparticles: In Vitro and Ex Vivo Investigation. ACS Nano 2025, 19, 16267–16286. [Google Scholar] [CrossRef]
- Xu, J.; Zhang, Y.; Zhao, S.; Zhang, J.; Wang, Y.; Liu, W.; Ji, K.; Xu, G.; Wen, P.; Wei, X. A bioinspired polymeric membrane-enclosed insulin crystal achieves long-term, self-regulated drug release for type 1 diabetes therapy. Nat. Nanotechnol. 2025, 20, 697–706. [Google Scholar] [CrossRef]
- Xu, J.; Wu, M.; Yang, J.; Zhao, D.; He, D.; Liu, Y.; Yan, X.; Liu, Y.; Pu, D.; Tan, Q. Multimodal smart systems reprogramme macrophages and remove urate to treat gouty arthritis. Nat. Nanotechnol. 2024, 19, 1544–1557. [Google Scholar] [CrossRef]
- Chen, Z.; Sun, Y.; Wang, J.; Zhou, X.; Kong, X.; Meng, J.; Zhang, X. Dual-responsive triple-synergistic Fe-MOF for tumor theranostics. ACS Nano 2023, 17, 9003–9013. [Google Scholar] [CrossRef]
- Liu, J.-L.; Zhao, X.; Chen, L.-J.; Pan, L.-M.; Yan, X.-P. Dual-emissive persistent luminescence nanoparticle-based charge-reversible intelligent nanoprobe for persistent luminescence-ratio bioimaging along with chemo-photothermal synergic therapy. Anal. Chem. 2021, 93, 7348–7354. [Google Scholar] [CrossRef]
- Wang, R.; Du, Y.; Yan, Y.; Yan, S.; Zou, Z. Dopamine-Carbonized Coating PtCo Catalyst with Enhanced Durability toward the Oxygen Reduction Reaction. J. Phys. Chem. Lett. 2024, 15, 8459–8466. [Google Scholar] [CrossRef] [PubMed]
- Meng, J.; Wei, K.; Xie, S.; Zhang, Z.; Ran, P.; Zhang, P.; Li, X. Pyroelectric Janus nanomotors to promote cell internalization and synergistic tumor therapy. J. Control. Release 2023, 357, 342–355. [Google Scholar] [CrossRef] [PubMed]
- Schertenleib, T.; Karve, V.V.; Stoian, D.; Asgari, M.; Trukhina, O.; Oveisi, E.; Mensi, M.; Queen, W.L. A post-synthetic modification strategy for enhancing Pt adsorption efficiency in MOF/polymer composites. Chem. Sci. 2024, 15, 8323–8333. [Google Scholar] [CrossRef] [PubMed]
- Lin, J.; Zhang, D.; Yu, J.; Pan, T.; Wu, X.; Chen, T.; Gao, C.; Chen, C.; Wang, X.; Wu, A. Amorphous nitrogen-doped carbon nanocages with excellent SERS sensitivity and stability for accurate identification of tumor cells. Anal. Chem. 2023, 95, 4671–4681. [Google Scholar] [CrossRef]
- Yu, W.; Jin, D.; Zhang, Y.; Wang, S.; Yu, J.; Liu, M.; Dai, Y.; Yin, Y.; Cheng, J.; Liu, Y. Provoking tumor disulfidptosis by single-atom nanozyme via regulating cellular energy supply and reducing power. Nat. Commun. 2025, 16, 4877. [Google Scholar] [CrossRef]
- Dai, H.; Han, A.; Wang, X.; Zhu, P.; Wang, D.; Wang, Y. NIR-triggering cobalt single-atom enzyme switches off-to-on for boosting the interactive dynamic effects of multimodal phototherapy. Nat. Commun. 2025, 16, 2058. [Google Scholar] [CrossRef]
- Wang, X.; Wei, G.; Liu, W.; Zhang, Y.; Zhu, C.; Sun, Q.; Zhang, M.; Wei, H. Platinum–nickel nanoparticles with enhanced oxidase-like activity for total antioxidant capacity bioassay. Anal. Chem. 2023, 95, 5937–5945. [Google Scholar] [CrossRef]
- Zhou, Y.; Sun, P.; Cao, Y.; Yang, J.; Wu, Q.; Peng, J. Biocompatible copper formate-based nanoparticles with strong antibacterial properties for wound healing. J. Nanobiotechnol. 2023, 21, 474. [Google Scholar] [CrossRef]
- Zhou, C.; Wu, F.; He, L.; Yan, H.; Zhang, Z.; Zhao, S.; Huang, W.; Luo, Y.; Zhao, W.; Gao, B. An Implant-Free Nanosystem Enabling Synergistic Oxidative Damage Mitigation and Deep Brain Stimulation for Alleviating Parkinsonian Symptoms. ACS Nano 2025, 19, 26715–26734. [Google Scholar] [CrossRef]
- Zhan, Y.; Huang, X.; Liu, M.; Lin, R.; Yu, H.; Kou, Y.; Xing, E.; Elzatahry, A.A.; Mady, M.F.; Zhao, D. Liquid-nano-liquid interface–oriented anisotropic encapsulation. Proc. Natl. Acad. Sci. USA 2025, 122, e2417292121. [Google Scholar] [CrossRef] [PubMed]
- Chen, W.; Song, Y.; Bai, S.; He, C.; Guo, Z.; Zhu, Y.; Zhang, Z.; Sun, X. Cloaking mesoporous polydopamine with bacterial membrane vesicles to amplify local and systemic antitumor immunity. ACS Nano 2023, 17, 7733–7749. [Google Scholar] [CrossRef] [PubMed]
- Chen, K.; Xie, W.; Deng, Y.; Han, J.; Zhu, Y.; Sun, J.; Yuan, K.; Wu, L.; Deng, Y. Alkaloid precipitant reaction inspired controllable synthesis of mesoporous tungsten oxide spheres for biomarker sensing. ACS Nano 2023, 17, 15763–15775. [Google Scholar] [CrossRef] [PubMed]
- Hou, M.; Liu, M.; Yu, H.; Kou, Y.; Jia, J.; Zhou, Q.; Zhang, F.; Zhao, D.; Zhao, T.; Li, X. Spatially asymmetric nanoparticles for boosting ferroptosis in tumor therapy. Nano Lett. 2024, 24, 1284–1293. [Google Scholar] [CrossRef]
- Zhu, X.; Li, T.; Wang, Q.; Yan, K.; Ma, S.; Lin, Y.; Zeng, G.; Liu, J.; Cao, J.; Wang, D. Dual-synergistic nanomodulator alleviates exosomal PD-L1 expression enabling exhausted cytotoxic T lymphocytes rejuvenation for potentiated iRFA-treated hepatocellular carcinoma immunotherapy. ACS Nano 2024, 18, 32818–32833. [Google Scholar] [CrossRef]
- Kim, N.; Han, S.Y.; Rheem, H.B.; Lee, H.; Choi, I.S. Autonomous chemo-metabolic construction of anisotropic cell-in-shell nanobiohybrids in enzyme-powered cell microrobots. Sci. Adv. 2025, 11, eadu5451. [Google Scholar] [CrossRef]
- Zhao, C.; Wang, R.; Luo, S.; Wang, Y.; Gan, Z.; Di, J.; Wu, D. Molecular Stacking@ Infinite Coordination Polymer Nanocomposites for Tumor Continuous High-Intensity Photothermal–Thermodynamic Alternate Cycle Therapy and Chemotherapy. ACS Nano 2025, 19, 28554–28575. [Google Scholar] [CrossRef]
- Jiang, J.; Hu, J.; Li, M.; Luo, M.; Dong, B.; Sitti, M.; Yan, X. NIR-II Fluorescent Thermophoretic Nanomotors for Superficial Tumor Photothermal Therapy. Adv. Mater. 2025, 37, 2417440. [Google Scholar] [CrossRef]
- Yim, W.; Zhou, J.; Sasi, L.; Zhao, J.; Yeung, J.; Cheng, Y.; Jin, Z.; Johnson, W.; Xu, M.; Palma-Chavez, J. 3D-bioprinted phantom with human skin phototypes for biomedical optics. Adv. Mater. 2023, 35, 2206385. [Google Scholar] [CrossRef]
- Yan, Z.; Deng, Y.; Huang, L.; Zeng, J.; Wang, D.; Tong, Z.; Fan, Q.; Tan, W.; Yan, J.; Zang, X. Biopolymer-based bone scaffold for controlled Pt (IV) prodrug release and synergistic photothermal-chemotherapy and immunotherapy in osteosarcoma. J. Nanobiotechnol. 2025, 23, 286. [Google Scholar] [CrossRef] [PubMed]
- Li, Z.; Meng, Z.; Tian, F.; Ye, Z.; Zhou, X.; Zhong, X.; Chen, Q.; Yang, M.; Liu, Z.; Yin, Y. Fast Fourier transform-weighted photoacoustic imaging by in vivo magnetic alignment of hybrid nanorods. Nano Lett. 2022, 22, 5158–5166. [Google Scholar] [CrossRef] [PubMed]
- Hou, S.; Chen, Y.; Lu, D.; Xiong, Q.; Lim, Y.; Duan, H. A Self-Assembled Plasmonic Substrate for Enhanced Fluorescence Resonance Energy Transfer. Adv. Mater. 2020, 32, 1906475. [Google Scholar] [CrossRef] [PubMed]
- Zhang, L.; Su, H.; Cai, J.; Cheng, D.; Ma, Y.; Zhang, J.; Zhou, C.; Liu, S.; Shi, H.; Zhang, Y. A multifunctional platform for tumor angiogenesis-targeted chemo-thermal therapy using polydopamine-coated gold nanorods. ACS Nano 2016, 10, 10404–10417. [Google Scholar] [CrossRef]
- Fang, Y.; Luan, D.; Chen, Y.; Gao, S.; Lou, X.W. Rationally designed three-layered Cu2S@ Carbon@ MoS2 hierarchical nanoboxes for efficient sodium storage. Angew. Chem. 2020, 132, 7245–7250. [Google Scholar] [CrossRef]
- Sotoma, S.; Zhong, C.; Kah, J.C.Y.; Yamashita, H.; Plakhotnik, T.; Harada, Y.; Suzuki, M. In situ measurements of intracellular thermal conductivity using heater-thermometer hybrid diamond nanosensors. Sci. Adv. 2021, 7, eabd7888. [Google Scholar] [CrossRef]
- Zhu, M.; Zhu, L.; You, Y.; Sun, M.; Jin, F.; Song, Y.; Zhang, J.; Xu, X.; Ji, J.; Du, Y. Positive chemotaxis of CREKA-modified Ceria@ Polydopamine biomimetic nanoswimmers for enhanced penetration and chemo-photothermal tumor therapy. ACS Nano 2023, 17, 17285–17298. [Google Scholar]
- Liu, C.; Niu, J.; Cui, T.; Ren, J.; Qu, X. A motor-based carbonaceous nanocalabash catalyst for deep-layered bioorthogonal chemistry. J. Am. Chem. Soc. 2022, 144, 19611–19618. [Google Scholar] [CrossRef]
- Chiang, M.-R.; Shen, W.-T.; Huang, P.-X.; Wang, K.-L.; Weng, W.-H.; Chang, C.-W.; Chiang, W.-H.; Liu, Y.-C.; Chang, S.-J.; Hu, S.-H. Programmed T cells infiltration into lung metastases with harnessing dendritic cells in cancer immunotherapies by catalytic antigen-capture sponges. J. Control. Release 2023, 360, 260–273. [Google Scholar] [CrossRef]
- Wang, Z.; Huang, Y.; He, S.; Li, M.; Gong, J.; Cheng, L.; Li, J.; Deng, Y.; Liang, K. Oxygen-Independent Sulfate Radical and Fe2+-Modified Implants for Fast Sterilization and Osseointegration of Infectious Bone Defects. ACS Nano 2025, 19, 18804–18823. [Google Scholar] [CrossRef]
- Zhao, X.; Wang, X.; Zhang, W.; Tian, T.; Zhang, J.; Wang, J.; Wei, W.; Guo, Z.; Zhao, J.; Wang, X. A Ferroptosis-Inducing Arsenene-Iridium Nanoplatform for Synergistic Immunotherapy in Pancreatic Cancer. Angew. Chem. Int. Ed. 2024, 63, e202400829. [Google Scholar] [CrossRef]

















Disclaimer/Publisher’s Note: The statements, opinions and data contained in all publications are solely those of the individual author(s) and contributor(s) and not of MDPI and/or the editor(s). MDPI and/or the editor(s) disclaim responsibility for any injury to people or property resulting from any ideas, methods, instructions or products referred to in the content. |
© 2026 by the authors. Licensee MDPI, Basel, Switzerland. This article is an open access article distributed under the terms and conditions of the Creative Commons Attribution (CC BY) license.
Share and Cite
Bashir, Z.; Khan, M.K.; Zhang, X. Recent Progress and Morphological Distribution of Polydopamine-Based Biomaterials and Their Applications. Gels 2026, 12, 187. https://doi.org/10.3390/gels12030187
Bashir Z, Khan MK, Zhang X. Recent Progress and Morphological Distribution of Polydopamine-Based Biomaterials and Their Applications. Gels. 2026; 12(3):187. https://doi.org/10.3390/gels12030187
Chicago/Turabian StyleBashir, Zoobia, Mahroza Kanwal Khan, and Xueli Zhang. 2026. "Recent Progress and Morphological Distribution of Polydopamine-Based Biomaterials and Their Applications" Gels 12, no. 3: 187. https://doi.org/10.3390/gels12030187
APA StyleBashir, Z., Khan, M. K., & Zhang, X. (2026). Recent Progress and Morphological Distribution of Polydopamine-Based Biomaterials and Their Applications. Gels, 12(3), 187. https://doi.org/10.3390/gels12030187

